Prognostic significance of the immunohistochemical status of the endometrium as markers of therapy for endometrial hyperplasia
- Authors: Mikhaleva L.M.1,2,3, Kappusheva L.M.4, Golukhov G.N.2,4, Shcherbatyuk K.V.4, Gutorova D.S.4, Ovchinnikova A.V.2,4, Baisova B.I.4, Breusenko V.G.4
-
Affiliations:
- Avtsyn Research Institute of Human Morphology of Petrovsky National Research Centre of Surgery
- City Clinical Hospital N 31 of the Moscow Healthcare Department
- Russian Medical Academy of Continuous Professional Education of the Ministry of Healthcare of the Russian Federation
- N.I. Pirogov Russian National Research Medical University
- Issue: Vol 160, No 3 (2022)
- Pages: 139-150
- Section: Original Study Articles
- URL: https://journal-vniispk.ru/1026-3543/article/view/148281
- DOI: https://doi.org/10.17816/morph.364510
- ID: 148281
Cite item
Abstract
BACKGROUND: In patients of reproductive age with endometrial hyperplasia without atypia, hormonal treatment, and prognosis of response remain relevant issues.
AIM: To increase the effectiveness of hormonal therapy for endometrial hyperplasia in patients of reproductive age with abnormal uterine bleeding, considering the receptivity, and proliferative activity of the endometrium.
MATERIALS AND METHODS: A total of 179 patients of reproductive age with abnormal uterine bleeding and endometrial hyperplasia were examined. After the removal of the endometrial tissue, hormonal therapy was performed for 6 months: 101 patients received dydrogesterone 20 mg/day, and 78 patients received norethisterone acetate 10 mg/day. The expression levels of estrogen receptor-α (Erα), progesterone receptor (PR), and Ki67 in the endometrial tissue were determined by immunohistochemistry at baseline and 3 months after the treatment. The comparison group consisted of 18 women without gynecological pathology. Variation statistics methods were used to process the data, the differences between the indicators groups of patients were considered significant at p <0.05.
RESULTS: Before treatment, the expression levels of ERα, PR in both compartments, and Ki-67 in the glands were lower (p < 0.05) in the endometrial hyperplasia group than in the control group. Remission was achieved in 77 (76.24%) (dydrogesterone) and 62 (79.49%) (norethisterone acetate) patients. Initially, the expression level of ERα in the glands and stroma of endometrial hyperplasia was lower (p <0.05) than that in the comparison group; the resistant group had a lower (p <0.05) response to treatment. The expression of PR in the resistant group was lower (p <0.05) than that in the comparison group and remission group. The expression level of Ki67 in the response group was lower than that in the comparison group (p <0.05), and the expression in the stroma was lower than that in the resistant group (p <0.05). After treatment in both compartments, the expression levels of ERα and PR were lower in the resistant group than in the comparison group and response group (p <0.05). A logistic regression equation was obtained with a set of predictors: ERα (glands) + PR (glands and stroma) + Ki-67 (stroma) with a potential response to therapy of 93%.
CONCLUSIONS: The specified predictive model is promising. The therapy was effective in 93% of cases.
Full Text
ОБОСНОВАНИЕ
Гиперплазия эндометрия (ГЭ) — это патологическое изменение слизистой оболочки матки, характеризующееся избыточной пролиферацией желёз, их структурным нарушением и, как следствие, увеличением доли железистого компонента относительно стромального [1, 2]. Согласно бинарной классификации Всемирной организации здравоохранения (ВОЗ) 2020 года, выделяют две формы патологии: гиперплазия эндометрия (ГЭ) и атипическая ГЭ [3, 4]. Частота ГЭ составляет до 10% в структуре гинекологической заболеваемости среди женщин репродуктивного возраста [5]. Риск прогрессирования ГЭ до рака эндометрия в течение 20 лет составляет 4,6%, при атипической ГЭ этот показатель в 6 раз выше [6].
Общепринятым на первом этапе терапии является удаление патологической ткани эндометрия с лечебной и диагностической целью. После патоморфологической верификации диагноза решают вопрос о назначении гормональной терапии. На современном уровне стандартом лечения ГЭ являются прогестины. При их использовании регресс происходит в 54,8–97,0% наблюдений [7–9].
Широкая вариабельность ответа на гормональную терапию диктует необходимость разработки прогностических маркёров эффективности терапии и создания алгоритмов персонализированного подбора препаратов [10]. Имеются данные [11–15] о поисках предикторов среди различных маркёров: микроРНК, экспрессия генов рецепторов стероидных гормонов, полиморфизм гена группоспецифического компонента. Наиболее доступными и патогенетически обоснованными параметрами могут являться иммуногистохимические (ИГХ) маркёры: уровень экспрессии рецепторов к эстрогену и прогестерону, а также пролиферативный статус эндометрия — Ki-67 [16, 17].
В подавляющем большинстве наблюдений гормональная терапия назначается по стандартной схеме, выбор препарата основывается на данных клинических рекомендаций и личном опыте врача. Поэтому разработка унифицированной формулы прогноза ответа на терапию и параметры выбора препарата являются актуальными.
Цель исследования — оценить прогностический потенциал иммуногистохимических маркёров при терапии гиперплазии эндометрия без атипии у женщин репродуктивного возраста.
МАТЕРИАЛЫ И МЕТОДЫ
В исследование включены 179 пациенток репродуктивного возраста с аномальным маточным кровотечением (АМК) и верифицированной ГЭ. Группу сравнения составили 18 женщин без патологии эндометрия, которым была выполнена аспирационная биопсия эндометрия при обследовании по поводу бесплодия (мужской фактор). У всех пациенток отмечен регулярный менструальный цикл длительностью 28 дней, приём гормональных препаратов не проводился в течение не менее 6 мес.
Критерии включения: возраст от 18 до 45 лет, наличие АМК, впервые выявленная ГЭ по данным патоморфологического заключения.
Критерии исключения: кровотечения на фоне беременности и после родов, миома матки больших размеров (более 6 нед беременности), гормонсекретирующие образования яичников и гипоталамо-гипофизарной системы, приём гормональных препаратов в течение 6 мес до включения в исследование, коагулопатии.
Возраст больных в обеих группах — от 24 до 45 лет, медиана — 42 года, средний возраст — 38,57±6,97 года. Всем пациенткам исходно установлен диагноз АМК: у 129 женщин (72,1%) имелись жалобы на длительные кровяные выделения из половых путей, возникшие после задержки менструации; у 31 (17,3%) — на обильные менструации; у 19 (10,6%) — на межменструальные скудные кровяные выделения. Сопутствующая гинекологическая патология представлена аденомиозом у 80 пациенток (44,7%) и миомой матки малых размеров — у 58 (32,4%). Из экстрагенитальной патологии наиболее часто встречалась гипертоническая болезнь — у 39 пациенток (21,8%). Избыточный вес (ИМТ >25) отмечен у половины обследованных.
Всем пациенткам проведено стандартное обследование, включая УЗИ органов малого таза на ультразвуковом сканере Voluson 730 Expert (General Electric, США) с трансвагинальным конвексным датчиком, и исследование гормонального профиля (эстрадиол, прогестерон, фолликулостимулирующий гормон, лютеинизирующий гормон, пролактин). У всех пациенток до включения в исследование было получено письменное информированное согласие на участие в нём. Этический комитет ФГАОУ ВО «Российский национальный исследовательский медицинский университет имени Н.И. Пирогова» Минздрава России одобрил проведение данного исследования (дата заседания — 17.12.2018 г., протокол № 180).
С диагностической и лечебной целью всем пациенткам выполнены гистероскопия, раздельное диагностическое выскабливание слизистой матки. После патоморфологической верификации диагноза назначена гормональная терапия по традиционной схеме — с 5-го по 25-й день менструального цикла в течение 6 мес: 101 пациентке — дидрогестерон в дозе 10 мг 2 раза в сутки (группа 1), 78 женщинам — норэтистерона ацетат в дозе 5 мг 2 раза в сутки (группа 2). В процессе гормональной терапии оценивали переносимость препарата, частоту и выраженность побочных эффектов. Выбор препарата не зависел от возраста, соматического статуса и исходных данных иммуногистохимического исследования (ИГХ); группы были сопоставимы.
Контрольное обследование проводили через 3 и 6 мес после начала терапии и через 3 мес после окончания лечения. Оно включало оценку жалоб, анализ характера менструального цикла, УЗИ органов малого таза. Через 3 мес после окончания терапии на 7-е сутки менструального цикла выполняли контрольную аспирационную биопсию эндометрия.
Патоморфологическую оценку удалённого эндометрия осуществляли по стандартной методике. Полученный после гистологической проводки в автоматическом гистопроцессоре Leica ASP300 S (Leica Microsystems, Германия) материал заливали в парафин на автоматической станции Leica EG 1150 (Leica Microsystems, Германия). Гистологические срезы толщиной 4 мм окрашивали гематоксилином и эозином в этой же станции. На гистологических препаратах изучали патоморфологические изменения эндометрия на разных стадиях менструального цикла. (фаза и стадия менструального цикла).
С целью оценки возможных предикторов эффективной терапии 100 пациенткам (54 — из группы 1 и 46 — из группы 2) дополнительно выполнено ИГХ-исследование эндометрия исходно и через 3 мес после окончания терапии по методике, представленной ранее [10]. Дифференцированно в железистом и стромальном компартментах оценили уровень экспрессии рецепторов к эстрогену (ERα), прогестерону (PR), а также Ki-67. ИГХ-исследование проводили в иммуностейнере BenchMark ULTRA IHC/ISH (Roche, Швейцария), анализировали кроличьи моноклональные первичные антитела к CONFIRM антипрогестероновым рецепторам (PR)-(E2) (Roche, Швейцария), связывающиеся с PR; кроличьи моноклональные первичные антитела к CONFIRM антиэстрогеновым рецепторам (ERΑ)-(SP1) (Roche, Швейцария), связывающиеся с ERα; антитела кроличьи моноклональные к маркёру клеточной пролиферации Ki-67, 30-9, клон MIB (Cell Marque Corporation, США). Микроскопическое исследование выполняли на тринокулярном микроскопе Leica DMLB с использованием цифровой камеры Leica DFC 420 (Leica Microsystems, Германия).
Иммуногистохимическую реакцию оценивали количественным и полуколичественным методом стандартным способом: осуществляли подсчёт числа клеток с положительной ядерной экспрессией на 100 клеток в 10 полях зрения при увеличении в 200 раз. Для каждого случая подсчитывали процент ядер, окрашенных с различной степенью интенсивности. При анализе результатов ИГХ-реакций для ERα и PR использовали метод гистологической оценки H-score по формуле: HSCORE=ΣP(i)× i, где i — интенсивность окрашивания, выраженная в баллах от 0 до 3; P(i) — процент клеток, окрашенных с разной интенсивностью. В заключение оценивали соответствие уровня экспрессии в железах и строме фазе цикла, указывали степень экспрессии и баллы: 0–10 баллов — отсутствие экспрессии; 11–100 — слабая экспрессия; 101–200 — умеренная экспрессия; 201–300 — выраженная экспрессия.
При исследовании Ki-67 за положительную окраску принимали интенсивное окрашивание ядерных структур тёмно-коричневого цвета. Экспрессию Ki-67 оценивали методом подсчёта количества окрашенных ядер на 100 клеток в трёх полях зрения, значение пролиферативной активности выражали в процентах. Все исследования проводил один специалист-патолог.
Статистическая обработка полученных результатов выполнена на ПК с применением пакета статистических программ GraphPad Prism 9.3.0. Данные представлены с использованием стандартной описательной статистики (хи-квадрат), а для сравнения категориальных и непрерывных переменных использовали двухвыборочные t-тесты, различия между показателями групп пациентов считались значимыми при p <0,05.
Обработку данных выполняли с использованием критерия Фишера и U-критерия Манна–Уитни. Для анализа прогностической ценности показателей экспрессии использовали анализ ROC-кривой и вычисление площади под кривыми (AUC) с 95% доверительными интервалами, значениями чувствительности и специфичности.
РЕЗУЛЬТАТЫ
На основании полученных данных построена прогностическая модель. Её качество по интервальным значениям AUC расценивалось следующим образом: 0,9–1,0 — отличное, 0,8–0,9 — очень хорошее, 0,7–0,8 — хорошее, 0,6–0,7 — среднее и 0,5–0,6 — неудовлетворительное. Для оценки вероятности излечения ГЭ применяли метод бинарной логистической регрессии. Для анализа взаимосвязи между качественным (эффективность терапии) и количественными (уровень экспрессии ERα, PR, Ki-67) признаками использовали модель логистической регрессии с пошаговым алгоритмом включения и исключения предикторов.
Вероятность эффективности терапии определяли по формуле:
P =
где P — вероятность, что событие произойдёт (ответ на лечение); e — 2,71828182845904 (основание натуральных логарифмов); Y — стандартное уравнение регрессии; где Y=β1·x1+β2·x2+… βn·xn+a; при этом x1, …, xn — значения независимых переменных (уровень экспрессии ERα, PR, Ki-67); β1 ... βn — коэфффициенты, расчёт которых является задачей бинарной логистической регрессии; а — свободный коэффициент (константа).
При P <50% предполагали, что событие не наступит, а при P >50% устанавливали наступление события.
При первичном исследовании патологической ткани ГЭ методом иммуногистохимии выявлено, что значения экспрессии ERα в железистом компартменте находились в диапазоне от 165 до 290 баллов и составляли в среднем 227,1±39,3 балла, что было статистически значимо ниже данных группы сравнения, где средний показатель соответствовал 283,1±12,0 балла. В стромальном компартменте эндометрия экспрессия ERα была от 138 до 285 баллов, в среднем составляла 192,1±36,8 балла, что было статистически значимо ниже показателей группы сравнения, где средний показатель составлял 264,4±10,2 балла. Уровень экспрессии ядерных рецепторов прогестерона у пациенток с ГЭ в железистом компартменте колебался от 195 до 285 баллов (среднее значение — 242,4±29,8 балла), что было статистически значимо ниже данных группы сравнения (267,86±7,90 балла). В стромальном компартменте экспрессия PR в патологической ткани составляла в среднем 220,4±24,4 балла (от 175 до 260) и была статистически значимо ниже, чем в группе сравнения (251,1±17,5 балла). Уровень экспрессии Ki-67 у пациенток с ГЭ в железистом компартменте составлял 75–100% (в среднем — 61,80±20,89%), в группе сравнения — 91,43±8,23%, причём последнее значение было статистически значимо выше показателей патологической ткани ГЭ. В стромальном компартменте этот показатель колебался от 5 до 73% в среднем составлял 38,8±21,7%, в группе сравнения — 31,1±17,8%, различия не достигли порога статистической значимости.
Гормональная терапия у всех пациенток проведена в полном объёме. Используемые препараты хорошо переносились. Ведущим нежелательным явлением стало увеличение массы тела на 2,32±0,40 кг (в среднем) у 3 пациенток группы 1 и у 25 — группы 2, что ассоциировалось с отёчностью и повышенным аппетитом. На момент окончания терапии пациентки вернулись к исходной массе тела. 7 пациенток (9%) группы 2 беспокоила умеренная тошнота, при этом побочные эффекты не снижали приверженность лечению. Гормональный профиль по результатам проведённого нами обследования у всех пациенток не изменился.
Ретроспективно пациентки были дополнительно разделены на подгруппы: с эффектом от лечения (патоморфологически нормальный эндометрий средней стадии фазы пролиферации) и резистентные (гистологически верифицированная ГЭ). Полный ответ наблюдался у 77 пациенток (76,2%) группы 1 и у 62 (79,5%) — группы 2; резистентность диагностирована у 24 (23,8%) и 16 пациенток (20,5%) соответственно. Процент больных, ответивших на терапию, был сопоставим в группах 1 и 2.
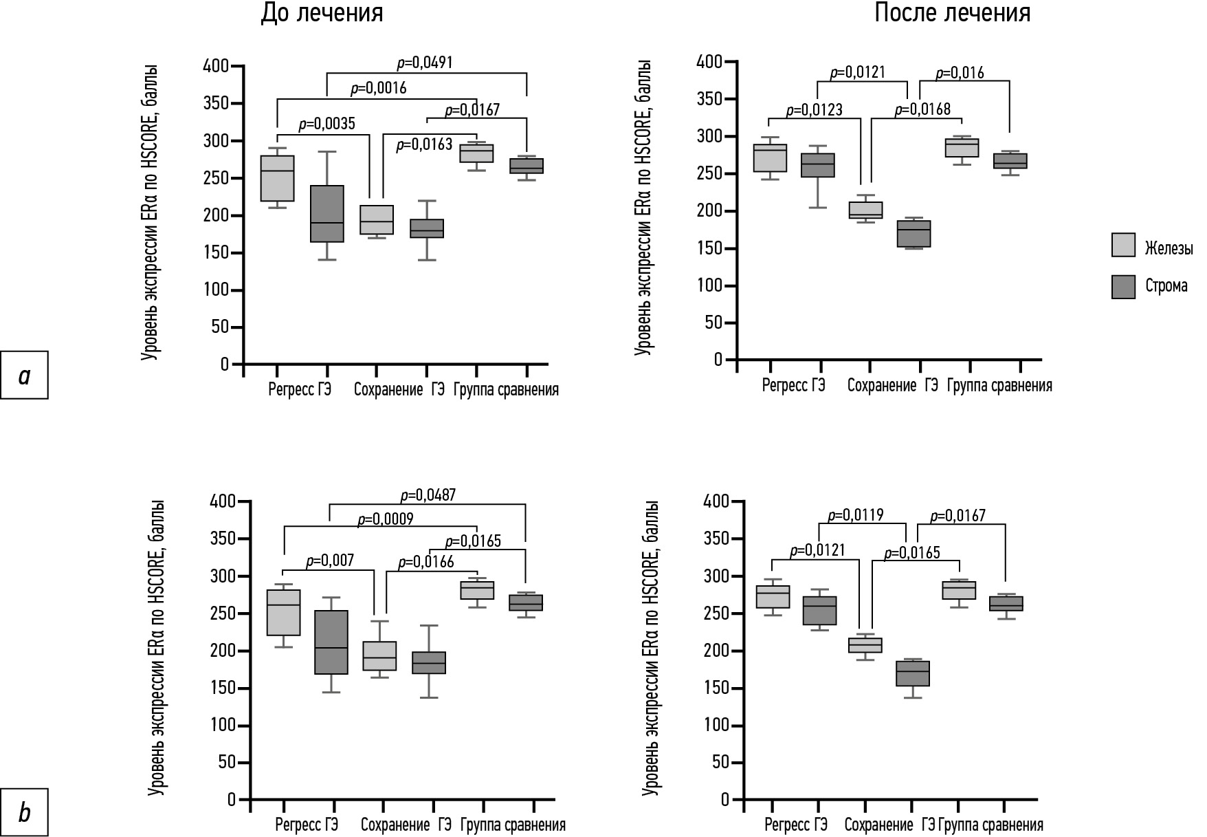
Результаты ИГХ-экспрессии ERα в железистом и сторомальном компартментах эндометрия у пациенток, ответивших на лечение и без эффекта от терапии, до и после лечения, а также в группе сравнения представлены на рис. 1. Уровень экспрессии ERα в железистом и стромальном компартментах у обследованных пациенток всех групп исходно был ниже показателей группы сравнения. В железистом компартменте у резистентных больных (как группы 1, так и группы 2) он был статистически значимо ниже показателей пациенток, ответивших на лечение.
Рис. 1. Уровень иммуногистохимической экспрессии ERα в стромальном и железистом компартментах эндометрия у пациенток репродуктивного возраста с гиперплазией эндометрия (ГЭ) без атипии и аномальным маточным кровотечением: а — дидрогестерон (группа 1); b — норэтистерона ацетат (группа 2).
Fig. 1. The level of immunohistochemical expression of ERα in the stromal and glandular compartments of the endometrium in patients of reproductive age with endometrial hyperplasia without atypia and abnormal uterine bleeding: а — dydrogesterone (group 1); b — norethisterone acetate (group 2).
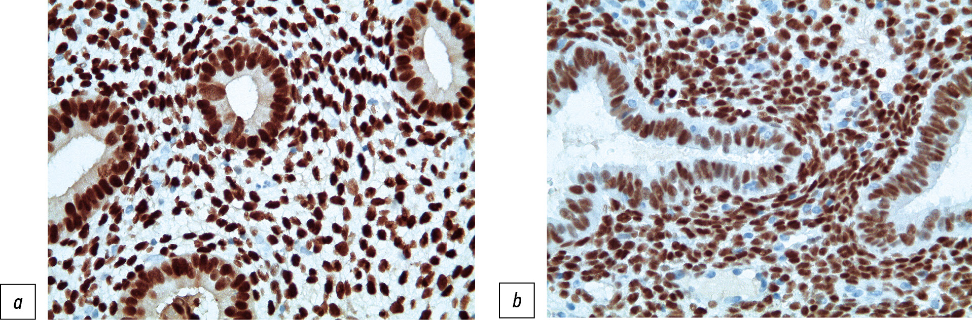
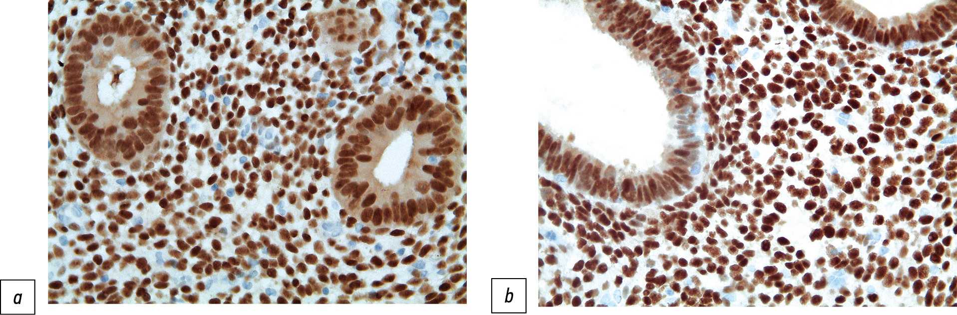
На рис. 2 представлены микрофотографии гистологических препаратов ткани эндометрия, полученных исходно у пациенток с ГЭ без атипии: ответивших на лечение и резистентных (ИГХ-окрашивание на ERα, увеличение ×400).
Рис. 2. Иммуногистохимическая экспрессия ERα в ткани гиперплазии эндометрия без атипии исходно в группе с эффективной терапией (а), неэффективной терапией (b) (ИГХ, ×400).
Fig. 2. Immunohistochemical expression of ERα in endometrial hyperplasia tissue without atypia initially in the group with effective therapy (a), ineffective therapy (b) (IHC, ×400).
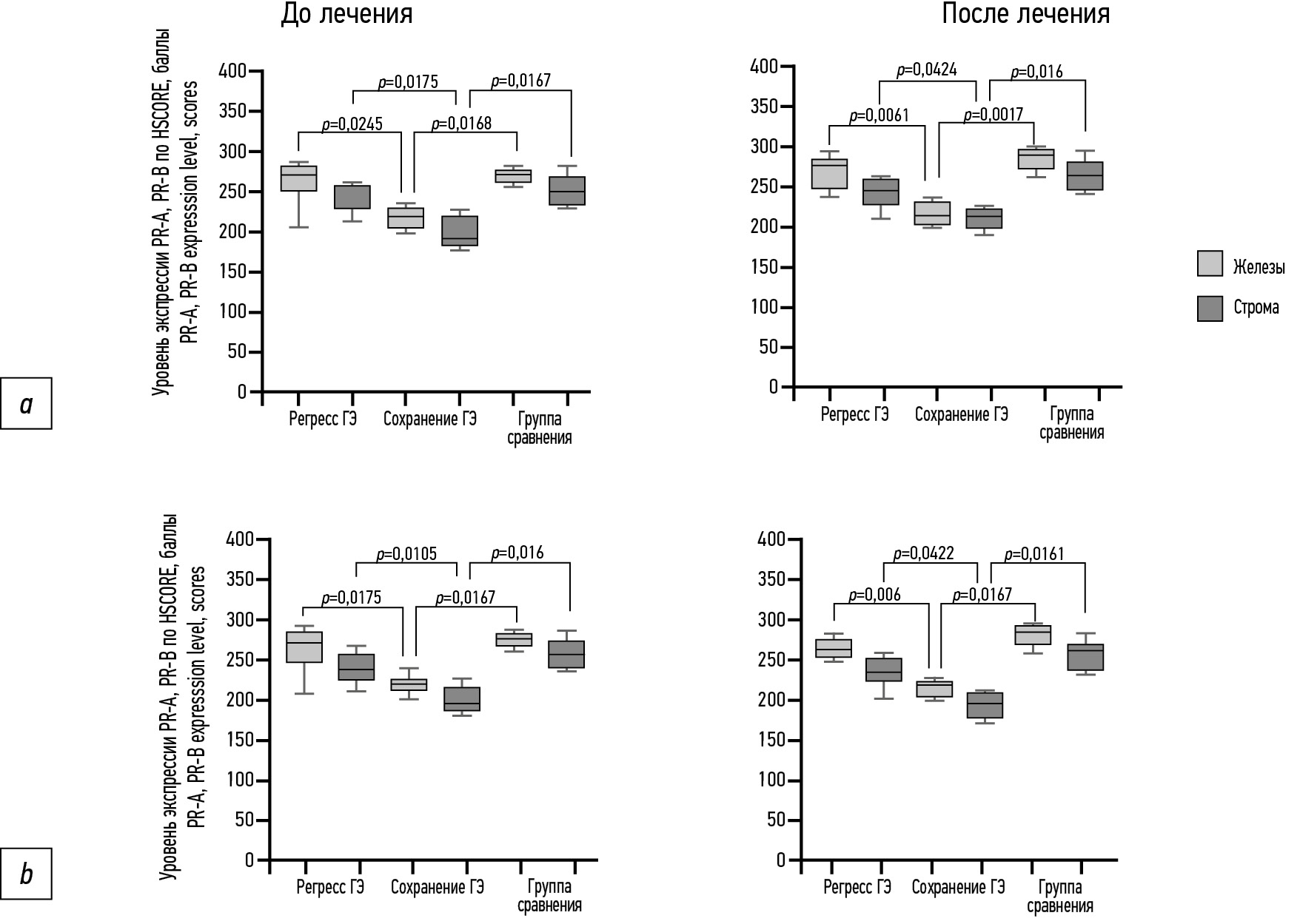
Результаты анализа ядерных рецепторов к прогестерону в строме и железах эндометрия у обследуемых пациенток представлены на рис. 3. Уровень экспрессии ядерных рецепторов к прогестерону в двух компартментах у ответивших на лечение пациенток из групп 1 и 2 исходно был сопоставим с показателями группы сравнения, в у резистентных больных из групп 1 и 2 он был статистически значимо ниже показателей в группе сравнения и у пациенток, достигших ремиссии.
Рис. 3. Уровень иммуногистохимической экспрессии к рецепторам прогестерона в стромальных и железистых компартментах эндометрия у пациенток репродуктивного возраста с гиперплазией эндометрия (ГЭ) без атипии и аномальным маточным кровотечением: а — дидрогестерон (группа 1); b — норэтистерона ацетат (группа 2).
Fig. 3. The level of immunohistochemical expression of progesterone receptors in the stromal and glandular compartments of the endometrium in patients of reproductive age with endometrial hyperplasia without atypia and abnormal uterine bleeding: а — dydrogesterone (group 1); b — norethisterone acetate (group 2).
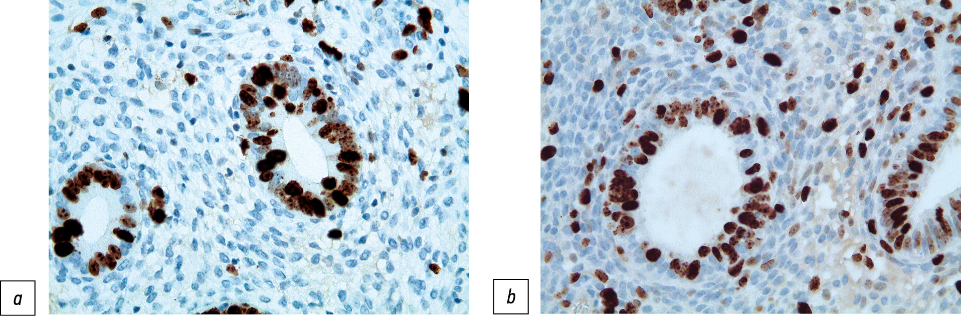
На рис. 4 представлены микрофотографии иммуногистохимической реакции эндометрия с маркёром прогестероновых рецепторов, полученных исходно у пациенток с ГЭ без атипии: ответивших на лечение и резистентных больных, а также группы сравнения (ИГХ-окрашивание на PR, увеличение ×400).
Рис. 4. Иммуногистохимическая экспрессия PR в ткани гиперплазии эндометрия без атипии исходно в группе с эффективной терапией (а), неэффективной терапией (b) (ИГХ, ×400).
Fig. 4. Immunohistochemical expression of PR in the tissue of endometrial hyperplasia without atypia initially in the group with effective therapy (a), ineffective therapy (b) and in the comparison group (c) (IHC, ×400).
При анализе данных экспрессии индекса пролиферации Ki-67 в обоих компартментах эндометрия (рис. 5) выявлено, что уровень экспрессии Ki-67 в железистом компартменте у ответивших на лечение пациенток групп 1 и 2 исходно был ниже, чем в группе сравнения, в стромальном компартменте — ниже, чем у резистентных больных.
Рис. 5. Уровень иммуногистохимической экспрессии Ki-67 в стромальных и железистых клетках эндометрия у пациенток репродуктивного возраста с гиперплазией эндометрия (ГЭ) без атипии и аномальным маточным кровотечением. Д — дидрогестерон (группа 1); НА — норэтистерона ацетат (группа 2).
Fig. 5. The level of immunohistochemical expression of Ki-67 in stromal and glandular cells of the endometrium in patients of reproductive age with endometrial hyperplasia without atypia and abnormal uterine bleeding. Д — dydrogesterone (group 1); НА — norethisterone acetate (group 2).
На рис. 6 представлены микрофотографии иммуногистохимической реакции с маркёром Ki-67 в ткани эндометрия, полученной до лечения у пациенток с ГЭ без атипии: ответивших на лечение и резистентных, а также группы сравнения (ИГХ-окрашивание c Ki-67, увеличение ×400).
Рис. 6. Иммуногистохимическая реакция с маркёром Ki-67 в ткани гиперплазии эндометрия без атипии исходно в группе с эффективной терапией (а), неэффективной терапией (b) (ИГХ, ×400).
Fig. 6. Immunohistochemical reaction with the Ki-67 marker in endometrial hyperplasia tissue without atypia initially in the group with effective therapy (a), ineffective therapy (b) (IHC, ×400).
После лечения в обоих компартментах (в группах 1 и 2) уровень экспрессии ERα и PR среди резистентных больных был статистически значимо ниже показателей в группе сравнения и у пациенток, ответивших на лечение (см. рис. 1, 2).
Полученные данные свидетельствуют о том, что у пациенток с неэффективностью лечения гестагенами выявлен более низкий уровень экспрессии ERα в железах, а PR — в строме и в железах эндометрия, а также повышенный уровень экспрессии Ki-67 в строме эндометрия до лечения по сравнению с пациентками, достигшими ремиссии заболевания. Указанный факт позволяет предположить вероятную прогностическую значимость данных маркёров при выборе терапии гестагенами. Для анализа этого предположения был проведён ROC-анализ данных каждого маркёра в отдельности в группе 1 и группе 2 (рис. 7). Площадь под кривой свидетельствует о том, что прогнозирование результатов теста по всем показателям (ERα, PR, Ki-67) является точным и прогностическая значимость этих предикторов оценивается как «очень хорошая».
Рис. 7. ROC-кривые референсных значений экспрессии ERα в железах, PR — в строме и в железах эндометрия, экспрессии Ki-67 — в строме для пациенток с гиперплазией эндометрия без атипии и аномальным маточным кровотечением.
Fig. 7. ROC-curves of reference values of ERα expression in the glands, PR stroma and endometrial glands, Ki-67 expression in the stroma for patients with endometrial hyperplasia without atypia and abnormal uterine bleeding.
Известно о взаимном влиянии стероидных гормонов на экспрессию рецепторов, поэтому мы исследовали связь между маркёрами. Для этого были построены уравнения логистической регрессии с использованием отобранных ИГХ-маркёров в различных комбинациях, а также с включением в модель препарата, применяемого при лечении. Выявлено, что на прогностическую способность модели не влияет выбор препарата. Это означает, что эффективность терапии в нашей выборке зависела только от исходных параметров пациентки: уровня экспрессии ERα в железах, PR — в строме и в железах эндометрия, Ki-67 — в строме эндометрия.
В табл. 1 отражены сравнительные результаты построенных моделей с включением отобранных предикторов, по которым можно проследить динамику прогностической ценности модели исходя из комбинации предикторов. Наибольшей прогностической значимостью обладает комбинация значений экспрессии ERα (железы) + PR (железы и строма) + Ki-67 (строма).
Таблица 1. Сравнительная характеристика моделей логистической регрессии с включением разных комбинаций предикторов
Table 1. Comparative characteristics of logistic regression models with the inclusion of different combinations of predictors
Комбинация предикторов | AUC | Процент верного прогноза эффективности | Чувствительность, % Sensitivity, % | Специфичность, % Specificity, % | р |
ERα (железы) + Ki-67 (строма) | 0,9140 | 89,0 | 87,18 | 90,16 | <0,0001 |
ERα (железы) + PR (железы) + Ki-67 (строма) | 0,9601 | 90,0 | 89,74 | 90,16 | <0,0001 |
ERα (железы) + PR (железы и строма) + Ki-67 (строма) | 0,9689 | 93,0 | 89,74 | 95,08 | <0,0001 |
Выбранное уравнение обладает наибольшей прогностической ценностью совокупности предикторов (процент верного прогноза эффективности — 93%), а также высокой чувствительностью и специфичностью модели.
Уравнение имело следующий окончательный вид:
P =
где Р — вероятность эффекта от терапии, %; Х1 — экспрессиия ERα (железы); Х2 — экспрессия PR (железы); Х3 — экспрессия PR (строма); Х4 — экспрессия Ki-67 (строма); –37,10 — свободный член уравнения.
Для оценки вероятности эффективности лечения необходимо подставить в приведённую выше формулу значения переменных и получить вероятность наступления выздоровления. При Р <50% предполагаем, что событие не наступит, а при Р >50% — что наступит.
Выполнена проверка полученной модели на предмет её прогностической значимости. Для этого проведён ROC-анализ (рис. 8).
Рис. 8. ROC-кривая модели.
Fig. 8. ROC-curve of the model.
ROC-кривая характеризовалась значением AUC=0,969±0,016 (95% ДИ: 0,938–1,000), чувствительность — 89,74%, специфичность — 95,08%, т.е. прогнозирование результатов теста является точным и прогностическая способность модели оценивается как «отличная».
ОБСУЖДЕНИЕ
По данным исследований [7–9], эффективность различных схем гестагенотерапии варьирует в широких пределах — 54,8–97,0%. Причина такой вариабельности может быть обусловлена индивидуальным различием представленности рецепторов половых стероидных гормонов в патологической ткани эндометрия. В исследовании [16] доказано, что высокая рецептивность эндометрия ассоциирована с высокой чувствительностью патологической ткани к гормональной терапии. Однако не наблюдается прямой зависимости ответа на лечение с уровнем экспрессии только прогестероновых рецепторов. Известно, что экспрессия PRA коррелирует со степенью экспрессии ERα [18]. Сочетанное изучение уровня экспрессии ядерных рецепторов к эстрагенам и прогестерону также не дало однозначных ответов в отношении эффективности терапии [19]. Важным остаётся определение уровня экспрессии рецепторов половых стероидных гормонов дифференцированно в железистом и стромальном компартментах патологической ткани ГЭ. А.Л. Унанян и соавт. [20] показано, что более выраженным изменениям чувствительности подвержена строма, и это отражает важность микроокружения патологической ткани. Однако, как было сказано выше, определение экспрессии рецепторов к эстрогену и прогестерону (даже дифференцированно в двух компартментах ГЭ) не позволило с высокой долей вероятности определить вероятность ответа на гестагенотерапию [19]. В нашем исследовании помимо рецептивности патологической ткани мы изучали степень пролиферативной активности ткани ГЭ (уровень Ki-67) и выявили, что одномоментное определение уровня экспрессии ERα (железы) + PR (железы и строма) + Ki-67 (строма) позволяет определить эффективность терапии в 93% случаев.
ЗАКЛЮЧЕНИЕ
Сочетанное определение уровня экспрессии трёх параметров в двух компартментах патологической ткани (ERα (железы) + PR (железы и строма) + Ki-67 (строма)) — надёжный предиктор ответа на терапию. Использование предложенной модели прогнозирования позволит определить потенциальную эффективность терапии до её начала и отбирать только тех пациенток, кому гормональная терапия данными препаратами показана, что является основополагающим принципом персонализированной терапии.
Варианты лечения пациенток, которые прогностически не ответят на данный вариант терапии, требуют дальнейшего изучения и разработки иных подходов.
ДОПОЛНИТЕЛЬНО
Источник финансирования. Авторы заявляют об отсутствии внешнего финансирования при проведении исследования.
Конфликт интересов. Авторы декларируют отсутствие явных и потенциальных конфликтов интересов, связанных с публикацией настоящей статьи.
Вклад авторов. Все авторы подтверждают соответствие своего авторства международным критериям ICMJE (все авторы внесли существенный вклад в разработку концепции, проведение исследования и подготовку статьи, прочли и одобрили финальную версию перед публикацией). Наибольший вклад распределён следующим образом: Л.М. Михалёва — концепция и дизайн исследования, написание текста и редактирование статьи; Л.М. Каппушева — курация пациенток, написание текста и редактирование статьи; Г.Н. Голухов — курация пациенток, редактирование статьи; К.В. Щербатюк — cбор и обработка материала, написание текста и редактирование статьи; Д.С. Гуторова — обзор литературы, сбор и анализ литературных источников, написание текста и редактирование статьи; А.В. Овчинникова — cтатистическая обработка, обзор литературы; Б.И. Баисова — обзор литературы, сбор и анализ литературных источников, написание текста и редактирование статьи; В.Г. Бреусенко — написание текста и редактирование статьи.
ADDITIONAL INFORMATION
Funding source. This study was not supported by any external sources of funding.
Competing interests. The authors declare that they have no competing interests.
Authors’ contribution. All authors made a substantial contribution to the conception of the work, acquisition, analysis, interpretation of data for the work, drafting and revising the work, final approval of the version to be published and agree to be accountable for all aspects of the work.
L.M. Mikhaleva — сoncept and design of the study, writing the text and editing the article; L.M. Kappusheva — curation, writing the text and editing the article; G.N. Golukhov — curation, editing the article; K.V. Shcherbatyuk — data collection and processing, writing the text and editing the article; D.S. Gutorova — literature review, collection and analysis of literary sources, writing the text and editing the article; A.V. Ovchinnikova — literature review, statistical processing of the data; V.G. Breusenko — writing the text and editing the article; B.I. Baisova — literature review, collection and analysis of literary sources, writing the text and editing the article.
About the authors
Lyudmila M. Mikhaleva
Avtsyn Research Institute of Human Morphology of Petrovsky National Research Centre of Surgery; City Clinical Hospital N 31 of the Moscow Healthcare Department; Russian Medical Academy of Continuous Professional Education of the Ministry of Healthcare of the Russian Federation
Email: mikhalevalm@yandex.ru
ORCID iD: 0000-0003-2052-914X
SPIN-code: 2086-7513
MD, Dr. Sci. (Med.), Professor, Corresponding Member of the Russian Academy of Sciences
Russian Federation, Moscow; Moscow; MoscowLaura M. Kappusheva
N.I. Pirogov Russian National Research Medical University
Email: laura60@mail.ru
ORCID iD: 0000-0003-2804-2870
SPIN-code: 1391-4794
д.м.н., профессор
Russian Federation, MoscowGeorgiy N. Golukhov
City Clinical Hospital N 31 of the Moscow Healthcare Department; N.I. Pirogov Russian National Research Medical University
Email: info@gkb-31.ru
ORCID iD: 0000-0002-0161-005X
SPIN-code: 5414-2026
MD, Dr. Sci. (Med.), Professor, Corresponding Member of the Russian Academy of Sciences
Russian Federation, Moscow; MoscowKristina V. Shcherbatyuk
N.I. Pirogov Russian National Research Medical University
Author for correspondence.
Email: kv_shcherbatyuk@mail.ru
ORCID iD: 0000-0002-3773-6041
Russian Federation, Moscow
Dina S. Gutorova
N.I. Pirogov Russian National Research Medical University
Email: gutorova-d@rambler.ru
ORCID iD: 0000-0002-3597-2681
SPIN-code: 5809-1930
Russian Federation, Moscow
Anstasiya V. Ovchinnikova
City Clinical Hospital N 31 of the Moscow Healthcare Department; N.I. Pirogov Russian National Research Medical University
Email: a.ovchinnikova92@mail.ru
ORCID iD: 0000-0003-2601-8674
MD, Cand. Sci. (Med.)
Russian Federation, Moscow; MoscowBella I. Baisova
N.I. Pirogov Russian National Research Medical University
Email: agpf.gms@gmail.com
MD, Cand. Sci. (Med.), Associate Professor
Russian Federation, MoscowValentina G. Breusenko
N.I. Pirogov Russian National Research Medical University
Email: Breusenkovg@yandex.ru
ORCID iD: 0000-0001-6999-4654
SPIN-code: 8006-4445
MD, Dr. Sci. (Med.), Professor
Russian Federation, MoscowReferences
- Cree IA, White VA, Indave BI, Lokuhetty D. Revising the WHO classification: female genital tract tumours. Histopathology. 2020;76(1):151–156. doi: 10.1111/his.13977
- Dore M, Filoche S, Danielson K, Henry C. Efficacy of the LNG-IUS for treatment of endometrial hyperplasia and early stage endometrial cancer: can biomarkers predict response? Gynecol Oncol Rep. 2021;36:100732. doi: 10.1016/j.gore.2021.100732
- Orazov MR, Mikhaleva LM, Orekhov RE, et. al. Prevention of endometrial hyperplasia in women of reproductive age. Gynecology, Obstetrics and Perinatology. 2022;21(1):101–106. (In Russ). doi: 10.20953/1726-1678-2022-1-101-106
- WHO classification of tumours. Female genital tumours, WHO classification of tumours, Vol. 4. 5th ed. Lyon: IARC Press; 2020.
- Chernukha GE, Ivanov IA, Efendieva ZN, et al. Etiological structure and diagnosis of abnormal uterine bleeding. Gynecology. 2018;20(2):14–18. (In Russ). doi: 10.26442/2079-5696_2018.2.14-18
- Lacey JV Jr, Sherman ME, Rush BB, et al. Absolute risk of endometrial carcinoma during 20-year follow-up among women with endometrial hyperplasia. J Clin Oncol. 2010;28(5):788–792. doi: 10.1200/JCO.2009.24.1315
- Chandra V, Kim JJ, Benbrook DM, et. al. Therapeutic options for management of endometrial hyperplasia. J Gynecol Oncol. 2016;27(1):e8. doi: 10.3802/jgo.2016.27.e8
- Nooh AM, Abdeldayem HM, Girbash EF, et al. Depo-provera versus norethisterone acetate in management of endometrial hyperplasia without atypia. Reprod Sci. 2016;23(4):448–454. doi: 10.1177/1933719115623643
- Nees LK, Heublein S, Steinmacher S, et al. Endometrial hyperplasia as a risk factor of endometrial cancer. Arch Gynecol Obstet. 2022;306(2):407–421. doi: 10.1007/s00404-021-06380-5
- Kappusheva LM, Mikhaleva LM, Golukhov GN, et al. Immunohistochemical evaluation of the efficacy of therapy in female patients of reproductive age with ab-normal uterine bleeding and endometrial hyperplasia. Gynecology, Obstetrics and Perinatology. 2022;21:2:18–24. (In Russ). doi: 10.17116/rosakush20222205122
- Lin CY, Wu RC, Yang LY, et. al. MicroRNAs as predictors of future uterine malignancy in endometrial hyperplasia without atypia. J Pers Med. 2022;12:311. doi: 10.3390/jpm12020311
- Ponomarenko IV, Verzilina IN, Sorokina IN, et al. Polymorphism rs222003 of GC gene as a predictor of endometrial hyperplasia. Gynecology, Obstetrics and Perinatology. 2019;18(6):28–33. (In Russ). doi: 10.20953/1726-1678-2019-6-28-33
- Hutt S, Tailor A, Ellis P, et al. The role of biomarkers in endometrial cancer and hyperplasia: a literature review. Acta Oncol. 2019;58(3):342–352. doi: 10.1080/0284186X.2018.1540886
- Savelyeva GM, Breusenko VG, Kareva EN, et al. Investigation of the role of estrogen receptor and progesterone receptor gene expressions in the occurrence of endometrial proliferative processes to address the issue of management tactics for patients with these pathological changes in the endometrium. Russian Bulletin of Obstetrician-Gynecologist. 2018;18(6):1724. (In Russ). doi: 10.17116/rosakush20181806117
- Miкhaleva LM, Patsap OI, Bezuglova TV, et al. Novel clinical and morphological predictors of malignancy in patients with ovarian endometrioid cysts. Clinical and Experimental Morphology. 2021;10(1):21–32. (In Russ). doi: 10.31088/CEM2021.10.1.21-32
- Neal AS, Nunez M, Lai T, et al. Expression of stromal progesterone receptor and differential methylation patterns in the endometrium may correlate with response to progesterone therapy in endometrial complex atypical hyperplasia. Reprod Sci. 2020;27(9):1778–1790. doi: 10.1007/s43032-020-00175-w
- Mikhaleva LM, Solomatina AA, Kurtser MA, et al. Immunohistochemical phenotype of recurrent ovarian endometriomas. Clinical and Experimental Morphology. 2017;4(24):15–21. (In Russ).
- Kreizman-Shefer H, Pricop J, Goldman S, et al. Distribution of estrogen and progesterone receptors isoforms in endometrial cancer. Diagn Pathol. 2014;9:77. doi: 10.1186/1746-1596-9-77
- Raffone A, Travaglino A, Saccone G, et al. Should progesterone and estrogen receptors be assessed for predicting the response to conservative treatment of endometrial hyperplasia and cancer? A systematic review and meta-analysis. Acta Obstet Gynecol Scand. 2019;98(8):976–987. doi: 10.1111/aogs.13586
- Unanjan AL, Sidorova IS, Kogan EA, Baburin DV. Clinico-pathogenetic features of hyperplastic endometrial processes in women of perimenopausal age. RMJ. Medical Review. 2018;1(I):67–71. (In Russ).
Supplementary files










