Influence of Pore Shape and Initial Stress State on the Electroelastic Properties of Porous Piezoceramics PZT-4

Cover Page

Cite item

Full Text

Abstract

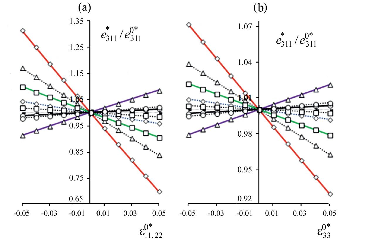
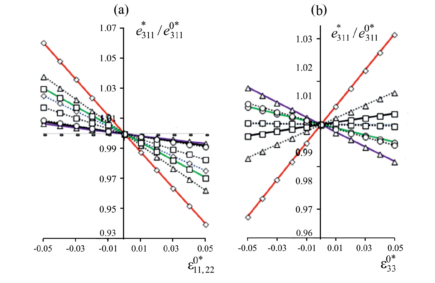
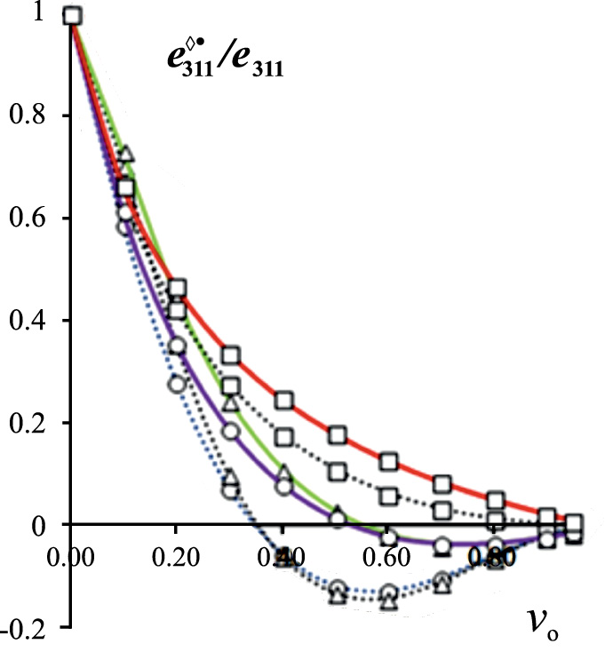
A numerical-analytical solution to the “effective modulus problem” of transversally isotropic porous ceramics is obtained, taking into account its initial stressed state and the ellipsoidal shape of oriented pores of various connectivity based on the solution of the associated stochastic boundary value problem of electroelasticity of composite mechanics using the Green’s function method. A numerical calculation of the initial and resulting values of the effective piezoelectric modulus of porous piezoceramics (PZT-4) was carried out depending on the values of the volume fraction, shape parameter and connectivity of ellipsoidal, in particular: spherical, disk or tunnel pores, taking into account the initial stressed state of the porous piezoceramics due to its initial axisymmetric deformation. Characteristic values of the volume fraction of spherical and disk pores are identified, taking into account their connections, at which the sign of the numerical values of the initial effective piezoelectric modulus changes with respect to the corresponding module of PZT-4 monolithic ceramics. The values of the volume fraction, shape parameter and type of pore connectivity at which the maximum gradients of the linear dependence of the values of the resulting piezoelectric modulus of porous piezoceramics on its initial macrodeformations are realized are determined. An analysis of graphs of continuous dependences of the initial and resulting values of the effective piezoelectric modulus on the pore shape parameter is given for various cases of their volumetric content, connectivity and axisymmetric initial deformations of porous piezoceramics.

Full Text

1. Введение. Нелинейные эффекты деформирования композитов обуславливаются, в общем, различными факторами, один из которых наличие в материале начального напряженного состояния [1–3]. Изучение закономерностей и эффектов влияния начального напряженного состояния элементов структуры материала на особенности его последующего нагружения одна из задач механики композитов [1–9]. Решение этой задачи актуально для различных практических приложений, в частности, ультразвукового неразрушающего контроля напряженного состояния нагруженных конструкций [10], методов геомеханики и сейсмических исследований [11]. Линеаризованный подход [3, 6, 7, 12, 13] теории упругости использован ранее для математического моделирования распространения упругих волн в структурно неоднородных упругих средах с начальным напряженным состоянием [14–16]. Этот подход использован также для нахождения асимптотических решений эффективных свойств упругих композитов с идеально периодическими начально-напряженными структурами [17–20], например, когда начальное напряженное состояние слоистой или однонаправлено-волокнистой структур обусловлено их тепловым нагревом [17]. Изучение эффектов влияния начального напряженного состояния на свойства и поведение материала актуально также для пьезоэлектрических и/или пьезомагнитных (магнитострикционных) композитов, которые интегрируются в современные “интеллектуальные” конструкции в качестве информационных элементов, датчиков и/или актюаторов систем управления акустическими и/или аэродинамическими характеристиками поверхностей, геометрической формой, напряженным состоянием, демпфированием вибраций конструкции [21].

Математическое моделирование поведения пьезоактивных композитов на микро-, макроуровнях и прогнозирование их эффективных свойств основывается на постановке и решении связанных краевых задач электромагнитотермоупругости для микронеоднородной представительной области с использованием методов механики композитов, в частности, асимптотических методов [17–20, 22] и методов на основе двоякопериодических комплексных функций [23, 24] для идеально периодических структур и методов статистической механики композитов для нерегулярных структур [24–26]. Современные методы функций комплексных переменных [24] эффективно используются для решения двумерных задач тплопроводности и теории упругости композитов, в том числе, со “случайной” периодической структурой [24] с ячейкой периодичности в виде статистической реализации некоторой “представительной области” с большим числом случайно расположенных круглых включений; при этом решение “задачи эффективного модуля” осуществляется в реализациях, т. е. посредством вычисления и статистической обработки (усреднения) представительной выборки численных решений краевых задач для различных реализаций случайной структуры ячейки. Методы статистической механики композитов [25–32], в отличие от аналитических и численных методов решения стохастических краевых задач в реализациях, ориентированы на установление непосредственных функциональных зависимостей искомых статистических характеристик, например, математических ожиданий и дисперсий деформационных полей в элементах структуры (для оценки прочности на микро- и макроуровнях) и макроскопических (усредненных) характеристик эффективных физико-механических модулей композитов от заданных статистических характеристик случайной структуры, например, в виде многоточечных моментных функций структуры [25, 26] или вероятностных законов разупорядочивания (случайного расположения и/или размера) включений в ячейках квазипериодических структур [30] в представительной области композита со свойствами статистической однородности и эргодичности [25]. Многие статистические методы механики композитов [25–32] основаны на использовании функций Грина некоторой однородной “среды сравнения” для сведения поставленной стохастической краевой задачи к соответствующему интегро-дифференциальному уравнению относительно поля пульсаций искомой величины (например, перемещений, температуры, электрического потенциала) в представительной области композита относительно ее макроскопического значения. Далее, решение интегро-дифференциального уравнения осуществляется методом последовательных приближений [25, 26], по которому, например, искомый тензор эффективных упругих свойств композита представляется в виде суммы осредненного по “правилу смеси” значения и поправки бесконечного ряда кратных интегралов от многоточечных статистических моментов (корреляционных функций) рассматриваемой случайной структуры композита. Вычисление этой поправки с учетом реального вида многоточечных статистических моментов структуры представляет собой сложную задачу, известно лишь о расчете поправки – сумме двух членов ряда, учитывающих лишь двухточечные и трехточечные корреляционные функции для двумерной случайной структуры с круговыми включениями. Сходимость этих рядов исследована, как правило, численно или аналитически лишь для частных (предельных) случаев, например, для случая “предельной локальности” [26] многоточечных моментных функций или в сингулярном приближении [27], когда у второй производной функции Грина учитывается лишь сингулярная составляющая (пропорциональная дельта-функции Дирака) и, как следствие, нахождение искомого тензора эффективных упругих свойств композита, в частности, эффективного объемного модуля и модуля сдвига макроизотропного композита (сферопластика) сводится к суммированию соответствующих алгебраических рядов геометрических прогрессий, сходимость которых оценивается аналитически. В сингулярном приближении результаты, полученные для эффективных модулей композита посредством суммирования членов ряда, совпадают с соответствующими решениями, полученными по подходу [27] без разложения в ряд и последующего суммирования, т. е. когда делается непосредственный переход от интегро-дифференциального уравнения к соответствующей системе алгебраических уравнений, в частности, двух алгебраических уравнений для макроизотропного композита. В рамках обобщенного сингулярного приближения получены решения [30, 31] связанных стохастических краевых задач электромагнитотермоупругости для случайных, в том числе, квазипериодических пьезоактивных структур композитов при отсутствии в них начального напряженного состояния. Линеаризованный подход теории упругости для тела с начальным напряженным состоянием обобщен на электромагнитоупругий материал в [32–34], в том числе для решения динамических задач [34].

В представленной работе рассматривается постановка связанной краевой задачи электроупругости с учетом начального комбинированного деформационного и электрического напряженного состояния и ее решение в обобщенном сингулярном приближении [27] на основе перехода от системы интегро-дифференциальных уравнений электроупругости к соответствующей системе алгебраических уравнений для нахождения эффективных упругих модулей, диэлектрических проницаемостей и пьезоэлектрических констант пористой пьезокерамики с эллипсоидальными порами. Считаем, что осесимметричное начальное напряженное состояние не изменяет класс трансверсальной изотропии пористой керамики.

Цель – новое численно-аналитическое решение задачи “эффективного модуля” для трансверсально-изотропной начально-напряженной пористой поляризованной керамики с эллипсоидальными порами и, на его основе, изучение закономерностей влияния объемной доли, формы и связанности пор и начального осесимметричного электроупругого напряженного состояния на эффективные свойства в рамках обобщенного сингулярного приближения электромагнитоупругости [30–32] статистической механики композитов.

2. Модель пористой керамики. Считаем, что в рассматриваемой представительной области V пористой керамики трансверсально-изотропная микроструктура (рис. 1) образована ориентированными эллипсоидальными, в частности: сферическими, дисковыми или игольчатыми полидисперсными порами со случайным взаимным расположением и заданным соотношением a 3 / a 1(2) MathType@MTEF@5@5@+= feaahGart1ev3aqatCvAUfeBSjuyZL2yd9gzLbvyNv2Caerbov2D09 MBaeXatLxBI9gBaerbd9wDYLwzYbItLDharuavP1wzZbItLDhis9wB H5garqqtubsr4rNCHbGeaGqipy0de9vqqrpepC0xbbL8F4rqqrFfpe ea0pd9Zqpe0xc9q8qqaqFn0dXdir=xcvk9pIe9q8qqaq=dir=f0=yq aqVeLsFr0=vr0=vr0db8meaabaqaciaacaGaaeqabaWaaqaafaaake aacaWGHbWaaSbaaSqaaiaaiodaaeqaaOGaai4laiaadggadaWgaaWc baGaaGymaiaacIcacaaIYaGaaiykaaqabaaaaa@426C@  главных полуосей: a1 = a2, a3 вдоль координатных осей r1,2,3. Варьируемые величины: k form a 3 / a 1(2) MathType@MTEF@5@5@+= feaahGart1ev3aqatCvAUfeBSjuyZL2yd9gzLbvyNv2Caerbov2D09 MBaeXatLxBI9gBaerbd9wDYLwzYbItLDharuavP1wzZbItLDhis9wB H5garqqtubsr4rNCHbGeaGqipy0de9vqqrpepC0xbbL8F4rqqrFfpe ea0pd9Zqpe0xc9q8qqaqFn0dXdir=xcvk9pIe9q8qqaq=dir=f0=yq aqVeLsFr0=vr0=vr0db8meaabaqaciaacaGaaeqabaWaaqaafaaake aacaWGRbWaaSbaaSqaaiaabAgacaqGVbGaaeOCaiaab2gaaeqaaOGa eyyyIORaamyyamaaBaaaleaacaaIZaaabeaakiaac+cacaWGHbWaaS baaSqaaiaaigdacaGGOaGaaGOmaiaacMcaaeqaaaaa@491B@  – параметр формы и v MathType@MTEF@5@5@+= feaahGart1ev3aqatCvAUfeBSjuyZL2yd9gzLbvyNv2Caerbov2D09 MBaeXatLxBI9gBaerbd9wDYLwzYbItLDharuavP1wzZbItLDhis9wB H5garqqtubsr4rNCHbGeaGqipy0de9vqqrpepC0xbbL8F4rqqrFfpe ea0pd9Zqpe0xc9q8qqaqFn0dXdir=xcvk9pIe9q8qqaq=dir=f0=yq aqVeLsFr0=vr0=vr0db8meaabaqaciaacaGaaeqabaWaaqaafaaake aacaWG2bWaaSbaaSqaaiablIHiVbqabaaaaa@3E5F@ относительная объемная доля пор при различных типах их связанности. Изолированную (закрытую) пористость, т. е. наличие в пористой керамике не сообщающихся между собой пор моделируем наличием минимальной гарантированной прослойки между порами. Взаимопроникающую (открытую) пористость имеем при равенстве нулю толщины такой прослойки, что обуславливает образование в пористой структуре керамики кластеров из контактирующих и взаимопроникающих пор.

 

Рис. 1. Фрагменты пористых структур с дисковыми (a), сферическими (b) и игольчатыми (c) эллипсоидальными порами.

 

3. Математическая постановка и решение задачи. 3.1. Постановка задачи. При электромеханическом нагружении области V MathType@MTEF@5@5@+= feaahGart1ev3aqatCvAUfeBSjuyZL2yd9gzLbvyNv2Caerbov2D09 MBaeXatLxBI9gBaerbd9wDYLwzYbItLDharuavP1wzZbItLDhis9wB H5garqqtubsr4rNCHbGeaGqipy0de9vqqrpepC0xbbL8F4rqqrFfpe ea0pd9Zqpe0xc9q8qqaqFn0dXdir=xcvk9pIe9q8qqaq=dir=f0=yq aqVeLsFr0=vr0=vr0db8meaabaqaciaacaGaaeqabaWaaqaafaaake aacaWHwbaaaa@3CDD@  пористой керамики напряжениями σ *0 MathType@MTEF@5@5@+= feaahGart1ev3aaatCvAUfeBSjuyZL2yd9gzLbvyNv2Caerbov2D09 MBaeXatLxBI9gBaerbd9wDYLwzYbItLDharuavP1wzZbItLDhis9wB H5garqqtubsr4rNCHbGeaGqipy0de9vqqrpepC0xbbL8F4rqqrFfpe ea0pd9Zqpe0xc9q8qqaqFn0dXdir=xcvk9pIe9q8qqaq=dir=f0=yq aqVeLsFr0=vr0=vr0db8meaabaqaciaacaGaaeqabaWaaqaafaaake aaiiqacqWFdpWCdaqhaaWcbaaabaGaaiOkaiaaicdaaaaaaa@3F5B@ , деформациями ε*0 и/или внешним электрическим полем с напряженностью E *0 MathType@MTEF@5@5@+= feaahGart1ev3aqatCvAUfeBSjuyZL2yd9gzLbvyNv2Caerbov2D09 MBaeXatLxBI9gBaerbd9wDYLwzYbItLDharuavP1wzZbItLDhis9wB H5garqqtubsr4rNCHbGeaGqipy0de9vqqrpepC0xbbL8F4rqqrFfpe ea0pd9Zqpe0xc9q8qqaqFn0dXdir=xcvk9pIe9q8qqaq=dir=f0=yq aqVeLsFr0=vr0=vr0db8meaabaqaciaacaGaaeqabaWaaqaafaaake aacaWHfbWaa0baaSqaaaqaaiaacQcacaaIWaaaaaaa@3E61@  в керамическом каркасе возникают поля напряжения σ MathType@MTEF@5@5@+= feaahGart1ev3aaatCvAUfeBSjuyZL2yd9gzLbvyNv2Caerbov2D09 MBaeXatLxBI9gBaerbd9wDYLwzYbItLDharuavP1wzZbItLDhis9wB H5garqqtubsr4rNCHbGeaGqipy0de9vqqrpepC0xbbL8F4rqqrFfpe ea0pd9Zqpe0xc9q8qqaqFn0dXdir=xcvk9pIe9q8qqaq=dir=f0=yq aqVeLsFr0=vr0=vr0db8meaabaqaciaacaGaaeqabaWaaqaafaaake aaiiqacqWFdpWCaaa@3DC6@ и индукции D, которые удовлетворяют уравнениям равновесия и непрерывности [32–35]

( σ ij + σ kj 0 u i,k ) ,j =0 MathType@MTEF@5@5@+= feaahGart1ev3aqatCvAUfeBSjuyZL2yd9gzLbvyNv2Caerbov2D09 MBaeXatLxBI9gBaerbd9wDYLwzYbItLDharuavP1wzZbItLDhis9wB H5garqqtubsr4rNCHbGeaGqipy0de9vqqrpepC0xbbL8F4rqqrFfpe ea0pd9Zqpe0xc9q8qqaqFn0dXdir=xcvk9pIe9q8qqaq=dir=f0=yq aqVeLsFr0=vr0=vr0db8meaabaqaciaacaGaaeqabaWaaqaafaaake aacaGGOaGaeq4Wdm3aa0baaSqaaiaadMgacaWGQbaabaaaaOGaey4k aSIaeq4Wdm3aa0baaSqaaiaadUgacaWGQbaabaGaaGimaaaakiaadw hadaqhaaWcbaGaamyAaiaacYcacaWGRbaabaaaaOGaaiykamaaBaaa leaacaGGSaGaamOAaaqabaGccqGH9aqpcaaIWaaaaa@4DF7@ , ( D j + D k 0 u j,k ) ,j =0 MathType@MTEF@5@5@+= feaahGart1ev3aqatCvAUfeBSjuyZL2yd9gzLbvyNv2Caerbov2D09 MBaeXatLxBI9gBaerbd9wDYLwzYbItLDharuavP1wzZbItLDhis9wB H5garqqtubsr4rNCHbGeaGqipy0de9vqqrpepC0xbbL8F4rqqrFfpe ea0pd9Zqpe0xc9q8qqaqFn0dXdir=xcvk9pIe9q8qqaq=dir=f0=yq aqVeLsFr0=vr0=vr0db8meaabaqaciaacaGaaeqabaWaaqaafaaake aacaGGOaGaamiramaaDaaaleaacaWGQbaabaaaaOGaey4kaSIaamir amaaDaaaleaacaWGRbaabaGaaGimaaaakiaadwhadaqhaaWcbaGaam OAaiaacYcacaWGRbaabaaaaOGaaiykamaaBaaaleaacaGGSaGaamOA aaqabaGccqGH9aqpcaaIWaaaaa@4A27@  (3.1)

с учетом “поправок” в виде дополнительных слагаемых σ kj 0 u i,k MathType@MTEF@5@5@+= feaahGart1ev3aqatCvAUfeBSjuyZL2yd9gzLbvyNv2Caerbov2D09 MBaeXatLxBI9gBaerbd9wDYLwzYbItLDharuavP1wzZbItLDhis9wB H5garqqtubsr4rNCHbGeaGqipy0de9vqqrpepC0xbbL8F4rqqrFfpe ea0pd9Zqpe0xc9q8qqaqFn0dXdir=xcvk9pIe9q8qqaq=dir=f0=yq aqVeLsFr0=vr0=vr0db8meaabaqaciaacaGaaeqabaWaaqaafaaake aacqaHdpWCdaqhaaWcbaGaam4AaiaadQgaaeaacaaIWaaaaOGaamyD amaaDaaaleaacaWGPbGaaiilaiaadUgaaeaaaaaaaa@4446@ , D k 0 u j,k MathType@MTEF@5@5@+= feaahGart1ev3aqatCvAUfeBSjuyZL2yd9gzLbvyNv2Caerbov2D09 MBaeXatLxBI9gBaerbd9wDYLwzYbItLDharuavP1wzZbItLDhis9wB H5garqqtubsr4rNCHbGeaGqipy0de9vqqrpepC0xbbL8F4rqqrFfpe ea0pd9Zqpe0xc9q8qqaqFn0dXdir=xcvk9pIe9q8qqaq=dir=f0=yq aqVeLsFr0=vr0=vr0db8meaabaqaciaacaGaaeqabaWaaqaafaaake aacaWGebWaa0baaSqaaiaadUgaaeaacaaIWaaaaOGaamyDamaaDaaa leaacaWGQbGaaiilaiaadUgaaeaaaaaaaa@425E@ , обусловленных наличием заданных начальных полей σ *0 MathType@MTEF@5@5@+= feaahGart1ev3aqatCvAUfeBSjuyZL2yd9gzLbvyNv2Caerbov2D09 MBaeXatLxBI9gBaerbd9wDYLwzYbItLDharuavP1wzZbItLDhis9wB H5garqqtubsr4rNCHbGeaGqipy0de9vqqrpepC0xbbL8F4rqqrFfpe ea0pd9Zqpe0xc9q8qqaqFn0dXdir=xcvk9pIe9q8qqaq=dir=f0=yq aqVeLsFr0=vr0=vr0db8meaabaqaciaacaGaaeqabaWaaqaafaaake aaiiqacqWFdpWCdaqhaaWcbaaabaGaaiOkaiaaicdaaaaaaa@3F5C@ , D 0 MathType@MTEF@5@5@+= feaahGart1ev3aqatCvAUfeBSjuyZL2yd9gzLbvyNv2Caerbov2D09 MBaeXatLxBI9gBaerbd9wDYLwzYbItLDharuavP1wzZbItLDhis9wB H5garqqtubsr4rNCHbGeaGqipy0de9vqqrpepC0xbbL8F4rqqrFfpe ea0pd9Zqpe0xc9q8qqaqFn0dXdir=xcvk9pIe9q8qqaq=dir=f0=yq aqVeLsFr0=vr0=vr0db8meaabaqaciaacaGaaeqabaWaaqaafaaake aacaWHebWaa0baaSqaaaqaaiaaicdaaaaaaa@3DB2@  и дополнительного искомого поля перемещений u MathType@MTEF@5@5@+= feaahGart1ev3aqatCvAUfeBSjuyZL2yd9gzLbvyNv2Caerbov2D09 MBaeXatLxBI9gBaerbd9wDYLwzYbItLDharuavP1wzZbItLDhis9wB H5garqqtubsr4rNCHbGeaGqipy0de9vqqrpepC0xbbL8F4rqqrFfpe ea0pd9Zqpe0xc9q8qqaqFn0dXdir=xcvk9pIe9q8qqaq=dir=f0=yq aqVeLsFr0=vr0=vr0db8meaabaqaciaacaGaaeqabaWaaqaafaaake aacaWH1baaaa@3CFC@ . Начальные поля σ *0 MathType@MTEF@5@5@+= feaahGart1ev3aaatCvAUfeBSjuyZL2yd9gzLbvyNv2Caerbov2D09 MBaeXatLxBI9gBaerbd9wDYLwzYbItLDharuavP1wzZbItLDhis9wB H5garqqtubsr4rNCHbGeaGqipy0de9vqqrpepC0xbbL8F4rqqrFfpe ea0pd9Zqpe0xc9q8qqaqFn0dXdir=xcvk9pIe9q8qqaq=dir=f0=yq aqVeLsFr0=vr0=vr0db8meaabaqaciaacaGaaeqabaWaaqaafaaake aaiiqacqWFdpWCdaqhaaWcbaaabaGaaiOkaiaaicdaaaaaaa@3F5B@ , D 0 MathType@MTEF@5@5@+= feaahGart1ev3aqatCvAUfeBSjuyZL2yd9gzLbvyNv2Caerbov2D09 MBaeXatLxBI9gBaerbd9wDYLwzYbItLDharuavP1wzZbItLDhis9wB H5garqqtubsr4rNCHbGeaGqipy0de9vqqrpepC0xbbL8F4rqqrFfpe ea0pd9Zqpe0xc9q8qqaqFn0dXdir=xcvk9pIe9q8qqaq=dir=f0=yq aqVeLsFr0=vr0=vr0db8meaabaqaciaacaGaaeqabaWaaqaafaaake aacaWHebWaa0baaSqaaaqaaiaaicdaaaaaaa@3DB2@  удовлетворяют уравнениям равновесия σ ij,j 0 =0 MathType@MTEF@5@5@+= feaahGart1ev3aqatCvAUfeBSjuyZL2yd9gzLbvyNv2Caerbov2D09 MBaeXatLxBI9gBaerbd9wDYLwzYbItLDharuavP1wzZbItLDhis9wB H5garqqtubsr4rNCHbGeaGqipy0de9vqqrpepC0xbbL8F4rqqrFfpe ea0pd9Zqpe0xc9q8qqaqFn0dXdir=xcvk9pIe9q8qqaq=dir=f0=yq aqVeLsFr0=vr0=vr0db8meaabaqaciaacaGaaeqabaWaaqaafaaake aacqaHdpWCdaqhaaWcbaGaamyAaiaadQgacaGGSaGaamOAaaqaaiaa icdaaaGccqGH9aqpcaaIWaaaaa@43EE@  и непрерывности D i,i 0 =0 MathType@MTEF@5@5@+= feaahGart1ev3aqatCvAUfeBSjuyZL2yd9gzLbvyNv2Caerbov2D09 MBaeXatLxBI9gBaerbd9wDYLwzYbItLDharuavP1wzZbItLDhis9wB H5garqqtubsr4rNCHbGeaGqipy0de9vqqrpepC0xbbL8F4rqqrFfpe ea0pd9Zqpe0xc9q8qqaqFn0dXdir=xcvk9pIe9q8qqaq=dir=f0=yq aqVeLsFr0=vr0=vr0db8meaabaqaciaacaGaaeqabaWaaqaafaaake aacaWGebWaa0baaSqaaiaadMgacaGGSaGaamyAaaqaaiaaicdaaaGc cqGH9aqpcaaIWaaaaa@4204@ . дПервое уравнение в (3.1) преобразуем к виду

σ ij,j + σ kj 0 u i,kj =0 MathType@MTEF@5@5@+= feaahGart1ev3aqatCvAUfeBSjuyZL2yd9gzLbvyNv2Caerbov2D09 MBaeXatLxBI9gBaerbd9wDYLwzYbItLDharuavP1wzZbItLDhis9wB H5garqqtubsr4rNCHbGeaGqipy0de9vqqrpepC0xbbL8F4rqqrFfpe ea0pd9Zqpe0xc9q8qqaqFn0dXdir=xcvk9pIe9q8qqaq=dir=f0=yq aqVeLsFr0=vr0=vr0db8meaabaqaciaacaGaaeqabaWaaqaafaaake aacqaHdpWCdaqhaaWcbaGaamyAaiaadQgacaGGSaGaamOAaaqaaaaa kiabgUcaRiabeo8aZnaaDaaaleaacaWGRbGaamOAaaqaaiaaicdaaa GccaWG1bWaa0baaSqaaiaadMgacaGGSaGaam4AaiaadQgaaeaaaaGc cqGH9aqpcaaIWaaaaa@4D57@

с учетом выполнения равенств σ kj,j 0 =0 MathType@MTEF@5@5@+= feaahGart1ev3aqatCvAUfeBSjuyZL2yd9gzLbvyNv2Caerbov2D09 MBaeXatLxBI9gBaerbd9wDYLwzYbItLDharuavP1wzZbItLDhis9wB H5garqqtubsr4rNCHbGeaGqipy0de9vqqrpepC0xbbL8F4rqqrFfpe ea0pd9Zqpe0xc9q8qqaqFn0dXdir=xcvk9pIe9q8qqaq=dir=f0=yq aqVeLsFr0=vr0=vr0db8meaabaqaciaacaGaaeqabaWaaqaafaaake aacqaHdpWCdaqhaaWcbaGaam4AaiaadQgacaGGSaGaamOAaaqaaiaa icdaaaGccqGH9aqpcaaIWaaaaa@43F0@  для поля σ *0 MathType@MTEF@5@5@+= feaahGart1ev3aaatCvAUfeBSjuyZL2yd9gzLbvyNv2Caerbov2D09 MBaeXatLxBI9gBaerbd9wDYLwzYbItLDharuavP1wzZbItLDhis9wB H5garqqtubsr4rNCHbGeaGqipy0de9vqqrpepC0xbbL8F4rqqrFfpe ea0pd9Zqpe0xc9q8qqaqFn0dXdir=xcvk9pIe9q8qqaq=dir=f0=yq aqVeLsFr0=vr0=vr0db8meaabaqaciaacaGaaeqabaWaaqaafaaake aaiiqacqWFdpWCdaqhaaWcbaaabaGaaiOkaiaaicdaaaaaaa@3F5B@  начальных напряжений.

В каркасе пористой керамики напряжения σ MathType@MTEF@5@5@+= feaahGart1ev3aqatCvAUfeBSjuyZL2yd9gzLbvyNv2Caerbov2D09 MBaeXatLxBI9gBaerbd9wDYLwzYbItLDharuavP1wzZbItLDhis9wB H5garqqtubsr4rNCHbGeaGqipy0de9vqqrpepC0xbbL8F4rqqrFfpe ea0pd9Zqpe0xc9q8qqaqFn0dXdir=xcvk9pIe9q8qqaq=dir=f0=yq aqVeLsFr0=vr0=vr0db8meaabaqaciaacaGaaeqabaWaaqaafaaake aaiiqacqWFdpWCaaa@3DC7@  и индукции D MathType@MTEF@5@5@+= feaahGart1ev3aqatCvAUfeBSjuyZL2yd9gzLbvyNv2Caerbov2D09 MBaeXatLxBI9gBaerbd9wDYLwzYbItLDharuavP1wzZbItLDhis9wB H5garqqtubsr4rNCHbGeaGqipy0de9vqqrpepC0xbbL8F4rqqrFfpe ea0pd9Zqpe0xc9q8qqaqFn0dXdir=xcvk9pIe9q8qqaq=dir=f0=yq aqVeLsFr0=vr0=vr0db8meaabaqaciaacaGaaeqabaWaaqaafaaake aacaWHebaaaa@3CCB@  (3.1) выражаются по известным определяющим соотношениям [35]

σ ij = C ijmn u m,n e nij E n MathType@MTEF@5@5@+= feaahGart1ev3aqatCvAUfeBSjuyZL2yd9gzLbvyNv2Caerbov2D09 MBaeXatLxBI9gBaerbd9wDYLwzYbItLDharuavP1wzZbItLDhis9wB H5garqqtubsr4rNCHbGeaGqipy0de9vqqrpepC0xbbL8F4rqqrFfpe ea0pd9Zqpe0xc9q8qqaqFn0dXdir=xcvk9pIe9q8qqaq=dir=f0=yq aqVeLsFr0=vr0=vr0db8meaabaqaciaacaGaaeqabaWaaqaafaaake aacqaHdpWCdaqhaaWcbaGaamyAaiaadQgaaeaaaaGccqGH9aqpcaWG dbWaa0baaSqaaiaadMgacaWGQbGaamyBaiaad6gaaeaaaaGccaWG1b Waa0baaSqaaiaad2gacaGGSaGaamOBaaqaaaaakiabgkHiTiaadwga daqhaaWcbaGaamOBaiaadMgacaWGQbaabaaaaOGaamyramaaDaaale aacaWGUbaabaaaaaaa@502A@ , D i = e imn u m,n + λ in E n MathType@MTEF@5@5@+= feaahGart1ev3aqatCvAUfeBSjuyZL2yd9gzLbvyNv2Caerbov2D09 MBaeXatLxBI9gBaerbd9wDYLwzYbItLDharuavP1wzZbItLDhis9wB H5garqqtubsr4rNCHbGeaGqipy0de9vqqrpepC0xbbL8F4rqqrFfpe ea0pd9Zqpe0xc9q8qqaqFn0dXdir=xcvk9pIe9q8qqaq=dir=f0=yq aqVeLsFr0=vr0=vr0db8meaabaqaciaacaGaaeqabaWaaqaafaaake aacaWGebWaa0baaSqaaiaadMgaaeaaaaGccqGH9aqpcaWGLbWaa0ba aSqaaiaadMgacaWGTbGaamOBaaqaaaaakiaadwhadaqhaaWcbaGaam yBaiaacYcacaWGUbaabaaaaOGaey4kaSIaeq4UdW2aa0baaSqaaiaa dMgacaWGUbaabaaaaOGaamyramaaDaaaleaacaWGUbaabaaaaaaa@4D44@  (3.2)

через градиенты перемещений u MathType@MTEF@5@5@+= feaahGart1ev3aqatCvAUfeBSjuyZL2yd9gzLbvyNv2Caerbov2D09 MBaeXatLxBI9gBaerbd9wDYLwzYbItLDharuavP1wzZbItLDhis9wB H5garqqtubsr4rNCHbGeaGqipy0de9vqqrpepC0xbbL8F4rqqrFfpe ea0pd9Zqpe0xc9q8qqaqFn0dXdir=xcvk9pIe9q8qqaq=dir=f0=yq aqVeLsFr0=vr0=vr0db8meaabaqaciaacaGaaeqabaWaaqaafaaake aacqGHhis0caWH1baaaa@3E82@ , напряженность E MathType@MTEF@5@5@+= feaahGart1ev3aqatCvAUfeBSjuyZL2yd9gzLbvyNv2Caerbov2D09 MBaeXatLxBI9gBaerbd9wDYLwzYbItLDharuavP1wzZbItLDhis9wB H5garqqtubsr4rNCHbGeaGqipy0de9vqqrpepC0xbbL8F4rqqrFfpe ea0pd9Zqpe0xc9q8qqaqFn0dXdir=xcvk9pIe9q8qqaq=dir=f0=yq aqVeLsFr0=vr0=vr0db8meaabaqaciaacaGaaeqabaWaaqaafaaake aacaWHfbaaaa@3CCC@  электрического поля с использованием известных тензоров упругих C, пьезоэлектрических e MathType@MTEF@5@5@+= feaahGart1ev3aqatCvAUfeBSjuyZL2yd9gzLbvyNv2Caerbov2D09 MBaeXatLxBI9gBaerbd9wDYLwzYbItLDharuavP1wzZbItLDhis9wB H5garqqtubsr4rNCHbGeaGqipy0de9vqqrpepC0xbbL8F4rqqrFfpe ea0pd9Zqpe0xc9q8qqaqFn0dXdir=xcvk9pIe9q8qqaq=dir=f0=yq aqVeLsFr0=vr0=vr0db8meaabaqaciaacaGaaeqabaWaaqaafaaake aacaWHLbaaaa@3CEC@  и диэлектрических λ MathType@MTEF@5@5@+= feaahGart1ev3aqatCvAUfeBSjuyZL2yd9gzLbvyNv2Caerbov2D09 MBaeXatLxBI9gBaerbd9wDYLwzYbItLDharuavP1wzZbItLDhis9wB H5garqqtubsr4rNCHbGeaGqipy0de9vqqrpepC0xbbL8F4rqqrFfpe ea0pd9Zqpe0xc9q8qqaqFn0dXdir=xcvk9pIe9q8qqaq=dir=f0=yq aqVeLsFr0=vr0=vr0db8meaabaqaciaacaGaaeqabaWaaqaafaaake aacqaH7oaBaaa@3DB2@  свойств монолитной керамики. Осредненные оператором “объемного осреднения” <...>=1/V V ... dr MathType@MTEF@5@5@+= feaahGart1ev3aqatCvAUfeBSjuyZL2yd9gzLbvyNv2Caerbov2D09 MBaeXatLxBI9gBaerbd9wDYLwzYbItLDharuavP1wzZbItLDhis9wB H5garqqtubsr4rNCHbGeaGqipy0de9vqqrpepC0xbbL8F4rqqrFfpe ea0pd9Zqpe0xc9q8qqaqFn0dXdir=xcvk9pIe9q8qqaq=dir=f0=yq aqVeLsFr0=vr0=vr0db8meaabaqaciaacaGaaeqabaWaaqaafaaake aacqGH8aapcaGGUaGaaiOlaiaac6cacqGH+aGpcqGH9aqpcaaIXaGa ai4laiaadAfadaWdraqaauaabeqabeaaaeaacaGGUaGaaiOlaiaac6 caaaGaamizaiaahkhaaSqaaiaahAfaaeqaniabgUIiYdaaaa@4A5D@  “макроскопические” значения деформационного <u> MathType@MTEF@5@5@+= feaahGart1ev3aqatCvAUfeBSjuyZL2yd9gzLbvyNv2Caerbov2D09 MBaeXatLxBI9gBaerbd9wDYLwzYbItLDharuavP1wzZbItLDhis9wB H5garqqtubsr4rNCHbGeaGqipy0de9vqqrpepC0xbbL8F4rqqrFfpe ea0pd9Zqpe0xc9q8qqaqFn0dXdir=xcvk9pIe9q8qqaq=dir=f0=yq aqVeLsFr0=vr0=vr0db8meaabaqaciaacaGaaeqabaWaaqaafaaake aacqGH8aapcqGHhis0caWH1bGaeyOpa4daaa@408E@ , <σ> MathType@MTEF@5@5@+= feaahGart1ev3aqatCvAUfeBSjuyZL2yd9gzLbvyNv2Caerbov2D09 MBaeXatLxBI9gBaerbd9wDYLwzYbItLDharuavP1wzZbItLDhis9wB H5garqqtubsr4rNCHbGeaGqipy0de9vqqrpepC0xbbL8F4rqqrFfpe ea0pd9Zqpe0xc9q8qqaqFn0dXdir=xcvk9pIe9q8qqaq=dir=f0=yq aqVeLsFr0=vr0=vr0db8meaabaqaciaacaGaaeqabaWaaqaafaaake aacqGH8aapcqaHdpWCcqGH+aGpaaa@3FCD@  и электрического <E>, <D> MathType@MTEF@5@5@+= feaahGart1ev3aqatCvAUfeBSjuyZL2yd9gzLbvyNv2Caerbov2D09 MBaeXatLxBI9gBaerbd9wDYLwzYbItLDharuavP1wzZbItLDhis9wB H5garqqtubsr4rNCHbGeaGqipy0de9vqqrpepC0xbbL8F4rqqrFfpe ea0pd9Zqpe0xc9q8qqaqFn0dXdir=xcvk9pIe9q8qqaq=dir=f0=yq aqVeLsFr0=vr0=vr0db8meaabaqaciaacaGaaeqabaWaaqaafaaake aacqGH8aapcaWHebGaeyOpa4daaa@3ED7@  полей связаны между собой с учетом начального напряженного состояния

< σ ij >= C ijmn * < u m,n > e (σ)nij * < E n >, MathType@MTEF@5@5@+= feaahGart1ev3aqatCvAUfeBSjuyZL2yd9gzLbvyNv2Caerbov2D09 MBaeXatLxBI9gBaerbd9wDYLwzYbItLDharuavP1wzZbItLDhis9wB H5garqqtubsr4rNCHbGeaGqipy0de9vqqrpepC0xbbL8F4rqqrFfpe ea0pd9Zqpe0xc9q8qqaqFn0dXdir=xcvk9pIe9q8qqaq=dir=f0=yq aqVeLsFr0=vr0=vr0db8meaabaqaciaacaGaaeqabaWaaqaafaaake aacqGH8aapcqaHdpWCdaqhaaWcbaGaamyAaiaadQgaaeaaaaGccqGH +aGpcqGH9aqpcaWGdbWaa0baaSqaaiaadMgacaWGQbGaamyBaiaad6 gaaeaacaGGQaaaaOGaeyipaWJaamyDamaaDaaaleaacaWGTbGaaiil aiaad6gaaeaaaaGccqGH+aGpcqGHsislcaWGLbWaa0baaSqaaiaacI cacqaHdpWCcaGGPaGaamOBaiaadMgacaWGQbaabaGaaiOkaaaakiab gYda8iaadweadaqhaaWcbaGaamOBaaqaaaaakiabg6da+iaacYcaaa a@5B80@   < D i >= e (D)imn * < u m,n >+ λ in * < E n > MathType@MTEF@5@5@+= feaahGart1ev3aqatCvAUfeBSjuyZL2yd9gzLbvyNv2Caerbov2D09 MBaeXatLxBI9gBaerbd9wDYLwzYbItLDharuavP1wzZbItLDhis9wB H5garqqtubsr4rNCHbGeaGqipy0de9vqqrpepC0xbbL8F4rqqrFfpe ea0pd9Zqpe0xc9q8qqaqFn0dXdir=xcvk9pIe9q8qqaq=dir=f0=yq aqVeLsFr0=vr0=vr0db8meaabaqaciaacaGaaeqabaWaaqaafaaake aacqGH8aapcaWGebWaa0baaSqaaiaadMgaaeaaaaGccqGH+aGpcqGH 9aqpcaWGLbWaa0baaSqaaiaacIcacaWGebGaaiykaiaadMgacaWGTb GaamOBaaqaaiaacQcaaaGccqGH8aapcaWG1bWaa0baaSqaaiaad2ga caGGSaGaamOBaaqaaaaakiabg6da+iabgUcaRiabeU7aSnaaDaaale aacaWGPbGaamOBaaqaaiaacQcaaaGccqGH8aapcaWGfbWaa0baaSqa aiaad6gaaeaaaaGccqGH+aGpaaa@56F0@  (3.3)

посредством искомых тензоров C * MathType@MTEF@5@5@+= feaahGart1ev3aqatCvAUfeBSjuyZL2yd9gzLbvyNv2Caerbov2D09 MBaeXatLxBI9gBaerbd9wDYLwzYbItLDharuavP1wzZbItLDhis9wB H5garqqtubsr4rNCHbGeaGqipy0de9vqqrpepC0xbbL8F4rqqrFfpe ea0pd9Zqpe0xc9q8qqaqFn0dXdir=xcvk9pIe9q8qqaq=dir=f0=yq aqVeLsFr0=vr0=vr0db8meaabaqaciaacaGaaeqabaWaaqaafaaake aacaWHdbWaa0baaSqaaaqaaiaacQcaaaaaaa@3DA5@ , e (σ) * MathType@MTEF@5@5@+= feaahGart1ev3aqatCvAUfeBSjuyZL2yd9gzLbvyNv2Caerbov2D09 MBaeXatLxBI9gBaerbd9wDYLwzYbItLDharuavP1wzZbItLDhis9wB H5garqqtubsr4rNCHbGeaGqipy0de9vqqrpepC0xbbL8F4rqqrFfpe ea0pd9Zqpe0xc9q8qqaqFn0dXdir=xcvk9pIe9q8qqaq=dir=f0=yq aqVeLsFr0=vr0=vr0db8meaabaqaciaacaGaaeqabaWaaqaafaaake aacaWHLbWaa0baaSqaaiaacIcacqaHdpWCcaGGPaaabaGaaiOkaaaa aaa@40E3@ , e (D) * MathType@MTEF@5@5@+= feaahGart1ev3aqatCvAUfeBSjuyZL2yd9gzLbvyNv2Caerbov2D09 MBaeXatLxBI9gBaerbd9wDYLwzYbItLDharuavP1wzZbItLDhis9wB H5garqqtubsr4rNCHbGeaGqipy0de9vqqrpepC0xbbL8F4rqqrFfpe ea0pd9Zqpe0xc9q8qqaqFn0dXdir=xcvk9pIe9q8qqaq=dir=f0=yq aqVeLsFr0=vr0=vr0db8meaabaqaciaacaGaaeqabaWaaqaafaaake aacaWHLbWaa0baaSqaaiaacIcacaWGebGaaiykaaqaaiaacQcaaaaa aa@3FE9@ , λ * MathType@MTEF@5@5@+= feaahGart1ev3aqatCvAUfeBSjuyZL2yd9gzLbvyNv2Caerbov2D09 MBaeXatLxBI9gBaerbd9wDYLwzYbItLDharuavP1wzZbItLDhis9wB H5garqqtubsr4rNCHbGeaGqipy0de9vqqrpepC0xbbL8F4rqqrFfpe ea0pd9Zqpe0xc9q8qqaqFn0dXdir=xcvk9pIe9q8qqaq=dir=f0=yq aqVeLsFr0=vr0=vr0db8meaabaqaciaacaGaaeqabaWaaqaafaaake aacqaH7oaBdaqhaaWcbaaabaGaaiOkaaaaaaa@3E8D@  эффективных электроупругих свойств пористой керамики как гомогенного однородного материала (3.2). Отметим, что для монолитной (3.2) и пористой керамики (3.3) с начальным осесимметричным по оси r 3 MathType@MTEF@5@5@+= feaahGart1ev3aqatCvAUfeBSjuyZL2yd9gzLbvyNv2Caerbov2D09 MBaeXatLxBI9gBaerbd9wDYLwzYbItLDharuavP1wzZbItLDhis9wB H5garqqtubsr4rNCHbGeaGqipy0de9vqqrpepC0xbbL8F4rqqrFfpe ea0pd9Zqpe0xc9q8qqaqFn0dXdir=xcvk9pIe9q8qqaq=dir=f0=yq aqVeLsFr0=vr0=vr0db8meaabaqaciaacaGaaeqabaWaaqaafaaake aacaWGYbWaaSbaaSqaaiaaiodaaeqaaaaa@3DDE@  напряженным состоянием ( ε *0 MathType@MTEF@5@5@+= feaahGart1ev3aqatCvAUfeBSjuyZL2yd9gzLbvyNv2Caerbov2D09 MBaeXatLxBI9gBaerbd9wDYLwzYbItLDharuavP1wzZbItLDhis9wB H5garqqtubsr4rNCHbGeaGqipy0de9vqqrpepC0xbbL8F4rqqrFfpe ea0pd9Zqpe0xc9q8qqaqFn0dXdir=xcvk9pIe9q8qqaq=dir=f0=yq aqVeLsFr0=vr0=vr0db8meaabaqaciaacaGaaeqabaWaaqaafaaake aacqaH1oqzdaqhaaWcbaaabaGaaiOkaiaaicdaaaaaaa@3F3A@ , E *0 MathType@MTEF@5@5@+= feaahGart1ev3aqatCvAUfeBSjuyZL2yd9gzLbvyNv2Caerbov2D09 MBaeXatLxBI9gBaerbd9wDYLwzYbItLDharuavP1wzZbItLDhis9wB H5garqqtubsr4rNCHbGeaGqipy0de9vqqrpepC0xbbL8F4rqqrFfpe ea0pd9Zqpe0xc9q8qqaqFn0dXdir=xcvk9pIe9q8qqaq=dir=f0=yq aqVeLsFr0=vr0=vr0db8meaabaqaciaacaGaaeqabaWaaqaafaaake aacaWHfbWaa0baaSqaaaqaaiaacQcacaaIWaaaaaaa@3E61@  ) трансверсально-изотропный тензор пьезоэлектрических свойств e * MathType@MTEF@5@5@+= feaahGart1ev3aqatCvAUfeBSjuyZL2yd9gzLbvyNv2Caerbov2D09 MBaeXatLxBI9gBaerbd9wDYLwzYbItLDharuavP1wzZbItLDhis9wB H5garqqtubsr4rNCHbGeaGqipy0de9vqqrpepC0xbbL8F4rqqrFfpe ea0pd9Zqpe0xc9q8qqaqFn0dXdir=xcvk9pIe9q8qqaq=dir=f0=yq aqVeLsFr0=vr0=vr0db8meaabaqaciaacaGaaeqabaWaaqaafaaake aacaWHLbWaa0baaSqaaaqaaiaacQcaaaaaaa@3DC7@  в матричной форме записи имеет вид [35]

e ij * = 0 0 0 0 e 15 * 0 0 0 0 e 15 * 0 0 e 31 * e 31 * e 33 * 0 0 0 MathType@MTEF@5@5@+= feaahGart1ev3aqatCvAUfeBSjuyZL2yd9gzLbvyNv2Caerbov2D09 MBaeXatLxBI9gBaerbd9wDYLwzYbItLDharuavP1wzZbItLDhis9wB H5garqqtubsr4rNCHbGeaGqipy0de9vqqrpepC0xbbL8F4rqqrFfpe ea0pd9Zqpe0xc9q8qqaqFn0dXdir=xcvk9pIe9q8qqaq=dir=f0=yq aqVeLsFr0=vr0=vr0db8meaabaqaciaacaGaaeqabaWaaqaafaaake aadaqbdaqaaiaadwgadaqhaaWcbaGaamyAaiaadQgaaeaacaGGQaaa aaGccaGLjWUaayPcSdGaeyypa0ZaauWaaeaafaqabeWagaaaaeaaca aIWaaabaGaaGimaaqaaiaaicdaaeaacaaIWaaabaGaamyzamaaDaaa leaacaaIXaGaaGynaaqaaiaacQcaaaaakeaacaaIWaaabaGaaGimaa qaaiaaicdaaeaacaaIWaaabaGaamyzamaaDaaaleaacaaIXaGaaGyn aaqaaiaacQcaaaaakeaacaaIWaaabaGaaGimaaqaaiaadwgadaqhaa WcbaGaaG4maiaaigdaaeaacaGGQaaaaaGcbaGaamyzamaaDaaaleaa caaIZaGaaGymaaqaaiaacQcaaaaakeaacaWGLbWaa0baaSqaaiaaio dacaaIZaaabaGaaiOkaaaaaOqaaiaaicdaaeaacaaIWaaabaGaaGim aaaaaiaawMa7caGLkWoaaaa@60FC@  (3.4)

с учетом замен: 111 MathType@MTEF@5@5@+= feaahGart1ev3aqatCvAUfeBSjuyZL2yd9gzLbvyNv2Caerbov2D09 MBaeXatLxBI9gBaerbd9wDYLwzYbItLDharuavP1wzZbItLDhis9wB H5garqqtubsr4rNCHbGeaGqipy0de9vqqrpepC0xbbL8F4rqqrFfpe ea0pd9Zqpe0xc9q8qqaqFn0dXdir=xcvk9pIe9q8qqaq=dir=f0=yq aqVeLsFr0=vr0=vr0db8meaabaqaciaacaGaaeqabaWaaqaafaaake aacaaIXaGaaGymaiabgkziUkaaigdaaaa@401C@ , 222 MathType@MTEF@5@5@+= feaahGart1ev3aqatCvAUfeBSjuyZL2yd9gzLbvyNv2Caerbov2D09 MBaeXatLxBI9gBaerbd9wDYLwzYbItLDharuavP1wzZbItLDhis9wB H5garqqtubsr4rNCHbGeaGqipy0de9vqqrpepC0xbbL8F4rqqrFfpe ea0pd9Zqpe0xc9q8qqaqFn0dXdir=xcvk9pIe9q8qqaq=dir=f0=yq aqVeLsFr0=vr0=vr0db8meaabaqaciaacaGaaeqabaWaaqaafaaake aacaaIYaGaaGOmaiabgkziUkaaikdaaaa@401F@ , 333 MathType@MTEF@5@5@+= feaahGart1ev3aqatCvAUfeBSjuyZL2yd9gzLbvyNv2Caerbov2D09 MBaeXatLxBI9gBaerbd9wDYLwzYbItLDharuavP1wzZbItLDhis9wB H5garqqtubsr4rNCHbGeaGqipy0de9vqqrpepC0xbbL8F4rqqrFfpe ea0pd9Zqpe0xc9q8qqaqFn0dXdir=xcvk9pIe9q8qqaq=dir=f0=yq aqVeLsFr0=vr0=vr0db8meaabaqaciaacaGaaeqabaWaaqaafaaake aacaaIZaGaaG4maiabgkziUkaaiodaaaa@4022@ , 23 MathType@MTEF@5@5@+= feaahGart1ev3aqatCvAUfeBSjuyZL2yd9gzLbvyNv2Caerbov2D09 MBaeXatLxBI9gBaerbd9wDYLwzYbItLDharuavP1wzZbItLDhis9wB H5garqqtubsr4rNCHbGeaGqipy0de9vqqrpepC0xbbL8F4rqqrFfpe ea0pd9Zqpe0xc9q8qqaqFn0dXdir=xcvk9pIe9q8qqaq=dir=f0=yq aqVeLsFr0=vr0=vr0db8meaabaqaciaacaGaaeqabaWaaqaafaaake aacaaIYaGaaG4maaaa@3D77@  и 324 MathType@MTEF@5@5@+= feaahGart1ev3aqatCvAUfeBSjuyZL2yd9gzLbvyNv2Caerbov2D09 MBaeXatLxBI9gBaerbd9wDYLwzYbItLDharuavP1wzZbItLDhis9wB H5garqqtubsr4rNCHbGeaGqipy0de9vqqrpepC0xbbL8F4rqqrFfpe ea0pd9Zqpe0xc9q8qqaqFn0dXdir=xcvk9pIe9q8qqaq=dir=f0=yq aqVeLsFr0=vr0=vr0db8meaabaqaciaacaGaaeqabaWaaqaafaaake aacaaIZaGaaGOmaiabgkziUkaaisdaaaa@4022@ , 13 MathType@MTEF@5@5@+= feaahGart1ev3aqatCvAUfeBSjuyZL2yd9gzLbvyNv2Caerbov2D09 MBaeXatLxBI9gBaerbd9wDYLwzYbItLDharuavP1wzZbItLDhis9wB H5garqqtubsr4rNCHbGeaGqipy0de9vqqrpepC0xbbL8F4rqqrFfpe ea0pd9Zqpe0xc9q8qqaqFn0dXdir=xcvk9pIe9q8qqaq=dir=f0=yq aqVeLsFr0=vr0=vr0db8meaabaqaciaacaGaaeqabaWaaqaafaaake aacaaIXaGaaG4maaaa@3D76@  и 315 MathType@MTEF@5@5@+= feaahGart1ev3aqatCvAUfeBSjuyZL2yd9gzLbvyNv2Caerbov2D09 MBaeXatLxBI9gBaerbd9wDYLwzYbItLDharuavP1wzZbItLDhis9wB H5garqqtubsr4rNCHbGeaGqipy0de9vqqrpepC0xbbL8F4rqqrFfpe ea0pd9Zqpe0xc9q8qqaqFn0dXdir=xcvk9pIe9q8qqaq=dir=f0=yq aqVeLsFr0=vr0=vr0db8meaabaqaciaacaGaaeqabaWaaqaafaaake aacaaIZaGaaGymaiabgkziUkaaiwdaaaa@4022@ , 12 MathType@MTEF@5@5@+= feaahGart1ev3aqatCvAUfeBSjuyZL2yd9gzLbvyNv2Caerbov2D09 MBaeXatLxBI9gBaerbd9wDYLwzYbItLDharuavP1wzZbItLDhis9wB H5garqqtubsr4rNCHbGeaGqipy0de9vqqrpepC0xbbL8F4rqqrFfpe ea0pd9Zqpe0xc9q8qqaqFn0dXdir=xcvk9pIe9q8qqaq=dir=f0=yq aqVeLsFr0=vr0=vr0db8meaabaqaciaacaGaaeqabaWaaqaafaaake aacaaIXaGaaGOmaaaa@3D75@  и 216 MathType@MTEF@5@5@+= feaahGart1ev3aqatCvAUfeBSjuyZL2yd9gzLbvyNv2Caerbov2D09 MBaeXatLxBI9gBaerbd9wDYLwzYbItLDharuavP1wzZbItLDhis9wB H5garqqtubsr4rNCHbGeaGqipy0de9vqqrpepC0xbbL8F4rqqrFfpe ea0pd9Zqpe0xc9q8qqaqFn0dXdir=xcvk9pIe9q8qqaq=dir=f0=yq aqVeLsFr0=vr0=vr0db8meaabaqaciaacaGaaeqabaWaaqaafaaake aacaaIYaGaaGymaiabgkziUkaaiAdaaaa@4022@  парных тензорных индексов на матричные.

3.2. Эффективные свойства пористой керамики. Искомые тензоры C*, e (σ) * MathType@MTEF@5@5@+= feaahGart1ev3aqatCvAUfeBSjuyZL2yd9gzLbvyNv2Caerbov2D09 MBaeXatLxBI9gBaerbd9wDYLwzYbItLDharuavP1wzZbItLDhis9wB H5garqqtubsr4rNCHbGeaGqipy0de9vqqrpepC0xbbL8F4rqqrFfpe ea0pd9Zqpe0xc9q8qqaqFn0dXdir=xcvk9pIe9q8qqaq=dir=f0=yq aqVeLsFr0=vr0=vr0db8meaabaqaciaacaGaaeqabaWaaqaafaaake aacaWHLbWaa0baaSqaaiaacIcacqaHdpWCcaGGPaaabaGaaiOkaaaa aaa@40E3@ , e (D) * MathType@MTEF@5@5@+= feaahGart1ev3aqatCvAUfeBSjuyZL2yd9gzLbvyNv2Caerbov2D09 MBaeXatLxBI9gBaerbd9wDYLwzYbItLDharuavP1wzZbItLDhis9wB H5garqqtubsr4rNCHbGeaGqipy0de9vqqrpepC0xbbL8F4rqqrFfpe ea0pd9Zqpe0xc9q8qqaqFn0dXdir=xcvk9pIe9q8qqaq=dir=f0=yq aqVeLsFr0=vr0=vr0db8meaabaqaciaacaGaaeqabaWaaqaafaaake aacaWHLbWaa0baaSqaaiaacIcacaWGebGaaiykaaqaaiaacQcaaaaa aa@3FE9@ , λ * MathType@MTEF@5@5@+= feaahGart1ev3aqatCvAUfeBSjuyZL2yd9gzLbvyNv2Caerbov2D09 MBaeXatLxBI9gBaerbd9wDYLwzYbItLDharuavP1wzZbItLDhis9wB H5garqqtubsr4rNCHbGeaGqipy0de9vqqrpepC0xbbL8F4rqqrFfpe ea0pd9Zqpe0xc9q8qqaqFn0dXdir=xcvk9pIe9q8qqaq=dir=f0=yq aqVeLsFr0=vr0=vr0db8meaabaqaciaacaGaaeqabaWaaqaafaaake aacqaH7oaBdaqhaaWcbaaabaGaaiOkaaaaaaa@3E8D@  (3.3) эффективных свойств трансверсально-изотропной пористой керамики найдем

C * =<C>+ Δ c MathType@MTEF@5@5@+= feaahGart1ev3aqatCvAUfeBSjuyZL2yd9gzLbvyNv2Caerbov2D09 MBaeXatLxBI9gBaerbd9wDYLwzYbItLDharuavP1wzZbItLDhis9wB H5garqqtubsr4rNCHbGeaGqipy0de9vqqrpepC0xbbL8F4rqqrFfpe ea0pd9Zqpe0xc9q8qqaqFn0dXdir=xcvk9pIe9q8qqaq=dir=f0=yq aqVeLsFr0=vr0=vr0db8meaabaqaciaacaGaaeqabaWaaqaafaaake aacaWHdbWaa0baaSqaaaqaaiaacQcaaaGccqGH9aqpcqGH8aapcaWH dbGaeyOpa4Jaey4kaSccceGae8hLdq0aaWbaaSqabeaacaWGJbaaaa aa@44EF@ , e (σ) * =<e>+ Δ (σ) e MathType@MTEF@5@5@+= feaahGart1ev3aqatCvAUfeBSjuyZL2yd9gzLbvyNv2Caerbov2D09 MBaeXatLxBI9gBaerbd9wDYLwzYbItLDharuavP1wzZbItLDhis9wB H5garqqtubsr4rNCHbGeaGqipy0de9vqqrpepC0xbbL8F4rqqrFfpe ea0pd9Zqpe0xc9q8qqaqFn0dXdir=xcvk9pIe9q8qqaq=dir=f0=yq aqVeLsFr0=vr0=vr0db8meaabaqaciaacaGaaeqabaWaaqaafaaake aacaWHLbWaa0baaSqaaiaacIcacqaHdpWCcaGGPaaabaGaaiOkaaaa kiabg2da9iabgYda8iaahwgacqGH+aGpcqGHRaWkiiqacqWFuoarda qhaaWcbaGaaiikaiabeo8aZjaacMcaaeaacaWGLbaaaaaa@4B6D@ , e (D) * =<e>+ Δ (D) e MathType@MTEF@5@5@+= feaahGart1ev3aqatCvAUfeBSjuyZL2yd9gzLbvyNv2Caerbov2D09 MBaeXatLxBI9gBaerbd9wDYLwzYbItLDharuavP1wzZbItLDhis9wB H5garqqtubsr4rNCHbGeaGqipy0de9vqqrpepC0xbbL8F4rqqrFfpe ea0pd9Zqpe0xc9q8qqaqFn0dXdir=xcvk9pIe9q8qqaq=dir=f0=yq aqVeLsFr0=vr0=vr0db8meaabaqaciaacaGaaeqabaWaaqaafaaake aacaWHLbWaa0baaSqaaiaacIcacaWGebGaaiykaaqaaiaacQcaaaGc cqGH9aqpcqGH8aapcaWHLbGaeyOpa4Jaey4kaSccceGae8hLdq0aa0 baaSqaaiaacIcacaWGebGaaiykaaqaaiaadwgaaaaaaa@4979@ , λ * =<λ>+ Δ λ MathType@MTEF@5@5@+= feaahGart1ev3aqatCvAUfeBSjuyZL2yd9gzLbvyNv2Caerbov2D09 MBaeXatLxBI9gBaerbd9wDYLwzYbItLDharuavP1wzZbItLDhis9wB H5garqqtubsr4rNCHbGeaGqipy0de9vqqrpepC0xbbL8F4rqqrFfpe ea0pd9Zqpe0xc9q8qqaqFn0dXdir=xcvk9pIe9q8qqaq=dir=f0=yq aqVeLsFr0=vr0=vr0db8meaabaqaciaacaGaaeqabaWaaqaafaaake aaiiqacqWF7oaBdaqhaaWcbaaabaGaaiOkaaaakiabg2da9iabgYda 8iab=T7aSjabg6da+iabgUcaRiab=r5aenaaCaaaleqabaGaeq4UdW gaaaaa@4781@  (3.5)

как частный случай полученного ранее решения [32] для двухфазного микронеоднородного композита с начальным напряженным состоянием через поправки

Δ ijmn c = v (1 v )( C ijdb A ¯ dbmn + e pij F ¯ pmn ) MathType@MTEF@5@5@+= feaahGart1ev3aqatCvAUfeBSjuyZL2yd9gzLbvyNv2Caerbov2D09 MBaeXatLxBI9gBaerbd9wDYLwzYbItLDharuavP1wzZbItLDhis9wB H5garqqtubsr4rNCHbGeaGqipy0de9vqqrpepC0xbbL8F4rqqrFfpe ea0pd9Zqpe0xc9q8qqaqFn0dXdir=xcvk9pIe9q8qqaq=dir=f0=yq aqVeLsFr0=vr0=vr0db8meaabaqaciaacaGaaeqabaWaaqaafaaake aacqqHuoardaqhaaWcbaGaamyAaiaadQgacaWGTbGaamOBaaqaaiaa dogaaaGccqGH9aqpcaWG2bWaaSbaaSqaaiablIHiVbqabaGccaGGOa GaaGymaiabgkHiTiaadAhadaWgaaWcbaGaeSigI8gabeaakiaacMca caGGOaGaeyOeI0Iaam4qamaaBaaaleaacaWGPbGaamOAaiaadsgaca WGIbaabeaakiqadgeagaqeamaaDaaaleaacaWGKbGaamOyaiaad2ga caWGUbaabaaaaOGaey4kaSIaamyzamaaBaaaleaacaWGWbGaamyAai aadQgaaeqaaOGabmOrayaaraWaa0baaSqaaiaadchacaWGTbGaamOB aaqaaaaakiaacMcaaaa@5FA5@

Δ (σ)nij e = v (1 v )( e pij H ¯ pn + C ijpq B ¯ pqn ) MathType@MTEF@5@5@+= feaahGart1ev3aqatCvAUfeBSjuyZL2yd9gzLbvyNv2Caerbov2D09 MBaeXatLxBI9gBaerbd9wDYLwzYbItLDharuavP1wzZbItLDhis9wB H5garqqtubsr4rNCHbGeaGqipy0de9vqqrpepC0xbbL8F4rqqrFfpe ea0pd9Zqpe0xc9q8qqaqFn0dXdir=xcvk9pIe9q8qqaq=dir=f0=yq aqVeLsFr0=vr0=vr0db8meaabaqaciaacaGaaeqabaWaaqaafaaake aacqqHuoardaqhaaWcbaGaaiikaiabeo8aZjaacMcacaWGUbGaamyA aiaadQgaaeaacaWGLbaaaOGaeyypa0JaamODamaaBaaaleaacqWIyi YBaeqaaOGaaiikaiaaigdacqGHsislcaWG2bWaaSbaaSqaaiablIHi VbqabaGccaGGPaGaaiikaiabgkHiTiaadwgadaWgaaWcbaGaamiCai aadMgacaWGQbaabeaakiqadIeagaqeamaaDaaaleaacaWGWbGaamOB aaqaaaaakiabgUcaRiaadoeadaWgaaWcbaGaamyAaiaadQgacaWGWb GaamyCaaqabaGcceWGcbGbaebadaqhaaWcbaGaamiCaiaadghacaWG UbaabaaaaOGaaiykaaaa@6026@

Δ (D)imn e = v (1 v )( e ipq A ¯ pqmn λ ip F ¯ pmn ) MathType@MTEF@5@5@+= feaahGart1ev3aqatCvAUfeBSjuyZL2yd9gzLbvyNv2Caerbov2D09 MBaeXatLxBI9gBaerbd9wDYLwzYbItLDharuavP1wzZbItLDhis9wB H5garqqtubsr4rNCHbGeaGqipy0de9vqqrpepC0xbbL8F4rqqrFfpe ea0pd9Zqpe0xc9q8qqaqFn0dXdir=xcvk9pIe9q8qqaq=dir=f0=yq aqVeLsFr0=vr0=vr0db8meaabaqaciaacaGaaeqabaWaaqaafaaake aacqqHuoardaqhaaWcbaGaaiikaiaadseacaGGPaGaamyAaiaad2ga caWGUbaabaGaamyzaaaakiabg2da9iaadAhadaWgaaWcbaGaeSigI8 gabeaakiaacIcacaaIXaGaeyOeI0IaamODamaaBaaaleaacqWIyiYB aeqaaOGaaiykaiaacIcacqGHsislcaWGLbWaaSbaaSqaaiaadMgaca WGWbGaamyCaaqabaGcceWGbbGbaebadaqhaaWcbaGaamiCaiaadgha caWGTbGaamOBaaqaaaaakiabgkHiTiabeU7aSnaaBaaaleaacaWGPb GaamiCaaqabaGcceWGgbGbaebadaqhaaWcbaGaamiCaiaad2gacaWG UbaabaaaaOGaaiykaaaa@6029@  (3.6)

Δ kn λ = v (1 v )( λ kp H ¯ pn + e kpq B ¯ pqn ) MathType@MTEF@5@5@+= feaahGart1ev3aqatCvAUfeBSjuyZL2yd9gzLbvyNv2Caerbov2D09 MBaeXatLxBI9gBaerbd9wDYLwzYbItLDharuavP1wzZbItLDhis9wB H5garqqtubsr4rNCHbGeaGqipy0de9vqqrpepC0xbbL8F4rqqrFfpe ea0pd9Zqpe0xc9q8qqaqFn0dXdir=xcvk9pIe9q8qqaq=dir=f0=yq aqVeLsFr0=vr0=vr0db8meaabaqaciaacaGaaeqabaWaaqaafaaake aacqqHuoardaqhaaWcbaGaam4Aaiaad6gaaeaacqaH7oaBaaGccqGH 9aqpcqGHsislcaWG2bWaaSbaaSqaaiablIHiVbqabaGccaGGOaGaaG ymaiabgkHiTiaadAhadaWgaaWcbaGaeSigI8gabeaakiaacMcacaGG OaGaeq4UdW2aaSbaaSqaaiaadUgacaWGWbaabeaakiqadIeagaqeam aaDaaaleaacaWGWbGaamOBaaqaaaaakiabgUcaRiaadwgadaWgaaWc baGaam4AaiaadchacaWGXbaabeaakiqadkeagaqeamaaDaaaleaaca WGWbGaamyCaiaad6gaaeaaaaGccaGGPaaaaa@5BF9@

к соответствующим осредненным по объему значениям

<C>=C(1 v ) MathType@MTEF@5@5@+= feaahGart1ev3aqatCvAUfeBSjuyZL2yd9gzLbvyNv2Caerbov2D09 MBaeXatLxBI9gBaerbd9wDYLwzYbItLDharuavP1wzZbItLDhis9wB H5garqqtubsr4rNCHbGeaGqipy0de9vqqrpepC0xbbL8F4rqqrFfpe ea0pd9Zqpe0xc9q8qqaqFn0dXdir=xcvk9pIe9q8qqaq=dir=f0=yq aqVeLsFr0=vr0=vr0db8meaabaqaciaacaGaaeqabaWaaqaafaaake aacqGH8aapcaWHdbGaeyOpa4Jaeyypa0JaaC4qaiaacIcacaaIXaGa eyOeI0IaamODamaaBaaaleaacqWIyiYBaeqaaOGaaiykaaaa@4614@ , <e>=e(1 v ) MathType@MTEF@5@5@+= feaahGart1ev3aqatCvAUfeBSjuyZL2yd9gzLbvyNv2Caerbov2D09 MBaeXatLxBI9gBaerbd9wDYLwzYbItLDharuavP1wzZbItLDhis9wB H5garqqtubsr4rNCHbGeaGqipy0de9vqqrpepC0xbbL8F4rqqrFfpe ea0pd9Zqpe0xc9q8qqaqFn0dXdir=xcvk9pIe9q8qqaq=dir=f0=yq aqVeLsFr0=vr0=vr0db8meaabaqaciaacaGaaeqabaWaaqaafaaake aacqGH8aapcaWHLbGaeyOpa4Jaeyypa0JaaCyzaiaacIcacaaIXaGa eyOeI0IaamODamaaBaaaleaacqWIyiYBaeqaaOGaaiykaaaa@4658@ , <λ>=λ(1 v ) MathType@MTEF@5@5@+= feaahGart1ev3aqatCvAUfeBSjuyZL2yd9gzLbvyNv2Caerbov2D09 MBaeXatLxBI9gBaerbd9wDYLwzYbItLDharuavP1wzZbItLDhis9wB H5garqqtubsr4rNCHbGeaGqipy0de9vqqrpepC0xbbL8F4rqqrFfpe ea0pd9Zqpe0xc9q8qqaqFn0dXdir=xcvk9pIe9q8qqaq=dir=f0=yq aqVeLsFr0=vr0=vr0db8meaabaqaciaacaGaaeqabaWaaqaafaaake aacqGH8aapiiqacqWF7oaBcqGH+aGpcqGH9aqpcqWF7oaBcaGGOaGa aGymaiabgkHiTiaadAhadaWgaaWcbaGaeSigI8gabeaakiaacMcaaa a@47E5@ ,

где тензоры A ¯ MathType@MTEF@5@5@+= feaahGart1ev3aqatCvAUfeBSjuyZL2yd9gzLbvyNv2Caerbov2D09 MBaeXatLxBI9gBaerbd9wDYLwzYbItLDharuavP1wzZbItLDhis9wB H5garqqtubsr4rNCHbGeaGqipy0de9vqqrpepC0xbbL8F4rqqrFfpe ea0pd9Zqpe0xc9q8qqaqFn0dXdir=xcvk9pIe9q8qqaq=dir=f0=yq aqVeLsFr0=vr0=vr0db8meaabaqaciaacaGaaeqabaWaaqaafaaake aaceWHbbGbaebaaaa@3CE0@ , B ¯ MathType@MTEF@5@5@+= feaahGart1ev3aqatCvAUfeBSjuyZL2yd9gzLbvyNv2Caerbov2D09 MBaeXatLxBI9gBaerbd9wDYLwzYbItLDharuavP1wzZbItLDhis9wB H5garqqtubsr4rNCHbGeaGqipy0de9vqqrpepC0xbbL8F4rqqrFfpe ea0pd9Zqpe0xc9q8qqaqFn0dXdir=xcvk9pIe9q8qqaq=dir=f0=yq aqVeLsFr0=vr0=vr0db8meaabaqaciaacaGaaeqabaWaaqaafaaake aaceWHcbGbaebaaaa@3CE1@ ,… (3.6) входят в разложения

u ¯ ij = A ¯ ijmn u mn * + B ¯ ijn E n * MathType@MTEF@5@5@+= feaahGart1ev3aqatCvAUfeBSjuyZL2yd9gzLbvyNv2Caerbov2D09 MBaeXatLxBI9gBaerbd9wDYLwzYbItLDharuavP1wzZbItLDhis9wB H5garqqtubsr4rNCHbGeaGqipy0de9vqqrpepC0xbbL8F4rqqrFfpe ea0pd9Zqpe0xc9q8qqaqFn0dXdir=xcvk9pIe9q8qqaq=dir=f0=yq aqVeLsFr0=vr0=vr0db8meaabaqaciaacaGaaeqabaWaaqaafaaake aaceWG1bGbaebadaqhaaWcbaGaamyAaiaadQgaaeaaaaGccqGH9aqp ceWGbbGbaebadaqhaaWcbaGaamyAaiaadQgacaWGTbGaamOBaaqaaa aakiaadwhadaqhaaWcbaGaamyBaiaad6gaaeaacaGGQaaaaOGaey4k aSIabmOqayaaraWaa0baaSqaaiaadMgacaWGQbGaamOBaaqaaaaaki aadweadaqhaaWcbaGaamOBaaqaaiaacQcaaaaaaa@5025@ , E ¯ i = F ¯ imn u mn * + H ¯ in E n * MathType@MTEF@5@5@+= feaahGart1ev3aqatCvAUfeBSjuyZL2yd9gzLbvyNv2Caerbov2D09 MBaeXatLxBI9gBaerbd9wDYLwzYbItLDharuavP1wzZbItLDhis9wB H5garqqtubsr4rNCHbGeaGqipy0de9vqqrpepC0xbbL8F4rqqrFfpe ea0pd9Zqpe0xc9q8qqaqFn0dXdir=xcvk9pIe9q8qqaq=dir=f0=yq aqVeLsFr0=vr0=vr0db8meaabaqaciaacaGaaeqabaWaaqaafaaake aaceWGfbGbaebadaqhaaWcbaGaamyAaaqaaaaakiabg2da9iqadAea gaqeamaaDaaaleaacaWGPbGaamyBaiaad6gaaeaaaaGccaWG1bWaa0 baaSqaaiaad2gacaWGUbaabaGaaiOkaaaakiabgUcaRiqadIeagaqe amaaDaaaleaacaWGPbGaamOBaaqaaaaakiaadweadaqhaaWcbaGaam OBaaqaaiaacQcaaaaaaa@4D33@  (3.7)

с учетом представления пульсаций ( rV MathType@MTEF@5@5@+= feaahGart1ev3aqatCvAUfeBSjuyZL2yd9gzLbvyNv2Caerbov2D09 MBaeXatLxBI9gBaerbd9wDYLwzYbItLDharuavP1wzZbItLDhis9wB H5garqqtubsr4rNCHbGeaGqipy0de9vqqrpepC0xbbL8F4rqqrFfpe ea0pd9Zqpe0xc9q8qqaqFn0dXdir=xcvk9pIe9q8qqaq=dir=f0=yq aqVeLsFr0=vr0=vr0db8meaabaqaciaacaGaaeqabaWaaqaafaaake aacaWHYbGaeyicI4SaaCOvaaaa@3F5C@  )

u i,j ' (r) u i,j (r) u ij * = u ¯ ij i ' (r) MathType@MTEF@5@5@+= feaahGart1ev3aaatCvAUfeBSjuyZL2yd9gzLbvyNv2Caerbov2D09 MBaeXatLxBI9gBaerbd9wDYLwzYbItLDharuavP1wzZbItLDhis9wB H5garqqtubsr4rNCHbGeaGqipy0de9vqqrpepC0xbbL8F4rqqrFfpe ea0pd9Zqpe0xc9q8qqaqFn0dXdir=xcvk9pIe9q8qqaq=dir=f0=yq aqVeLsFr0=vr0=vr0db8meaabaqaciaacaGaaeqabaWaaqaafaaake aacaWG1bWaa0baaSqaaiaadMgacaGGSaGaamOAaaqaaiaacEcaaaGc caGGOaGaaCOCaiaacMcacqGHHjIUcaWG1bWaa0baaSqaaiaadMgaca GGSaGaamOAaaqaaaaakiaacIcacaWHYbGaaiykaiabgkHiTiaadwha daqhaaWcbaGaamyAaiaadQgaaeaacaGGQaaaaOGaeyypa0JabmyDay aaraWaa0baaSqaaiaadMgacaWGQbaabaaaaOGaamyAamaaDaaaleaa cqWIyiYBaeaacaGGNaaaaOGaaiikaiaahkhacaGGPaaaaa@58C8@ , E ' (r)E(r) E * = E ¯ i ' (r) MathType@MTEF@5@5@+= feaahGart1ev3aqatCvAUfeBSjuyZL2yd9gzLbvyNv2Caerbov2D09 MBaeXatLxBI9gBaerbd9wDYLwzYbItLDharuavP1wzZbItLDhis9wB H5garqqtubsr4rNCHbGeaGqipy0de9vqqrpepC0xbbL8F4rqqrFfpe ea0pd9Zqpe0xc9q8qqaqFn0dXdir=xcvk9pIe9q8qqaq=dir=f0=yq aqVeLsFr0=vr0=vr0db8meaabaqaciaacaGaaeqabaWaaqaafaaake aacaWHfbWaa0baaSqaaaqaaiaacEcaaaGccaGGOaGaaCOCaiaacMca cqGHHjIUcaWHfbGaaiikaiaahkhacaGGPaGaeyOeI0IaaCyramaaDa aaleaaaeaacaGGQaaaaOGaeyypa0JabCyrayaaraWaaSbaaSqaaaqa baGccaWGPbWaa0baaSqaaiablIHiVbqaaiaacEcaaaGccaGGOaGaaC OCaiaacMcaaaa@4F0D@

производных перемещений u i,j ' (r) MathType@MTEF@5@5@+= feaahGart1ev3aqatCvAUfeBSjuyZL2yd9gzLbvyNv2Caerbov2D09 MBaeXatLxBI9gBaerbd9wDYLwzYbItLDharuavP1wzZbItLDhis9wB H5garqqtubsr4rNCHbGeaGqipy0de9vqqrpepC0xbbL8F4rqqrFfpe ea0pd9Zqpe0xc9q8qqaqFn0dXdir=xcvk9pIe9q8qqaq=dir=f0=yq aqVeLsFr0=vr0=vr0db8meaabaqaciaacaGaaeqabaWaaqaafaaake aacaWG1bWaa0baaSqaaiaadMgacaGGSaGaamOAaaqaaiaacEcaaaGc caGGOaGaaCOCaiaacMcaaaa@42BB@  и электрической напряженности E ' (r) MathType@MTEF@5@5@+= feaahGart1ev3aqatCvAUfeBSjuyZL2yd9gzLbvyNv2Caerbov2D09 MBaeXatLxBI9gBaerbd9wDYLwzYbItLDharuavP1wzZbItLDhis9wB H5garqqtubsr4rNCHbGeaGqipy0de9vqqrpepC0xbbL8F4rqqrFfpe ea0pd9Zqpe0xc9q8qqaqFn0dXdir=xcvk9pIe9q8qqaq=dir=f0=yq aqVeLsFr0=vr0=vr0db8meaabaqaciaacaGaaeqabaWaaqaafaaake aacaWHfbWaa0baaSqaaaqaaiaacEcaaaGccaGGOaGaaCOCaiaacMca aaa@4002@  в области V MathType@MTEF@5@5@+= feaahGart1ev3aqatCvAUfeBSjuyZL2yd9gzLbvyNv2Caerbov2D09 MBaeXatLxBI9gBaerbd9wDYLwzYbItLDharuavP1wzZbItLDhis9wB H5garqqtubsr4rNCHbGeaGqipy0de9vqqrpepC0xbbL8F4rqqrFfpe ea0pd9Zqpe0xc9q8qqaqFn0dXdir=xcvk9pIe9q8qqaq=dir=f0=yq aqVeLsFr0=vr0=vr0db8meaabaqaciaacaGaaeqabaWaaqaafaaake aacaWHwbaaaa@3CDD@ , i ' (r)= i (r) v MathType@MTEF@5@5@+= feaahGart1ev3aqatCvAUfeBSjuyZL2yd9gzLbvyNv2Caerbov2D09 MBaeXatLxBI9gBaerbd9wDYLwzYbItLDharuavP1wzZbItLDhis9wB H5garqqtubsr4rNCHbGeaGqipy0de9vqqrpepC0xbbL8F4rqqrFfpe ea0pd9Zqpe0xc9q8qqaqFn0dXdir=xcvk9pIe9q8qqaq=dir=f0=yq aqVeLsFr0=vr0=vr0db8meaabaqaciaacaGaaeqabaWaaqaafaaake aacaWGPbWaa0baaSqaaiablIHiVbqaaiaacEcaaaGccaGGOaGaaCOC aiaacMcacqGH9aqpcaWGPbWaa0baaSqaaiablIHiVbqaaaaakiaacI cacaWHYbGaaiykaiabgkHiTiaadAhadaqhaaWcbaGaeSigI8gabaaa aaaa@4A64@  пульсация индикаторной функции i (r) MathType@MTEF@5@5@+= feaahGart1ev3aqatCvAUfeBSjuyZL2yd9gzLbvyNv2Caerbov2D09 MBaeXatLxBI9gBaerbd9wDYLwzYbItLDharuavP1wzZbItLDhis9wB H5garqqtubsr4rNCHbGeaGqipy0de9vqqrpepC0xbbL8F4rqqrFfpe ea0pd9Zqpe0xc9q8qqaqFn0dXdir=xcvk9pIe9q8qqaq=dir=f0=yq aqVeLsFr0=vr0=vr0db8meaabaqaciaacaGaaeqabaWaaqaafaaake aacaWGPbWaa0baaSqaaiablIHiVbqaaaaakiaacIcacaWHYbGaaiyk aaaa@40B1@  пор (здесь i MathType@MTEF@5@5@+= feaahGart1ev3aqatCvAUfeBSjuyZL2yd9gzLbvyNv2Caerbov2D09 MBaeXatLxBI9gBaerbd9wDYLwzYbItLDharuavP1wzZbItLDhis9wB H5garqqtubsr4rNCHbGeaGqipy0de9vqqrpepC0xbbL8F4rqqrFfpe ea0pd9Zqpe0xc9q8qqaqFn0dXdir=xcvk9pIe9q8qqaq=dir=f0=yq aqVeLsFr0=vr0=vr0db8meaabaqaciaacaGaaeqabaWaaqaafaaake aacaWGPbWaa0baaSqaaiablIHiVbqaaaaaaaa@3E53@  =1 в области пор и i MathType@MTEF@5@5@+= feaahGart1ev3aqatCvAUfeBSjuyZL2yd9gzLbvyNv2Caerbov2D09 MBaeXatLxBI9gBaerbd9wDYLwzYbItLDharuavP1wzZbItLDhis9wB H5garqqtubsr4rNCHbGeaGqipy0de9vqqrpepC0xbbL8F4rqqrFfpe ea0pd9Zqpe0xc9q8qqaqFn0dXdir=xcvk9pIe9q8qqaq=dir=f0=yq aqVeLsFr0=vr0=vr0db8meaabaqaciaacaGaaeqabaWaaqaafaaake aacaWGPbWaa0baaSqaaiablIHiVbqaaaaaaaa@3E53@  =0 – каркасе пористой керамики), v =< i > MathType@MTEF@5@5@+= feaahGart1ev3aqatCvAUfeBSjuyZL2yd9gzLbvyNv2Caerbov2D09 MBaeXatLxBI9gBaerbd9wDYLwzYbItLDharuavP1wzZbItLDhis9wB H5garqqtubsr4rNCHbGeaGqipy0de9vqqrpepC0xbbL8F4rqqrFfpe ea0pd9Zqpe0xc9q8qqaqFn0dXdir=xcvk9pIe9q8qqaq=dir=f0=yq aqVeLsFr0=vr0=vr0db8meaabaqaciaacaGaaeqabaWaaqaafaaake aacaWG2bWaa0baaSqaaiablIHiVbqaaaaakiabg2da9iabgYda8iaa dMgadaqhaaWcbaGaeSigI8gabaaaaOGaeyOpa4daaa@43DB@  относительное объемное содержание туннельных пор в области V MathType@MTEF@5@5@+= feaahGart1ev3aqatCvAUfeBSjuyZL2yd9gzLbvyNv2Caerbov2D09 MBaeXatLxBI9gBaerbd9wDYLwzYbItLDharuavP1wzZbItLDhis9wB H5garqqtubsr4rNCHbGeaGqipy0de9vqqrpepC0xbbL8F4rqqrFfpe ea0pd9Zqpe0xc9q8qqaqFn0dXdir=xcvk9pIe9q8qqaq=dir=f0=yq aqVeLsFr0=vr0=vr0db8meaabaqaciaacaGaaeqabaWaaqaafaaake aacaWHwbaaaa@3CDD@ , в общем, v (0;1) MathType@MTEF@5@5@+= feaahGart1ev3aqatCvAUfeBSjuyZL2yd9gzLbvyNv2Caerbov2D09 MBaeXatLxBI9gBaerbd9wDYLwzYbItLDharuavP1wzZbItLDhis9wB H5garqqtubsr4rNCHbGeaGqipy0de9vqqrpepC0xbbL8F4rqqrFfpe ea0pd9Zqpe0xc9q8qqaqFn0dXdir=xcvk9pIe9q8qqaq=dir=f0=yq aqVeLsFr0=vr0=vr0db8meaabaqaciaacaGaaeqabaWaaqaafaaake aacaWG2bWaa0baaSqaaiablIHiVbqaaaaakiabgIGiolaacIcacaaI WaGaai4oaiaaigdacaGGPaaaaa@437B@ . В выражениях (3.6), (3.7) компоненты тензоров A ¯ MathType@MTEF@5@5@+= feaahGart1ev3aqatCvAUfeBSjuyZL2yd9gzLbvyNv2Caerbov2D09 MBaeXatLxBI9gBaerbd9wDYLwzYbItLDharuavP1wzZbItLDhis9wB H5garqqtubsr4rNCHbGeaGqipy0de9vqqrpepC0xbbL8F4rqqrFfpe ea0pd9Zqpe0xc9q8qqaqFn0dXdir=xcvk9pIe9q8qqaq=dir=f0=yq aqVeLsFr0=vr0=vr0db8meaabaqaciaacaGaaeqabaWaaqaafaaake aaceWHbbGbaebaaaa@3CE0@ , F ¯ MathType@MTEF@5@5@+= feaahGart1ev3aqatCvAUfeBSjuyZL2yd9gzLbvyNv2Caerbov2D09 MBaeXatLxBI9gBaerbd9wDYLwzYbItLDharuavP1wzZbItLDhis9wB H5garqqtubsr4rNCHbGeaGqipy0de9vqqrpepC0xbbL8F4rqqrFfpe ea0pd9Zqpe0xc9q8qqaqFn0dXdir=xcvk9pIe9q8qqaq=dir=f0=yq aqVeLsFr0=vr0=vr0db8meaabaqaciaacaGaaeqabaWaaqaafaaake aaceWHgbGbaebaaaa@3CE5@  и H ¯ MathType@MTEF@5@5@+= feaahGart1ev3aqatCvAUfeBSjuyZL2yd9gzLbvyNv2Caerbov2D09 MBaeXatLxBI9gBaerbd9wDYLwzYbItLDharuavP1wzZbItLDhis9wB H5garqqtubsr4rNCHbGeaGqipy0de9vqqrpepC0xbbL8F4rqqrFfpe ea0pd9Zqpe0xc9q8qqaqFn0dXdir=xcvk9pIe9q8qqaq=dir=f0=yq aqVeLsFr0=vr0=vr0db8meaabaqaciaacaGaaeqabaWaaqaafaaake aaceWHibGbaebaaaa@3CE7@ , B ¯ MathType@MTEF@5@5@+= feaahGart1ev3aqatCvAUfeBSjuyZL2yd9gzLbvyNv2Caerbov2D09 MBaeXatLxBI9gBaerbd9wDYLwzYbItLDharuavP1wzZbItLDhis9wB H5garqqtubsr4rNCHbGeaGqipy0de9vqqrpepC0xbbL8F4rqqrFfpe ea0pd9Zqpe0xc9q8qqaqFn0dXdir=xcvk9pIe9q8qqaq=dir=f0=yq aqVeLsFr0=vr0=vr0db8meaabaqaciaacaGaaeqabaWaaqaafaaake aaceWHcbGbaebaaaa@3CE1@  решения двух независимых систем линейных алгебраических уравнений по методу функций Грина в “обобщенном сингулярном приближении” [32].

3.3. Метод функций Грина. Введем в рассмотрение функции Грина

G= U ik U i (1) Φ k Φ (1) MathType@MTEF@5@5@+= feaahGart1ev3aqatCvAUfeBSjuyZL2yd9gzLbvyNv2Caerbov2D09 MBaeXatLxBI9gBaerbd9wDYLwzYbItLDharuavP1wzZbItLDhis9wB H5garqqtubsr4rNCHbGeaGqipy0de9vqqrpepC0xbbL8F4rqqrFfpe ea0pd9Zqpe0xc9q8qqaqFn0dXdir=xcvk9pIe9q8qqaq=dir=f0=yq aqVeLsFr0=vr0=vr0db8meaabaqaciaacaGaaeqabaWaaqaafaaake aacaWHhbGaeyypa0ZaauWaaeaafaqabeGacaaabaGaamyvamaaDaaa leaacaWGPbGaam4AaaqaaaaaaOqaaiaadwfadaqhaaWcbaGaamyAaa qaaiaacIcacaaIXaGaaiykaaaaaOqaaiabfA6agnaaDaaaleaacaWG RbaabaaaaaGcbaGaeuOPdy0aa0baaSqaaaqaaiaacIcacaaIXaGaai ykaaaaaaaakiaawMa7caGLkWoaaaa@4E73@  (3.8)

для однородной анизотропной пьезоэлектрической “среды сравнения” [27, 31], где G=G(ρ) MathType@MTEF@5@5@+= feaahGart1ev3aaatCvAUfeBSjuyZL2yd9gzLbvyNv2Caerbov2D09 MBaeXatLxBI9gBaerbd9wDYLwzYbItLDharuavP1wzZbItLDhis9wB H5garqqtubsr4rNCHbGeaGqipy0de9vqqrpepC0xbbL8F4rqqrFfpe ea0pd9Zqpe0xc9q8qqaqFn0dXdir=xcvk9pIe9q8qqaq=dir=f0=yq aqVeLsFr0=vr0=vr0db8meaabaqaciaacaGaaeqabaWaaqaafaaake aacaWHhbGaeyypa0JaaC4raiaacIcaiiqacqWFbpGCcaGGPaaaaa@41C2@ , ρ=r r 1 MathType@MTEF@5@5@+= feaahGart1ev3aqatCvAUfeBSjuyZL2yd9gzLbvyNv2Caerbov2D09 MBaeXatLxBI9gBaerbd9wDYLwzYbItLDharuavP1wzZbItLDhis9wB H5garqqtubsr4rNCHbGeaGqipy0de9vqqrpepC0xbbL8F4rqqrFfpe ea0pd9Zqpe0xc9q8qqaqFn0dXdir=xcvk9pIe9q8qqaq=dir=f0=yq aqVeLsFr0=vr0=vr0db8meaabaqaciaacaGaaeqabaWaaqaafaaake aaiiqacqWFbpGCcqGH9aqpcaWHYbGaeyOeI0IaaCOCamaaBaaaleaa caaIXaaabeaaaaa@4294@ . В первом столбце матрицы (3.8) величины U ik MathType@MTEF@5@5@+= feaahGart1ev3aqatCvAUfeBSjuyZL2yd9gzLbvyNv2Caerbov2D09 MBaeXatLxBI9gBaerbd9wDYLwzYbItLDharuavP1wzZbItLDhis9wB H5garqqtubsr4rNCHbGeaGqipy0de9vqqrpepC0xbbL8F4rqqrFfpe ea0pd9Zqpe0xc9q8qqaqFn0dXdir=xcvk9pIe9q8qqaq=dir=f0=yq aqVeLsFr0=vr0=vr0db8meaabaqaciaacaGaaeqabaWaaqaafaaake aacaWGvbWaa0baaSqaaiaadMgacaWGRbaabaaaaaaa@3EE3@ , Φ k MathType@MTEF@5@5@+= feaahGart1ev3aqatCvAUfeBSjuyZL2yd9gzLbvyNv2Caerbov2D09 MBaeXatLxBI9gBaerbd9wDYLwzYbItLDharuavP1wzZbItLDhis9wB H5garqqtubsr4rNCHbGeaGqipy0de9vqqrpepC0xbbL8F4rqqrFfpe ea0pd9Zqpe0xc9q8qqaqFn0dXdir=xcvk9pIe9q8qqaq=dir=f0=yq aqVeLsFr0=vr0=vr0db8meaabaqaciaacaGaaeqabaWaaqaafaaake aacqqHMoGrdaqhaaWcbaGaam4Aaaqaaaaaaaa@3E95@  это перемещения по оси r i MathType@MTEF@5@5@+= feaahGart1ev3aqatCvAUfeBSjuyZL2yd9gzLbvyNv2Caerbov2D09 MBaeXatLxBI9gBaerbd9wDYLwzYbItLDharuavP1wzZbItLDhis9wB H5garqqtubsr4rNCHbGeaGqipy0de9vqqrpepC0xbbL8F4rqqrFfpe ea0pd9Zqpe0xc9q8qqaqFn0dXdir=xcvk9pIe9q8qqaq=dir=f0=yq aqVeLsFr0=vr0=vr0db8meaabaqaciaacaGaaeqabaWaaqaafaaake aacaWGYbWaaSbaaSqaaiaadMgaaeqaaaaa@3E0F@  и электрический потенциал в точке r MathType@MTEF@5@5@+= feaahGart1ev3aqatCvAUfeBSjuyZL2yd9gzLbvyNv2Caerbov2D09 MBaeXatLxBI9gBaerbd9wDYLwzYbItLDharuavP1wzZbItLDhis9wB H5garqqtubsr4rNCHbGeaGqipy0de9vqqrpepC0xbbL8F4rqqrFfpe ea0pd9Zqpe0xc9q8qqaqFn0dXdir=xcvk9pIe9q8qqaq=dir=f0=yq aqVeLsFr0=vr0=vr0db8meaabaqaciaacaGaaeqabaWaaqaafaaake aacaWHYbaaaa@3CF9@  от действия в точке r 1 MathType@MTEF@5@5@+= feaahGart1ev3aqatCvAUfeBSjuyZL2yd9gzLbvyNv2Caerbov2D09 MBaeXatLxBI9gBaerbd9wDYLwzYbItLDharuavP1wzZbItLDhis9wB H5garqqtubsr4rNCHbGeaGqipy0de9vqqrpepC0xbbL8F4rqqrFfpe ea0pd9Zqpe0xc9q8qqaqFn0dXdir=xcvk9pIe9q8qqaq=dir=f0=yq aqVeLsFr0=vr0=vr0db8meaabaqaciaacaGaaeqabaWaaqaafaaake aacaWHYbWaaSbaaSqaaiaaigdaaeqaaaaa@3DE0@  единичной силы вдоль координатной оси r k MathType@MTEF@5@5@+= feaahGart1ev3aqatCvAUfeBSjuyZL2yd9gzLbvyNv2Caerbov2D09 MBaeXatLxBI9gBaerbd9wDYLwzYbItLDharuavP1wzZbItLDhis9wB H5garqqtubsr4rNCHbGeaGqipy0de9vqqrpepC0xbbL8F4rqqrFfpe ea0pd9Zqpe0xc9q8qqaqFn0dXdir=xcvk9pIe9q8qqaq=dir=f0=yq aqVeLsFr0=vr0=vr0db8meaabaqaciaacaGaaeqabaWaaqaafaaake aacaWGYbWaaSbaaSqaaiaadUgaaeqaaaaa@3E11@ . Во втором столбце матрицы (3.8) величины U i (1) MathType@MTEF@5@5@+= feaahGart1ev3aqatCvAUfeBSjuyZL2yd9gzLbvyNv2Caerbov2D09 MBaeXatLxBI9gBaerbd9wDYLwzYbItLDharuavP1wzZbItLDhis9wB H5garqqtubsr4rNCHbGeaGqipy0de9vqqrpepC0xbbL8F4rqqrFfpe ea0pd9Zqpe0xc9q8qqaqFn0dXdir=xcvk9pIe9q8qqaq=dir=f0=yq aqVeLsFr0=vr0=vr0db8meaabaqaciaacaGaaeqabaWaaqaafaaake aacaWGvbWaa0baaSqaaiaadMgaaeaacaGGOaGaaGymaiaacMcaaaaa aa@4007@ , Φ (1) MathType@MTEF@5@5@+= feaahGart1ev3aqatCvAUfeBSjuyZL2yd9gzLbvyNv2Caerbov2D09 MBaeXatLxBI9gBaerbd9wDYLwzYbItLDharuavP1wzZbItLDhis9wB H5garqqtubsr4rNCHbGeaGqipy0de9vqqrpepC0xbbL8F4rqqrFfpe ea0pd9Zqpe0xc9q8qqaqFn0dXdir=xcvk9pIe9q8qqaq=dir=f0=yq aqVeLsFr0=vr0=vr0db8meaabaqaciaacaGaaeqabaWaaqaafaaake aacqqHMoGrdaqhaaWcbaaabaGaaiikaiaaigdacaGGPaaaaaaa@3FB9@  это перемещения по оси r i MathType@MTEF@5@5@+= feaahGart1ev3aqatCvAUfeBSjuyZL2yd9gzLbvyNv2Caerbov2D09 MBaeXatLxBI9gBaerbd9wDYLwzYbItLDharuavP1wzZbItLDhis9wB H5garqqtubsr4rNCHbGeaGqipy0de9vqqrpepC0xbbL8F4rqqrFfpe ea0pd9Zqpe0xc9q8qqaqFn0dXdir=xcvk9pIe9q8qqaq=dir=f0=yq aqVeLsFr0=vr0=vr0db8meaabaqaciaacaGaaeqabaWaaqaafaaake aacaWGYbWaaSbaaSqaaiaadMgaaeqaaaaa@3E0F@  и электрический потенциал в точке r MathType@MTEF@5@5@+= feaahGart1ev3aqatCvAUfeBSjuyZL2yd9gzLbvyNv2Caerbov2D09 MBaeXatLxBI9gBaerbd9wDYLwzYbItLDharuavP1wzZbItLDhis9wB H5garqqtubsr4rNCHbGeaGqipy0de9vqqrpepC0xbbL8F4rqqrFfpe ea0pd9Zqpe0xc9q8qqaqFn0dXdir=xcvk9pIe9q8qqaq=dir=f0=yq aqVeLsFr0=vr0=vr0db8meaabaqaciaacaGaaeqabaWaaqaafaaake aacaWHYbaaaa@3CF9@  от действия в точке r 1 MathType@MTEF@5@5@+= feaahGart1ev3aqatCvAUfeBSjuyZL2yd9gzLbvyNv2Caerbov2D09 MBaeXatLxBI9gBaerbd9wDYLwzYbItLDharuavP1wzZbItLDhis9wB H5garqqtubsr4rNCHbGeaGqipy0de9vqqrpepC0xbbL8F4rqqrFfpe ea0pd9Zqpe0xc9q8qqaqFn0dXdir=xcvk9pIe9q8qqaq=dir=f0=yq aqVeLsFr0=vr0=vr0db8meaabaqaciaacaGaaeqabaWaaqaafaaake aacaWHYbWaaSbaaSqaaiaaigdaaeqaaaaa@3DE0@  единичного электрического источника соответственно. Свойства среды сравнения задаем через тензоры упругих свойств C MathType@MTEF@5@5@+= feaahGart1ev3aqatCvAUfeBSjuyZL2yd9gzLbvyNv2Caerbov2D09 MBaeXatLxBI9gBaerbd9wDYLwzYbItLDharuavP1wzZbItLDhis9wB H5garqqtubsr4rNCHbGeaGqipy0de9vqqrpepC0xbbL8F4rqqrFfpe ea0pd9Zqpe0xc9q8qqaqFn0dXdir=xcvk9pIe9q8qqaq=dir=f0=yq aqVeLsFr0=vr0=vr0db8meaabaqaciaacaGaaeqabaWaaqaafaaake aacaWHdbWaa0baaSqaaiabgkci3cqaaaaaaaa@3E7C@ , диэлектрической проницаемости λ MathType@MTEF@5@5@+= feaahGart1ev3aqatCvAUfeBSjuyZL2yd9gzLbvyNv2Caerbov2D09 MBaeXatLxBI9gBaerbd9wDYLwzYbItLDharuavP1wzZbItLDhis9wB H5garqqtubsr4rNCHbGeaGqipy0de9vqqrpepC0xbbL8F4rqqrFfpe ea0pd9Zqpe0xc9q8qqaqFn0dXdir=xcvk9pIe9q8qqaq=dir=f0=yq aqVeLsFr0=vr0=vr0db8meaabaqaciaacaGaaeqabaWaaqaafaaake aacqaH7oaBdaqhaaWcbaGaeyOiGClabaaaaaaa@3F64@  и пьезоэлектрических модулей e MathType@MTEF@5@5@+= feaahGart1ev3aqatCvAUfeBSjuyZL2yd9gzLbvyNv2Caerbov2D09 MBaeXatLxBI9gBaerbd9wDYLwzYbItLDharuavP1wzZbItLDhis9wB H5garqqtubsr4rNCHbGeaGqipy0de9vqqrpepC0xbbL8F4rqqrFfpe ea0pd9Zqpe0xc9q8qqaqFn0dXdir=xcvk9pIe9q8qqaq=dir=f0=yq aqVeLsFr0=vr0=vr0db8meaabaqaciaacaGaaeqabaWaaqaafaaake aacaWHLbWaa0baaSqaaiabgkci3cqaaaaaaaa@3E9E@ , которые (в различных приближениях) можно приравнять, в частности, к осредненным по объему свойствам C =<C> MathType@MTEF@5@5@+= feaahGart1ev3aqatCvAUfeBSjuyZL2yd9gzLbvyNv2Caerbov2D09 MBaeXatLxBI9gBaerbd9wDYLwzYbItLDharuavP1wzZbItLDhis9wB H5garqqtubsr4rNCHbGeaGqipy0de9vqqrpepC0xbbL8F4rqqrFfpe ea0pd9Zqpe0xc9q8qqaqFn0dXdir=xcvk9pIe9q8qqaq=dir=f0=yq aqVeLsFr0=vr0=vr0db8meaabaqaciaacaGaaeqabaWaaqaafaaake aacaWHdbWaa0baaSqaaiabgkci3cqaaaaakiabg2da9iabgYda8iaa hoeacqGH+aGpaaa@4264@ , λ =<λ> MathType@MTEF@5@5@+= feaahGart1ev3aqatCvAUfeBSjuyZL2yd9gzLbvyNv2Caerbov2D09 MBaeXatLxBI9gBaerbd9wDYLwzYbItLDharuavP1wzZbItLDhis9wB H5garqqtubsr4rNCHbGeaGqipy0de9vqqrpepC0xbbL8F4rqqrFfpe ea0pd9Zqpe0xc9q8qqaqFn0dXdir=xcvk9pIe9q8qqaq=dir=f0=yq aqVeLsFr0=vr0=vr0db8meaabaqaciaacaGaaeqabaWaaqaafaaake aacqaH7oaBdaqhaaWcbaGaeyOiGClabaaaaOGaeyypa0JaeyipaWJa eq4UdWMaeyOpa4daaa@4434@ , e =<e> MathType@MTEF@5@5@+= feaahGart1ev3aqatCvAUfeBSjuyZL2yd9gzLbvyNv2Caerbov2D09 MBaeXatLxBI9gBaerbd9wDYLwzYbItLDharuavP1wzZbItLDhis9wB H5garqqtubsr4rNCHbGeaGqipy0de9vqqrpepC0xbbL8F4rqqrFfpe ea0pd9Zqpe0xc9q8qqaqFn0dXdir=xcvk9pIe9q8qqaq=dir=f0=yq aqVeLsFr0=vr0=vr0db8meaabaqaciaacaGaaeqabaWaaqaafaaake aacaWHLbWaa0baaSqaaiabgkci3cqaaaaakiabg2da9iabgYda8iaa hwgacqGH+aGpaaa@42A8@  или к свойствам монолитной керамики C =C MathType@MTEF@5@5@+= feaahGart1ev3aqatCvAUfeBSjuyZL2yd9gzLbvyNv2Caerbov2D09 MBaeXatLxBI9gBaerbd9wDYLwzYbItLDharuavP1wzZbItLDhis9wB H5garqqtubsr4rNCHbGeaGqipy0de9vqqrpepC0xbbL8F4rqqrFfpe ea0pd9Zqpe0xc9q8qqaqFn0dXdir=xcvk9pIe9q8qqaq=dir=f0=yq aqVeLsFr0=vr0=vr0db8meaabaqaciaacaGaaeqabaWaaqaafaaake aacaWHdbWaa0baaSqaaiabgkci3cqaaaaakiabg2da9iaahoeaaaa@4058@ , λ =λ MathType@MTEF@5@5@+= feaahGart1ev3aqatCvAUfeBSjuyZL2yd9gzLbvyNv2Caerbov2D09 MBaeXatLxBI9gBaerbd9wDYLwzYbItLDharuavP1wzZbItLDhis9wB H5garqqtubsr4rNCHbGeaGqipy0de9vqqrpepC0xbbL8F4rqqrFfpe ea0pd9Zqpe0xc9q8qqaqFn0dXdir=xcvk9pIe9q8qqaq=dir=f0=yq aqVeLsFr0=vr0=vr0db8meaabaqaciaacaGaaeqabaWaaqaafaaake aacqaH7oaBdaqhaaWcbaGaeyOiGClabaaaaOGaeyypa0Jaeq4UdWga aa@4228@ , e =e MathType@MTEF@5@5@+= feaahGart1ev3aqatCvAUfeBSjuyZL2yd9gzLbvyNv2Caerbov2D09 MBaeXatLxBI9gBaerbd9wDYLwzYbItLDharuavP1wzZbItLDhis9wB H5garqqtubsr4rNCHbGeaGqipy0de9vqqrpepC0xbbL8F4rqqrFfpe ea0pd9Zqpe0xc9q8qqaqFn0dXdir=xcvk9pIe9q8qqaq=dir=f0=yq aqVeLsFr0=vr0=vr0db8meaabaqaciaacaGaaeqabaWaaqaafaaake aacaWHLbWaa0baaSqaaiabgkci3cqaaaaakiabg2da9iaahwgaaaa@409C@  или к искомым эффективным свойствам композита C . = C*, λ = λ * MathType@MTEF@5@5@+= feaahGart1ev3aqatCvAUfeBSjuyZL2yd9gzLbvyNv2Caerbov2D09 MBaeXatLxBI9gBaerbd9wDYLwzYbItLDharuavP1wzZbItLDhis9wB H5garqqtubsr4rNCHbGeaGqipy0de9vqqrpepC0xbbL8F4rqqrFfpe ea0pd9Zqpe0xc9q8qqaqFn0dXdir=xcvk9pIe9q8qqaq=dir=f0=yq aqVeLsFr0=vr0=vr0db8meaabaqaciaacaGaaeqabaWaaqaafaaake aacqaH7oaBdaqhaaWcbaGaeyOiGClabaaaaOGaeyypa0Jaeq4UdW2a a0baaSqaaaqaaiaacQcaaaaaaa@4303@ , e = e * MathType@MTEF@5@5@+= feaahGart1ev3aqatCvAUfeBSjuyZL2yd9gzLbvyNv2Caerbov2D09 MBaeXatLxBI9gBaerbd9wDYLwzYbItLDharuavP1wzZbItLDhis9wB H5garqqtubsr4rNCHbGeaGqipy0de9vqqrpepC0xbbL8F4rqqrFfpe ea0pd9Zqpe0xc9q8qqaqFn0dXdir=xcvk9pIe9q8qqaq=dir=f0=yq aqVeLsFr0=vr0=vr0db8meaabaqaciaacaGaaeqabaWaaqaafaaake aacaWHLbWaa0baaSqaaiabgkci3cqaaaaakiabg2da9iaahwgadaqh aaWcbaaabaGaaiOkaaaaaaa@4177@  по схеме самосогласования [26, 27, 30].

В результате от постановки краевой задачи (3.1), (3.2) перейдем к системе интегро-дифференциальных уравнений

u i ' (r)= V U ij (r r 1 ) g ˜ j ( r 1 )d r 1 + V U i (1) (r r 1 ) q ˜ (1) ( r 1 )d r 1 φ ' (r)= V Φ j (r r 1 ) g ˜ j ( r 1 )d r 1 + V Φ (1) (r r 1 ) q ˜ (1) ( r 1 )d r 1 MathType@MTEF@5@5@+= feaahGart1ev3aqatCvAUfeBSjuyZL2yd9gzLbvyNv2Caerbov2D09 MBaeXatLxBI9gBaerbd9wDYLwzYbItLDharuavP1wzZbItLDhis9wB H5garqqtubsr4rNCHbGeaGqipy0de9vqqrpepC0xbbL8F4rqqrFfpe ea0pd9Zqpe0xc9q8qqaqFn0dXdir=xcvk9pIe9q8qqaq=dir=f0=yq aqVeLsFr0=vr0=vr0db8meaabaqaciaacaGaaeqabaWaaqaafaaake aafaqabeGabaaabaGaamyDamaaDaaaleaacaWGPbaabaGaai4jaaaa kiaacIcacaWHYbGaaiykaiabg2da9maapefabaGaamyvamaaBaaale aacaWGPbGaamOAaaqabaGccaGGOaGaaCOCaiabgkHiTiaahkhadaWg aaWcbaGaaGymaaqabaGccaGGPaGabm4zayaaiaWaaSbaaSqaaiaadQ gaaeqaaOGaaiikaiaahkhadaWgaaWcbaGaaGymaaqabaGccaGGPaGa amizaiaahkhadaWgaaWcbaGaaGymaaqabaaabaGaaCOvaaqab0Gaey 4kIipakiabgUcaRmaapefabaGaamyvamaaDaaaleaacaWGPbaabaGa aiikaiaaigdacaGGPaaaaOGaaiikaiaahkhacqGHsislcaWHYbWaaS baaSqaaiaaigdaaeqaaOGaaiykaiqadghagaacamaaCaaaleqabaGa aiikaiaaigdacaGGPaaaaOGaaiikaiaahkhadaWgaaWcbaGaaGymaa qabaGccaGGPaGaamizaiaahkhadaWgaaWcbaGaaGymaaqabaaabaGa aCOvaaqab0Gaey4kIipaaOqaaiabeA8aQnaaDaaaleaaaeaacaGGNa aaaOGaaiikaiaahkhacaGGPaGaeyypa0Zaa8quaeaacqqHMoGrdaWg aaWcbaGaamOAaaqabaGccaGGOaGaaCOCaiabgkHiTiaahkhadaWgaa WcbaGaaGymaaqabaGccaGGPaGabm4zayaaiaWaaSbaaSqaaiaadQga aeqaaOGaaiikaiaahkhadaWgaaWcbaGaaGymaaqabaGccaGGPaGaam izaiaahkhadaWgaaWcbaGaaGymaaqabaaabaGaaCOvaaqab0Gaey4k IipakiabgUcaRmaapefabaGaeuOPdy0aa0baaSqaaaqaaiaacIcaca aIXaGaaiykaaaakiaacIcacaWHYbGaeyOeI0IaaCOCamaaBaaaleaa caaIXaaabeaakiaacMcaceWGXbGbaGaadaahaaWcbeqaaiaacIcaca aIXaGaaiykaaaakiaacIcacaWHYbWaaSbaaSqaaiaaigdaaeqaaOGa aiykaiaadsgacaWHYbWaaSbaaSqaaiaaigdaaeqaaaqaaiaahAfaae qaniabgUIiYdaaaaaa@9BBA@  (3.9)

относительно пульсаций u ' (r) MathType@MTEF@5@5@+= feaahGart1ev3aqatCvAUfeBSjuyZL2yd9gzLbvyNv2Caerbov2D09 MBaeXatLxBI9gBaerbd9wDYLwzYbItLDharuavP1wzZbItLDhis9wB H5garqqtubsr4rNCHbGeaGqipy0de9vqqrpepC0xbbL8F4rqqrFfpe ea0pd9Zqpe0xc9q8qqaqFn0dXdir=xcvk9pIe9q8qqaq=dir=f0=yq aqVeLsFr0=vr0=vr0db8meaabaqaciaacaGaaeqabaWaaqaafaaake aacaWH1bWaa0baaSqaaaqaaiaacEcaaaGccaGGOaGaaCOCaiaacMca aaa@4032@ , φ ' (r) MathType@MTEF@5@5@+= feaahGart1ev3aqatCvAUfeBSjuyZL2yd9gzLbvyNv2Caerbov2D09 MBaeXatLxBI9gBaerbd9wDYLwzYbItLDharuavP1wzZbItLDhis9wB H5garqqtubsr4rNCHbGeaGqipy0de9vqqrpepC0xbbL8F4rqqrFfpe ea0pd9Zqpe0xc9q8qqaqFn0dXdir=xcvk9pIe9q8qqaq=dir=f0=yq aqVeLsFr0=vr0=vr0db8meaabaqaciaacaGaaeqabaWaaqaafaaake aacqaHgpGAdaqhaaWcbaaabaGaai4jaaaakiaacIcacaWHYbGaaiyk aaaa@40F1@ , которые обусловлены действием в однородной среде ( C MathType@MTEF@5@5@+= feaahGart1ev3aqatCvAUfeBSjuyZL2yd9gzLbvyNv2Caerbov2D09 MBaeXatLxBI9gBaerbd9wDYLwzYbItLDharuavP1wzZbItLDhis9wB H5garqqtubsr4rNCHbGeaGqipy0de9vqqrpepC0xbbL8F4rqqrFfpe ea0pd9Zqpe0xc9q8qqaqFn0dXdir=xcvk9pIe9q8qqaq=dir=f0=yq aqVeLsFr0=vr0=vr0db8meaabaqaciaacaGaaeqabaWaaqaafaaake aacaWHdbWaa0baaSqaaiabgkci3cqaaaaaaaa@3E7C@ , λ MathType@MTEF@5@5@+= feaahGart1ev3aqatCvAUfeBSjuyZL2yd9gzLbvyNv2Caerbov2D09 MBaeXatLxBI9gBaerbd9wDYLwzYbItLDharuavP1wzZbItLDhis9wB H5garqqtubsr4rNCHbGeaGqipy0de9vqqrpepC0xbbL8F4rqqrFfpe ea0pd9Zqpe0xc9q8qqaqFn0dXdir=xcvk9pIe9q8qqaq=dir=f0=yq aqVeLsFr0=vr0=vr0db8meaabaqaciaacaGaaeqabaWaaqaafaaake aacqaH7oaBdaqhaaWcbaGaeyOiGClabaaaaaaa@3F64@ , e MathType@MTEF@5@5@+= feaahGart1ev3aqatCvAUfeBSjuyZL2yd9gzLbvyNv2Caerbov2D09 MBaeXatLxBI9gBaerbd9wDYLwzYbItLDharuavP1wzZbItLDhis9wB H5garqqtubsr4rNCHbGeaGqipy0de9vqqrpepC0xbbL8F4rqqrFfpe ea0pd9Zqpe0xc9q8qqaqFn0dXdir=xcvk9pIe9q8qqaq=dir=f0=yq aqVeLsFr0=vr0=vr0db8meaabaqaciaacaGaaeqabaWaaqaafaaake aacaWHLbWaa0baaSqaaiabgkci3cqaaaaaaaa@3E9E@  ) распределенных объемных сил g ˜ i = g ij,j MathType@MTEF@5@5@+= feaahGart1ev3aqatCvAUfeBSjuyZL2yd9gzLbvyNv2Caerbov2D09 MBaeXatLxBI9gBaerbd9wDYLwzYbItLDharuavP1wzZbItLDhis9wB H5garqqtubsr4rNCHbGeaGqipy0de9vqqrpepC0xbbL8F4rqqrFfpe ea0pd9Zqpe0xc9q8qqaqFn0dXdir=xcvk9pIe9q8qqaq=dir=f0=yq aqVeLsFr0=vr0=vr0db8meaabaqaciaacaGaaeqabaWaaqaafaaake aaceWGNbGbaGaadaWgaaWcbaGaamyAaaqabaGccqGH9aqpcaWGNbWa aSbaaSqaaiaadMgacaWGQbGaaiilaiaadQgaaeqaaaaa@43B7@  и электрических источников q ˜ (1) = q i,i (1) MathType@MTEF@5@5@+= feaahGart1ev3aqatCvAUfeBSjuyZL2yd9gzLbvyNv2Caerbov2D09 MBaeXatLxBI9gBaerbd9wDYLwzYbItLDharuavP1wzZbItLDhis9wB H5garqqtubsr4rNCHbGeaGqipy0de9vqqrpepC0xbbL8F4rqqrFfpe ea0pd9Zqpe0xc9q8qqaqFn0dXdir=xcvk9pIe9q8qqaq=dir=f0=yq aqVeLsFr0=vr0=vr0db8meaabaqaciaacaGaaeqabaWaaqaafaaake aaceWGXbGbaGaadaahaaWcbeqaaiaacIcacaaIXaGaaiykaaaakiab g2da9iaadghadaqhaaWcbaGaamyAaiaacYcacaWGPbaabaGaaiikai aaigdacaGGPaaaaaaa@4617@ , где поля

g ij = C ijmn ' u mn * e nij ' E n * + C ijmn ' u m,n ' + e nij ' φ ,n ' + σ kj 0 u i,k ' q j (1) = e jmn ' u mn * + λ jn ' E n * + e jmn ' u m,n ' λ jn ' φ ,n ' + D k '0 u jk * + D k 0 u j,k ' MathType@MTEF@5@5@+= feaahGart1ev3aqatCvAUfeBSjuyZL2yd9gzLbvyNv2Caerbov2D09 MBaeXatLxBI9gBaerbd9wDYLwzYbItLDharuavP1wzZbItLDhis9wB H5garqqtubsr4rNCHbGeaGqipy0de9vqqrpepC0xbbL8F4rqqrFfpe ea0pd9Zqpe0xc9q8qqaqFn0dXdir=xcvk9pIe9q8qqaq=dir=f0=yq aqVeLsFr0=vr0=vr0db8meaabaqaciaacaGaaeqabaWaaqaafaaake aafaqabeGabaaabaGaam4zamaaBaaaleaacaWGPbGaamOAaaqabaGc cqGH9aqpcaWGdbWaa0baaSqaaiaadMgacaWGQbGaamyBaiaad6gaae aacaGGNaaaaOGaamyDamaaDaaaleaacaWGTbGaamOBaaqaaiaacQca aaGccqGHsislcaWGLbWaa0baaSqaaiaad6gacaWGPbGaamOAaaqaai aacEcaaaGccaWGfbWaa0baaSqaaiaad6gaaeaacaGGQaaaaOGaey4k aSIaam4qamaaDaaaleaacqGHIaYTcaWGPbGaamOAaiaad2gacaWGUb aabaGaai4jaaaakiaadwhadaqhaaWcbaGaamyBaiaacYcacaWGUbaa baGaai4jaaaakiabgUcaRiaadwgadaqhaaWcbaGaeyOiGCRaamOBai aadMgacaWGQbaabaGaai4jaaaakiabeA8aQnaaDaaaleaacaGGSaGa amOBaaqaaiaacEcaaaGccqGHRaWkcqaHdpWCdaqhaaWcbaGaam4Aai aadQgaaeaacaaIWaaaaOGaamyDamaaDaaaleaacaWGPbGaaiilaiaa dUgaaeaacaGGNaaaaaGcbaGaamyCamaaDaaaleaacaWGQbaabaGaai ikaiaaigdacaGGPaaaaOGaeyypa0JaamyzamaaDaaaleaacaWGQbGa amyBaiaad6gaaeaacaGGNaaaaOGaamyDamaaDaaaleaacaWGTbGaam OBaaqaaiaacQcaaaGccqGHRaWkcqaH7oaBdaqhaaWcbaGaamOAaiaa d6gaaeaacaGGNaaaaOGaamyramaaDaaaleaacaWGUbaabaGaaiOkaa aakiabgUcaRiaadwgadaqhaaWcbaGaeyOiGCRaamOAaiaad2gacaWG UbaabaGaai4jaaaakiaadwhadaqhaaWcbaGaamyBaiaacYcacaWGUb aabaGaai4jaaaakiabgkHiTiabeU7aSnaaDaaaleaacqGHIaYTcaWG QbGaamOBaaqaaiaacEcaaaGccqaHgpGAdaqhaaWcbaGaaiilaiaad6 gaaeaacaGGNaaaaOGaey4kaSIaamiramaaDaaaleaacaWGRbaabaGa ai4jaiaaicdaaaGccaWG1bWaa0baaSqaaiaadQgacaWGRbaabaGaai OkaaaakiabgUcaRiaadseadaqhaaWcbaGaam4AaaqaaiaaicdaaaGc caWG1bWaa0baaSqaaiaadQgacaGGSaGaam4AaaqaaiaacEcaaaaaaa aa@AEEF@  (3.10)

с учетом равенств ( σ kj 0 u ik * ) ,j = σ kj,j 0 u ik * =0 MathType@MTEF@5@5@+= feaahGart1ev3aqatCvAUfeBSjuyZL2yd9gzLbvyNv2Caerbov2D09 MBaeXatLxBI9gBaerbd9wDYLwzYbItLDharuavP1wzZbItLDhis9wB H5garqqtubsr4rNCHbGeaGqipy0de9vqqrpepC0xbbL8F4rqqrFfpe ea0pd9Zqpe0xc9q8qqaqFn0dXdir=xcvk9pIe9q8qqaq=dir=f0=yq aqVeLsFr0=vr0=vr0db8meaabaqaciaacaGaaeqabaWaaqaafaaake aacaGGOaGaeq4Wdm3aa0baaSqaaiaadUgacaWGQbaabaGaaGimaaaa kiaadwhadaqhaaWcbaGaamyAaiaadUgaaeaacaGGQaaaaOGaaiykam aaBaaaleaacaGGSaGaamOAaaqabaGccqGH9aqpcqaHdpWCdaqhaaWc baGaam4AaiaadQgacaGGSaGaamOAaaqaaiaaicdaaaGccaWG1bWaa0 baaSqaaiaadMgacaWGRbaabaGaaiOkaaaakiabg2da9iaaicdaaaa@5431@  в силу выполнения уравнений равновесия σ nj,j 0 =0 MathType@MTEF@5@5@+= feaahGart1ev3aqatCvAUfeBSjuyZL2yd9gzLbvyNv2Caerbov2D09 MBaeXatLxBI9gBaerbd9wDYLwzYbItLDharuavP1wzZbItLDhis9wB H5garqqtubsr4rNCHbGeaGqipy0de9vqqrpepC0xbbL8F4rqqrFfpe ea0pd9Zqpe0xc9q8qqaqFn0dXdir=xcvk9pIe9q8qqaq=dir=f0=yq aqVeLsFr0=vr0=vr0db8meaabaqaciaacaGaaeqabaWaaqaafaaake aacqaHdpWCdaqhaaWcbaGaamOBaiaadQgacaGGSaGaamOAaaqaaiaa icdaaaGccqGH9aqpcaaIWaaaaa@43F3@  для начальных напряжений σ 0 (r) MathType@MTEF@5@5@+= feaahGart1ev3aqatCvAUfeBSjuyZL2yd9gzLbvyNv2Caerbov2D09 MBaeXatLxBI9gBaerbd9wDYLwzYbItLDharuavP1wzZbItLDhis9wB H5garqqtubsr4rNCHbGeaGqipy0de9vqqrpepC0xbbL8F4rqqrFfpe ea0pd9Zqpe0xc9q8qqaqFn0dXdir=xcvk9pIe9q8qqaq=dir=f0=yq aqVeLsFr0=vr0=vr0db8meaabaqaciaacaGaaeqabaWaaqaafaaake aaiiqacqWFdpWCdaqhaaWcbaaabaGaaGimaaaakiaacIcacaWHYbGa aiykaaaa@410C@  в области V MathType@MTEF@5@5@+= feaahGart1ev3aqatCvAUfeBSjuyZL2yd9gzLbvyNv2Caerbov2D09 MBaeXatLxBI9gBaerbd9wDYLwzYbItLDharuavP1wzZbItLDhis9wB H5garqqtubsr4rNCHbGeaGqipy0de9vqqrpepC0xbbL8F4rqqrFfpe ea0pd9Zqpe0xc9q8qqaqFn0dXdir=xcvk9pIe9q8qqaq=dir=f0=yq aqVeLsFr0=vr0=vr0db8meaabaqaciaacaGaaeqabaWaaqaafaaake aacaWHwbaaaa@3CDD@  и независимости макроскопических величин u mn * MathType@MTEF@5@5@+= feaahGart1ev3aqatCvAUfeBSjuyZL2yd9gzLbvyNv2Caerbov2D09 MBaeXatLxBI9gBaerbd9wDYLwzYbItLDharuavP1wzZbItLDhis9wB H5garqqtubsr4rNCHbGeaGqipy0de9vqqrpepC0xbbL8F4rqqrFfpe ea0pd9Zqpe0xc9q8qqaqFn0dXdir=xcvk9pIe9q8qqaq=dir=f0=yq aqVeLsFr0=vr0=vr0db8meaabaqaciaacaGaaeqabaWaaqaafaaake aacaWG1bWaa0baaSqaaiaad2gacaWGUbaabaGaaiOkaaaaaaa@3FB8@ , E n * MathType@MTEF@5@5@+= feaahGart1ev3aqatCvAUfeBSjuyZL2yd9gzLbvyNv2Caerbov2D09 MBaeXatLxBI9gBaerbd9wDYLwzYbItLDharuavP1wzZbItLDhis9wB H5garqqtubsr4rNCHbGeaGqipy0de9vqqrpepC0xbbL8F4rqqrFfpe ea0pd9Zqpe0xc9q8qqaqFn0dXdir=xcvk9pIe9q8qqaq=dir=f0=yq aqVeLsFr0=vr0=vr0db8meaabaqaciaacaGaaeqabaWaaqaafaaake aacaWGfbWaa0baaSqaaiaad6gaaeaacaGGQaaaaaaa@3E96@  от координат r MathType@MTEF@5@5@+= feaahGart1ev3aqatCvAUfeBSjuyZL2yd9gzLbvyNv2Caerbov2D09 MBaeXatLxBI9gBaerbd9wDYLwzYbItLDharuavP1wzZbItLDhis9wB H5garqqtubsr4rNCHbGeaGqipy0de9vqqrpepC0xbbL8F4rqqrFfpe ea0pd9Zqpe0xc9q8qqaqFn0dXdir=xcvk9pIe9q8qqaq=dir=f0=yq aqVeLsFr0=vr0=vr0db8meaabaqaciaacaGaaeqabaWaaqaafaaake aacaWHYbaaaa@3CF9@ . Здесь использованы обозначения пульсаций

σ '0 (r)= σ 0 (r) σ *0 , MathType@MTEF@5@5@+= feaahGart1ev3aqatCvAUfeBSjuyZL2yd9gzLbvyNv2Caerbov2D09 MBaeXatLxBI9gBaerbd9wDYLwzYbItLDharuavP1wzZbItLDhis9wB H5garqqtubsr4rNCHbGeaGqipy0de9vqqrpepC0xbbL8F4rqqrFfpe ea0pd9Zqpe0xc9q8qqaqFn0dXdir=xcvk9pIe9q8qqaq=dir=f0=yq aqVeLsFr0=vr0=vr0db8meaabaqaciaacaGaaeqabaWaaqaafaaake aacqaHdpWCdaqhaaWcbaaabaGaai4jaiaaicdaaaGccaGGOaGaaCOC aiaacMcacqGH9aqpcqaHdpWCdaqhaaWcbaaabaGaaGimaaaakiaacI cacaWHYbGaaiykaiabgkHiTiabeo8aZnaaDaaaleaaaeaacaGGQaGa aGimaaaakiaacYcaaaa@4CBE@   D '0 (r)= D 0 (r) D *0 MathType@MTEF@5@5@+= feaahGart1ev3aqatCvAUfeBSjuyZL2yd9gzLbvyNv2Caerbov2D09 MBaeXatLxBI9gBaerbd9wDYLwzYbItLDharuavP1wzZbItLDhis9wB H5garqqtubsr4rNCHbGeaGqipy0de9vqqrpepC0xbbL8F4rqqrFfpe ea0pd9Zqpe0xc9q8qqaqFn0dXdir=xcvk9pIe9q8qqaq=dir=f0=yq aqVeLsFr0=vr0=vr0db8meaabaqaciaacaGaaeqabaWaaqaafaaake aacaWHebWaa0baaSqaaaqaaiaacEcacaaIWaaaaOGaaiikaiaahkha caGGPaGaeyypa0JaaCiramaaDaaaleaaaeaacaaIWaaaaOGaaiikai aahkhacaGGPaGaeyOeI0IaaCiramaaDaaaleaaaeaacaGGQaGaaGim aaaaaaa@4922@  (3.11)

для начального напряженного состояния, отклонений микронеоднородных свойств композита от однородных свойств среды сравнения

C ' (r)C(r) C = C ˜ + C ' (r) MathType@MTEF@5@5@+= feaahGart1ev3aqatCvAUfeBSjuyZL2yd9gzLbvyNv2Caerbov2D09 MBaeXatLxBI9gBaerbd9wDYLwzYbItLDharuavP1wzZbItLDhis9wB H5garqqtubsr4rNCHbGeaGqipy0de9vqqrpepC0xbbL8F4rqqrFfpe ea0pd9Zqpe0xc9q8qqaqFn0dXdir=xcvk9pIe9q8qqaq=dir=f0=yq aqVeLsFr0=vr0=vr0db8meaabaqaciaacaGaaeqabaWaaqaafaaake aacaWHdbWaa0baaSqaaiabgkci3cqaaiaacEcaaaGccaGGOaGaaCOC aiaacMcacqGHHjIUcaWHdbGaaiikaiaahkhacaGGPaGaeyOeI0IaaC 4qamaaDaaaleaacqGHIaYTaeaaaaGccqGH9aqpceWHdbGbaGaacqGH RaWkcaWHdbWaaWbaaSqabeaacaGGNaaaaOGaaiikaiaahkhacaGGPa aaaa@50A8@ , λ ' (r)λ(r) λ = λ ˜ + λ ' (r) MathType@MTEF@5@5@+= feaahGart1ev3aqatCvAUfeBSjuyZL2yd9gzLbvyNv2Caerbov2D09 MBaeXatLxBI9gBaerbd9wDYLwzYbItLDharuavP1wzZbItLDhis9wB H5garqqtubsr4rNCHbGeaGqipy0de9vqqrpepC0xbbL8F4rqqrFfpe ea0pd9Zqpe0xc9q8qqaqFn0dXdir=xcvk9pIe9q8qqaq=dir=f0=yq aqVeLsFr0=vr0=vr0db8meaabaqaciaacaGaaeqabaWaaqaafaaake aacqaH7oaBdaqhaaWcbaGaeyOiGClabaGaai4jaaaakiaacIcacaWH YbGaaiykaiabggMi6kabeU7aSjaacIcacaWHYbGaaiykaiabgkHiTi abeU7aSnaaDaaaleaacqGHIaYTaeaaaaGccqGH9aqpdaaiaaqaaiab eU7aSbGaay5adaGaey4kaSIaeq4UdW2aaWbaaSqabeaacaGGNaaaaO GaaiikaiaahkhacaGGPaaaaa@55E3@ ,

  e ' (r)e(r) e = e ˜ + e ' (r) MathType@MTEF@5@5@+= feaahGart1ev3aqatCvAUfeBSjuyZL2yd9gzLbvyNv2Caerbov2D09 MBaeXatLxBI9gBaerbd9wDYLwzYbItLDharuavP1wzZbItLDhis9wB H5garqqtubsr4rNCHbGeaGqipy0de9vqqrpepC0xbbL8F4rqqrFfpe ea0pd9Zqpe0xc9q8qqaqFn0dXdir=xcvk9pIe9q8qqaq=dir=f0=yq aqVeLsFr0=vr0=vr0db8meaabaqaciaacaGaaeqabaWaaqaafaaake aacaWHLbWaa0baaSqaaiabgkci3cqaaiaacEcaaaGccaGGOaGaaCOC aiaacMcacqGHHjIUcaWHLbGaaiikaiaahkhacaGGPaGaeyOeI0IaaC yzamaaDaaaleaacqGHIaYTaeaaaaGccqGH9aqpceWHLbGbaGaacqGH RaWkcaWHLbWaaWbaaSqabeaacaGGNaaaaOGaaiikaiaahkhacaGGPa aaaa@5152@ , (3.12)

где тензоры разностей C ˜ =<C> C MathType@MTEF@5@5@+= feaahGart1ev3aqatCvAUfeBSjuyZL2yd9gzLbvyNv2Caerbov2D09 MBaeXatLxBI9gBaerbd9wDYLwzYbItLDharuavP1wzZbItLDhis9wB H5garqqtubsr4rNCHbGeaGqipy0de9vqqrpepC0xbbL8F4rqqrFfpe ea0pd9Zqpe0xc9q8qqaqFn0dXdir=xcvk9pIe9q8qqaq=dir=f0=yq aqVeLsFr0=vr0=vr0db8meaabaqaciaacaGaaeqabaWaaqaafaaake aaceWHdbGbaGaacqGH9aqpcqGH8aapcaWHdbGaeyOpa4JaeyOeI0Ia aC4qamaaDaaaleaacqGHIaYTaeaaaaaaaa@4422@ , λ ˜ =<λ> λ MathType@MTEF@5@5@+= feaahGart1ev3aqatCvAUfeBSjuyZL2yd9gzLbvyNv2Caerbov2D09 MBaeXatLxBI9gBaerbd9wDYLwzYbItLDharuavP1wzZbItLDhis9wB H5garqqtubsr4rNCHbGeaGqipy0de9vqqrpepC0xbbL8F4rqqrFfpe ea0pd9Zqpe0xc9q8qqaqFn0dXdir=xcvk9pIe9q8qqaq=dir=f0=yq aqVeLsFr0=vr0=vr0db8meaabaqaciaacaGaaeqabaWaaqaafaaake aadaaiaaqaaiabeU7aSbGaay5adaGaeyypa0JaeyipaWJaeq4UdWMa eyOpa4JaeyOeI0Iaeq4UdW2aa0baaSqaaiabgkci3cqaaaaaaaa@478D@ , e ˜ =<e> e MathType@MTEF@5@5@+= feaahGart1ev3aqatCvAUfeBSjuyZL2yd9gzLbvyNv2Caerbov2D09 MBaeXatLxBI9gBaerbd9wDYLwzYbItLDharuavP1wzZbItLDhis9wB H5garqqtubsr4rNCHbGeaGqipy0de9vqqrpepC0xbbL8F4rqqrFfpe ea0pd9Zqpe0xc9q8qqaqFn0dXdir=xcvk9pIe9q8qqaq=dir=f0=yq aqVeLsFr0=vr0=vr0db8meaabaqaciaacaGaaeqabaWaaqaafaaake aaceWHLbGbaGaacqGH9aqpcqGH8aapcaWHLbGaeyOpa4JaeyOeI0Ia aCyzamaaDaaaleaacqGHIaYTaeaaaaaaaa@4488@ . С использованием “теоремы о свертках” дифференцирование / r (1)i MathType@MTEF@5@5@+= feaahGart1ev3aqatCvAUfeBSjuyZL2yd9gzLbvyNv2Caerbov2D09 MBaeXatLxBI9gBaerbd9wDYLwzYbItLDharuavP1wzZbItLDhis9wB H5garqqtubsr4rNCHbGeaGqipy0de9vqqrpepC0xbbL8F4rqqrFfpe ea0pd9Zqpe0xc9q8qqaqFn0dXdir=xcvk9pIe9q8qqaq=dir=f0=yq aqVeLsFr0=vr0=vr0db8meaabaqaciaacaGaaeqabaWaaqaafaaake aacqGHciITcaGGVaGaeyOaIyRaamOCamaaBaaaleaacaGGOaGaaGym aiaacMcacaWGPbaabeaaaaa@43A2@  функций g( r 1 ) MathType@MTEF@5@5@+= feaahGart1ev3aqatCvAUfeBSjuyZL2yd9gzLbvyNv2Caerbov2D09 MBaeXatLxBI9gBaerbd9wDYLwzYbItLDharuavP1wzZbItLDhis9wB H5garqqtubsr4rNCHbGeaGqipy0de9vqqrpepC0xbbL8F4rqqrFfpe ea0pd9Zqpe0xc9q8qqaqFn0dXdir=xcvk9pIe9q8qqaq=dir=f0=yq aqVeLsFr0=vr0=vr0db8meaabaqaciaacaGaaeqabaWaaqaafaaake aacaWHNbGaaiikaiaahkhadaWgaaWcbaGaaGymaaqabaGccaGGPaaa aa@4033@ , q (1) ( r 1 ) MathType@MTEF@5@5@+= feaahGart1ev3aqatCvAUfeBSjuyZL2yd9gzLbvyNv2Caerbov2D09 MBaeXatLxBI9gBaerbd9wDYLwzYbItLDharuavP1wzZbItLDhis9wB H5garqqtubsr4rNCHbGeaGqipy0de9vqqrpepC0xbbL8F4rqqrFfpe ea0pd9Zqpe0xc9q8qqaqFn0dXdir=xcvk9pIe9q8qqaq=dir=f0=yq aqVeLsFr0=vr0=vr0db8meaabaqaciaacaGaaeqabaWaaqaafaaake aacaWHXbWaaWbaaSqabeaacaGGOaGaaGymaiaacMcaaaGccaGGOaGa aCOCamaaBaaaleaacaaIXaaabeaakiaacMcaaaa@4288@  в подинтегральных выражениях интегро-дифференциальных уравнений (3.9) может быть заменено дифференцированием / r (1)i MathType@MTEF@5@5@+= feaahGart1ev3aqatCvAUfeBSjuyZL2yd9gzLbvyNv2Caerbov2D09 MBaeXatLxBI9gBaerbd9wDYLwzYbItLDharuavP1wzZbItLDhis9wB H5garqqtubsr4rNCHbGeaGqipy0de9vqqrpepC0xbbL8F4rqqrFfpe ea0pd9Zqpe0xc9q8qqaqFn0dXdir=xcvk9pIe9q8qqaq=dir=f0=yq aqVeLsFr0=vr0=vr0db8meaabaqaciaacaGaaeqabaWaaqaafaaake aacqGHsislcqGHciITcaGGVaGaeyOaIyRaamOCamaaBaaaleaacaGG OaGaaGymaiaacMcacaWGPbaabeaaaaa@448F@  или / r i MathType@MTEF@5@5@+= feaahGart1ev3aqatCvAUfeBSjuyZL2yd9gzLbvyNv2Caerbov2D09 MBaeXatLxBI9gBaerbd9wDYLwzYbItLDharuavP1wzZbItLDhis9wB H5garqqtubsr4rNCHbGeaGqipy0de9vqqrpepC0xbbL8F4rqqrFfpe ea0pd9Zqpe0xc9q8qqaqFn0dXdir=xcvk9pIe9q8qqaq=dir=f0=yq aqVeLsFr0=vr0=vr0db8meaabaqaciaacaGaaeqabaWaaqaafaaake aacqGHciITcaGGVaGaeyOaIyRaamOCamaaBaaaleaacaWGPbaabeaa aaa@418E@  соответствующих ядер – функций Грина U, Φ MathType@MTEF@5@5@+= feaahGart1ev3aqatCvAUfeBSjuyZL2yd9gzLbvyNv2Caerbov2D09 MBaeXatLxBI9gBaerbd9wDYLwzYbItLDharuavP1wzZbItLDhis9wB H5garqqtubsr4rNCHbGeaGqipy0de9vqqrpepC0xbbL8F4rqqrFfpe ea0pd9Zqpe0xc9q8qqaqFn0dXdir=xcvk9pIe9q8qqaq=dir=f0=yq aqVeLsFr0=vr0=vr0db8meaabaqaciaacaGaaeqabaWaaqaafaaake aacqqHMoGraaa@3D78@ , … (3.8) [25–27] с учетом их разностного аргумента r r 1 MathType@MTEF@5@5@+= feaahGart1ev3aqatCvAUfeBSjuyZL2yd9gzLbvyNv2Caerbov2D09 MBaeXatLxBI9gBaerbd9wDYLwzYbItLDharuavP1wzZbItLDhis9wB H5garqqtubsr4rNCHbGeaGqipy0de9vqqrpepC0xbbL8F4rqqrFfpe ea0pd9Zqpe0xc9q8qqaqFn0dXdir=xcvk9pIe9q8qqaq=dir=f0=yq aqVeLsFr0=vr0=vr0db8meaabaqaciaacaGaaeqabaWaaqaafaaake aacaWHYbGaeyOeI0IaaCOCamaaBaaaleaacaaIXaaabeaaaaa@3FC8@  и асимптотических равенств нулю при r r 1 MathType@MTEF@5@5@+= feaahGart1ev3aqatCvAUfeBSjuyZL2yd9gzLbvyNv2Caerbov2D09 MBaeXatLxBI9gBaerbd9wDYLwzYbItLDharuavP1wzZbItLDhis9wB H5garqqtubsr4rNCHbGeaGqipy0de9vqqrpepC0xbbL8F4rqqrFfpe ea0pd9Zqpe0xc9q8qqaqFn0dXdir=xcvk9pIe9q8qqaq=dir=f0=yq aqVeLsFr0=vr0=vr0db8meaabaqaciaacaGaaeqabaWaaqaafaaake aadaabdaqaaiaahkhacqGHsislcaWHYbWaaSbaaSqaaiaaigdaaeqa aaGccaGLhWUaayjcSdGaeyOKH4QaeyOhIukaaa@4652@ . В результате получим уравнения

u i ' (r)= V U ij,s (r r 1 ) g js ( r 1 )d r 1 + V U i,s (1) (r r 1 ) q s (1) ( r 1 )d r 1 φ ' (r)= V Φ j,s (r r 1 ) g js ( r 1 )d r 1 + V Φ ,s (1) (r r 1 ) q s (1) ( r 1 )d r 1 MathType@MTEF@5@5@+= feaahGart1ev3aqatCvAUfeBSjuyZL2yd9gzLbvyNv2Caerbov2D09 MBaeXatLxBI9gBaerbd9wDYLwzYbItLDharuavP1wzZbItLDhis9wB H5garqqtubsr4rNCHbGeaGqipy0de9vqqrpepC0xbbL8F4rqqrFfpe ea0pd9Zqpe0xc9q8qqaqFn0dXdir=xcvk9pIe9q8qqaq=dir=f0=yq aqVeLsFr0=vr0=vr0db8meaabaqaciaacaGaaeqabaWaaqaafaaake aafaqabeGabaaabaGaamyDamaaDaaaleaacaWGPbaabaGaai4jaaaa kiaacIcacaWHYbGaaiykaiabg2da9maapefabaGaamyvamaaBaaale aacaWGPbGaamOAaiaacYcacaWGZbaabeaakiaacIcacaWHYbGaeyOe I0IaaCOCamaaBaaaleaacaaIXaaabeaakiaacMcacaWGNbWaaSbaaS qaaiaadQgacaWGZbaabeaakiaacIcacaWHYbWaaSbaaSqaaiaaigda aeqaaOGaaiykaiaadsgacaWHYbWaaSbaaSqaaiaaigdaaeqaaaqaai aahAfaaeqaniabgUIiYdGccqGHRaWkdaWdrbqaaiaadwfadaqhaaWc baGaamyAaiaacYcacaWGZbaabaGaaiikaiaaigdacaGGPaaaaOGaai ikaiaahkhacqGHsislcaWHYbWaaSbaaSqaaiaaigdaaeqaaOGaaiyk aiaadghadaqhaaWcbaGaam4CaaqaaiaacIcacaaIXaGaaiykaaaaki aacIcacaWHYbWaaSbaaSqaaiaaigdaaeqaaOGaaiykaiaadsgacaWH YbWaaSbaaSqaaiaaigdaaeqaaaqaaiaahAfaaeqaniabgUIiYdaake aacqaHgpGAdaqhaaWcbaaabaGaai4jaaaakiaacIcacaWHYbGaaiyk aiabg2da9maapefabaGaeuOPdy0aaSbaaSqaaiaadQgacaGGSaGaam 4CaaqabaGccaGGOaGaaCOCaiabgkHiTiaahkhadaWgaaWcbaGaaGym aaqabaGccaGGPaGaam4zamaaBaaaleaacaWGQbGaam4CaaqabaGcca GGOaGaaCOCamaaBaaaleaacaaIXaaabeaakiaacMcacaWGKbGaaCOC amaaBaaaleaacaaIXaaabeaaaeaacaWHwbaabeqdcqGHRiI8aOGaey 4kaSYaa8quaeaacqqHMoGrdaqhaaWcbaGaaiilaiaadohaaeaacaGG OaGaaGymaiaacMcaaaGccaGGOaGaaCOCaiabgkHiTiaahkhadaWgaa WcbaGaaGymaaqabaGccaGGPaGaamyCamaaDaaaleaacaWGZbaabaGa aiikaiaaigdacaGGPaaaaOGaaiikaiaahkhadaWgaaWcbaGaaGymaa qabaGccaGGPaGaamizaiaahkhadaWgaaWcbaGaaGymaaqabaaabaGa aCOvaaqab0Gaey4kIipaaaaaaa@A5FE@  (3.13)

относительно полей пульсаций перемещений u ' (r) MathType@MTEF@5@5@+= feaahGart1ev3aqatCvAUfeBSjuyZL2yd9gzLbvyNv2Caerbov2D09 MBaeXatLxBI9gBaerbd9wDYLwzYbItLDharuavP1wzZbItLDhis9wB H5garqqtubsr4rNCHbGeaGqipy0de9vqqrpepC0xbbL8F4rqqrFfpe ea0pd9Zqpe0xc9q8qqaqFn0dXdir=xcvk9pIe9q8qqaq=dir=f0=yq aqVeLsFr0=vr0=vr0db8meaabaqaciaacaGaaeqabaWaaqaafaaake aacaWH1bWaa0baaSqaaaqaaiaacEcaaaGccaGGOaGaaCOCaiaacMca aaa@4032@ , электрического потенциала ϕ ' (r) MathType@MTEF@5@5@+= feaahGart1ev3aqatCvAUfeBSjuyZL2yd9gzLbvyNv2Caerbov2D09 MBaeXatLxBI9gBaerbd9wDYLwzYbItLDharuavP1wzZbItLDhis9wB H5garqqtubsr4rNCHbGeaGqipy0de9vqqrpepC0xbbL8F4rqqrFfpe ea0pd9Zqpe0xc9q8qqaqFn0dXdir=xcvk9pIe9q8qqaq=dir=f0=yq aqVeLsFr0=vr0=vr0db8meaabaqaciaacaGaaeqabaWaaqaafaaake aacqaHvpGzdaqhaaWcbaaabaGaai4jaaaakiaacIcacaWHYbGaaiyk aaaa@40FC@  и их производных

u i,n ' (r)= V U ij,sn (r r 1 ) g js ( r 1 )d r 1 + V U i,sn (1) (r r 1 ) q s (1) ( r 1 )d r 1 , φ ,n ' (r)= V Φ j,sn (r r 1 ) g js ( r 1 )d r 1 + V Φ ,sn (1) (r r 1 ) q s (1) ( r 1 )d r 1 MathType@MTEF@5@5@+= feaahGart1ev3aqatCvAUfeBSjuyZL2yd9gzLbvyNv2Caerbov2D09 MBaeXatLxBI9gBaerbd9wDYLwzYbItLDharuavP1wzZbItLDhis9wB H5garqqtubsr4rNCHbGeaGqipy0de9vqqrpepC0xbbL8F4rqqrFfpe ea0pd9Zqpe0xc9q8qqaqFn0dXdir=xcvk9pIe9q8qqaq=dir=f0=yq aqVeLsFr0=vr0=vr0db8meaabaqaciaacaGaaeqabaWaaqaafaaake aafaqabeGabaaabaGaamyDamaaDaaaleaacaWGPbGaaiilaiaad6ga aeaacaGGNaaaaOGaaiikaiaahkhacaGGPaGaeyypa0Zaa8quaeaaca WGvbWaaSbaaSqaaiaadMgacaWGQbGaaiilaiaadohacaWGUbaabeaa kiaacIcacaWHYbGaeyOeI0IaaCOCamaaBaaaleaacaaIXaaabeaaki aacMcacaWGNbWaaSbaaSqaaiaadQgacaWGZbaabeaakiaacIcacaWH YbWaaSbaaSqaaiaaigdaaeqaaOGaaiykaiaadsgacaWHYbWaaSbaaS qaaiaaigdaaeqaaaqaaiaahAfaaeqaniabgUIiYdGccqGHRaWkdaWd rbqaaiaadwfadaqhaaWcbaGaamyAaiaacYcacaWGZbGaamOBaaqaai aacIcacaaIXaGaaiykaaaakiaacIcacaWHYbGaeyOeI0IaaCOCamaa BaaaleaacaaIXaaabeaakiaacMcacaWGXbWaa0baaSqaaiaadohaae aacaGGOaGaaGymaiaacMcaaaGccaGGOaGaaCOCamaaBaaaleaacaaI XaaabeaakiaacMcacaWGKbGaaCOCamaaBaaaleaacaaIXaaabeaaae aacaWHwbaabeqdcqGHRiI8aOGaaiilaaqaaiabeA8aQnaaDaaaleaa caGGSaGaamOBaaqaaiaacEcaaaGccaGGOaGaaCOCaiaacMcacqGH9a qpdaWdrbqaaiabfA6agnaaBaaaleaacaWGQbGaaiilaiaadohacaWG UbaabeaakiaacIcacaWHYbGaeyOeI0IaaCOCamaaBaaaleaacaaIXa aabeaakiaacMcacaWGNbWaaSbaaSqaaiaadQgacaWGZbaabeaakiaa cIcacaWHYbWaaSbaaSqaaiaaigdaaeqaaOGaaiykaiaadsgacaWHYb WaaSbaaSqaaiaaigdaaeqaaaqaaiaahAfaaeqaniabgUIiYdGccqGH RaWkdaWdrbqaaiabfA6agnaaDaaaleaacaGGSaGaam4Caiaad6gaae aacaGGOaGaaGymaiaacMcaaaGccaGGOaGaaCOCaiabgkHiTiaahkha daWgaaWcbaGaaGymaaqabaGccaGGPaGaamyCamaaDaaaleaacaWGZb aabaGaaiikaiaaigdacaGGPaaaaOGaaiikaiaahkhadaWgaaWcbaGa aGymaaqabaGccaGGPaGaamizaiaahkhadaWgaaWcbaGaaGymaaqaba aabaGaaCOvaaqab0Gaey4kIipaaaaaaa@ADC0@  (3.14)

после дифференцирования / r n MathType@MTEF@5@5@+= feaahGart1ev3aqatCvAUfeBSjuyZL2yd9gzLbvyNv2Caerbov2D09 MBaeXatLxBI9gBaerbd9wDYLwzYbItLDharuavP1wzZbItLDhis9wB H5garqqtubsr4rNCHbGeaGqipy0de9vqqrpepC0xbbL8F4rqqrFfpe ea0pd9Zqpe0xc9q8qqaqFn0dXdir=xcvk9pIe9q8qqaq=dir=f0=yq aqVeLsFr0=vr0=vr0db8meaabaqaciaacaGaaeqabaWaaqaafaaake aacqGHciITcaGGVaGaeyOaIyRaamOCamaaBaaaleaacaWGUbaabeaa aaa@4193@  левых и правых частей (3.13) с учетом выражений (3.10).

В обобщенном сингулярном приближении [30–32] в интегро-дифференциальных уравнениях (3.14) у вторых производных функций Грина

G(r r 1 ) G s δ(r r 1 ) MathType@MTEF@5@5@+= feaahGart1ev3aqatCvAUfeBSjuyZL2yd9gzLbvyNv2Caerbov2D09 MBaeXatLxBI9gBaerbd9wDYLwzYbItLDharuavP1wzZbItLDhis9wB H5garqqtubsr4rNCHbGeaGqipy0de9vqqrpepC0xbbL8F4rqqrFfpe ea0pd9Zqpe0xc9q8qqaqFn0dXdir=xcvk9pIe9q8qqaq=dir=f0=yq aqVeLsFr0=vr0=vr0db8meaabaqaciaacaGaaeqabaWaaqaafaaake aacqGHhis0cqGHhis0caWHhbGaaiikaiaahkhacqGHsislcaWHYbWa aSbaaSqaaiaaigdaaeqaaOGaaiykaiabgIKi7kaahEeadaqhaaWcba aabaGaam4Caaaakiabes7aKjaacIcacaWHYbGaeyOeI0IaaCOCamaa BaaaleaacaaIXaaabeaakiaacMcaaaa@4F89@ , G s = U imjn s U imn s(1) Φ imn s Φ mn s(1) MathType@MTEF@5@5@+= feaahGart1ev3aqatCvAUfeBSjuyZL2yd9gzLbvyNv2Caerbov2D09 MBaeXatLxBI9gBaerbd9wDYLwzYbItLDharuavP1wzZbItLDhis9wB H5garqqtubsr4rNCHbGeaGqipy0de9vqqrpepC0xbbL8F4rqqrFfpe ea0pd9Zqpe0xc9q8qqaqFn0dXdir=xcvk9pIe9q8qqaq=dir=f0=yq aqVeLsFr0=vr0=vr0db8meaabaqaciaacaGaaeqabaWaaqaafaaake aacaWHhbWaa0baaSqaaaqaaiaadohaaaGccqGH9aqpdaqbdaqaauaa beqaciaaaeaacaWGvbWaa0baaSqaaiaadMgacaWGTbGaamOAaiaad6 gaaeaacaWGZbaaaaGcbaGaamyvamaaDaaaleaacaWGPbGaamyBaiaa d6gaaeaacaWGZbGaaiikaiaaigdacaGGPaaaaaGcbaGaeuOPdy0aa0 baaSqaaiaadMgacaWGTbGaamOBaaqaaiaadohaaaaakeaacqqHMoGr daqhaaWcbaGaamyBaiaad6gaaeaacaWGZbGaaiikaiaaigdacaGGPa aaaaaaaOGaayzcSlaawQa7aaaa@5B13@  (3.15)

учитывают лишь составляющие, пропорциональные обобщенной дельта-функции δ(r), с использованием однородной пьезоэлектрической “среды сравнения” с эллипсоидальным “зерном неоднородности”. Геометрическая форма и характер связанности пор (включений) в представительной области пористой керамики (композита) учитывается формой эллипсоидального “зерна неоднородности” и выбором свойств, т. е. значениями тензоров C MathType@MTEF@5@5@+= feaahGart1ev3aqatCvAUfeBSjuyZL2yd9gzLbvyNv2Caerbov2D09 MBaeXatLxBI9gBaerbd9wDYLwzYbItLDharuavP1wzZbItLDhis9wB H5garqqtubsr4rNCHbGeaGqipy0de9vqqrpepC0xbbL8F4rqqrFfpe ea0pd9Zqpe0xc9q8qqaqFn0dXdir=xcvk9pIe9q8qqaq=dir=f0=yq aqVeLsFr0=vr0=vr0db8meaabaqaciaacaGaaeqabaWaaqaafaaake aacaWHdbWaaSbaaSqaaiabgkci3cqabaaaaa@3E7B@ , e MathType@MTEF@5@5@+= feaahGart1ev3aqatCvAUfeBSjuyZL2yd9gzLbvyNv2Caerbov2D09 MBaeXatLxBI9gBaerbd9wDYLwzYbItLDharuavP1wzZbItLDhis9wB H5garqqtubsr4rNCHbGeaGqipy0de9vqqrpepC0xbbL8F4rqqrFfpe ea0pd9Zqpe0xc9q8qqaqFn0dXdir=xcvk9pIe9q8qqaq=dir=f0=yq aqVeLsFr0=vr0=vr0db8meaabaqaciaacaGaaeqabaWaaqaafaaake aacaWHLbWaaSbaaSqaaiabgkci3cqabaaaaa@3E9D@ , λ MathType@MTEF@5@5@+= feaahGart1ev3aqatCvAUfeBSjuyZL2yd9gzLbvyNv2Caerbov2D09 MBaeXatLxBI9gBaerbd9wDYLwzYbItLDharuavP1wzZbItLDhis9wB H5garqqtubsr4rNCHbGeaGqipy0de9vqqrpepC0xbbL8F4rqqrFfpe ea0pd9Zqpe0xc9q8qqaqFn0dXdir=xcvk9pIe9q8qqaq=dir=f0=yq aqVeLsFr0=vr0=vr0db8meaabaqaciaacaGaaeqabaWaaqaafaaake aaiiqacqWF7oaBdaWgaaWcbaGaeyOiGClabeaaaaa@3F69@  однородной электроупругой “среды сравнения”. Начальные C *0 MathType@MTEF@5@5@+= feaahGart1ev3aqatCvAUfeBSjuyZL2yd9gzLbvyNv2Caerbov2D09 MBaeXatLxBI9gBaerbd9wDYLwzYbItLDharuavP1wzZbItLDhis9wB H5garqqtubsr4rNCHbGeaGqipy0de9vqqrpepC0xbbL8F4rqqrFfpe ea0pd9Zqpe0xc9q8qqaqFn0dXdir=xcvk9pIe9q8qqaq=dir=f0=yq aqVeLsFr0=vr0=vr0db8meaabaqaciaacaGaaeqabaWaaqaafaaake aacaWHdbWaa0baaSqaaaqaaiaacQcacaaIWaaaaaaa@3E5F@ , e *0 MathType@MTEF@5@5@+= feaahGart1ev3aqatCvAUfeBSjuyZL2yd9gzLbvyNv2Caerbov2D09 MBaeXatLxBI9gBaerbd9wDYLwzYbItLDharuavP1wzZbItLDhis9wB H5garqqtubsr4rNCHbGeaGqipy0de9vqqrpepC0xbbL8F4rqqrFfpe ea0pd9Zqpe0xc9q8qqaqFn0dXdir=xcvk9pIe9q8qqaq=dir=f0=yq aqVeLsFr0=vr0=vr0db8meaabaqaciaacaGaaeqabaWaaqaafaaake aacaWHLbWaa0baaSqaaaqaaiaacQcacaaIWaaaaaaa@3E81@ , λ *0 MathType@MTEF@5@5@+= feaahGart1ev3aqatCvAUfeBSjuyZL2yd9gzLbvyNv2Caerbov2D09 MBaeXatLxBI9gBaerbd9wDYLwzYbItLDharuavP1wzZbItLDhis9wB H5garqqtubsr4rNCHbGeaGqipy0de9vqqrpepC0xbbL8F4rqqrFfpe ea0pd9Zqpe0xc9q8qqaqFn0dXdir=xcvk9pIe9q8qqaq=dir=f0=yq aqVeLsFr0=vr0=vr0db8meaabaqaciaacaGaaeqabaWaaqaafaaake aaiiqacqWF7oaBdaqhaaWcbaaabaGaaiOkaiaaicdaaaaaaa@3F4D@  и результирующие C * MathType@MTEF@5@5@+= feaahGart1ev3aqatCvAUfeBSjuyZL2yd9gzLbvyNv2Caerbov2D09 MBaeXatLxBI9gBaerbd9wDYLwzYbItLDharuavP1wzZbItLDhis9wB H5garqqtubsr4rNCHbGeaGqipy0de9vqqrpepC0xbbL8F4rqqrFfpe ea0pd9Zqpe0xc9q8qqaqFn0dXdir=xcvk9pIe9q8qqaq=dir=f0=yq aqVeLsFr0=vr0=vr0db8meaabaqaciaacaGaaeqabaWaaqaafaaake aacaWHdbWaa0baaSqaaaqaaiaacQcaaaaaaa@3DA5@ , e * MathType@MTEF@5@5@+= feaahGart1ev3aqatCvAUfeBSjuyZL2yd9gzLbvyNv2Caerbov2D09 MBaeXatLxBI9gBaerbd9wDYLwzYbItLDharuavP1wzZbItLDhis9wB H5garqqtubsr4rNCHbGeaGqipy0de9vqqrpepC0xbbL8F4rqqrFfpe ea0pd9Zqpe0xc9q8qqaqFn0dXdir=xcvk9pIe9q8qqaq=dir=f0=yq aqVeLsFr0=vr0=vr0db8meaabaqaciaacaGaaeqabaWaaqaafaaake aacaWHLbWaa0baaSqaaaqaaiaacQcaaaaaaa@3DC7@ , λ * MathType@MTEF@5@5@+= feaahGart1ev3aqatCvAUfeBSjuyZL2yd9gzLbvyNv2Caerbov2D09 MBaeXatLxBI9gBaerbd9wDYLwzYbItLDharuavP1wzZbItLDhis9wB H5garqqtubsr4rNCHbGeaGqipy0de9vqqrpepC0xbbL8F4rqqrFfpe ea0pd9Zqpe0xc9q8qqaqFn0dXdir=xcvk9pIe9q8qqaq=dir=f0=yq aqVeLsFr0=vr0=vr0db8meaabaqaciaacaGaaeqabaWaaqaafaaake aaiiqacqWF7oaBdaqhaaWcbaaabaGaaiOkaaaaaaa@3E93@  значения тензоров эффективных свойств пористой керамики для случая изолированных пор получим при приравнивании свойств среды сравнения к свойствам монолитной керамики C =C MathType@MTEF@5@5@+= feaahGart1ev3aqatCvAUfeBSjuyZL2yd9gzLbvyNv2Caerbov2D09 MBaeXatLxBI9gBaerbd9wDYLwzYbItLDharuavP1wzZbItLDhis9wB H5garqqtubsr4rNCHbGeaGqipy0de9vqqrpepC0xbbL8F4rqqrFfpe ea0pd9Zqpe0xc9q8qqaqFn0dXdir=xcvk9pIe9q8qqaq=dir=f0=yq aqVeLsFr0=vr0=vr0db8meaabaqaciaacaGaaeqabaWaaqaafaaake aacaWHdbWaa0baaSqaaiabgkci3cqaaaaakiabg2da9iaahoeaaaa@4058@ , λ =λ MathType@MTEF@5@5@+= feaahGart1ev3aqatCvAUfeBSjuyZL2yd9gzLbvyNv2Caerbov2D09 MBaeXatLxBI9gBaerbd9wDYLwzYbItLDharuavP1wzZbItLDhis9wB H5garqqtubsr4rNCHbGeaGqipy0de9vqqrpepC0xbbL8F4rqqrFfpe ea0pd9Zqpe0xc9q8qqaqFn0dXdir=xcvk9pIe9q8qqaq=dir=f0=yq aqVeLsFr0=vr0=vr0db8meaabaqaciaacaGaaeqabaWaaqaafaaake aaiiqacqWF7oaBdaqhaaWcbaGaeyOiGClabaaaaOGaeyypa0Jae83U dWgaaa@4229@ , e =e MathType@MTEF@5@5@+= feaahGart1ev3aqatCvAUfeBSjuyZL2yd9gzLbvyNv2Caerbov2D09 MBaeXatLxBI9gBaerbd9wDYLwzYbItLDharuavP1wzZbItLDhis9wB H5garqqtubsr4rNCHbGeaGqipy0de9vqqrpepC0xbbL8F4rqqrFfpe ea0pd9Zqpe0xc9q8qqaqFn0dXdir=xcvk9pIe9q8qqaq=dir=f0=yq aqVeLsFr0=vr0=vr0db8meaabaqaciaacaGaaeqabaWaaqaafaaake aacaWHLbWaa0baaSqaaiabgkci3cqaaaaakiabg2da9iaahwgaaaa@409C@ , а для случая взаимопроникающих пор – к осредненным по объему значениям C =<C> MathType@MTEF@5@5@+= feaahGart1ev3aqatCvAUfeBSjuyZL2yd9gzLbvyNv2Caerbov2D09 MBaeXatLxBI9gBaerbd9wDYLwzYbItLDharuavP1wzZbItLDhis9wB H5garqqtubsr4rNCHbGeaGqipy0de9vqqrpepC0xbbL8F4rqqrFfpe ea0pd9Zqpe0xc9q8qqaqFn0dXdir=xcvk9pIe9q8qqaq=dir=f0=yq aqVeLsFr0=vr0=vr0db8meaabaqaciaacaGaaeqabaWaaqaafaaake aacaWHdbWaa0baaSqaaiabgkci3cqaaaaakiabg2da9iabgYda8iaa hoeacqGH+aGpaaa@4264@ , λ =<λ> MathType@MTEF@5@5@+= feaahGart1ev3aqatCvAUfeBSjuyZL2yd9gzLbvyNv2Caerbov2D09 MBaeXatLxBI9gBaerbd9wDYLwzYbItLDharuavP1wzZbItLDhis9wB H5garqqtubsr4rNCHbGeaGqipy0de9vqqrpepC0xbbL8F4rqqrFfpe ea0pd9Zqpe0xc9q8qqaqFn0dXdir=xcvk9pIe9q8qqaq=dir=f0=yq aqVeLsFr0=vr0=vr0db8meaabaqaciaacaGaaeqabaWaaqaafaaake aaiiqacqWF7oaBdaqhaaWcbaGaeyOiGClabaaaaOGaeyypa0Jaeyip aWJae83UdWMaeyOpa4daaa@4435@ , e =<e> MathType@MTEF@5@5@+= feaahGart1ev3aqatCvAUfeBSjuyZL2yd9gzLbvyNv2Caerbov2D09 MBaeXatLxBI9gBaerbd9wDYLwzYbItLDharuavP1wzZbItLDhis9wB H5garqqtubsr4rNCHbGeaGqipy0de9vqqrpepC0xbbL8F4rqqrFfpe ea0pd9Zqpe0xc9q8qqaqFn0dXdir=xcvk9pIe9q8qqaq=dir=f0=yq aqVeLsFr0=vr0=vr0db8meaabaqaciaacaGaaeqabaWaaqaafaaake aacaWHLbWaa0baaSqaaiabgkci3cqaaaaakiabg2da9iabgYda8iaa hwgacqGH+aGpaaa@42A8@  (для этого случая возможно уточнение по схеме самосогласования, когда C. = C*, λ. = λ*, e = e * MathType@MTEF@5@5@+= feaahGart1ev3aqatCvAUfeBSjuyZL2yd9gzLbvyNv2Caerbov2D09 MBaeXatLxBI9gBaerbd9wDYLwzYbItLDharuavP1wzZbItLDhis9wB H5garqqtubsr4rNCHbGeaGqipy0de9vqqrpepC0xbbL8F4rqqrFfpe ea0pd9Zqpe0xc9q8qqaqFn0dXdir=xcvk9pIe9q8qqaq=dir=f0=yq aqVeLsFr0=vr0=vr0db8meaabaqaciaacaGaaeqabaWaaqaafaaake aacaWHLbWaa0baaSqaaiabgkci3cqaaaaakiabg2da9iaahwgadaqh aaWcbaaabaGaaiOkaaaaaaa@4177@  ). Начальное напряженное состояние элементов структуры (каркаса пористой структуры) ζ 0 ={ σ 0 , D 0 } MathType@MTEF@5@5@+= feaahGart1ev3aqatCvAUfeBSjuyZL2yd9gzLbvyNv2Caerbov2D09 MBaeXatLxBI9gBaerbd9wDYLwzYbItLDharuavP1wzZbItLDhis9wB H5garqqtubsr4rNCHbGeaGqipy0de9vqqrpepC0xbbL8F4rqqrFfpe ea0pd9Zqpe0xc9q8qqaqFn0dXdir=xcvk9pIe9q8qqaq=dir=f0=yq aqVeLsFr0=vr0=vr0db8meaabaqaciaacaGaaeqabaWaaqaafaaake aaiiqacqWF2oGEdaWgaaWcbaGaaGimaaqabaGccqGH9aqpcaGG7bGa e83Wdm3aa0baaSqaaaqaaiaaicdaaaGccaGGSaGaaCiramaaDaaale aaaeaacaaIWaaaaOGaaiyFaaaa@46D4@  в представительной области V MathType@MTEF@5@5@+= feaahGart1ev3aqatCvAUfeBSjuyZL2yd9gzLbvyNv2Caerbov2D09 MBaeXatLxBI9gBaerbd9wDYLwzYbItLDharuavP1wzZbItLDhis9wB H5garqqtubsr4rNCHbGeaGqipy0de9vqqrpepC0xbbL8F4rqqrFfpe ea0pd9Zqpe0xc9q8qqaqFn0dXdir=xcvk9pIe9q8qqaq=dir=f0=yq aqVeLsFr0=vr0=vr0db8meaabaqaciaacaGaaeqabaWaaqaafaaake aacaWHwbaaaa@3CDD@  и, в целом, на макроуровне ζ 0 * ={ σ *0 , D *0 } MathType@MTEF@5@5@+= feaahGart1ev3aqatCvAUfeBSjuyZL2yd9gzLbvyNv2Caerbov2D09 MBaeXatLxBI9gBaerbd9wDYLwzYbItLDharuavP1wzZbItLDhis9wB H5garqqtubsr4rNCHbGeaGqipy0de9vqqrpepC0xbbL8F4rqqrFfpe ea0pd9Zqpe0xc9q8qqaqFn0dXdir=xcvk9pIe9q8qqaq=dir=f0=yq aqVeLsFr0=vr0=vr0db8meaabaqaciaacaGaaeqabaWaaqaafaaake aaiiqacqWF2oGEdaqhaaWcbaGaaGimaaqaaiaacQcaaaGccqGH9aqp caGG7bGae83Wdm3aa0baaSqaaaqaaiaacQcacaaIWaaaaOGaaiilai aahseadaqhaaWcbaaabaGaaiOkaiaaicdaaaGccaGG9baaaa@48DF@  пористой пьезокерамики задаются, в общем, через компоненты тензора начальных макродеформаций ε *0 MathType@MTEF@5@5@+= feaahGart1ev3aqatCvAUfeBSjuyZL2yd9gzLbvyNv2Caerbov2D09 MBaeXatLxBI9gBaerbd9wDYLwzYbItLDharuavP1wzZbItLDhis9wB H5garqqtubsr4rNCHbGeaGqipy0de9vqqrpepC0xbbL8F4rqqrFfpe ea0pd9Zqpe0xc9q8qqaqFn0dXdir=xcvk9pIe9q8qqaq=dir=f0=yq aqVeLsFr0=vr0=vr0db8meaabaqaciaacaGaaeqabaWaaqaafaaake aacqaH1oqzdaqhaaWcbaaabaGaaiOkaiaaicdaaaaaaa@3F3A@ , компоненты вектора начальной макронапряженности E *0 MathType@MTEF@5@5@+= feaahGart1ev3aqatCvAUfeBSjuyZL2yd9gzLbvyNv2Caerbov2D09 MBaeXatLxBI9gBaerbd9wDYLwzYbItLDharuavP1wzZbItLDhis9wB H5garqqtubsr4rNCHbGeaGqipy0de9vqqrpepC0xbbL8F4rqqrFfpe ea0pd9Zqpe0xc9q8qqaqFn0dXdir=xcvk9pIe9q8qqaq=dir=f0=yq aqVeLsFr0=vr0=vr0db8meaabaqaciaacaGaaeqabaWaaqaafaaake aacaWHfbWaa0baaSqaaaqaaiaacQcacaaIWaaaaaaa@3E61@  области V MathType@MTEF@5@5@+= feaahGart1ev3aqatCvAUfeBSjuyZL2yd9gzLbvyNv2Caerbov2D09 MBaeXatLxBI9gBaerbd9wDYLwzYbItLDharuavP1wzZbItLDhis9wB H5garqqtubsr4rNCHbGeaGqipy0de9vqqrpepC0xbbL8F4rqqrFfpe ea0pd9Zqpe0xc9q8qqaqFn0dXdir=xcvk9pIe9q8qqaq=dir=f0=yq aqVeLsFr0=vr0=vr0db8meaabaqaciaacaGaaeqabaWaaqaafaaake aacaWHwbaaaa@3CDD@ . При этом тензоры σ *0 MathType@MTEF@5@5@+= feaahGart1ev3aqatCvAUfeBSjuyZL2yd9gzLbvyNv2Caerbov2D09 MBaeXatLxBI9gBaerbd9wDYLwzYbItLDharuavP1wzZbItLDhis9wB H5garqqtubsr4rNCHbGeaGqipy0de9vqqrpepC0xbbL8F4rqqrFfpe ea0pd9Zqpe0xc9q8qqaqFn0dXdir=xcvk9pIe9q8qqaq=dir=f0=yq aqVeLsFr0=vr0=vr0db8meaabaqaciaacaGaaeqabaWaaqaafaaake aaiiqacqWFdpWCdaqhaaWcbaaabaGaaiOkaiaaicdaaaaaaa@3F5C@ , D *0 MathType@MTEF@5@5@+= feaahGart1ev3aqatCvAUfeBSjuyZL2yd9gzLbvyNv2Caerbov2D09 MBaeXatLxBI9gBaerbd9wDYLwzYbItLDharuavP1wzZbItLDhis9wB H5garqqtubsr4rNCHbGeaGqipy0de9vqqrpepC0xbbL8F4rqqrFfpe ea0pd9Zqpe0xc9q8qqaqFn0dXdir=xcvk9pIe9q8qqaq=dir=f0=yq aqVeLsFr0=vr0=vr0db8meaabaqaciaacaGaaeqabaWaaqaafaaake aacaWHebWaa0baaSqaaaqaaiaacQcacaaIWaaaaaaa@3E60@  связаны с заданными значениями тензоров ε *0 MathType@MTEF@5@5@+= feaahGart1ev3aqatCvAUfeBSjuyZL2yd9gzLbvyNv2Caerbov2D09 MBaeXatLxBI9gBaerbd9wDYLwzYbItLDharuavP1wzZbItLDhis9wB H5garqqtubsr4rNCHbGeaGqipy0de9vqqrpepC0xbbL8F4rqqrFfpe ea0pd9Zqpe0xc9q8qqaqFn0dXdir=xcvk9pIe9q8qqaq=dir=f0=yq aqVeLsFr0=vr0=vr0db8meaabaqaciaacaGaaeqabaWaaqaafaaake aaiiqacqWF1oqzdaqhaaWcbaaabaGaaiOkaiaaicdaaaaaaa@3F40@ , E *0 MathType@MTEF@5@5@+= feaahGart1ev3aqatCvAUfeBSjuyZL2yd9gzLbvyNv2Caerbov2D09 MBaeXatLxBI9gBaerbd9wDYLwzYbItLDharuavP1wzZbItLDhis9wB H5garqqtubsr4rNCHbGeaGqipy0de9vqqrpepC0xbbL8F4rqqrFfpe ea0pd9Zqpe0xc9q8qqaqFn0dXdir=xcvk9pIe9q8qqaq=dir=f0=yq aqVeLsFr0=vr0=vr0db8meaabaqaciaacaGaaeqabaWaaqaafaaake aacaWHfbWaa0baaSqaaaqaaiaacQcacaaIWaaaaaaa@3E61@  посредством тензоров начальных эффективных свойств C *0 MathType@MTEF@5@5@+= feaahGart1ev3aqatCvAUfeBSjuyZL2yd9gzLbvyNv2Caerbov2D09 MBaeXatLxBI9gBaerbd9wDYLwzYbItLDharuavP1wzZbItLDhis9wB H5garqqtubsr4rNCHbGeaGqipy0de9vqqrpepC0xbbL8F4rqqrFfpe ea0pd9Zqpe0xc9q8qqaqFn0dXdir=xcvk9pIe9q8qqaq=dir=f0=yq aqVeLsFr0=vr0=vr0db8meaabaqaciaacaGaaeqabaWaaqaafaaake aacaWHdbWaa0baaSqaaaqaaiaacQcacaaIWaaaaaaa@3E5F@ , e *0 MathType@MTEF@5@5@+= feaahGart1ev3aqatCvAUfeBSjuyZL2yd9gzLbvyNv2Caerbov2D09 MBaeXatLxBI9gBaerbd9wDYLwzYbItLDharuavP1wzZbItLDhis9wB H5garqqtubsr4rNCHbGeaGqipy0de9vqqrpepC0xbbL8F4rqqrFfpe ea0pd9Zqpe0xc9q8qqaqFn0dXdir=xcvk9pIe9q8qqaq=dir=f0=yq aqVeLsFr0=vr0=vr0db8meaabaqaciaacaGaaeqabaWaaqaafaaake aacaWHLbWaa0baaSqaaaqaaiaacQcacaaIWaaaaaaa@3E81@ , λ *0 MathType@MTEF@5@5@+= feaahGart1ev3aqatCvAUfeBSjuyZL2yd9gzLbvyNv2Caerbov2D09 MBaeXatLxBI9gBaerbd9wDYLwzYbItLDharuavP1wzZbItLDhis9wB H5garqqtubsr4rNCHbGeaGqipy0de9vqqrpepC0xbbL8F4rqqrFfpe ea0pd9Zqpe0xc9q8qqaqFn0dXdir=xcvk9pIe9q8qqaq=dir=f0=yq aqVeLsFr0=vr0=vr0db8meaabaqaciaacaGaaeqabaWaaqaafaaake aaiiqacqWF7oaBdaqhaaWcbaaabaGaaiOkaiaaicdaaaaaaa@3F4D@  [30, 31] пористой пьезокерамики. В результате, например, при заданной начальной осевой деформации ε 33 0* 0 MathType@MTEF@5@5@+= feaahGart1ev3aqatCvAUfeBSjuyZL2yd9gzLbvyNv2Caerbov2D09 MBaeXatLxBI9gBaerbd9wDYLwzYbItLDharuavP1wzZbItLDhis9wB H5garqqtubsr4rNCHbGeaGqipy0de9vqqrpepC0xbbL8F4rqqrFfpe ea0pd9Zqpe0xc9q8qqaqFn0dXdir=xcvk9pIe9q8qqaq=dir=f0=yq aqVeLsFr0=vr0=vr0db8meaabaqaciaacaGaaeqabaWaaqaafaaake aacqaH1oqzdaqhaaWcbaGaaG4maiaaiodaaeaacaaIWaGaaiOkaaaa kiabgcMi5kaaicdaaaa@433F@ , когда другие компоненты ε ij 0* =0 MathType@MTEF@5@5@+= feaahGart1ev3aqatCvAUfeBSjuyZL2yd9gzLbvyNv2Caerbov2D09 MBaeXatLxBI9gBaerbd9wDYLwzYbItLDharuavP1wzZbItLDhis9wB H5garqqtubsr4rNCHbGeaGqipy0de9vqqrpepC0xbbL8F4rqqrFfpe ea0pd9Zqpe0xc9q8qqaqFn0dXdir=xcvk9pIe9q8qqaq=dir=f0=yq aqVeLsFr0=vr0=vr0db8meaabaqaciaacaGaaeqabaWaaqaafaaake aacqaH1oqzdaqhaaWcbaGaamyAaiaadQgaaeaacaaIWaGaaiOkaaaa kiabg2da9iaaicdaaaa@42E1@ , E *0 =0 MathType@MTEF@5@5@+= feaahGart1ev3aqatCvAUfeBSjuyZL2yd9gzLbvyNv2Caerbov2D09 MBaeXatLxBI9gBaerbd9wDYLwzYbItLDharuavP1wzZbItLDhis9wB H5garqqtubsr4rNCHbGeaGqipy0de9vqqrpepC0xbbL8F4rqqrFfpe ea0pd9Zqpe0xc9q8qqaqFn0dXdir=xcvk9pIe9q8qqaq=dir=f0=yq aqVeLsFr0=vr0=vr0db8meaabaqaciaacaGaaeqabaWaaqaafaaake aacaWHfbWaa0baaSqaaaqaaiaacQcacaaIWaaaaOGaeyypa0JaaGim aaaa@402B@  имеем, в общем, ненулевые значения компонент начального напряженного состояния элементов структуры ζ 0 MathType@MTEF@5@5@+= feaahGart1ev3aqatCvAUfeBSjuyZL2yd9gzLbvyNv2Caerbov2D09 MBaeXatLxBI9gBaerbd9wDYLwzYbItLDharuavP1wzZbItLDhis9wB H5garqqtubsr4rNCHbGeaGqipy0de9vqqrpepC0xbbL8F4rqqrFfpe ea0pd9Zqpe0xc9q8qqaqFn0dXdir=xcvk9pIe9q8qqaq=dir=f0=yq aqVeLsFr0=vr0=vr0db8meaabaqaciaacaGaaeqabaWaaqaafaaake aaiiqacqWF2oGEdaWgaaWcbaGaaGimaaqabaaaaa@3EA7@  и, в целом, композита ζ 0 * MathType@MTEF@5@5@+= feaahGart1ev3aqatCvAUfeBSjuyZL2yd9gzLbvyNv2Caerbov2D09 MBaeXatLxBI9gBaerbd9wDYLwzYbItLDharuavP1wzZbItLDhis9wB H5garqqtubsr4rNCHbGeaGqipy0de9vqqrpepC0xbbL8F4rqqrFfpe ea0pd9Zqpe0xc9q8qqaqFn0dXdir=xcvk9pIe9q8qqaq=dir=f0=yq aqVeLsFr0=vr0=vr0db8meaabaqaciaacaGaaeqabaWaaqaafaaake aaiiqacqWF2oGEdaqhaaWcbaGaaGimaaqaaiaacQcaaaaaaa@3F56@ . Значения начального напряженного состояния фаз ζ 0f < ζ 0 > f ={ σ f 0 , D f 0 } MathType@MTEF@5@5@+= feaahGart1ev3aqatCvAUfeBSjuyZL2yd9gzLbvyNv2Caerbov2D09 MBaeXatLxBI9gBaerbd9wDYLwzYbItLDharuavP1wzZbItLDhis9wB H5garqqtubsr4rNCHbGeaGqipy0de9vqqrpepC0xbbL8F4rqqrFfpe ea0pd9Zqpe0xc9q8qqaqFn0dXdir=xcvk9pIe9q8qqaq=dir=f0=yq aqVeLsFr0=vr0=vr0db8meaabaqaciaacaGaaeqabaWaaqaafaaake aaiiqacqWF2oGEdaqhaaWcbaGaaGimaiaadAgaaeaaaaGccqGHHjIU cqGH8aapcqWF2oGEdaqhaaWcbaGaaGimaaqaaaaakiabg6da+maaBa aaleaacaWGMbaabeaakiabg2da9iaacUhacqWFdpWCdaqhaaWcbaGa amOzaaqaaiaaicdaaaGccaGGSaGaaCiramaaDaaaleaacaWGMbaaba GaaGimaaaakiaac2haaaa@5135@ , в частности, тензоры σ 1,2 0 MathType@MTEF@5@5@+= feaahGart1ev3aqatCvAUfeBSjuyZL2yd9gzLbvyNv2Caerbov2D09 MBaeXatLxBI9gBaerbd9wDYLwzYbItLDharuavP1wzZbItLDhis9wB H5garqqtubsr4rNCHbGeaGqipy0de9vqqrpepC0xbbL8F4rqqrFfpe ea0pd9Zqpe0xc9q8qqaqFn0dXdir=xcvk9pIe9q8qqaq=dir=f0=yq aqVeLsFr0=vr0=vr0db8meaabaqaciaacaGaaeqabaWaaqaafaaake aaiiqacqWFdpWCdaqhaaWcbaGaaGymaiaacYcacaaIYaaabaGaaGim aaaaaaa@40D5@ , D 1,2 0 MathType@MTEF@5@5@+= feaahGart1ev3aqatCvAUfeBSjuyZL2yd9gzLbvyNv2Caerbov2D09 MBaeXatLxBI9gBaerbd9wDYLwzYbItLDharuavP1wzZbItLDhis9wB H5garqqtubsr4rNCHbGeaGqipy0de9vqqrpepC0xbbL8F4rqqrFfpe ea0pd9Zqpe0xc9q8qqaqFn0dXdir=xcvk9pIe9q8qqaq=dir=f0=yq aqVeLsFr0=vr0=vr0db8meaabaqaciaacaGaaeqabaWaaqaafaaake aacaWHebWaa0baaSqaaiaaigdacaGGSaGaaGOmaaqaaiaaicdaaaaa aa@3FD9@  пористой пьезокерамики как двухфазного композита могут быть найдены, например, по известному решению [30, 31], полученному для случая ζ 0 =0 MathType@MTEF@5@5@+= feaahGart1ev3aqatCvAUfeBSjuyZL2yd9gzLbvyNv2Caerbov2D09 MBaeXatLxBI9gBaerbd9wDYLwzYbItLDharuavP1wzZbItLDhis9wB H5garqqtubsr4rNCHbGeaGqipy0de9vqqrpepC0xbbL8F4rqqrFfpe ea0pd9Zqpe0xc9q8qqaqFn0dXdir=xcvk9pIe9q8qqaq=dir=f0=yq aqVeLsFr0=vr0=vr0db8meaabaqaciaacaGaaeqabaWaaqaafaaake aaiiqacqWF2oGEdaWgaaWcbaGaaGimaaqabaGccqGH9aqpcaaIWaaa aa@4071@ .

4. Результаты численного моделирования. С использованием полученных решений (3.5) – (3.15) осуществлен расчет начальных e 311 0* MathType@MTEF@5@5@+= feaahGart1ev3aqatCvAUfeBSjuyZL2yd9gzLbvyNv2Caerbov2D09 MBaeXatLxBI9gBaerbd9wDYLwzYbItLDharuavP1wzZbItLDhis9wB H5garqqtubsr4rNCHbGeaGqipy0de9vqqrpepC0xbbL8F4rqqrFfpe ea0pd9Zqpe0xc9q8qqaqFn0dXdir=xcvk9pIe9q8qqaq=dir=f0=yq aqVeLsFr0=vr0=vr0db8meaabaqaciaacaGaaeqabaWaaqaafaaake aacaWGLbWaa0baaSqaaiaaiodacaaIXaGaaGymaaqaaiaaicdacaGG Qaaaaaaa@40B0@  (рис. 2) и результирующих “деформационных” e 311 * MathType@MTEF@5@5@+= feaahGart1ev3aqatCvAUfeBSjuyZL2yd9gzLbvyNv2Caerbov2D09 MBaeXatLxBI9gBaerbd9wDYLwzYbItLDharuavP1wzZbItLDhis9wB H5garqqtubsr4rNCHbGeaGqipy0de9vqqrpepC0xbbL8F4rqqrFfpe ea0pd9Zqpe0xc9q8qqaqFn0dXdir=xcvk9pIe9q8qqaq=dir=f0=yq aqVeLsFr0=vr0=vr0db8meaabaqaciaacaGaaeqabaWaaqaafaaake aacaWGLbWaa0baaSqaaiaaiodacaaIXaGaaGymaaqaaiaacQcaaaaa aa@3FF6@  (рис. 3–8) значений эффективного пьезоэлектрического модуля трансверсально- изотропной пористой пьезокерамики в зависимости от объемной доли v MathType@MTEF@5@5@+= feaahGart1ev3aqatCvAUfeBSjuyZL2yd9gzLbvyNv2Caerbov2D09 MBaeXatLxBI9gBaerbd9wDYLwzYbItLDharuavP1wzZbItLDhis9wB H5garqqtubsr4rNCHbGeaGqipy0de9vqqrpepC0xbbL8F4rqqrFfpe ea0pd9Zqpe0xc9q8qqaqFn0dXdir=xcvk9pIe9q8qqaq=dir=f0=yq aqVeLsFr0=vr0=vr0db8meaabaqaciaacaGaaeqabaWaaqaafaaake aacaWG2bWaaSbaaSqaaiablIHiVbqabaaaaa@3E5F@ и связанности, т. е. изолированных (сплошные линии) или взаимопроникающих (пунктирные линии) сферических ( k form =1 MathType@MTEF@5@5@+= feaahGart1ev3aqatCvAUfeBSjuyZL2yd9gzLbvyNv2Caerbov2D09 MBaeXatLxBI9gBaerbd9wDYLwzYbItLDharuavP1wzZbItLDhis9wB H5garqqtubsr4rNCHbGeaGqipy0de9vqqrpepC0xbbL8F4rqqrFfpe ea0pd9Zqpe0xc9q8qqaqFn0dXdir=xcvk9pIe9q8qqaq=dir=f0=yq aqVeLsFr0=vr0=vr0db8meaabaqaciaacaGaaeqabaWaaqaafaaake aacaWGRbWaaSbaaSqaaiaabAgacaqGVbGaaeOCaiaab2gaaeqaaOGa eyypa0JaaGymaaaa@42A5@ , рис. 2–4), дисковых ( k form =0.2 MathType@MTEF@5@5@+= feaahGart1ev3aqatCvAUfeBSjuyZL2yd9gzLbvyNv2Caerbov2D09 MBaeXatLxBI9gBaerbd9wDYLwzYbItLDharuavP1wzZbItLDhis9wB H5garqqtubsr4rNCHbGeaGqipy0de9vqqrpepC0xbbL8F4rqqrFfpe ea0pd9Zqpe0xc9q8qqaqFn0dXdir=xcvk9pIe9q8qqaq=dir=f0=yq aqVeLsFr0=vr0=vr0db8meaabaqaciaacaGaaeqabaWaaqaafaaake aacaWGRbWaaSbaaSqaaiaabAgacaqGVbGaaeOCaiaab2gaaeqaaOGa eyypa0JaaGimaiaac6cacaaIYaaaaa@4412@ , рис. 2, рис. 5, рис. 6) или туннельных ( k form MathType@MTEF@5@5@+= feaahGart1ev3aqatCvAUfeBSjuyZL2yd9gzLbvyNv2Caerbov2D09 MBaeXatLxBI9gBaerbd9wDYLwzYbItLDharuavP1wzZbItLDhis9wB H5garqqtubsr4rNCHbGeaGqipy0de9vqqrpepC0xbbL8F4rqqrFfpe ea0pd9Zqpe0xc9q8qqaqFn0dXdir=xcvk9pIe9q8qqaq=dir=f0=yq aqVeLsFr0=vr0=vr0db8meaabaqaciaacaGaaeqabaWaaqaafaaake aacaWGRbWaaSbaaSqaaiaabAgacaqGVbGaaeOCaiaab2gaaeqaaOGa eyOKH4QaeyOhIukaaa@4442@ , рис. 2, 7, 8) пор и начальных осесимметричных деформаций: ε 11,22 0* MathType@MTEF@5@5@+= feaahGart1ev3aqatCvAUfeBSjuyZL2yd9gzLbvyNv2Caerbov2D09 MBaeXatLxBI9gBaerbd9wDYLwzYbItLDharuavP1wzZbItLDhis9wB H5garqqtubsr4rNCHbGeaGqipy0de9vqqrpepC0xbbL8F4rqqrFfpe ea0pd9Zqpe0xc9q8qqaqFn0dXdir=xcvk9pIe9q8qqaq=dir=f0=yq aqVeLsFr0=vr0=vr0db8meaabaqaciaacaGaaeqabaWaaqaafaaake aacqaH1oqzdaqhaaWcbaGaaGymaiaaigdacaGGSaGaaGOmaiaaikda aeaacaaIWaGaaiOkaaaaaaa@42D8@ , ε 33 0* MathType@MTEF@5@5@+= feaahGart1ev3aqatCvAUfeBSjuyZL2yd9gzLbvyNv2Caerbov2D09 MBaeXatLxBI9gBaerbd9wDYLwzYbItLDharuavP1wzZbItLDhis9wB H5garqqtubsr4rNCHbGeaGqipy0de9vqqrpepC0xbbL8F4rqqrFfpe ea0pd9Zqpe0xc9q8qqaqFn0dXdir=xcvk9pIe9q8qqaq=dir=f0=yq aqVeLsFr0=vr0=vr0db8meaabaqaciaacaGaaeqabaWaaqaafaaake aacqaH1oqzdaqhaaWcbaGaaG4maiaaiodaaeaacaaIWaGaaiOkaaaa aaa@40B4@  гидростатического ( ε 11 0* = ε 22 0* MathType@MTEF@5@5@+= feaahGart1ev3aqatCvAUfeBSjuyZL2yd9gzLbvyNv2Caerbov2D09 MBaeXatLxBI9gBaerbd9wDYLwzYbItLDharuavP1wzZbItLDhis9wB H5garqqtubsr4rNCHbGeaGqipy0de9vqqrpepC0xbbL8F4rqqrFfpe ea0pd9Zqpe0xc9q8qqaqFn0dXdir=xcvk9pIe9q8qqaq=dir=f0=yq aqVeLsFr0=vr0=vr0db8meaabaqaciaacaGaaeqabaWaaqaafaaake aacqaH1oqzdaqhaaWcbaGaaGymaiaaigdaaeaacaaIWaGaaiOkaaaa kiabg2da9iabew7aLnaaDaaaleaacaaIYaGaaGOmaaqaaiaaicdaca GGQaaaaaaa@4674@  ) в плоскости изотропии и осевого ( ε 33 0* MathType@MTEF@5@5@+= feaahGart1ev3aqatCvAUfeBSjuyZL2yd9gzLbvyNv2Caerbov2D09 MBaeXatLxBI9gBaerbd9wDYLwzYbItLDharuavP1wzZbItLDhis9wB H5garqqtubsr4rNCHbGeaGqipy0de9vqqrpepC0xbbL8F4rqqrFfpe ea0pd9Zqpe0xc9q8qqaqFn0dXdir=xcvk9pIe9q8qqaq=dir=f0=yq aqVeLsFr0=vr0=vr0db8meaabaqaciaacaGaaeqabaWaaqaafaaake aacqaH1oqzdaqhaaWcbaGaaG4maiaaiodaaeaacaaIWaGaaiOkaaaa aaa@40B4@  ) вдоль оси симметрии деформирований материала. При этом на рис. 2 представлены графики зависимости отношения e 311 0* / e 311 MathType@MTEF@5@5@+= feaahGart1ev3aqatCvAUfeBSjuyZL2yd9gzLbvyNv2Caerbov2D09 MBaeXatLxBI9gBaerbd9wDYLwzYbItLDharuavP1wzZbItLDhis9wB H5garqqtubsr4rNCHbGeaGqipy0de9vqqrpepC0xbbL8F4rqqrFfpe ea0pd9Zqpe0xc9q8qqaqFn0dXdir=xcvk9pIe9q8qqaq=dir=f0=yq aqVeLsFr0=vr0=vr0db8meaabaqaciaacaGaaeqabaWaaqaafaaake aacaWGLbWaa0baaSqaaiaaiodacaaIXaGaaGymaaqaaiaaicdacaGG QaaaaOGaai4laiaadwgadaqhaaWcbaGaaG4maiaaigdacaaIXaaaba aaaaaa@44B7@  начальных значений эффективного пьезоэлектрического модуля e 311 0* MathType@MTEF@5@5@+= feaahGart1ev3aqatCvAUfeBSjuyZL2yd9gzLbvyNv2Caerbov2D09 MBaeXatLxBI9gBaerbd9wDYLwzYbItLDharuavP1wzZbItLDhis9wB H5garqqtubsr4rNCHbGeaGqipy0de9vqqrpepC0xbbL8F4rqqrFfpe ea0pd9Zqpe0xc9q8qqaqFn0dXdir=xcvk9pIe9q8qqaq=dir=f0=yq aqVeLsFr0=vr0=vr0db8meaabaqaciaacaGaaeqabaWaaqaafaaake aacaWGLbWaa0baaSqaaiaaiodacaaIXaGaaGymaaqaaiaaicdacaGG Qaaaaaaa@40B0@  пористой пьезокерамики к величине модуля e 311 MathType@MTEF@5@5@+= feaahGart1ev3aqatCvAUfeBSjuyZL2yd9gzLbvyNv2Caerbov2D09 MBaeXatLxBI9gBaerbd9wDYLwzYbItLDharuavP1wzZbItLDhis9wB H5garqqtubsr4rNCHbGeaGqipy0de9vqqrpepC0xbbL8F4rqqrFfpe ea0pd9Zqpe0xc9q8qqaqFn0dXdir=xcvk9pIe9q8qqaq=dir=f0=yq aqVeLsFr0=vr0=vr0db8meaabaqaciaacaGaaeqabaWaaqaafaaake aacaWGLbWaa0baaSqaaiaaiodacaaIXaGaaGymaaqaaaaaaaa@3F48@  монолитной керамики PZT-4, а на рис. 3–8 – отношение e 311 * / e 311 0* MathType@MTEF@5@5@+= feaahGart1ev3aqatCvAUfeBSjuyZL2yd9gzLbvyNv2Caerbov2D09 MBaeXatLxBI9gBaerbd9wDYLwzYbItLDharuavP1wzZbItLDhis9wB H5garqqtubsr4rNCHbGeaGqipy0de9vqqrpepC0xbbL8F4rqqrFfpe ea0pd9Zqpe0xc9q8qqaqFn0dXdir=xcvk9pIe9q8qqaq=dir=f0=yq aqVeLsFr0=vr0=vr0db8meaabaqaciaacaGaaeqabaWaaqaafaaake aacaWGLbWaa0baaSqaaiaaiodacaaIXaGaaGymaaqaaiaacQcaaaGc caGGVaGaamyzamaaDaaaleaacaaIZaGaaGymaiaaigdaaeaacaaIWa GaaiOkaaaaaaa@4565@  результирующего e 311 * MathType@MTEF@5@5@+= feaahGart1ev3aqatCvAUfeBSjuyZL2yd9gzLbvyNv2Caerbov2D09 MBaeXatLxBI9gBaerbd9wDYLwzYbItLDharuavP1wzZbItLDhis9wB H5garqqtubsr4rNCHbGeaGqipy0de9vqqrpepC0xbbL8F4rqqrFfpe ea0pd9Zqpe0xc9q8qqaqFn0dXdir=xcvk9pIe9q8qqaq=dir=f0=yq aqVeLsFr0=vr0=vr0db8meaabaqaciaacaGaaeqabaWaaqaafaaake aacaWGLbWaa0baaSqaaiaaiodacaaIXaGaaGymaaqaaiaacQcaaaaa aa@3FF6@  и начального e 311 0* MathType@MTEF@5@5@+= feaahGart1ev3aqatCvAUfeBSjuyZL2yd9gzLbvyNv2Caerbov2D09 MBaeXatLxBI9gBaerbd9wDYLwzYbItLDharuavP1wzZbItLDhis9wB H5garqqtubsr4rNCHbGeaGqipy0de9vqqrpepC0xbbL8F4rqqrFfpe ea0pd9Zqpe0xc9q8qqaqFn0dXdir=xcvk9pIe9q8qqaq=dir=f0=yq aqVeLsFr0=vr0=vr0db8meaabaqaciaacaGaaeqabaWaaqaafaaake aacaWGLbWaa0baaSqaaiaaiodacaaIXaGaaGymaaqaaiaaicdacaGG Qaaaaaaa@40B0@  значений эффективного пьезоэлектрического модуля пористой пьезокерамики при различных осесимметричных ее начальных деформациях. При предельном значении пористости v 1 MathType@MTEF@5@5@+= feaahGart1ev3aqatCvAUfeBSjuyZL2yd9gzLbvyNv2Caerbov2D09 MBaeXatLxBI9gBaerbd9wDYLwzYbItLDharuavP1wzZbItLDhis9wB H5garqqtubsr4rNCHbGeaGqipy0de9vqqrpepC0xbbL8F4rqqrFfpe ea0pd9Zqpe0xc9q8qqaqFn0dXdir=xcvk9pIe9q8qqaq=dir=f0=yq aqVeLsFr0=vr0=vr0db8meaabaqaciaacaGaaeqabaWaaqaafaaake aacaWG2bWaaSbaaSqaaiablIHiVbqabaGccqGHsgIRcaaIXaaaaa@4111@  начальный e 311 0* 0 MathType@MTEF@5@5@+= feaahGart1ev3aqatCvAUfeBSjuyZL2yd9gzLbvyNv2Caerbov2D09 MBaeXatLxBI9gBaerbd9wDYLwzYbItLDharuavP1wzZbItLDhis9wB H5garqqtubsr4rNCHbGeaGqipy0de9vqqrpepC0xbbL8F4rqqrFfpe ea0pd9Zqpe0xc9q8qqaqFn0dXdir=xcvk9pIe9q8qqaq=dir=f0=yq aqVeLsFr0=vr0=vr0db8meaabaqaciaacaGaaeqabaWaaqaafaaake aacaWGLbWaa0baaSqaaiaaiodacaaIXaGaaGymaaqaaiaaicdacaGG QaaaaOGaeyOKH4QaaGimaaaa@4361@  (рис. 2) и результирующий e 311 * 0 MathType@MTEF@5@5@+= feaahGart1ev3aqatCvAUfeBSjuyZL2yd9gzLbvyNv2Caerbov2D09 MBaeXatLxBI9gBaerbd9wDYLwzYbItLDharuavP1wzZbItLDhis9wB H5garqqtubsr4rNCHbGeaGqipy0de9vqqrpepC0xbbL8F4rqqrFfpe ea0pd9Zqpe0xc9q8qqaqFn0dXdir=xcvk9pIe9q8qqaq=dir=f0=yq aqVeLsFr0=vr0=vr0db8meaabaqaciaacaGaaeqabaWaaqaafaaake aacaWGLbWaa0baaSqaaiaaiodacaaIXaGaaGymaaqaaiaacQcaaaGc cqGHsgIRcaaIWaaaaa@42A7@  пьезомодули стремятся к нулю и, как следствие, для относительной величины e 311 * MathType@MTEF@5@5@+= feaahGart1ev3aqatCvAUfeBSjuyZL2yd9gzLbvyNv2Caerbov2D09 MBaeXatLxBI9gBaerbd9wDYLwzYbItLDharuavP1wzZbItLDhis9wB H5garqqtubsr4rNCHbGeaGqipy0de9vqqrpepC0xbbL8F4rqqrFfpe ea0pd9Zqpe0xc9q8qqaqFn0dXdir=xcvk9pIe9q8qqaq=dir=f0=yq aqVeLsFr0=vr0=vr0db8meaabaqaciaacaGaaeqabaWaaqaafaaake aacaWGLbWaa0baaSqaaiaaiodacaaIXaGaaGymaaqaaiaacQcaaaaa aa@3FF6@  / e 311 0* MathType@MTEF@5@5@+= feaahGart1ev3aqatCvAUfeBSjuyZL2yd9gzLbvyNv2Caerbov2D09 MBaeXatLxBI9gBaerbd9wDYLwzYbItLDharuavP1wzZbItLDhis9wB H5garqqtubsr4rNCHbGeaGqipy0de9vqqrpepC0xbbL8F4rqqrFfpe ea0pd9Zqpe0xc9q8qqaqFn0dXdir=xcvk9pIe9q8qqaq=dir=f0=yq aqVeLsFr0=vr0=vr0db8meaabaqaciaacaGaaeqabaWaaqaafaaake aacaWGLbWaa0baaSqaaiaaiodacaaIXaGaaGymaaqaaiaaicdacaGG Qaaaaaaa@40B0@  (рис. 3, 5, 7) имеем неопределенность типа “0/0”; численный расчет и построение графиков осуществлено до значения пористости v =0.99 MathType@MTEF@5@5@+= feaahGart1ev3aqatCvAUfeBSjuyZL2yd9gzLbvyNv2Caerbov2D09 MBaeXatLxBI9gBaerbd9wDYLwzYbItLDharuavP1wzZbItLDhis9wB H5garqqtubsr4rNCHbGeaGqipy0de9vqqrpepC0xbbL8F4rqqrFfpe ea0pd9Zqpe0xc9q8qqaqFn0dXdir=xcvk9pIe9q8qqaq=dir=f0=yq aqVeLsFr0=vr0=vr0db8meaabaqaciaacaGaaeqabaWaaqaafaaake aacaWG2bWaaSbaaSqaaiablIHiVbqabaGccqGH9aqpcaaIWaGaaiOl aiaaiMdacaaI5aaaaa@4261@ . Дополнительно, для начальных значений эффективного модуля e 311 0* MathType@MTEF@5@5@+= feaahGart1ev3aqatCvAUfeBSjuyZL2yd9gzLbvyNv2Caerbov2D09 MBaeXatLxBI9gBaerbd9wDYLwzYbItLDharuavP1wzZbItLDhis9wB H5garqqtubsr4rNCHbGeaGqipy0de9vqqrpepC0xbbL8F4rqqrFfpe ea0pd9Zqpe0xc9q8qqaqFn0dXdir=xcvk9pIe9q8qqaq=dir=f0=yq aqVeLsFr0=vr0=vr0db8meaabaqaciaacaGaaeqabaWaaqaafaaake aacaWGLbWaa0baaSqaaiaaiodacaaIXaGaaGymaaqaaiaaicdacaGG Qaaaaaaa@40B0@  пористой пьезокерамики на рис. 9 даны графики непрерывной зависимости величины e 311 0* / e 311 MathType@MTEF@5@5@+= feaahGart1ev3aqatCvAUfeBSjuyZL2yd9gzLbvyNv2Caerbov2D09 MBaeXatLxBI9gBaerbd9wDYLwzYbItLDharuavP1wzZbItLDhis9wB H5garqqtubsr4rNCHbGeaGqipy0de9vqqrpepC0xbbL8F4rqqrFfpe ea0pd9Zqpe0xc9q8qqaqFn0dXdir=xcvk9pIe9q8qqaq=dir=f0=yq aqVeLsFr0=vr0=vr0db8meaabaqaciaacaGaaeqabaWaaqaafaaake aacaWGLbWaa0baaSqaaiaaiodacaaIXaGaaGymaaqaaiaaicdacaGG QaaaaOGaai4laiaadwgadaqhaaWcbaGaaG4maiaaigdacaaIXaaaba aaaaaa@44B7@  от параметра формы k form MathType@MTEF@5@5@+= feaahGart1ev3aqatCvAUfeBSjuyZL2yd9gzLbvyNv2Caerbov2D09 MBaeXatLxBI9gBaerbd9wDYLwzYbItLDharuavP1wzZbItLDhis9wB H5garqqtubsr4rNCHbGeaGqipy0de9vqqrpepC0xbbL8F4rqqrFfpe ea0pd9Zqpe0xc9q8qqaqFn0dXdir=xcvk9pIe9q8qqaq=dir=f0=yq aqVeLsFr0=vr0=vr0db8meaabaqaciaacaGaaeqabaWaaqaafaaake aacaWGRbWaaSbaaSqaaiaabAgacaqGVbGaaeOCaiaab2gaaeqaaaaa @40DA@  пор при их различном объемном содержании v MathType@MTEF@5@5@+= feaahGart1ev3aqatCvAUfeBSjuyZL2yd9gzLbvyNv2Caerbov2D09 MBaeXatLxBI9gBaerbd9wDYLwzYbItLDharuavP1wzZbItLDhis9wB H5garqqtubsr4rNCHbGeaGqipy0de9vqqrpepC0xbbL8F4rqqrFfpe ea0pd9Zqpe0xc9q8qqaqFn0dXdir=xcvk9pIe9q8qqaq=dir=f0=yq aqVeLsFr0=vr0=vr0db8meaabaqaciaacaGaaeqabaWaaqaafaaake aacaWG2bWaaSbaaSqaaiablIHiVbqabaaaaa@3E5F@ . Соответствующие зависимости результирующего эффективного модуля e 311 * MathType@MTEF@5@5@+= feaahGart1ev3aqatCvAUfeBSjuyZL2yd9gzLbvyNv2Caerbov2D09 MBaeXatLxBI9gBaerbd9wDYLwzYbItLDharuavP1wzZbItLDhis9wB H5garqqtubsr4rNCHbGeaGqipy0de9vqqrpepC0xbbL8F4rqqrFfpe ea0pd9Zqpe0xc9q8qqaqFn0dXdir=xcvk9pIe9q8qqaq=dir=f0=yq aqVeLsFr0=vr0=vr0db8meaabaqaciaacaGaaeqabaWaaqaafaaake aacaWGLbWaa0baaSqaaiaaiodacaaIXaGaaGymaaqaaiaacQcaaaaa aa@3FF6@  от параметра формы k form MathType@MTEF@5@5@+= feaahGart1ev3aqatCvAUfeBSjuyZL2yd9gzLbvyNv2Caerbov2D09 MBaeXatLxBI9gBaerbd9wDYLwzYbItLDharuavP1wzZbItLDhis9wB H5garqqtubsr4rNCHbGeaGqipy0de9vqqrpepC0xbbL8F4rqqrFfpe ea0pd9Zqpe0xc9q8qqaqFn0dXdir=xcvk9pIe9q8qqaq=dir=f0=yq aqVeLsFr0=vr0=vr0db8meaabaqaciaacaGaaeqabaWaaqaafaaake aacaWGRbWaaSbaaSqaaiaabAgacaqGVbGaaeOCaiaab2gaaeqaaaaa @40DA@ , объемной доли v MathType@MTEF@5@5@+= feaahGart1ev3aqatCvAUfeBSjuyZL2yd9gzLbvyNv2Caerbov2D09 MBaeXatLxBI9gBaerbd9wDYLwzYbItLDharuavP1wzZbItLDhis9wB H5garqqtubsr4rNCHbGeaGqipy0de9vqqrpepC0xbbL8F4rqqrFfpe ea0pd9Zqpe0xc9q8qqaqFn0dXdir=xcvk9pIe9q8qqaq=dir=f0=yq aqVeLsFr0=vr0=vr0db8meaabaqaciaacaGaaeqabaWaaqaafaaake aacaWG2bWaaSbaaSqaaiablIHiVbqabaaaaa@3E5F@ пор и различных начальных деформациях (  ε 11 0* = ε 22 0* MathType@MTEF@5@5@+= feaahGart1ev3aqatCvAUfeBSjuyZL2yd9gzLbvyNv2Caerbov2D09 MBaeXatLxBI9gBaerbd9wDYLwzYbItLDharuavP1wzZbItLDhis9wB H5garqqtubsr4rNCHbGeaGqipy0de9vqqrpepC0xbbL8F4rqqrFfpe ea0pd9Zqpe0xc9q8qqaqFn0dXdir=xcvk9pIe9q8qqaq=dir=f0=yq aqVeLsFr0=vr0=vr0db8meaabaqaciaacaGaaeqabaWaaqaafaaake aacqaH1oqzdaqhaaWcbaGaaGymaiaaigdaaeaacaaIWaGaaiOkaaaa kiabg2da9iabew7aLnaaDaaaleaacaaIYaGaaGOmaaqaaiaaicdaca GGQaaaaaaa@4674@ , ε 33 0* MathType@MTEF@5@5@+= feaahGart1ev3aqatCvAUfeBSjuyZL2yd9gzLbvyNv2Caerbov2D09 MBaeXatLxBI9gBaerbd9wDYLwzYbItLDharuavP1wzZbItLDhis9wB H5garqqtubsr4rNCHbGeaGqipy0de9vqqrpepC0xbbL8F4rqqrFfpe ea0pd9Zqpe0xc9q8qqaqFn0dXdir=xcvk9pIe9q8qqaq=dir=f0=yq aqVeLsFr0=vr0=vr0db8meaabaqaciaacaGaaeqabaWaaqaafaaake aacqaH1oqzdaqhaaWcbaGaaG4maiaaiodaaeaacaaIWaGaaiOkaaaa aaa@40B4@  ) пористой пьезокерамики даны на рис. 10.

 

Рис. 2. Начальный эффективный пьезомодуль e3110* пористой керамики PZT-4 (e311) в зависимости от объемной доли v сферических (○), дисковых (Δ) или туннельных (□) пор.

 

Рис. 3. Эффективный пьезомодуль e311* пористой керамики PZT-4 в зависимости от содержания v сферических пор для случая ε11,220*=0(▬), 0.01 (○), 0.02 (Δ), 0.03 (◊), 0.05 (□) при ε330*=0 (a), (▬), 0.01 (○), 0.02 (Δ), 0.03 (◊), 0.05 (□) при ε11,220*=0 (b), E0*=0.

 

Рис. 4. Эффективный пьезомодуль e311* пористой керамики PZT-4 с объемной долей v= 0.2 (○), 0.4 (Δ), 0.6 (◊), 0.8 (□) сферических пор в зависимости от начальных макродеформаций ε11,220*0 при ε330*=0 (a), ε330*0 при ε11,220*=0 (b), E0*=0.

 

Рис. 5. Эффективный пьезомодуль e311* пористой керамики PZT-4 в зависимости от содержания v дисковых пор для случая ε11,220*=0 (▬), 0.01 (○), 0.02 (Δ), 0.03 (◊), 0.05 (□) при ε330*=0 (a), ε330*=0(▬), 0.01 (○), 0.02 (Δ), 0.03 (◊), 0.05 (□) при ε11,220*=0 (b), E0*=0.

 

Рис. 6. Эффективный пьезомодуль e311* пористой керамики PZT-4 с объемной долей v= 0.2 (○), 0.4 (Δ), 0.6 (◊), 0.8 (□) дисковых пор в зависимости от начальных макродеформаций ε11,220*0 при ε330*=0 (a), ε330*0 при ε11,220*=0 (b), E0*=0.

 

Рис. 7. Эффективный пьезомодуль e311* пористой керамики PZT-4 в зависимости от содержания v туннельных пор для случая ε11,220*=0 (▬), 0.01 (○), 0.03 (◊), 0.05 (□) при ε330*=0 (a), ε330*=0 (▬), 0.01 (○), 0.03 (◊), 0.05 (□) при ε11,220*=0 (b), E0*=0.

 

Рис. 8. Эффективный пьезомодуль e311* пористой керамики PZT-4 с объемной долей туннельных пор v= 0.2 (○), 0.6 (◊), 0.8 (□) в зависимости от начальных макродеформаций ε11,220*0 при ε330*=0 (a), ε330*0 при ε11,220*=0 (b), E0*=0.

 

Рис. 9. Начальный эффективный пьезомодуль e311* пористой керамики PZT-4 в зависимости от параметра kforma3/a1(2) формы эллипсоидальных изолированных (○) и взаимопроникающих (□) пор при объемной доле v=0.2 (a), 0.4 (b), 0.6 (c).

 

Рис. 10. Эффективный пьезомодуль e311* пористой керамики PZT-4 в зависимости от параметра kforma3/a1(2) формы эллипсоидальных изолированных (○) и взаимопроникающих (□) пор при объемной доле v=0.2 (a, b), 0.4 (c, d), 0.6 (e, f) для случаев ε11,220*=0.05, ε330*=0.00(a, c, e), ε11,220*=0, ε330*=0.05(b, d, f) при E0*=0.

 

5. Заключение. Получено решение (3.5)–(3.15) “задачи эффективного модуля” трансверсально-изотропной пористой керамики с учетом ее начального напряженного состояния и эллипсоидальной формы ориентированных пор различной связанности на основе численно-аналитического решения связанной стохастической краевой задачи электроупругости механики композитов по методу функций Грина. С использованием полученных решений осуществлен расчет начальных e 311 0* MathType@MTEF@5@5@+= feaahGart1ev3aqatCvAUfeBSjuyZL2yd9gzLbvyNv2Caerbov2D09 MBaeXatLxBI9gBaerbd9wDYLwzYbItLDharuavP1wzZbItLDhis9wB H5garqqtubsr4rNCHbGeaGqipy0de9vqqrpepC0xbbL8F4rqqrFfpe ea0pd9Zqpe0xc9q8qqaqFn0dXdir=xcvk9pIe9q8qqaq=dir=f0=yq aqVeLsFr0=vr0=vr0db8meaabaqaciaacaGaaeqabaWaaqaafaaake aacaWGLbWaa0baaSqaaiaaiodacaaIXaGaaGymaaqaaiaaicdacaGG Qaaaaaaa@40B0@  (рис. 2, 9) и результирующих e 311 * MathType@MTEF@5@5@+= feaahGart1ev3aqatCvAUfeBSjuyZL2yd9gzLbvyNv2Caerbov2D09 MBaeXatLxBI9gBaerbd9wDYLwzYbItLDharuavP1wzZbItLDhis9wB H5garqqtubsr4rNCHbGeaGqipy0de9vqqrpepC0xbbL8F4rqqrFfpe ea0pd9Zqpe0xc9q8qqaqFn0dXdir=xcvk9pIe9q8qqaq=dir=f0=yq aqVeLsFr0=vr0=vr0db8meaabaqaciaacaGaaeqabaWaaqaafaaake aacaWGLbWaa0baaSqaaiaaiodacaaIXaGaaGymaaqaaiaacQcaaaaa aa@3FF6@  (рис. 3–8, 10) значений эффективного пьезоэлектрического модуля трансверсально-изотропной пористой пьезокерамики PZT-4 в зависимости от значений объемной доли v MathType@MTEF@5@5@+= feaahGart1ev3aqatCvAUfeBSjuyZL2yd9gzLbvyNv2Caerbov2D09 MBaeXatLxBI9gBaerbd9wDYLwzYbItLDharuavP1wzZbItLDhis9wB H5garqqtubsr4rNCHbGeaGqipy0de9vqqrpepC0xbbL8F4rqqrFfpe ea0pd9Zqpe0xc9q8qqaqFn0dXdir=xcvk9pIe9q8qqaq=dir=f0=yq aqVeLsFr0=vr0=vr0db8meaabaqaciaacaGaaeqabaWaaqaafaaake aacaWG2bWaaSbaaSqaaiablIHiVbqabaaaaa@3E5F@ , параметра формы k form a 3 / a 1(2) MathType@MTEF@5@5@+= feaahGart1ev3aqatCvAUfeBSjuyZL2yd9gzLbvyNv2Caerbov2D09 MBaeXatLxBI9gBaerbd9wDYLwzYbItLDharuavP1wzZbItLDhis9wB H5garqqtubsr4rNCHbGeaGqipy0de9vqqrpepC0xbbL8F4rqqrFfpe ea0pd9Zqpe0xc9q8qqaqFn0dXdir=xcvk9pIe9q8qqaq=dir=f0=yq aqVeLsFr0=vr0=vr0db8meaabaqaciaacaGaaeqabaWaaqaafaaake aacaWGRbWaaSbaaSqaaiaabAgacaqGVbGaaeOCaiaab2gaaeqaaOGa eyyyIORaamyyamaaBaaaleaacaaIZaaabeaakiaac+cacaWGHbWaaS baaSqaaiaaigdacaGGOaGaaGOmaiaacMcaaeqaaaaa@491B@ и типа связанности эллипсоидальных (рис. 9, 10), в частности: сферических (рис. 3, 4), дисковых (рис. 5, 6) или туннельных (рис. 7, 8) пор с учетом начального напряженного состояния пористой пьезокерамики, обусловленного ее начальными осесимметричными деформациями ε 11,22 0* MathType@MTEF@5@5@+= feaahGart1ev3aqatCvAUfeBSjuyZL2yd9gzLbvyNv2Caerbov2D09 MBaeXatLxBI9gBaerbd9wDYLwzYbItLDharuavP1wzZbItLDhis9wB H5garqqtubsr4rNCHbGeaGqipy0de9vqqrpepC0xbbL8F4rqqrFfpe ea0pd9Zqpe0xc9q8qqaqFn0dXdir=xcvk9pIe9q8qqaq=dir=f0=yq aqVeLsFr0=vr0=vr0db8meaabaqaciaacaGaaeqabaWaaqaafaaake aacqaH1oqzdaqhaaWcbaGaaGymaiaaigdacaGGSaGaaGOmaiaaikda aeaacaaIWaGaaiOkaaaaaaa@42D8@ , ε 33 0* MathType@MTEF@5@5@+= feaahGart1ev3aqatCvAUfeBSjuyZL2yd9gzLbvyNv2Caerbov2D09 MBaeXatLxBI9gBaerbd9wDYLwzYbItLDharuavP1wzZbItLDhis9wB H5garqqtubsr4rNCHbGeaGqipy0de9vqqrpepC0xbbL8F4rqqrFfpe ea0pd9Zqpe0xc9q8qqaqFn0dXdir=xcvk9pIe9q8qqaq=dir=f0=yq aqVeLsFr0=vr0=vr0db8meaabaqaciaacaGaaeqabaWaaqaafaaake aacqaH1oqzdaqhaaWcbaGaaG4maiaaiodaaeaacaaIWaGaaiOkaaaa aaa@40B4@  в плоскости изотропии ( ε 11,22 0* MathType@MTEF@5@5@+= feaahGart1ev3aqatCvAUfeBSjuyZL2yd9gzLbvyNv2Caerbov2D09 MBaeXatLxBI9gBaerbd9wDYLwzYbItLDharuavP1wzZbItLDhis9wB H5garqqtubsr4rNCHbGeaGqipy0de9vqqrpepC0xbbL8F4rqqrFfpe ea0pd9Zqpe0xc9q8qqaqFn0dXdir=xcvk9pIe9q8qqaq=dir=f0=yq aqVeLsFr0=vr0=vr0db8meaabaqaciaacaGaaeqabaWaaqaafaaake aacqaH1oqzdaqhaaWcbaGaaGymaiaaigdacaGGSaGaaGOmaiaaikda aeaacaaIWaGaaiOkaaaaaaa@42D8@  ) и вдоль оси симметрии ( ε 33 0* MathType@MTEF@5@5@+= feaahGart1ev3aqatCvAUfeBSjuyZL2yd9gzLbvyNv2Caerbov2D09 MBaeXatLxBI9gBaerbd9wDYLwzYbItLDharuavP1wzZbItLDhis9wB H5garqqtubsr4rNCHbGeaGqipy0de9vqqrpepC0xbbL8F4rqqrFfpe ea0pd9Zqpe0xc9q8qqaqFn0dXdir=xcvk9pIe9q8qqaq=dir=f0=yq aqVeLsFr0=vr0=vr0db8meaabaqaciaacaGaaeqabaWaaqaafaaake aacqaH1oqzdaqhaaWcbaGaaG4maiaaiodaaeaacaaIWaGaaiOkaaaa aaa@40B4@  ) материала. Выявлены (рис. 2) характерные значения объемной доли v ' MathType@MTEF@5@5@+= feaahGart1ev3aqatCvAUfeBSjuyZL2yd9gzLbvyNv2Caerbov2D09 MBaeXatLxBI9gBaerbd9wDYLwzYbItLDharuavP1wzZbItLDhis9wB H5garqqtubsr4rNCHbGeaGqipy0de9vqqrpepC0xbbL8F4rqqrFfpe ea0pd9Zqpe0xc9q8qqaqFn0dXdir=xcvk9pIe9q8qqaq=dir=f0=yq aqVeLsFr0=vr0=vr0db8meaabaqaciaacaGaaeqabaWaaqaafaaake aacaWG2bWaa0baaSqaaiablIHiVbqaaiaacEcaaaaaaa@3F0B@  сферических ( k form =1 MathType@MTEF@5@5@+= feaahGart1ev3aqatCvAUfeBSjuyZL2yd9gzLbvyNv2Caerbov2D09 MBaeXatLxBI9gBaerbd9wDYLwzYbItLDharuavP1wzZbItLDhis9wB H5garqqtubsr4rNCHbGeaGqipy0de9vqqrpepC0xbbL8F4rqqrFfpe ea0pd9Zqpe0xc9q8qqaqFn0dXdir=xcvk9pIe9q8qqaq=dir=f0=yq aqVeLsFr0=vr0=vr0db8meaabaqaciaacaGaaeqabaWaaqaafaaake aacaWGRbWaaSbaaSqaaiaabAgacaqGVbGaaeOCaiaab2gaaeqaaOGa eyypa0JaaGymaaaa@42A5@  ) и дисковых ( k form =0.2 MathType@MTEF@5@5@+= feaahGart1ev3aqatCvAUfeBSjuyZL2yd9gzLbvyNv2Caerbov2D09 MBaeXatLxBI9gBaerbd9wDYLwzYbItLDharuavP1wzZbItLDhis9wB H5garqqtubsr4rNCHbGeaGqipy0de9vqqrpepC0xbbL8F4rqqrFfpe ea0pd9Zqpe0xc9q8qqaqFn0dXdir=xcvk9pIe9q8qqaq=dir=f0=yq aqVeLsFr0=vr0=vr0db8meaabaqaciaacaGaaeqabaWaaqaafaaake aacaWGRbWaaSbaaSqaaiaabAgacaqGVbGaaeOCaiaab2gaaeqaaOGa eyypa0JaaGimaiaac6cacaaIYaaaaa@4412@  ) пор с учетом их связанностей, при которых происходит смена знака численных значений начального эффективного пьезоэлектрического модуля e 311 0* MathType@MTEF@5@5@+= feaahGart1ev3aqatCvAUfeBSjuyZL2yd9gzLbvyNv2Caerbov2D09 MBaeXatLxBI9gBaerbd9wDYLwzYbItLDharuavP1wzZbItLDhis9wB H5garqqtubsr4rNCHbGeaGqipy0de9vqqrpepC0xbbL8F4rqqrFfpe ea0pd9Zqpe0xc9q8qqaqFn0dXdir=xcvk9pIe9q8qqaq=dir=f0=yq aqVeLsFr0=vr0=vr0db8meaabaqaciaacaGaaeqabaWaaqaafaaake aacaWGLbWaa0baaSqaaiaaiodacaaIXaGaaGymaaqaaiaaicdacaGG Qaaaaaaa@40B0@  по отношению к соответствующему модулю e 311 MathType@MTEF@5@5@+= feaahGart1ev3aqatCvAUfeBSjuyZL2yd9gzLbvyNv2Caerbov2D09 MBaeXatLxBI9gBaerbd9wDYLwzYbItLDharuavP1wzZbItLDhis9wB H5garqqtubsr4rNCHbGeaGqipy0de9vqqrpepC0xbbL8F4rqqrFfpe ea0pd9Zqpe0xc9q8qqaqFn0dXdir=xcvk9pIe9q8qqaq=dir=f0=yq aqVeLsFr0=vr0=vr0db8meaabaqaciaacaGaaeqabaWaaqaafaaake aacaWGLbWaa0baaSqaaiaaiodacaaIXaGaaGymaaqaaaaaaaa@3F48@  монолитной керамики PZT-4. Определены (рис. 3) характерные значения объемной доли v '' MathType@MTEF@5@5@+= feaahGart1ev3aqatCvAUfeBSjuyZL2yd9gzLbvyNv2Caerbov2D09 MBaeXatLxBI9gBaerbd9wDYLwzYbItLDharuavP1wzZbItLDhis9wB H5garqqtubsr4rNCHbGeaGqipy0de9vqqrpepC0xbbL8F4rqqrFfpe ea0pd9Zqpe0xc9q8qqaqFn0dXdir=xcvk9pIe9q8qqaq=dir=f0=yq aqVeLsFr0=vr0=vr0db8meaabaqaciaacaGaaeqabaWaaqaafaaake aacaWG2bWaa0baaSqaaiablIHiVbqaaiaacEcacaGGNaaaaaaa@3FB6@ , в частности, сферических пор, при которых увеличение результирующих значений пьезомодуля e 311 * MathType@MTEF@5@5@+= feaahGart1ev3aqatCvAUfeBSjuyZL2yd9gzLbvyNv2Caerbov2D09 MBaeXatLxBI9gBaerbd9wDYLwzYbItLDharuavP1wzZbItLDhis9wB H5garqqtubsr4rNCHbGeaGqipy0de9vqqrpepC0xbbL8F4rqqrFfpe ea0pd9Zqpe0xc9q8qqaqFn0dXdir=xcvk9pIe9q8qqaq=dir=f0=yq aqVeLsFr0=vr0=vr0db8meaabaqaciaacaGaaeqabaWaaqaafaaake aacaWGLbWaa0baaSqaaiaaiodacaaIXaGaaGymaaqaaiaacQcaaaaa aa@3FF6@  (относительно его соответствующего начального значения e 311 0* MathType@MTEF@5@5@+= feaahGart1ev3aqatCvAUfeBSjuyZL2yd9gzLbvyNv2Caerbov2D09 MBaeXatLxBI9gBaerbd9wDYLwzYbItLDharuavP1wzZbItLDhis9wB H5garqqtubsr4rNCHbGeaGqipy0de9vqqrpepC0xbbL8F4rqqrFfpe ea0pd9Zqpe0xc9q8qqaqFn0dXdir=xcvk9pIe9q8qqaq=dir=f0=yq aqVeLsFr0=vr0=vr0db8meaabaqaciaacaGaaeqabaWaaqaafaaake aacaWGLbWaa0baaSqaaiaaiodacaaIXaGaaGymaaqaaiaaicdacaGG Qaaaaaaa@40B0@  ) сменяется снижением результирующих значений, при этом значение v '' MathType@MTEF@5@5@+= feaahGart1ev3aqatCvAUfeBSjuyZL2yd9gzLbvyNv2Caerbov2D09 MBaeXatLxBI9gBaerbd9wDYLwzYbItLDharuavP1wzZbItLDhis9wB H5garqqtubsr4rNCHbGeaGqipy0de9vqqrpepC0xbbL8F4rqqrFfpe ea0pd9Zqpe0xc9q8qqaqFn0dXdir=xcvk9pIe9q8qqaq=dir=f0=yq aqVeLsFr0=vr0=vr0db8meaabaqaciaacaGaaeqabaWaaqaafaaake aacaWG2bWaa0baaSqaaiablIHiVbqaaiaacEcacaGGNaaaaaaa@3FB6@  для случая открытой пористости примерно в два раза меньше соответствующего значения для изолированной пористости и на значение v '' MathType@MTEF@5@5@+= feaahGart1ev3aqatCvAUfeBSjuyZL2yd9gzLbvyNv2Caerbov2D09 MBaeXatLxBI9gBaerbd9wDYLwzYbItLDharuavP1wzZbItLDhis9wB H5garqqtubsr4rNCHbGeaGqipy0de9vqqrpepC0xbbL8F4rqqrFfpe ea0pd9Zqpe0xc9q8qqaqFn0dXdir=xcvk9pIe9q8qqaq=dir=f0=yq aqVeLsFr0=vr0=vr0db8meaabaqaciaacaGaaeqabaWaaqaafaaake aacaWG2bWaa0baaSqaaiablIHiVbqaaiaacEcacaGGNaaaaaaa@3FB6@  не влияет величина начального деформирования ε 11,22 0* MathType@MTEF@5@5@+= feaahGart1ev3aqatCvAUfeBSjuyZL2yd9gzLbvyNv2Caerbov2D09 MBaeXatLxBI9gBaerbd9wDYLwzYbItLDharuavP1wzZbItLDhis9wB H5garqqtubsr4rNCHbGeaGqipy0de9vqqrpepC0xbbL8F4rqqrFfpe ea0pd9Zqpe0xc9q8qqaqFn0dXdir=xcvk9pIe9q8qqaq=dir=f0=yq aqVeLsFr0=vr0=vr0db8meaabaqaciaacaGaaeqabaWaaqaafaaake aacqaH1oqzdaqhaaWcbaGaaGymaiaaigdacaGGSaGaaGOmaiaaikda aeaacaaIWaGaaiOkaaaaaaa@42D8@  и/или ε 33 0* MathType@MTEF@5@5@+= feaahGart1ev3aqatCvAUfeBSjuyZL2yd9gzLbvyNv2Caerbov2D09 MBaeXatLxBI9gBaerbd9wDYLwzYbItLDharuavP1wzZbItLDhis9wB H5garqqtubsr4rNCHbGeaGqipy0de9vqqrpepC0xbbL8F4rqqrFfpe ea0pd9Zqpe0xc9q8qqaqFn0dXdir=xcvk9pIe9q8qqaq=dir=f0=yq aqVeLsFr0=vr0=vr0db8meaabaqaciaacaGaaeqabaWaaqaafaaake aacqaH1oqzdaqhaaWcbaGaaG4maiaaiodaaeaacaaIWaGaaiOkaaaa aaa@40B4@ ; эти эффекты не наблюдаются на графиках зависимости e 311 * / e 311 0* MathType@MTEF@5@5@+= feaahGart1ev3aqatCvAUfeBSjuyZL2yd9gzLbvyNv2Caerbov2D09 MBaeXatLxBI9gBaerbd9wDYLwzYbItLDharuavP1wzZbItLDhis9wB H5garqqtubsr4rNCHbGeaGqipy0de9vqqrpepC0xbbL8F4rqqrFfpe ea0pd9Zqpe0xc9q8qqaqFn0dXdir=xcvk9pIe9q8qqaq=dir=f0=yq aqVeLsFr0=vr0=vr0db8meaabaqaciaacaGaaeqabaWaaqaafaaake aacaWGLbWaa0baaSqaaiaaiodacaaIXaGaaGymaaqaaiaacQcaaaGc caGGVaGaamyzamaaDaaaleaacaaIZaGaaGymaiaaigdaaeaacaaIWa GaaiOkaaaaaaa@4565@  от v MathType@MTEF@5@5@+= feaahGart1ev3aqatCvAUfeBSjuyZL2yd9gzLbvyNv2Caerbov2D09 MBaeXatLxBI9gBaerbd9wDYLwzYbItLDharuavP1wzZbItLDhis9wB H5garqqtubsr4rNCHbGeaGqipy0de9vqqrpepC0xbbL8F4rqqrFfpe ea0pd9Zqpe0xc9q8qqaqFn0dXdir=xcvk9pIe9q8qqaq=dir=f0=yq aqVeLsFr0=vr0=vr0db8meaabaqaciaacaGaaeqabaWaaqaafaaake aacaWG2bWaaSbaaSqaaiablIHiVbqabaaaaa@3E5F@  для случая туннельных пор (рис. 7). Установлено (рис. 4, 6, 8), что величина e 311 * / e 311 0* MathType@MTEF@5@5@+= feaahGart1ev3aqatCvAUfeBSjuyZL2yd9gzLbvyNv2Caerbov2D09 MBaeXatLxBI9gBaerbd9wDYLwzYbItLDharuavP1wzZbItLDhis9wB H5garqqtubsr4rNCHbGeaGqipy0de9vqqrpepC0xbbL8F4rqqrFfpe ea0pd9Zqpe0xc9q8qqaqFn0dXdir=xcvk9pIe9q8qqaq=dir=f0=yq aqVeLsFr0=vr0=vr0db8meaabaqaciaacaGaaeqabaWaaqaafaaake aacaWGLbWaa0baaSqaaiaaiodacaaIXaGaaGymaaqaaiaacQcaaaGc caGGVaGaamyzamaaDaaaleaacaaIZaGaaGymaiaaigdaaeaacaaIWa GaaiOkaaaaaaa@4565@  относительных значений результирующего пьезомодуля e 311 * MathType@MTEF@5@5@+= feaahGart1ev3aqatCvAUfeBSjuyZL2yd9gzLbvyNv2Caerbov2D09 MBaeXatLxBI9gBaerbd9wDYLwzYbItLDharuavP1wzZbItLDhis9wB H5garqqtubsr4rNCHbGeaGqipy0de9vqqrpepC0xbbL8F4rqqrFfpe ea0pd9Zqpe0xc9q8qqaqFn0dXdir=xcvk9pIe9q8qqaq=dir=f0=yq aqVeLsFr0=vr0=vr0db8meaabaqaciaacaGaaeqabaWaaqaafaaake aacaWGLbWaa0baaSqaaiaaiodacaaIXaGaaGymaaqaaiaacQcaaaaa aa@3FF6@  пористой пьезокерамики линейно зависит от ее начальных макродеформаций ε 11,22 0* MathType@MTEF@5@5@+= feaahGart1ev3aqatCvAUfeBSjuyZL2yd9gzLbvyNv2Caerbov2D09 MBaeXatLxBI9gBaerbd9wDYLwzYbItLDharuavP1wzZbItLDhis9wB H5garqqtubsr4rNCHbGeaGqipy0de9vqqrpepC0xbbL8F4rqqrFfpe ea0pd9Zqpe0xc9q8qqaqFn0dXdir=xcvk9pIe9q8qqaq=dir=f0=yq aqVeLsFr0=vr0=vr0db8meaabaqaciaacaGaaeqabaWaaqaafaaake aacqaH1oqzdaqhaaWcbaGaaGymaiaaigdacaGGSaGaaGOmaiaaikda aeaacaaIWaGaaiOkaaaaaaa@42D8@ , ε 33 0* MathType@MTEF@5@5@+= feaahGart1ev3aqatCvAUfeBSjuyZL2yd9gzLbvyNv2Caerbov2D09 MBaeXatLxBI9gBaerbd9wDYLwzYbItLDharuavP1wzZbItLDhis9wB H5garqqtubsr4rNCHbGeaGqipy0de9vqqrpepC0xbbL8F4rqqrFfpe ea0pd9Zqpe0xc9q8qqaqFn0dXdir=xcvk9pIe9q8qqaq=dir=f0=yq aqVeLsFr0=vr0=vr0db8meaabaqaciaacaGaaeqabaWaaqaafaaake aacqaH1oqzdaqhaaWcbaGaaG4maiaaiodaaeaacaaIWaGaaiOkaaaa aaa@40B4@  и, например, для случая сферических пор (рис. 4) максимальные (по модулю) градиенты роста и убывания относительных значений e 311 * / e 311 0* MathType@MTEF@5@5@+= feaahGart1ev3aqatCvAUfeBSjuyZL2yd9gzLbvyNv2Caerbov2D09 MBaeXatLxBI9gBaerbd9wDYLwzYbItLDharuavP1wzZbItLDhis9wB H5garqqtubsr4rNCHbGeaGqipy0de9vqqrpepC0xbbL8F4rqqrFfpe ea0pd9Zqpe0xc9q8qqaqFn0dXdir=xcvk9pIe9q8qqaq=dir=f0=yq aqVeLsFr0=vr0=vr0db8meaabaqaciaacaGaaeqabaWaaqaafaaake aacaWGLbWaa0baaSqaaiaaiodacaaIXaGaaGymaaqaaiaacQcaaaGc caGGVaGaamyzamaaDaaaleaacaaIZaGaaGymaiaaigdaaeaacaaIWa GaaiOkaaaaaaa@4565@  реализуются соответственно при значении объемной доли v MathType@MTEF@5@5@+= feaahGart1ev3aqatCvAUfeBSjuyZL2yd9gzLbvyNv2Caerbov2D09 MBaeXatLxBI9gBaerbd9wDYLwzYbItLDharuavP1wzZbItLDhis9wB H5garqqtubsr4rNCHbGeaGqipy0de9vqqrpepC0xbbL8F4rqqrFfpe ea0pd9Zqpe0xc9q8qqaqFn0dXdir=xcvk9pIe9q8qqaq=dir=f0=yq aqVeLsFr0=vr0=vr0db8meaabaqaciaacaGaaeqabaWaaqaafaaake aacaWG2bWaaSbaaSqaaiablIHiVbqabaaaaa@3E5F@  ≈ 0.4 и 0.6 изолированных сферических пор. При этом для случая туннельных пор (рис. 8) имеем возрастающие линейные зависимости величины e 311 * / e 311 0* MathType@MTEF@5@5@+= feaahGart1ev3aqatCvAUfeBSjuyZL2yd9gzLbvyNv2Caerbov2D09 MBaeXatLxBI9gBaerbd9wDYLwzYbItLDharuavP1wzZbItLDhis9wB H5garqqtubsr4rNCHbGeaGqipy0de9vqqrpepC0xbbL8F4rqqrFfpe ea0pd9Zqpe0xc9q8qqaqFn0dXdir=xcvk9pIe9q8qqaq=dir=f0=yq aqVeLsFr0=vr0=vr0db8meaabaqaciaacaGaaeqabaWaaqaafaaake aacaWGLbWaa0baaSqaaiaaiodacaaIXaGaaGymaaqaaiaacQcaaaGc caGGVaGaamyzamaaDaaaleaacaaIZaGaaGymaiaaigdaaeaacaaIWa GaaiOkaaaaaaa@4565@  от начальных макродеформаций ε 11,22 0* MathType@MTEF@5@5@+= feaahGart1ev3aqatCvAUfeBSjuyZL2yd9gzLbvyNv2Caerbov2D09 MBaeXatLxBI9gBaerbd9wDYLwzYbItLDharuavP1wzZbItLDhis9wB H5garqqtubsr4rNCHbGeaGqipy0de9vqqrpepC0xbbL8F4rqqrFfpe ea0pd9Zqpe0xc9q8qqaqFn0dXdir=xcvk9pIe9q8qqaq=dir=f0=yq aqVeLsFr0=vr0=vr0db8meaabaqaciaacaGaaeqabaWaaqaafaaake aacqaH1oqzdaqhaaWcbaGaaGymaiaaigdacaGGSaGaaGOmaiaaikda aeaacaaIWaGaaiOkaaaaaaa@42D8@ , ε 33 0* MathType@MTEF@5@5@+= feaahGart1ev3aqatCvAUfeBSjuyZL2yd9gzLbvyNv2Caerbov2D09 MBaeXatLxBI9gBaerbd9wDYLwzYbItLDharuavP1wzZbItLDhis9wB H5garqqtubsr4rNCHbGeaGqipy0de9vqqrpepC0xbbL8F4rqqrFfpe ea0pd9Zqpe0xc9q8qqaqFn0dXdir=xcvk9pIe9q8qqaq=dir=f0=yq aqVeLsFr0=vr0=vr0db8meaabaqaciaacaGaaeqabaWaaqaafaaake aacqaH1oqzdaqhaaWcbaGaaG4maiaaiodaaeaacaaIWaGaaiOkaaaa aaa@40B4@ , при этом максимальный градиент имеем при объемной доле v MathType@MTEF@5@5@+= feaahGart1ev3aqatCvAUfeBSjuyZL2yd9gzLbvyNv2Caerbov2D09 MBaeXatLxBI9gBaerbd9wDYLwzYbItLDharuavP1wzZbItLDhis9wB H5garqqtubsr4rNCHbGeaGqipy0de9vqqrpepC0xbbL8F4rqqrFfpe ea0pd9Zqpe0xc9q8qqaqFn0dXdir=xcvk9pIe9q8qqaq=dir=f0=yq aqVeLsFr0=vr0=vr0db8meaabaqaciaacaGaaeqabaWaaqaafaaake aacaWG2bWaaSbaaSqaaiablIHiVbqabaaaaa@3E5F@  ≈ 0.8 открытых (взаимопроникающих) туннельных пор. Доказано, что начальное гидростатическое деформирование ε 11,22 0* MathType@MTEF@5@5@+= feaahGart1ev3aqatCvAUfeBSjuyZL2yd9gzLbvyNv2Caerbov2D09 MBaeXatLxBI9gBaerbd9wDYLwzYbItLDharuavP1wzZbItLDhis9wB H5garqqtubsr4rNCHbGeaGqipy0de9vqqrpepC0xbbL8F4rqqrFfpe ea0pd9Zqpe0xc9q8qqaqFn0dXdir=xcvk9pIe9q8qqaq=dir=f0=yq aqVeLsFr0=vr0=vr0db8meaabaqaciaacaGaaeqabaWaaqaafaaake aacqaH1oqzdaqhaaWcbaGaaGymaiaaigdacaGGSaGaaGOmaiaaikda aeaacaaIWaGaaiOkaaaaaaa@42D8@  более существенно влияет на результирующие значения пьезомодуля e 311 * MathType@MTEF@5@5@+= feaahGart1ev3aqatCvAUfeBSjuyZL2yd9gzLbvyNv2Caerbov2D09 MBaeXatLxBI9gBaerbd9wDYLwzYbItLDharuavP1wzZbItLDhis9wB H5garqqtubsr4rNCHbGeaGqipy0de9vqqrpepC0xbbL8F4rqqrFfpe ea0pd9Zqpe0xc9q8qqaqFn0dXdir=xcvk9pIe9q8qqaq=dir=f0=yq aqVeLsFr0=vr0=vr0db8meaabaqaciaacaGaaeqabaWaaqaafaaake aacaWGLbWaa0baaSqaaiaaiodacaaIXaGaaGymaaqaaiaacQcaaaaa aa@3FF6@ пористой пьезокерамики (рис. 10, a, c, e), чем ее начальная осевая деформация ε 33 0* MathType@MTEF@5@5@+= feaahGart1ev3aqatCvAUfeBSjuyZL2yd9gzLbvyNv2Caerbov2D09 MBaeXatLxBI9gBaerbd9wDYLwzYbItLDharuavP1wzZbItLDhis9wB H5garqqtubsr4rNCHbGeaGqipy0de9vqqrpepC0xbbL8F4rqqrFfpe ea0pd9Zqpe0xc9q8qqaqFn0dXdir=xcvk9pIe9q8qqaq=dir=f0=yq aqVeLsFr0=vr0=vr0db8meaabaqaciaacaGaaeqabaWaaqaafaaake aacqaH1oqzdaqhaaWcbaGaaG4maiaaiodaaeaacaaIWaGaaiOkaaaa aaa@40B4@  (рис. 10,b, d, f) при всех рассматриваемых значениях объемной доли v MathType@MTEF@5@5@+= feaahGart1ev3aqatCvAUfeBSjuyZL2yd9gzLbvyNv2Caerbov2D09 MBaeXatLxBI9gBaerbd9wDYLwzYbItLDharuavP1wzZbItLDhis9wB H5garqqtubsr4rNCHbGeaGqipy0de9vqqrpepC0xbbL8F4rqqrFfpe ea0pd9Zqpe0xc9q8qqaqFn0dXdir=xcvk9pIe9q8qqaq=dir=f0=yq aqVeLsFr0=vr0=vr0db8meaabaqaciaacaGaaeqabaWaaqaafaaake aacaWG2bWaaSbaaSqaaiablIHiVbqabaaaaa@3E5F@ , параметра формы k form MathType@MTEF@5@5@+= feaahGart1ev3aqatCvAUfeBSjuyZL2yd9gzLbvyNv2Caerbov2D09 MBaeXatLxBI9gBaerbd9wDYLwzYbItLDharuavP1wzZbItLDhis9wB H5garqqtubsr4rNCHbGeaGqipy0de9vqqrpepC0xbbL8F4rqqrFfpe ea0pd9Zqpe0xc9q8qqaqFn0dXdir=xcvk9pIe9q8qqaq=dir=f0=yq aqVeLsFr0=vr0=vr0db8meaabaqaciaacaGaaeqabaWaaqaafaaake aacaWGRbWaaSbaaSqaaiaabAgacaqGVbGaaeOCaiaab2gaaeqaaaaa @40DA@  и связанности, в особенности, сферических (рис. 3, 4) пор. Выявлен (рис. 9) немонотонный характер с наличием точек минимума зависимости величины e 311 0* / e 311 MathType@MTEF@5@5@+= feaahGart1ev3aqatCvAUfeBSjuyZL2yd9gzLbvyNv2Caerbov2D09 MBaeXatLxBI9gBaerbd9wDYLwzYbItLDharuavP1wzZbItLDhis9wB H5garqqtubsr4rNCHbGeaGqipy0de9vqqrpepC0xbbL8F4rqqrFfpe ea0pd9Zqpe0xc9q8qqaqFn0dXdir=xcvk9pIe9q8qqaq=dir=f0=yq aqVeLsFr0=vr0=vr0db8meaabaqaciaacaGaaeqabaWaaqaafaaake aacaWGLbWaa0baaSqaaiaaiodacaaIXaGaaGymaaqaaiaaicdacaGG QaaaaOGaai4laiaadwgadaqhaaWcbaGaaG4maiaaigdacaaIXaaaba aaaaaa@44B7@  от параметра формы k form MathType@MTEF@5@5@+= feaahGart1ev3aqatCvAUfeBSjuyZL2yd9gzLbvyNv2Caerbov2D09 MBaeXatLxBI9gBaerbd9wDYLwzYbItLDharuavP1wzZbItLDhis9wB H5garqqtubsr4rNCHbGeaGqipy0de9vqqrpepC0xbbL8F4rqqrFfpe ea0pd9Zqpe0xc9q8qqaqFn0dXdir=xcvk9pIe9q8qqaq=dir=f0=yq aqVeLsFr0=vr0=vr0db8meaabaqaciaacaGaaeqabaWaaqaafaaake aacaWGRbWaa0baaSqaaiaabAgacaqGVbGaaeOCaiaab2gaaeaaaaaa aa@40DB@  эллипсоидальных пор, определены величины объемной доли пор v MathType@MTEF@5@5@+= feaahGart1ev3aqatCvAUfeBSjuyZL2yd9gzLbvyNv2Caerbov2D09 MBaeXatLxBI9gBaerbd9wDYLwzYbItLDharuavP1wzZbItLDhis9wB H5garqqtubsr4rNCHbGeaGqipy0de9vqqrpepC0xbbL8F4rqqrFfpe ea0pd9Zqpe0xc9q8qqaqFn0dXdir=xcvk9pIe9q8qqaq=dir=f0=yq aqVeLsFr0=vr0=vr0db8meaabaqaciaacaGaaeqabaWaaqaafaaake aacaWG2bWaaSbaaSqaaiablIHiVbqabaaaaa@3E5F@  и характерные значения параметра формы k form ' MathType@MTEF@5@5@+= feaahGart1ev3aqatCvAUfeBSjuyZL2yd9gzLbvyNv2Caerbov2D09 MBaeXatLxBI9gBaerbd9wDYLwzYbItLDharuavP1wzZbItLDhis9wB H5garqqtubsr4rNCHbGeaGqipy0de9vqqrpepC0xbbL8F4rqqrFfpe ea0pd9Zqpe0xc9q8qqaqFn0dXdir=xcvk9pIe9q8qqaq=dir=f0=yq aqVeLsFr0=vr0=vr0db8meaabaqaciaacaGaaeqabaWaaqaafaaake aacaWGRbWaa0baaSqaaiaabAgacaqGVbGaaeOCaiaab2gaaeaacaqG Naaaaaaa@4185@ , при которых происходит смена знака численных значений начального эффективного пьезоэлектрического модуля e 311 0* MathType@MTEF@5@5@+= feaahGart1ev3aqatCvAUfeBSjuyZL2yd9gzLbvyNv2Caerbov2D09 MBaeXatLxBI9gBaerbd9wDYLwzYbItLDharuavP1wzZbItLDhis9wB H5garqqtubsr4rNCHbGeaGqipy0de9vqqrpepC0xbbL8F4rqqrFfpe ea0pd9Zqpe0xc9q8qqaqFn0dXdir=xcvk9pIe9q8qqaq=dir=f0=yq aqVeLsFr0=vr0=vr0db8meaabaqaciaacaGaaeqabaWaaqaafaaake aacaWGLbWaa0baaSqaaiaaiodacaaIXaGaaGymaaqaaiaaicdacaGG Qaaaaaaa@40B0@  по отношению к соответствующему модулю e 311 MathType@MTEF@5@5@+= feaahGart1ev3aqatCvAUfeBSjuyZL2yd9gzLbvyNv2Caerbov2D09 MBaeXatLxBI9gBaerbd9wDYLwzYbItLDharuavP1wzZbItLDhis9wB H5garqqtubsr4rNCHbGeaGqipy0de9vqqrpepC0xbbL8F4rqqrFfpe ea0pd9Zqpe0xc9q8qqaqFn0dXdir=xcvk9pIe9q8qqaq=dir=f0=yq aqVeLsFr0=vr0=vr0db8meaabaqaciaacaGaaeqabaWaaqaafaaake aacaWGLbWaa0baaSqaaiaaiodacaaIXaGaaGymaaqaaaaaaaa@3F48@  монолитной керамики PZT-4. При этом графики зависимости величины e 311 0* / e 311 MathType@MTEF@5@5@+= feaahGart1ev3aqatCvAUfeBSjuyZL2yd9gzLbvyNv2Caerbov2D09 MBaeXatLxBI9gBaerbd9wDYLwzYbItLDharuavP1wzZbItLDhis9wB H5garqqtubsr4rNCHbGeaGqipy0de9vqqrpepC0xbbL8F4rqqrFfpe ea0pd9Zqpe0xc9q8qqaqFn0dXdir=xcvk9pIe9q8qqaq=dir=f0=yq aqVeLsFr0=vr0=vr0db8meaabaqaciaacaGaaeqabaWaaqaafaaake aacaWGLbWaa0baaSqaaiaaiodacaaIXaGaaGymaaqaaiaaicdacaGG QaaaaOGaai4laiaadwgadaqhaaWcbaGaaG4maiaaigdacaaIXaaaba aaaaaa@44B7@  от параметра формы k form MathType@MTEF@5@5@+= feaahGart1ev3aqatCvAUfeBSjuyZL2yd9gzLbvyNv2Caerbov2D09 MBaeXatLxBI9gBaerbd9wDYLwzYbItLDharuavP1wzZbItLDhis9wB H5garqqtubsr4rNCHbGeaGqipy0de9vqqrpepC0xbbL8F4rqqrFfpe ea0pd9Zqpe0xc9q8qqaqFn0dXdir=xcvk9pIe9q8qqaq=dir=f0=yq aqVeLsFr0=vr0=vr0db8meaabaqaciaacaGaaeqabaWaaqaafaaake aacaWGRbWaa0baaSqaaiaabAgacaqGVbGaaeOCaiaab2gaaeaaaaaa aa@40DB@  для изолированных пор лежат выше, чем для взаимопроникающих пор для всех рассмотренных значений объемной доли v MathType@MTEF@5@5@+= feaahGart1ev3aqatCvAUfeBSjuyZL2yd9gzLbvyNv2Caerbov2D09 MBaeXatLxBI9gBaerbd9wDYLwzYbItLDharuavP1wzZbItLDhis9wB H5garqqtubsr4rNCHbGeaGqipy0de9vqqrpepC0xbbL8F4rqqrFfpe ea0pd9Zqpe0xc9q8qqaqFn0dXdir=xcvk9pIe9q8qqaq=dir=f0=yq aqVeLsFr0=vr0=vr0db8meaabaqaciaacaGaaeqabaWaaqaafaaake aacaWG2bWaaSbaaSqaaiablIHiVbqabaaaaa@3E5F@ . Немонотонный характер (рис. 10) также имеет зависимость величины e 311 * / e 311 0* MathType@MTEF@5@5@+= feaahGart1ev3aqatCvAUfeBSjuyZL2yd9gzLbvyNv2Caerbov2D09 MBaeXatLxBI9gBaerbd9wDYLwzYbItLDharuavP1wzZbItLDhis9wB H5garqqtubsr4rNCHbGeaGqipy0de9vqqrpepC0xbbL8F4rqqrFfpe ea0pd9Zqpe0xc9q8qqaqFn0dXdir=xcvk9pIe9q8qqaq=dir=f0=yq aqVeLsFr0=vr0=vr0db8meaabaqaciaacaGaaeqabaWaaqaafaaake aacaWGLbWaa0baaSqaaiaaiodacaaIXaGaaGymaaqaaiaacQcaaaGc caGGVaGaamyzamaaDaaaleaacaaIZaGaaGymaiaaigdaaeaacaaIWa GaaiOkaaaaaaa@4565@  от параметра формы k form MathType@MTEF@5@5@+= feaahGart1ev3aqatCvAUfeBSjuyZL2yd9gzLbvyNv2Caerbov2D09 MBaeXatLxBI9gBaerbd9wDYLwzYbItLDharuavP1wzZbItLDhis9wB H5garqqtubsr4rNCHbGeaGqipy0de9vqqrpepC0xbbL8F4rqqrFfpe ea0pd9Zqpe0xc9q8qqaqFn0dXdir=xcvk9pIe9q8qqaq=dir=f0=yq aqVeLsFr0=vr0=vr0db8meaabaqaciaacaGaaeqabaWaaqaafaaake aacaWGRbWaa0baaSqaaiaabAgacaqGVbGaaeOCaiaab2gaaeaaaaaa aa@40DB@  эллипсоидальных пор с наличием точки максимума для случая малой объемной доли пор v MathType@MTEF@5@5@+= feaahGart1ev3aqatCvAUfeBSjuyZL2yd9gzLbvyNv2Caerbov2D09 MBaeXatLxBI9gBaerbd9wDYLwzYbItLDharuavP1wzZbItLDhis9wB H5garqqtubsr4rNCHbGeaGqipy0de9vqqrpepC0xbbL8F4rqqrFfpe ea0pd9Zqpe0xc9q8qqaqFn0dXdir=xcvk9pIe9q8qqaq=dir=f0=yq aqVeLsFr0=vr0=vr0db8meaabaqaciaacaGaaeqabaWaaqaafaaake aacaWG2bWaaSbaaSqaaiablIHiVbqabaaaaa@3E5F@  (рис. 10,a, b) и наличием разрывов (обусловленных сменой знака величины e 311 0* MathType@MTEF@5@5@+= feaahGart1ev3aqatCvAUfeBSjuyZL2yd9gzLbvyNv2Caerbov2D09 MBaeXatLxBI9gBaerbd9wDYLwzYbItLDharuavP1wzZbItLDhis9wB H5garqqtubsr4rNCHbGeaGqipy0de9vqqrpepC0xbbL8F4rqqrFfpe ea0pd9Zqpe0xc9q8qqaqFn0dXdir=xcvk9pIe9q8qqaq=dir=f0=yq aqVeLsFr0=vr0=vr0db8meaabaqaciaacaGaaeqabaWaaqaafaaake aacaWGLbWaa0baaSqaaiaaiodacaaIXaGaaGymaaqaaiaaicdacaGG Qaaaaaaa@40B0@  ) значений этой функции при значении k form '' MathType@MTEF@5@5@+= feaahGart1ev3aqatCvAUfeBSjuyZL2yd9gzLbvyNv2Caerbov2D09 MBaeXatLxBI9gBaerbd9wDYLwzYbItLDharuavP1wzZbItLDhis9wB H5garqqtubsr4rNCHbGeaGqipy0de9vqqrpepC0xbbL8F4rqqrFfpe ea0pd9Zqpe0xc9q8qqaqFn0dXdir=xcvk9pIe9q8qqaq=dir=f0=yq aqVeLsFr0=vr0=vr0db8meaabaqaciaacaGaaeqabaWaaqaafaaake aacaWGRbWaa0baaSqaaiaabAgacaqGVbGaaeOCaiaab2gaaeaacaGG NaGaai4jaaaaaaa@4231@  для случая средних и больших значений объемной доли v MathType@MTEF@5@5@+= feaahGart1ev3aqatCvAUfeBSjuyZL2yd9gzLbvyNv2Caerbov2D09 MBaeXatLxBI9gBaerbd9wDYLwzYbItLDharuavP1wzZbItLDhis9wB H5garqqtubsr4rNCHbGeaGqipy0de9vqqrpepC0xbbL8F4rqqrFfpe ea0pd9Zqpe0xc9q8qqaqFn0dXdir=xcvk9pIe9q8qqaq=dir=f0=yq aqVeLsFr0=vr0=vr0db8meaabaqaciaacaGaaeqabaWaaqaafaaake aacaWG2bWaaSbaaSqaaiablIHiVbqabaaaaa@3E5F@  (рис. 10,c–f). Вид функций e 311 * / e 311 0* MathType@MTEF@5@5@+= feaahGart1ev3aqatCvAUfeBSjuyZL2yd9gzLbvyNv2Caerbov2D09 MBaeXatLxBI9gBaerbd9wDYLwzYbItLDharuavP1wzZbItLDhis9wB H5garqqtubsr4rNCHbGeaGqipy0de9vqqrpepC0xbbL8F4rqqrFfpe ea0pd9Zqpe0xc9q8qqaqFn0dXdir=xcvk9pIe9q8qqaq=dir=f0=yq aqVeLsFr0=vr0=vr0db8meaabaqaciaacaGaaeqabaWaaqaafaaake aacaWGLbWaa0baaSqaaiaaiodacaaIXaGaaGymaaqaaiaacQcaaaGc caGGVaGaamyzamaaDaaaleaacaaIZaGaaGymaiaaigdaaeaacaaIWa GaaiOkaaaaaaa@4565@  от k form MathType@MTEF@5@5@+= feaahGart1ev3aqatCvAUfeBSjuyZL2yd9gzLbvyNv2Caerbov2D09 MBaeXatLxBI9gBaerbd9wDYLwzYbItLDharuavP1wzZbItLDhis9wB H5garqqtubsr4rNCHbGeaGqipy0de9vqqrpepC0xbbL8F4rqqrFfpe ea0pd9Zqpe0xc9q8qqaqFn0dXdir=xcvk9pIe9q8qqaq=dir=f0=yq aqVeLsFr0=vr0=vr0db8meaabaqaciaacaGaaeqabaWaaqaafaaake aacaWGRbWaa0baaSqaaiaabAgacaqGVbGaaeOCaiaab2gaaeaaaaaa aa@40DB@  однотипен для случаев изолированных и взаимопроникающих пор с характерным смещением по оси абсцисс k form MathType@MTEF@5@5@+= feaahGart1ev3aqatCvAUfeBSjuyZL2yd9gzLbvyNv2Caerbov2D09 MBaeXatLxBI9gBaerbd9wDYLwzYbItLDharuavP1wzZbItLDhis9wB H5garqqtubsr4rNCHbGeaGqipy0de9vqqrpepC0xbbL8F4rqqrFfpe ea0pd9Zqpe0xc9q8qqaqFn0dXdir=xcvk9pIe9q8qqaq=dir=f0=yq aqVeLsFr0=vr0=vr0db8meaabaqaciaacaGaaeqabaWaaqaafaaake aacaWGRbWaa0baaSqaaiaabAgacaqGVbGaaeOCaiaab2gaaeaaaaaa aa@40DB@  (рис. 10).

Таким образом, эффект начального напряженного состояния наиболее сильно проявляется для пьезомодуля e 311 * MathType@MTEF@5@5@+= feaahGart1ev3aqatCvAUfeBSjuyZL2yd9gzLbvyNv2Caerbov2D09 MBaeXatLxBI9gBaerbd9wDYLwzYbItLDharuavP1wzZbItLDhis9wB H5garqqtubsr4rNCHbGeaGqipy0de9vqqrpepC0xbbL8F4rqqrFfpe ea0pd9Zqpe0xc9q8qqaqFn0dXdir=xcvk9pIe9q8qqaq=dir=f0=yq aqVeLsFr0=vr0=vr0db8meaabaqaciaacaGaaeqabaWaaqaafaaake aacaWGLbWaa0baaSqaaiaaiodacaaIXaGaaGymaaqaaiaacQcaaaaa aa@3FF6@  керамики со сферическими порами (рис. 1,b) при объемной доле v MathType@MTEF@5@5@+= feaahGart1ev3aqatCvAUfeBSjuyZL2yd9gzLbvyNv2Caerbov2D09 MBaeXatLxBI9gBaerbd9wDYLwzYbItLDharuavP1wzZbItLDhis9wB H5garqqtubsr4rNCHbGeaGqipy0de9vqqrpepC0xbbL8F4rqqrFfpe ea0pd9Zqpe0xc9q8qqaqFn0dXdir=xcvk9pIe9q8qqaq=dir=f0=yq aqVeLsFr0=vr0=vr0db8meaabaqaciaacaGaaeqabaWaaqaafaaake aacaWG2bWaaSbaaSqaaiablIHiVbqabaaaaa@3E5F@ ≈ 0.5 и 0.6 для случая изолированных, 0.3 и 0.4 – для случая взаимопроникающих сферических пор, при этом особенно существенно – для случая трансверсального начального деформирования ε 11,22 0* MathType@MTEF@5@5@+= feaahGart1ev3aqatCvAUfeBSjuyZL2yd9gzLbvyNv2Caerbov2D09 MBaeXatLxBI9gBaerbd9wDYLwzYbItLDharuavP1wzZbItLDhis9wB H5garqqtubsr4rNCHbGeaGqipy0de9vqqrpepC0xbbL8F4rqqrFfpe ea0pd9Zqpe0xc9q8qqaqFn0dXdir=xcvk9pIe9q8qqaq=dir=f0=yq aqVeLsFr0=vr0=vr0db8meaabaqaciaacaGaaeqabaWaaqaafaaake aacqaH1oqzdaqhaaWcbaGaaGymaiaaigdacaGGSaGaaGOmaiaaikda aeaacaaIWaGaaiOkaaaaaaa@42D8@  в плоскости r 1 r 2 MathType@MTEF@5@5@+= feaahGart1ev3aqatCvAUfeBSjuyZL2yd9gzLbvyNv2Caerbov2D09 MBaeXatLxBI9gBaerbd9wDYLwzYbItLDharuavP1wzZbItLDhis9wB H5garqqtubsr4rNCHbGeaGqipy0de9vqqrpepC0xbbL8F4rqqrFfpe ea0pd9Zqpe0xc9q8qqaqFn0dXdir=xcvk9pIe9q8qqaq=dir=f0=yq aqVeLsFr0=vr0=vr0db8meaabaqaciaacaGaaeqabaWaaqaafaaake aacaWGYbWaaSbaaSqaaiaaigdaaeqaaOGaamOCamaaBaaaleaacaaI Yaaabeaaaaa@3FC5@  и пропорционально величине этих деформаций (рис. 3,a). Для керамики с ориентированными дисковыми порами (рис. 1,а, рис. 5) эффект начального напряженного состояния проявляется на значениях пьезомодуля e 311 * MathType@MTEF@5@5@+= feaahGart1ev3aqatCvAUfeBSjuyZL2yd9gzLbvyNv2Caerbov2D09 MBaeXatLxBI9gBaerbd9wDYLwzYbItLDharuavP1wzZbItLDhis9wB H5garqqtubsr4rNCHbGeaGqipy0de9vqqrpepC0xbbL8F4rqqrFfpe ea0pd9Zqpe0xc9q8qqaqFn0dXdir=xcvk9pIe9q8qqaq=dir=f0=yq aqVeLsFr0=vr0=vr0db8meaabaqaciaacaGaaeqabaWaaqaafaaake aacaWGLbWaa0baaSqaaiaaiodacaaIXaGaaGymaaqaaiaacQcaaaaa aa@3FF6@  гораздо слабее, чем для случая сферических пор (рис. 3), при этом экстремумы имеем при таких же значениях пористости v MathType@MTEF@5@5@+= feaahGart1ev3aqatCvAUfeBSjuyZL2yd9gzLbvyNv2Caerbov2D09 MBaeXatLxBI9gBaerbd9wDYLwzYbItLDharuavP1wzZbItLDhis9wB H5garqqtubsr4rNCHbGeaGqipy0de9vqqrpepC0xbbL8F4rqqrFfpe ea0pd9Zqpe0xc9q8qqaqFn0dXdir=xcvk9pIe9q8qqaq=dir=f0=yq aqVeLsFr0=vr0=vr0db8meaabaqaciaacaGaaeqabaWaaqaafaaake aacaWG2bWaaSbaaSqaaiablIHiVbqabaaaaa@3E5F@  ≈ 0.5 и 0.6 для изолированных, 0.3 и 0.4 – для взаимопроникающих дисковых пор. Имеем монотонные, практически, линейно возрастающие зависимости величины e 311 * / e 311 0* MathType@MTEF@5@5@+= feaahGart1ev3aqatCvAUfeBSjuyZL2yd9gzLbvyNv2Caerbov2D09 MBaeXatLxBI9gBaerbd9wDYLwzYbItLDharuavP1wzZbItLDhis9wB H5garqqtubsr4rNCHbGeaGqipy0de9vqqrpepC0xbbL8F4rqqrFfpe ea0pd9Zqpe0xc9q8qqaqFn0dXdir=xcvk9pIe9q8qqaq=dir=f0=yq aqVeLsFr0=vr0=vr0db8meaabaqaciaacaGaaeqabaWaaqaafaaake aacaWGLbWaa0baaSqaaiaaiodacaaIXaGaaGymaaqaaiaacQcaaaGc caGGVaGaamyzamaaDaaaleaacaaIZaGaaGymaiaaigdaaeaacaaIWa GaaiOkaaaaaaa@4565@  от значений туннельной пористости v MathType@MTEF@5@5@+= feaahGart1ev3aqatCvAUfeBSjuyZL2yd9gzLbvyNv2Caerbov2D09 MBaeXatLxBI9gBaerbd9wDYLwzYbItLDharuavP1wzZbItLDhis9wB H5garqqtubsr4rNCHbGeaGqipy0de9vqqrpepC0xbbL8F4rqqrFfpe ea0pd9Zqpe0xc9q8qqaqFn0dXdir=xcvk9pIe9q8qqaq=dir=f0=yq aqVeLsFr0=vr0=vr0db8meaabaqaciaacaGaaeqabaWaaqaafaaake aacaWG2bWaaSbaaSqaaiablIHiVbqabaaaaa@3E5F@  (рис. 7) при всех рассматриваемых начальных макродеформациях ε 11,22 0* MathType@MTEF@5@5@+= feaahGart1ev3aqatCvAUfeBSjuyZL2yd9gzLbvyNv2Caerbov2D09 MBaeXatLxBI9gBaerbd9wDYLwzYbItLDharuavP1wzZbItLDhis9wB H5garqqtubsr4rNCHbGeaGqipy0de9vqqrpepC0xbbL8F4rqqrFfpe ea0pd9Zqpe0xc9q8qqaqFn0dXdir=xcvk9pIe9q8qqaq=dir=f0=yq aqVeLsFr0=vr0=vr0db8meaabaqaciaacaGaaeqabaWaaqaafaaake aacqaH1oqzdaqhaaWcbaGaaGymaiaaigdacaGGSaGaaGOmaiaaikda aeaacaaIWaGaaiOkaaaaaaa@42D8@ , ε 33 0* MathType@MTEF@5@5@+= feaahGart1ev3aqatCvAUfeBSjuyZL2yd9gzLbvyNv2Caerbov2D09 MBaeXatLxBI9gBaerbd9wDYLwzYbItLDharuavP1wzZbItLDhis9wB H5garqqtubsr4rNCHbGeaGqipy0de9vqqrpepC0xbbL8F4rqqrFfpe ea0pd9Zqpe0xc9q8qqaqFn0dXdir=xcvk9pIe9q8qqaq=dir=f0=yq aqVeLsFr0=vr0=vr0db8meaabaqaciaacaGaaeqabaWaaqaafaaake aacqaH1oqzdaqhaaWcbaGaaG4maiaaiodaaeaacaaIWaGaaiOkaaaa aaa@40B4@  в отличие от немонотонных зависимостей e 311 * / e 311 0* MathType@MTEF@5@5@+= feaahGart1ev3aqatCvAUfeBSjuyZL2yd9gzLbvyNv2Caerbov2D09 MBaeXatLxBI9gBaerbd9wDYLwzYbItLDharuavP1wzZbItLDhis9wB H5garqqtubsr4rNCHbGeaGqipy0de9vqqrpepC0xbbL8F4rqqrFfpe ea0pd9Zqpe0xc9q8qqaqFn0dXdir=xcvk9pIe9q8qqaq=dir=f0=yq aqVeLsFr0=vr0=vr0db8meaabaqaciaacaGaaeqabaWaaqaafaaake aacaWGLbWaa0baaSqaaiaaiodacaaIXaGaaGymaaqaaiaacQcaaaGc caGGVaGaamyzamaaDaaaleaacaaIZaGaaGymaiaaigdaaeaacaaIWa GaaiOkaaaaaaa@4565@  от v MathType@MTEF@5@5@+= feaahGart1ev3aqatCvAUfeBSjuyZL2yd9gzLbvyNv2Caerbov2D09 MBaeXatLxBI9gBaerbd9wDYLwzYbItLDharuavP1wzZbItLDhis9wB H5garqqtubsr4rNCHbGeaGqipy0de9vqqrpepC0xbbL8F4rqqrFfpe ea0pd9Zqpe0xc9q8qqaqFn0dXdir=xcvk9pIe9q8qqaq=dir=f0=yq aqVeLsFr0=vr0=vr0db8meaabaqaciaacaGaaeqabaWaaqaafaaake aacaWG2bWaaSbaaSqaaiablIHiVbqabaaaaa@3E5F@  для случая сферических (рис. 3) и дисковых (рис. 5) пор. Отметим, что графики зависимостей значений начального пьезомодуля e 311 0* MathType@MTEF@5@5@+= feaahGart1ev3aqatCvAUfeBSjuyZL2yd9gzLbvyNv2Caerbov2D09 MBaeXatLxBI9gBaerbd9wDYLwzYbItLDharuavP1wzZbItLDhis9wB H5garqqtubsr4rNCHbGeaGqipy0de9vqqrpepC0xbbL8F4rqqrFfpe ea0pd9Zqpe0xc9q8qqaqFn0dXdir=xcvk9pIe9q8qqaq=dir=f0=yq aqVeLsFr0=vr0=vr0db8meaabaqaciaacaGaaeqabaWaaqaafaaake aacaWGLbWaa0baaSqaaiaaiodacaaIXaGaaGymaaqaaiaaicdacaGG Qaaaaaaa@40B0@  от параметра формы k form MathType@MTEF@5@5@+= feaahGart1ev3aqatCvAUfeBSjuyZL2yd9gzLbvyNv2Caerbov2D09 MBaeXatLxBI9gBaerbd9wDYLwzYbItLDharuavP1wzZbItLDhis9wB H5garqqtubsr4rNCHbGeaGqipy0de9vqqrpepC0xbbL8F4rqqrFfpe ea0pd9Zqpe0xc9q8qqaqFn0dXdir=xcvk9pIe9q8qqaq=dir=f0=yq aqVeLsFr0=vr0=vr0db8meaabaqaciaacaGaaeqabaWaaqaafaaake aacaWGRbWaa0baaSqaaiaabAgacaqGVbGaaeOCaiaab2gaaeaaaaaa aa@40DB@  (рис. 9) имеют характерный экстремум – точку минимума при значении k form MathType@MTEF@5@5@+= feaahGart1ev3aqatCvAUfeBSjuyZL2yd9gzLbvyNv2Caerbov2D09 MBaeXatLxBI9gBaerbd9wDYLwzYbItLDharuavP1wzZbItLDhis9wB H5garqqtubsr4rNCHbGeaGqipy0de9vqqrpepC0xbbL8F4rqqrFfpe ea0pd9Zqpe0xc9q8qqaqFn0dXdir=xcvk9pIe9q8qqaq=dir=f0=yq aqVeLsFr0=vr0=vr0db8meaabaqaciaacaGaaeqabaWaaqaafaaake aacaWGRbWaa0baaSqaaiaabAgacaqGVbGaaeOCaiaab2gaaeaaaaaa aa@40DB@ ≈ 1, т. е. для случая сферических пор. При этом максимальный эффект от наличия начального напряженного состояния проявляется также при k form MathType@MTEF@5@5@+= feaahGart1ev3aqatCvAUfeBSjuyZL2yd9gzLbvyNv2Caerbov2D09 MBaeXatLxBI9gBaerbd9wDYLwzYbItLDharuavP1wzZbItLDhis9wB H5garqqtubsr4rNCHbGeaGqipy0de9vqqrpepC0xbbL8F4rqqrFfpe ea0pd9Zqpe0xc9q8qqaqFn0dXdir=xcvk9pIe9q8qqaq=dir=f0=yq aqVeLsFr0=vr0=vr0db8meaabaqaciaacaGaaeqabaWaaqaafaaake aacaWGRbWaa0baaSqaaiaabAgacaqGVbGaaeOCaiaab2gaaeaaaaaa aa@40DB@  ≈ 1 (рис. 10,а, b) при относительно малой пористости, например, v MathType@MTEF@5@5@+= feaahGart1ev3aqatCvAUfeBSjuyZL2yd9gzLbvyNv2Caerbov2D09 MBaeXatLxBI9gBaerbd9wDYLwzYbItLDharuavP1wzZbItLDhis9wB H5garqqtubsr4rNCHbGeaGqipy0de9vqqrpepC0xbbL8F4rqqrFfpe ea0pd9Zqpe0xc9q8qqaqFn0dXdir=xcvk9pIe9q8qqaq=dir=f0=yq aqVeLsFr0=vr0=vr0db8meaabaqaciaacaGaaeqabaWaaqaafaaake aacaWG2bWaaSbaaSqaaiablIHiVbqabaaaaa@3E5F@  = 0.2. Наличие точек разрыва на графиках (рис. 10,c–f) обусловлено отсутствием пьезоэффекта ( e 311 0* MathType@MTEF@5@5@+= feaahGart1ev3aqatCvAUfeBSjuyZL2yd9gzLbvyNv2Caerbov2D09 MBaeXatLxBI9gBaerbd9wDYLwzYbItLDharuavP1wzZbItLDhis9wB H5garqqtubsr4rNCHbGeaGqipy0de9vqqrpepC0xbbL8F4rqqrFfpe ea0pd9Zqpe0xc9q8qqaqFn0dXdir=xcvk9pIe9q8qqaq=dir=f0=yq aqVeLsFr0=vr0=vr0db8meaabaqaciaacaGaaeqabaWaaqaafaaake aacaWGLbWaa0baaSqaaiaaiodacaaIXaGaaGymaaqaaiaaicdacaGG Qaaaaaaa@40B0@  =0) при значении параметра формы k form MathType@MTEF@5@5@+= feaahGart1ev3aqatCvAUfeBSjuyZL2yd9gzLbvyNv2Caerbov2D09 MBaeXatLxBI9gBaerbd9wDYLwzYbItLDharuavP1wzZbItLDhis9wB H5garqqtubsr4rNCHbGeaGqipy0de9vqqrpepC0xbbL8F4rqqrFfpe ea0pd9Zqpe0xc9q8qqaqFn0dXdir=xcvk9pIe9q8qqaq=dir=f0=yq aqVeLsFr0=vr0=vr0db8meaabaqaciaacaGaaeqabaWaaqaafaaake aacaWGRbWaa0baaSqaaiaabAgacaqGVbGaaeOCaiaab2gaaeaaaaaa aa@40DB@ ≈ 1.5, т. е. эффект начального напряженного состояния обуславливает появление пьезоэффекта ( e 311 * MathType@MTEF@5@5@+= feaahGart1ev3aqatCvAUfeBSjuyZL2yd9gzLbvyNv2Caerbov2D09 MBaeXatLxBI9gBaerbd9wDYLwzYbItLDharuavP1wzZbItLDhis9wB H5garqqtubsr4rNCHbGeaGqipy0de9vqqrpepC0xbbL8F4rqqrFfpe ea0pd9Zqpe0xc9q8qqaqFn0dXdir=xcvk9pIe9q8qqaq=dir=f0=yq aqVeLsFr0=vr0=vr0db8meaabaqaciaacaGaaeqabaWaaqaafaaake aacaWGLbWaa0baaSqaaiaaiodacaaIXaGaaGymaaqaaiaacQcaaaaa aa@3FF6@ ≠0) для пористой керамики с “овальной” формой пор.

Благодарности. Результаты получены при выполнении государственного задания Министерства науки и высшего образования Российской Федерации на выполнение фундаментальных научных исследований (проект № FSNM-2023-0006).

×

About the authors

A. A. Pankov

Perm National Research Polytechnic University

Author for correspondence.
Email: a_a_pankov@mail.ru
Russian Federation, Perm, 614990

References

  1. К. Washizu, Variational Methods in Elasticity and Plasticity (Pergamon Press, Oxford, 1982; Mir, Moscow, 1987).
  2. A. N. Guz’, “On the determination of the reduced elastic constants of composite layered materials with initial stresses,” Dolk. AN USSR. Ser. A, No. 3, 216–219 (1975).
  3. A. N. Guz’, Elastic Waves in Bodies with Initial Stresses, Vol. 1: General Problems; Vol. 2: Dependencies of Propagation (Naukova Dumka, Kiev, 1986) [in Russian].
  4. V. V. Alekhin, B. D. Aninin, and A. G. Kolpakov, Synthesis of Layered Materials and Structures (Inst. Gydrodyn. SO AN SSSR, Novosibirsk, 1988) [in Russian].
  5. S. D. Akbarov and M. S. Guliev, “Axisymmetric longitudinal wave propagation in a finite prestretched compound circular cylinder made of incompressible materials,” Int. Appl. Mech. 45 (10), 1141–1151 (2009). https://doi.org/10.1007/s10778-010-0255-y
  6. S. D. Akbarov, “Recent investigations on dynamic problems for an elastic body with initial (residual) stresses,” Int. Appl. Mech. 43 (12), 1305–1324 (2007). https://doi.org/10.1007/s10778-008-0003-8
  7. S. D. Akbarov, Stability Loss and Buckling Delamination: Three-Dimensional Linearized Approach for Elastic and Viscoelastic Composites (Springer, 2013). http://dx.doi.org/10.1007/978-3-642-30290-9
  8. M. S. Guliev, A. I. Seifulaev, and D. N. Abdulaeva, “Investigation of the distribution of elastic waves in the composite cylinder with the initial torsion,” Stroit. Mech. Inzh. Konstr. Sooruzh., No. 5, 404–413 (2018).
  9. T. I. Belyankova and V. V. Kalinchuk, “Properties of prestressed isotropic materials taking into account higher-order elastic moduli,” Nauka Yuga Rossii, No. 2, 3–12 (2017).
  10. A. N. Guz’, “On the ultrasonic non-destructive method for determining stresses in structural elements and in near-surface layers of materials: focus on Ukrainian research (Review),” Appl. Mech., 50 (3), 3–30 (2014).
  11. G. G. Kuliev and M. D. Jabbarov, “To elastic waves propagation in strained nonlinear anisotropic media,” Proc. Sci. Earth Acad. Sci. Azerbaijan, No.2, 103–112 (1998).
  12. A. N. Guz, Fundamentals of the Three-Dimensional Theory of Stability of Deformable Bodies (Springer, 1999).
  13. S. D. Akbarov, Dynamics of Pre-Strained Bi-Material Elastic Systems: Linearized Three-Dimensional Approach (Springer, 2016).
  14. S. Gupta, D. K. Majhi, S. Kundu, and S. K. Vishwakarma, “Propagation of torsional surface waves in a homogeneous layer of finite thickness over an initially stressed heterogeneous half-space,” Appl. Math. Comput. 218 (9), 5655–5664 (2012). https://doi.org/10.1016/j.amc.2011.11.060
  15. W. T. Hu and W. Y. Chen, “Influence of lateral initial pressure on axisymmetric wave propagation in hollow cylinder based on first power hypo-elastic model,” J. Central South Univ. 21 (2), 753–760 (2014).
  16. U. B. Yesil, “Forced and natural vibrations of an orthotropic pre-stressed rectangular plate with neighboring two cylindrical cavities,” Comput. Mater. Continua. 53 (1), 1–22 (2017).
  17. A. G. Kolpakov, “Effect of influation of initial stresses on the homogenized characteristics of composite,” Mech. Mater. 37 (8), 840–854 (2005). https://doi.org/10.1016/j.mechmat.2004.08.002
  18. A. G. Kolpakov, “On the dependence of the velocity of elastic waves in composite media on initial stresses,” Comput. Struct. 44 (1–2), 97–101 (1992).
  19. A. G. Kolpakov, “Averaged characteristics of stressed laminated media,” J. Eng. Phys. 68 (5), 605–613 (1995). https://doi.org/10.1007/BF00858059
  20. A. G. Kolpakov, Doctoral Dissertation in Physics and Mathematics (NGU, Novosibirsk, 2002).
  21. A. A. Pan’kov, A. N. Anoshkin, P. V. Pisarev, and S. R. Bayandin, “Using an electromechanical analogy to describe the damping characteristics of an MFC actuator,” IOP Conf. Ser.: Mater. Sci. Eng. 1093, 012023 (2021). http://dx.doi.org/10.1088/1757-899X/1093/1/012023
  22. B. E. Pobedrya, Mechanics of Composite Materials (Mos. Gos. Univ, Moscow, 1984) [in Russian].
  23. E. I. Grigolyuk and L. A. Fil’shtinskii, Perforated Plates and Shells (Nauka, Moscow, 1970) [in Russian].
  24. V. Mityushev, “Random 2D composites and the generalized method of Schwarz,” Adv. Math. Phys. 2015, 535128 (2015). http://dx.doi.org/10.1155/2015/535128
  25. S. D. Volkov and V. P. Stavrov, Statistical Mechanics of Composite Materials (Belarus. Gos. Univ., Minsk, 1978) [in Russian].
  26. Yu. V. Sokolkin and A. A. Tashkinov, Mechanics of the Deformation and Failure of Structurally Inhomogeneous Bodies (Nauka, Moscow, 1984) [in Russian].
  27. T. D. Shermergor, Theory of Elasticity of Microheterogeneous Media (Nauka, Moscow, 1977) [in Russian].
  28. L. P. Khoroshun, B. P. Maslov, and P. V. Leschenko, Prediction of Effective Properties of Piezoactive Composite Materials (Naukova Dumka, Kiev, 1989) [in Russian].
  29. S. K. Kanaun and V. M. Levin, The Effective Field Method in the Mechanics of Composite Materials (Petrozavodsk. Gos. Univ. Petrozavodsk, 1993) [in Russian].
  30. A. A. Pan’kov, Piezocomposites and Sensors, Vol. 1: Statistical Mechanics of Piezocomposites (Perm Gos. Politech. Univ., Perm, 2022) [in Russian].
  31. A. A. Pan’kov, “Electromagnetic coupling factors for a composite and piezoactive phases,” Phys. Mesomech. 14 (2), 93–99 (2011).
  32. A. A. Pan’kov, “Effect of initial stress state on effective properties of piezocomposite,” Mech. Compos. Mater. 58 (5), 733–746 (2022). https://doi.org/10.1007/s11029-022-10063-w
  33. X. Guo and P. Wei, “Dispersion relations of elastic waves in one—dimensional piezoelectric/piezomagnetic phononic crystal with initial stresses,” Ultrasonics 66, 72–85 (2016). https://doi.org/10.1016/j.ultras.2015.11.008
  34. A. Dasdemir, “Forced vibrations of pre—stressed sandwich plate—strip with elastic layers and piezoelectric core,” Int. Appl. Mech. 54 (4), 480–493 (2018). https://doi.org/10.1007/s10778-018-0901-3
  35. D. A. Berlincourt, D. R. Curran, and H. Jaffe, “Piezoelectric and Piezomagnetic Materials and Their Function in Transducers,” in Physical Acoustics, Vol. 1: Principles and Methods, Ed. by W. P. Mason (Academic Press, 1964), pp. 169–270. https://doi.org/10.1016/B978-1-4832-2857-0.50009-5

Supplementary files

Supplementary Files
Action
1. JATS XML
2. Fig. 1. Fragments of porous structures with disk (a), spherical (b) and needle-shaped (c) ellipsoidal pores.

Download (113KB)
3. Fig. 2. The initial effective piezomodule of porous ceramics PZT-4 () depending on the volume fraction of spherical (O), disk (Δ) or tunnel (δ) pores.

Download (74KB)
4. Fig. 3. Effective piezomodule of porous ceramics PZT-4 depending on the content of spherical pores for the case (▬), 0.01 (○), 0.02 ( Δ), 0.03 (◊), 0.05 (□) when (a), (▬), 0.01 (○), 0.02 ( Δ), 0.03 (◊), 0.05 (□) at (b), .

Download (164KB)
5. Fig. 4. Effective piezomodule of porous ceramics PZT-4 with volume fraction = 0.2 (O), 0.4 (Δ), 0.6 (◊), 0.8 (□) spherical pores depending on the initial macro-deformations at (a), at (b), .

Download (146KB)
6. Fig. 5. Effective piezomodule of porous ceramics PZT-4 depending on the content of disk pores for the case (▬), 0.01 (○), 0.02 ( Δ), 0.03 (◊), 0.05 (□) when (a), (▬), 0.01 (○), 0.02 ( Δ), 0.03 (◊), 0.05 (□) at (b), .

Download (154KB)
7. Fig. 6. Effective piezomodule of porous ceramics PZT-4 with volume fraction = 0.2 (O), 0.4 (Δ), 0.6 (◊), 0.8 (□) disk pores depending on the initial macroformations at (a), at (b), .

Download (154KB)
8. Fig. 7. Effective piezomodule of porous ceramics PZT-4 depending on the content of tunnel pores for the case (▬), 0.01 (○), 0.03 (◊), 0.05 (□) when (a), (▬), 0.01 (○), 0.03 (◊), 0.05 (□) at (b), .

Download (131KB)
9. Fig. 8. An effective piezoelectric module of porous ceramics PZT-4 with a volume fraction of tunnel pores = 0.2 (○), 0.6 (◊), 0.8 (□) depending on the initial macroformations at (a), at (b), .

Download (158KB)
10. Fig. 9. The initial effective piezomodule of porous ceramics PZT-4, depending on the shape parameter of ellipsoidal isolated (o) and interpenetrating (o) pores at volume fraction (a), (b), (c).

Download (131KB)
11. Fig. 10. Effective piezomodule of porous ceramics PZT-4 depending on the shape parameter of ellipsoidal isolated (o) and interpenetrating (o) pores at volume fraction (a, b), (c, d), (e, f) for the cases (a, c, e), (b, d, f) when

Download (210KB)

Copyright (c) 2024 Russian Academy of Sciences

Согласие на обработку персональных данных с помощью сервиса «Яндекс.Метрика»

1. Я (далее – «Пользователь» или «Субъект персональных данных»), осуществляя использование сайта https://journals.rcsi.science/ (далее – «Сайт»), подтверждая свою полную дееспособность даю согласие на обработку персональных данных с использованием средств автоматизации Оператору - федеральному государственному бюджетному учреждению «Российский центр научной информации» (РЦНИ), далее – «Оператор», расположенному по адресу: 119991, г. Москва, Ленинский просп., д.32А, со следующими условиями.

2. Категории обрабатываемых данных: файлы «cookies» (куки-файлы). Файлы «cookie» – это небольшой текстовый файл, который веб-сервер может хранить в браузере Пользователя. Данные файлы веб-сервер загружает на устройство Пользователя при посещении им Сайта. При каждом следующем посещении Пользователем Сайта «cookie» файлы отправляются на Сайт Оператора. Данные файлы позволяют Сайту распознавать устройство Пользователя. Содержимое такого файла может как относиться, так и не относиться к персональным данным, в зависимости от того, содержит ли такой файл персональные данные или содержит обезличенные технические данные.

3. Цель обработки персональных данных: анализ пользовательской активности с помощью сервиса «Яндекс.Метрика».

4. Категории субъектов персональных данных: все Пользователи Сайта, которые дали согласие на обработку файлов «cookie».

5. Способы обработки: сбор, запись, систематизация, накопление, хранение, уточнение (обновление, изменение), извлечение, использование, передача (доступ, предоставление), блокирование, удаление, уничтожение персональных данных.

6. Срок обработки и хранения: до получения от Субъекта персональных данных требования о прекращении обработки/отзыва согласия.

7. Способ отзыва: заявление об отзыве в письменном виде путём его направления на адрес электронной почты Оператора: info@rcsi.science или путем письменного обращения по юридическому адресу: 119991, г. Москва, Ленинский просп., д.32А

8. Субъект персональных данных вправе запретить своему оборудованию прием этих данных или ограничить прием этих данных. При отказе от получения таких данных или при ограничении приема данных некоторые функции Сайта могут работать некорректно. Субъект персональных данных обязуется сам настроить свое оборудование таким способом, чтобы оно обеспечивало адекватный его желаниям режим работы и уровень защиты данных файлов «cookie», Оператор не предоставляет технологических и правовых консультаций на темы подобного характера.

9. Порядок уничтожения персональных данных при достижении цели их обработки или при наступлении иных законных оснований определяется Оператором в соответствии с законодательством Российской Федерации.

10. Я согласен/согласна квалифицировать в качестве своей простой электронной подписи под настоящим Согласием и под Политикой обработки персональных данных выполнение мною следующего действия на сайте: https://journals.rcsi.science/ нажатие мною на интерфейсе с текстом: «Сайт использует сервис «Яндекс.Метрика» (который использует файлы «cookie») на элемент с текстом «Принять и продолжить».