О вынужденных колебаниях двойного математического маятника
- Авторы: Петров А.Г.1
- 
							Учреждения: 
							- Институт проблем механики им. А.Ю. Ишлинского РАН
 
- Выпуск: № 4 (2024)
- Страницы: 103-117
- Раздел: Статьи
- URL: https://journal-vniispk.ru/1026-3519/article/view/276447
- DOI: https://doi.org/10.31857/S1026351924040072
- EDN: https://elibrary.ru/UCUDNT
- ID: 276447
Цитировать
Полный текст
Аннотация
Для консервативных механических систем известен метод нормальных координат, в котором используется теорема о приведении двух квадратичных форм к сумме квадратов. В этом случае система дифференциальных уравнений расщепляется на систему независимых осцилляторов. Линейная диссипативная механическая система с конечным числом степеней свободы определяется тремя квадратичными формами: кинетической и потенциальной энергией системы, а также диссипативной функцией Рэлея. Исследуется линейная задача о вынужденных колебаниях двойного маятника, когда коэффициенты трения пропорциональны массам. Тогда все три квадратичные формы одним преобразованием приводятся к сумме квадратов. В нормальных координатах система расщепляется на две независимые системы второго порядка. Построено аналитическое решение в самом общем виде при произвольных длинах стержней и точечных масс. Дан полный анализ колебаний в нерезонансном случае и в случае резонансов. Получены также формулы для погрешности аналитических формул, если пропорциональность коэффициентов трения и масс нарушается.
Ключевые слова
Полный текст
Введение. Общая теория малых линейных колебаний систем с конечным числом степеней свободы для консервативных систем дана в 1762–1765 гг. Лагранжем. В этом случае механическая система определяется двумя квадратичными формами: кинетической и потенциальной энергией системы. Вейерштрасс показал в 1858 г., что в силу положительной определенности кинетической энергии можно ввести нормальные координаты, в которых кинетическая энергия приведется к сумме квадратов, а потенциальная энергия к сумме квадратов с некоторыми множителями. В нормальных координатах уравнения расщепляются на независимые осцилляторы, решения которых выражаются через тригонометрические и показательные функции. Прежние исследователи (следуя Лагранжу) ошибочно предполагали, что в случае кратных корней характеристического уравнения нормальные координаты не будут существовать и что в окончательных интегралах уравнений движения время будет входить не только через тригонометрические и показательные функции. Соответствующие библиографические ссылки приведены в монографии [1].
Многие задачи интегрирования и качественного анализа дифференциальных уравнений значительно упрощаются при переходе к нормальным координатам и широко применяются для исследования колебаний консервативных механических систем [1–3]. Одновременное приведение к диагональной форме двух вещественных симметричных матриц A и B всегда выполнимо [4, 5], если одна из них соответствует знакоопределенной квадратичной форме.
При анализе вынужденных колебаний диссипативных механических систем кроме квадратичных форм для кинетической и потенциальной энергий возникает третья квадратичная форма – диссипативная функция Релея. Как известно [6–8], три квадратичные формы не всегда возможно привести к диагональным и в связи с этим анализируются условия, при которых это возможно. Наиболее общее условие приведения трех квадратичных форм с матрицами A, B и C к диагональному виду получено в работе Новикова [9]. Для систем с n степенями свободы оно состоит из равенства нулю n2 элементов матрицы AB -1C – CB -1A = 0, Det[B] = 0. При выполнении этих условий уравнения Лагранжа расщепляются на n независимых уравнений второго порядка.
В работе [10] показано, что n2 уравнений сводятся к n(n – 1)/2 независимых уравнений. Если квадратичные формы зависят от двух переменных n = 2, то условием расщепления является единственное условие равенства нулю определителя третьего порядка коэффициентов трех квадратичных форм. Для систем с тремя степенями свободы n = 3 из условия Новикова получены три уравнения для матриц A, B и C. Даны примеры применения полученного условия для анализа малых колебаний механической системы с двумя и тремя степенями свободы с учетом сил трения. Для вынужденных колебаний двойного маятника показано, что условием расщепления уравнений Лагранжа является пропорциональность коэффициентов трения массам маятника. Таким путем исследованы вынужденные колебания двойного маятника при равенстве длин стержней маятника. Преобразование к нормальным координатам выражается через тригонометрические и обратные тригонометрические функции.
В данной работе нормализующее преобразование удалось упростить и выразить через простые алгебраические функции. С его помощью построено аналитическое решение в самом общем виде, когда длины стержней и массы маятника произвольны. Дан полный анализ колебаний в нерезонансном случае и в случае резонансов. Получены простые формулы для максимальных отклонений маятника в случае резонансов. Найдены частоты, при которых угловые переменные равны нулю (антирезонанс). Рассмотрены случаи малых и больших диссипативных сил, для которых колебания описываются в упрощенной аналитической форме. Получены также формулы для погрешности аналитических формул, если пропорциональность коэффициентов трения и масс нарушается.
1. Решение уравнений колебания в нормальных координатах. Система линейных уравнений для вынужденных колебаний диссипативной механической системы с двумя степенями свободы под действием сил, меняющихся по гармоническому закону, имеет вид:
(1.1)
где T, П, R и N – кинетическая и потенциальная энергия, диссипативная функция Рэлея и потенциал внешних сил:
(1.2)
Воспользуемся теоремой [10].
Теорема. Пусть даны три квадратичные формы двух переменных T, R, П = a11a22 - a122 > 0. Тогда для существования невырожденного преобразования
(1.3)
приводящего их к виду
(1.4)
необходимо и достаточно, чтобы определитель, составленный из коэффициентов исходных квадратичных форм, обратился в ноль:
(1.5)
Система уравнений в нормальных переменных расщепляется на два независимых уравнения второго порядка:
(1.6)
Решение полученной системы для установившихся колебаний имеет вид:
(1.7)
Переходный процесс из состояния покоя до установления дает решение уравнения начальными условиями
(1.8)
2. Алгебраическое преобразование, нормализующее систему дифференциальных уравнений. В работе [10] преобразование, нормализующее систему дифференциальных равнений, выражено через тригонометрические и обратные тригонометрические функции. Ниже предлагается упрощенная форма такого преобразования, которое выражается только через алгебраические функции. Замену (1.3), приводящую формы к нормальному виду, можно построить следующим образом. В матричном виде составляется система уравнений:
Из решения квадратного уравнения для B (равенство нулю определителя)
(2.1)
находим два собственных значения B1, B2:
(2.2)
Эти значения положительны в силу положительной определенности квадратичных форм T и П. Поэтому дискриминант D не может быть отрицательным числом. Вырожденный случай D = 0, при котором оба корня равны, исключаем. Его нужно рассматривать отдельно.
Таким образом, без ограничения общности считаем, что D > 0 и B1 < B2. Собственным значениям B1, B2 соответствуют два собственных вектора:
Нормализующая замена имеет следующий вид:
(2.3)
Она приводит квадратичные формы к виду (1.4) c коэффициентами
(2.4)
Коэффициенты b′11, b′22 не приводятся из-за громоздкости.
3. Погрешность решения укороченной системы. Однако условие (1.5) может точно не выполняться, но его можно смягчить, если считать выполнение не точно, а приближенно. Оценку погрешности такого приближения можно получить следующим образом.
Пусть линейная замена (2.3) приводит две квадратичные формы T и П к сумме квадратов, а третья квадратичная форма R остается не приведенной к такому виду:
Если коэффициент A12 достаточно мал, то его можно не учитывать, но укороченная система дифференциальных уравнений будет описывать колебания системы с достаточной точностью.
Укороченная система уравнений имеет вид (1.6), а полная система:
Наличие A12 вносит погрешность, которую можно оценить следующим образом. Решаем систему методом комплексных амплитуд. Подставляя в уравнения решения в виде y1 = Y1eiwt, y2 = Y2eiwt, получим:
Предполагая параметр A12 малым, решаем алгебраическую систему уравнений методом возмущений:
Назовем относительной погрешностью решения без учета A12 величину
(3.1)
Отсюда с помощью неравенства для любых получаем
Таким образом, величина
(3.2)
определяет верхнюю оценку относительной погрешности (3.1) решения (1.7).
4. Двойной плоский маятник. Малые колебания около положения равновесия двойного плоского маятника, у которого точка подвеса движется по горизонтали по гармоническому закону (рис. 1, а), рассматриваем в неинерциальной системе отсчета, в которой точка подвеса неподвижна. Запишем выражения T, R, П и N как функции обобщенных координат , и скоростей [10]:
(4.1)
где N – потенциал сил инерции и в диссипативной функции R предполагается линейный по относительной угловой скорости закон трения в шарнирах с коэффициентами трения r1, r2.
Рис. 1. Схема двойного маятника (а), амплитудный коэффициент угловой переменной 1 (b), коэффициент, пропорциональный амплитуде угловой переменной 2 (c).
Из равенства нулю определителя (1.5) находим условие пропорциональности коэффициентов трения и масс r1 = rm1, r2 = rm2. При этом условии находится преобразование, приводящее квадратичные формы к сумме квадратов. Прежде чем получить это преобразование, приведем все характеристические функции к безразмерному виду с помощью замен:
(4.2)
где , , , – безразмерные переменные.
В этих переменных функции принимают вид:
(4.3)
Здесь точками обозначены производные по переменной , несущественный множитель опущен.
С помощью подстановки коэффициентов квадратичных форм (1.2)
(4.4)
в характеристическое уравнение (2.1) получаем квадратное уравнение
Оно имеет два корня B1, B2:
(4.5)
Через них с помощью (4.4) выражается преобразование (2.3)
(4.6)
приводящее формы (4.3) к каноническому виду:
Коэффициенты форм вычисл яются по формулам (2.4) и преобразуются к виду:
Уравнения Лагранжа в новых переменных принимают вид:
(4.7)
Решение уравнений для установившихся колебаний в переменных y1, y2 находится подстановкой коэффициентов (4.7) в формулы:
(4.8)
В исходных переменных решение получается подстановкой формул (4.8) в (4.6).
5. Нерезонансный случай. В системе имеются две резонансные частоты: и . При малом трении вне окрестностей резонансных частот решение с погрешностью порядка e можно получить в рамках консервативной системы. Нормальные моды (4.8) имеют вид:
(5.1)
Отсюда c помощью (4.6) находим амплитуду a1 колебаний угловой переменной :
(5.2)
Функция a1′ представляет собой дробь. Ее числитель и знаменатель можно выразить через парам етры маятника с помощью (4.5) и (4.7)
(5.3)
(5.4)
(5.5)
Из равенства нулю числителя находится частота антирезонанса:
(5.6)
На рис. 1, b изображена зависимость a1′ от квадрата частоты 2 при = 1, = 1/2. Амплитуда a1 при = 1, = 1/2 обращается в ноль при 2 = 2.
Аналогично находится амплитуда a2 угловой переменной 2:
(5.7)
Отсюда получаем: на отрезке B1 < 2 < B2 функция приводится к виду
(5.8)
На отрезке (B1, B2) функция отрицательна и стремится к -∞ на его концах. Можно найти максимальное значение функции 2a2′ с помощью следующих преобразований:
Причем равенство достигается при частоте 2 = (B1, B2)1/2. Вывод: амплитуда второй угловой переменной a2 = (a/l)2a2′ на отрезке B1 < W2 < B2 при частоте (B1, B2)1/2 достигает наибольшего значения:
Этот вывод иллюстрирует рис. 1, c. На нем изображена зависимость функции 2a2′ от квадрата частоты 2 при = 1, = 1/2. Максимум, равный , достигается в том случае, если . В этой точке абсолютной значение амплитуды второй угловой переменной имеет наименьшее значение среди всех амплитуд на отрезке 2 ∈ (B1, B2).
Интерес представляет горизонтальное отклонение нижней массы маятника x = l11 + l22. Введем относительную величину отклонения, отнесенную к суммарной длине маятника:
(5.9)
Уравнение a1 + a2 = 0 для частоты антирез онанса с помощью формул (5.5) и (5.8) приводится к виду:
Отсюда находим частоту антирезонанса для угловой координаты нижней массы маятника:
Таким образом, при частоте нижняя масса маятника остается неподвижной, а при частоте в раз меньшей неподвижной является верхняя масса маятника.
Из этих зависимостей следует исключить -окрестности резонансных точек. В них угловые переменные обращаются в бесконечности. В резонансных точках следует учитывать трение и, как показано в следующем пункте, угловые переменные в этих точках достигают больших значений порядка 1/.
6. Случаи резонансов. Рассмотрим асимптотику решения при → 0 (малое трение) при резонансной частоте 2 = B1. С помощью (4.8) находим:
(6.1)
Вторую переменную y2 порядка 1 в формуле (4.6) для угловых переменных можно не учитывать, что приводит для них к следующим зависимостям:
(6.2)
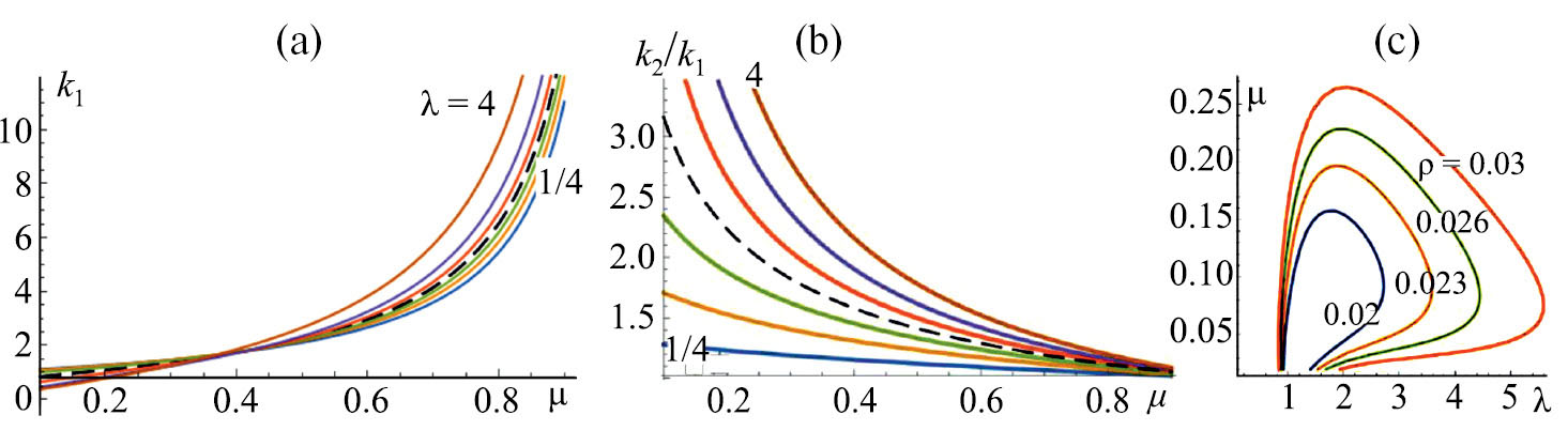
На рис. 2, а представлены зависимости амплитудных коэффициентов k1 от параметра масс при различных значениях отношений длин: = l2/l2 = 1/4, 1/2, 3/4, 1, 4/3, 2 и 4. Значения 1/4 и 4 для соответствующих кривых указаны на рисунке. На рис. 2, b представлены зависимости отношения амплитудных коэффициентов k2/k1 для угловых переменных 1, 2 соответственно от параметра масс m при тех же значениях отношений длин. Графики строятся с помощью формул (6.2). При кривые изображены штриховыми линиями.
Рис. 2. Зависимости от параметра m максимального амплитудного коэффициента k1 (а), отношения k2/k1 (b); границы областей переменных , при r = 0.02; 0.023; 0.026; 003 для которых относительная погрешность решения менее 1% (c)
7. Случай большой силы сопротивления. При → ∞ с помощью (4.8) и (4.6) получаем следующее асимптотическое разложение для угловых переменных:
(7.1)
Этими формулами удобно пользоваться при параметре .
8. Маятник с равными длинами стержней. Для маятника с равными длинами при = 1 формулы упрощаются:
(8.1)
Отсюда с помощью (4.6) и (4.5) находятся угловые переменные:
(8.2)
При отсутствии диссипативных сил угловые переменные имеют вид:
При частоте угловая переменная , а переменная при частоте . Это антирезонансные частоты.
При резонансной частоте собственная функция y1 принимает большие значения порядка , а собственная функция y2 – меньшие значения порядка 1:
При этой частоте угловые переменные примут вид:
Аналогично находятся угловые переменные при частоте :
Из полученных формул следует, что максимальные амплитуды колебаний угловых переменных при второй резонансной частоте меньше амплитуды при первой частоте в
раза. Например, при равных массах = 1/2 в 14 раз.
Наконец, при большой силе сопротивления из формул (8.1) и (8.2) разложение по параметру → ∞
Первый член разложения следует также из (7.1) при = 1.
9. Относительная погрешность при невыполнении условия расщепления. Приведенные формулы определяют общее аналитическое решение задачи о вынужденных колебаниях двойного математического маятника при единственном условии пропорциональности диссипативных коэффициентов массам мятника: r2/r1 = m2/m1. Если же это условие не выполняется, то диссипативную функцию
можно представить в виде:
и она заменой (4.6) приведется к виду:
Относительная погрешность решения без учета b12 для малых r вычисляется по формуле:
При фиксированном и достаточно малом значении параметра границей области параметров , с относительной погрешностью менее 1% является контур k(, ) = 0.01/, = r/r. Параметры l, m, находящиеся вне контура, удовлетворяют неравенству
В этой области переменных , относительная погрешность решения без учета r менее 1%.
На рис. 2, c представлены границы этих областей для = 0.02; 0.023; 0.026; 0.03.
Заключение. Представлена методика аналитического исследования вынужденных колебаний механических систем с двумя степенями свободы с помощью перехода к нормальным координатам. Фактически реализовано известное высказывание Ж.Л. Лагранжа, что в механической задаче существует система координат, в которой дифференциальные уравнения движения и их решение имеют наипростейший вид. Это достигается с помощью одновременной диагонализации трех матриц: кинетической, потенциальной энергий и диссипативной функции. Упрощенные предложенным способом уравнения движения позволили провести исчерпывающий анализ вынужденных малых колебаний двойного маятника с горизонтальной вибрацией точки подвеса. В задаче имеются 4 произвольных параметра: две длины и две массы. Представлен полный анализ этой системы.
Наиболее простой вид имеют антирезонансные частоты маятника:
и ,
при которых остаются неподвижными нижняя и верхняя масса маятника соответственно; наибольшие амплитуды угловых координат, достигаемые при резонансной частоте :
выражения для угловых координат маятника при достаточно большом трении:
выражения для частот вибрации, при которых соответствующие угловые координаты имеют максимальные амплитуды.
Работа выполнена по теме государственного задания (№ госрегистрации 124012500443-0).
Об авторах
А. Г. Петров
Институт проблем механики им. А.Ю. Ишлинского РАН
							Автор, ответственный за переписку.
							Email: petrovipmech@gmail.com
				                					                																			                												                	Россия, 							Москва						
Список литературы
- Уиттекер Э.Т. Аналитическая динамика. М.: 2004. 500 с.
- Журавлев В.Ф. Основы теоретической механики. М. : Физматлит, 2008. 304 с.
- Четаев Н.Г. Устойчивость движения. Работы по аналитической механике. М.: Изд-во АН СССР, 1962. 535 с.
- Гантмахер Ф.Р. Лекции по аналитической механике. М.: Физматлит, 2001. 262 с.
- Гантмахер Ф.Р. Теория матриц. М: Наука, 1967. 552 с.
- Беллман Р.Э. Введение в теорию матриц. М: Наука, 1976. 352 с.
- Хорн Р., Джонсон Ч. Матричный анализ. М: Мир, 1989. 655 с.
- Mitra S.K. Simultaneous diagonalization of rectangular matrices // Linear Algebra Appl. 1982. V. 47. P. 139–150. https://doi.org/10.1016/0024-3795(82)90231-2
- Новиков М.А. Одновременная диагонализация трех вещественных симметричных матриц // Известия вузов. Математика. 2014. № 12. C. 70–82.
- Петров А.Г. О существовании нормальных координат для вынужденных колебаний линейных диссипативных систем // Изв. РАН. МТТ. 2022. № 5. С. 93–102. https://doi.org/10.31857/S0572329922050129
Дополнительные файлы
 
				
			 
						 
					 
						 
						 
						 
									
 
  
  
  Отправить статью по E-mail
			Отправить статью по E-mail 



