Analysis of Dynamics and Control During the Deployment of an Annular Tether Group of Spacecraft
- Authors: Zabolotnov Y.M.1, Nazarova A.A.1, Wang C.2
-
Affiliations:
- Samara National Research University
- Northwestern Polytechnical University
- Issue: No 4 (2023)
- Pages: 110-124
- Section: Articles
- URL: https://journal-vniispk.ru/1026-3519/article/view/137537
- DOI: https://doi.org/10.31857/S0572329922600670
- EDN: https://elibrary.ru/QWPKSI
- ID: 137537
Cite item
Full Text
Abstract
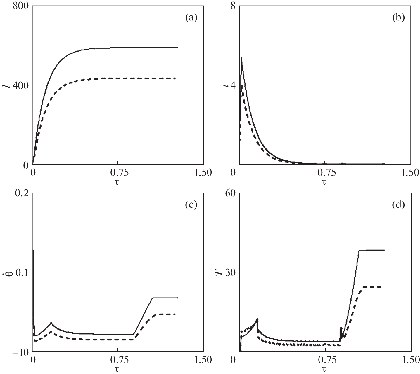
The article considers a method for forming a rotating tether group of small spacecraft in the form of a regular polygon. To create an external torque acting on the entire system as a whole, low-thrust engines are used, and the directions of the reactive forces are unchanged in the coordinate systems associated with the spacecraft. The release of the cables is controlled by measuring their length and speed in accordance with the nominal program, which assumes that the mechanisms of the release of the cables work only for their braking. The nominal program is built according to a simplified model of the system's motion, built using the Lagrange equations. The feasibility of the deployment program is checked using a more complete model of the spatial motion of the system, written in a geocentric fixed coordinate system and taking into account the extensibility of the cables, the one-sidedness of the mechanical links corresponding to them, the operation of the control system, disturbances associated with the initial conditions of motion, etc. A more complete model of motion takes into account the motion of space vehicles relative to their centers of mass as solid bodies of finite dimensions, which leads to perturbations in the directions of action of reactive forces. Numerical examples are given of the deployment of ring tether groups of small spacecraft in the form of polygons with up to seven vertices, inclusive, under the action of disturbances.
Keywords
About the authors
Yu. M. Zabolotnov
Samara National Research University
Email: yumz@yandex.ru
Samara, 443086 Russia
A. A. Nazarova
Samara National Research University
Email: anazarova63@gmail.com
Samara, 443086 Russia
Changqing Wang
Northwestern Polytechnical University
Author for correspondence.
Email: wangcq@nwpu.edu.cn
Xi'an, 710072 China
References
- Белецкий В.В., Левин Е.М. Динамика космических тросовых систем. М.: Наука, 1990. 336 с.
- Kumar K.D., Yasaka T. Rotating formation flying of three satellites using tethers // J. Spacecr. 2004. V. 41. № 6. P. 973–985. https://doi.org/10.2514/1.14251
- Kim M., Hall C.D. Control of a rotating variable-length tethered system // J. Guid. Contr. Dyn. 2004. V. 27. № 5. P. 849–858. https://doi.org/10.2514/1.3226
- Williams P. Optimal deployment/retrieval of a tethered formation spinning in the orbital plane // J. Spacecr. 2006. V. 43. № 3. P. 638–650. https://doi.org/10.2514/1.17093
- Su B., Zhang F., Huang P. Robust control of triangular tethered satellite formation with unmeasured velocities // Acta Astronaut. 2021. V. 186. P. 190–202. https://doi.org/10.1016/j.actaastro.2021.04.045
- Razzaghi P., Assadian N. Study of the Triple-Mass Tethered Satellite System under Aerodynamic Drag and J2 Perturbations // Adv. Space Res. 2015. V. 56 (10). P. 2141–2150. https://doi.org/10.1016/J.ASR.2015.07.046
- Cai Z., Li X., Wu Z. Deployment and retrieval of a rotating triangular tethered satellite formation near libration points // Acta Astronaut. 2014. V. 98. P. 37–49. https://doi.org/10.1016/j.actaastro.2014.01.015
- Cai Z., Li X., Zhou H. Nonlinear dynamics of a rotating triangular tethered satellite formation near libration points // Aerosp. Sci. Technol. 2015. V. 42. P. 384–391. https://doi.org/10.1016/j.ast.2015.02.005
- Pizarro-Chong A., Misra A.K. Dynamics of multi-tethered satellite formations containing a parent body // Acta Astronaut. 2008. V. 63. P. 1188–1202. https://doi.org/10.1016/j.actaastro.2008.06.021
- Alary D., Andreev K., Boyko P. et al. Dynamics of multi-tethered pyramidal satellite formation // Acta Astronaut. 2015. V. 117. P. 222–230. https://doi.org/10.1016/J.ACTAASTRO.2015.08.011
- Yarotsky D., Sidorenko V., Pritykin D. Three-dimensional multi-tethered satellite for-mation with the elements moving along Lissajous curves // Celest. Mech. Dyn. Astron. 2016. V. 125. № 3. P. 309–322. https://doi.org/10.1007/s10569-016-9683-2
- Ван Ч., Заболотнов Ю.М. Анализ динамики формирования тросовой группировки из трех наноспутников с учетом их движения вокруг центров масс // ПММ. 2021. Т. 85. № 1. С. 21–43. https://doi.org/10.31857/S0032823521010082
- Заболотнов Ю.М. Управление развертыванием орбитальной тросовой системы, состоящей из двух малых космических аппаратов // Космич. исслед. 2017. Т. 55. № 3. С. 236–246. https://doi.org/10.7868/S002342061702008X
Supplementary files









