人体主动脉壁平滑肌细胞的功能特征及其在动脉瘤发病机制中的意义
- 作者: Khovantseva U.S.1, Kiseleva D.G.1,2, Cherednichenko V.R.1, Fotin D.P.3, Bogatyreva A.I.1, Boyarskaya N.V.4, Chakal D.A.1, Breshenkov D.G.1, Markina Y.V.1, Malashicheva A.B.4, Charchyan E.R.1, Markin A.M.1
-
隶属关系:
- Petrovsky National Research Centre of Surgery
- Lomonosov Moscow State University
- Pirogov Russian National Research Medical University
- Almazov Federal Medical Research Centre
- 期: 卷 162, 编号 2 (2024)
- 页面: 174-188
- 栏目: Original Study Articles
- URL: https://journal-vniispk.ru/1026-3543/article/view/272641
- DOI: https://doi.org/10.17816/morph.634260
- ID: 272641
如何引用文章
详细
论证。胸主动脉瘤是一种慢性疾病,其特征是血管局部扩张,包括主动脉的升部、降部和弓部。动脉瘤是最危险的疾病之一,因为主动脉夹层或破裂可导致猝死。全世界每年有超过 15 万人死于主动脉瘤破裂。尽管这种疾病很普遍,但其发生发展的细胞机制仍不完全清楚。
目的 评估从动脉瘤患者胸主动脉 tunica intima 和 tunica media 分离的平滑肌细胞的吞噬活性和促炎激活能力。
材料和方法。实验是在从动脉瘤患者体内分离出的原代平滑肌细胞培养物上进行的。线性培养物 (间充质干细胞 ASC52telo、成纤维细胞 977hTERT、THP-1、CLTH-CL05008 和 EA.hy926)和从健康供体分离的平滑肌细胞被用作对照。通过向测试细胞中添加乳胶颗粒来研究其吞噬活性。使用 BDP 630/650 染料(Lumiprobe,俄罗斯)和生化方法评估了内化低密度脂蛋白的能力。使用酶免疫测定法对促炎和抗炎激活能力进行了评估,该方法可测量分泌细胞因子的数量:IL-8、IL-6 和 IL-10。
结果。研究表明,所研究的细胞具有很高的吞噬活性和内化低密度脂蛋白的能力。因此,与健康供体的平滑肌细胞相比,中膜(介质)的原代平滑肌细胞具有更高的吞噬活性(p <0.001)。此外,与健康供体的平滑肌细胞相比,中膜平滑肌细胞在与乳胶颗粒孵育后分泌的 IL-6 明显更高(p <0.001)。 此外,与健康供体的平滑肌细胞相比,主要从内鞘(内膜)分离出来的平滑肌细胞在与低密度脂蛋白孵育后分泌的 IL-6 更高(p <0.001)。
结论。乳胶颗粒和低密度脂蛋白的摄取会刺激主要从动脉瘤患者主动脉壁内膜和介质平滑肌细胞中分离出来的平滑肌细胞分泌促炎性 IL-6。
全文:
ОБОСНОВАНИЕ
Аневризма грудной аорты (АГА) — это хроническое заболевание, характеризующееся патологическим расширением сосуда, появляющееся по всей его длине, включая восходящую, нисходящую части аорты и дугу. Аневризма аорты является опасным заболеванием, так как может привести к расслоению или разрыву аорты, что во многих случаях приводит к смерти пациента [1]. Ежегодно от разрыва аневризмы аорты умирает более 150 тыс. человек по всему миру, из них 1/4 приходится на АГА [2]. Несмотря на распространённость этого заболевания, клеточные механизмы его развития остаются не до конца изученными [3], но во многом они связаны с изменениями нормального клеточного состава оболочек аорты. Так, стенка аорты состоит из внутренней оболочки — tunica intima, средней оболочки — tunica media и наружной оболочки — tunica adventitia [4]. Каждая оболочка представляет собой сложную систему волокон соединительной ткани, клеток мезенхимного происхождения и нервных элементов в наружной оболочке [5]. Оболочки аорты включают в себя разнообразные группы клеток, такие как гладкомышечные клетки (ГМК), фибробласты, эндотелиальные клетки, мультипотентные стромальные клетки, перициты vasa vasorum и др. [6].
Внутренняя оболочка стенки аорты состоит из рыхлой волокнистой соединительной ткани с эластическими волокнами и выстлана пластом эндотелиальных клеток. Известно, что при развитии аневризмы эндотелиальные клетки сталкиваются со стрессовыми факторами при воспалении или повреждении сосуда. Это напрямую влияет на нарушение важнейших функций, реализуемых этой клеточной группой, а именно: поддержание системного гемостаза, регуляция сосудистого тонуса, рост кровеносных сосудов, модуляция процессов воспаления и др. [7]. Нарушение целостности структуры эндотелия приводит к инициации заболеваний сердечно-сосудистой системы, например атеросклероза, который является одной из причин развития аневризмы. Атеросклероз характеризуется сужением просвета сосудов за счёт образования атеросклеротических бляшек (АСБ). АСБ состоит из липидно-некротического ядра и покрышки. Покрышка бляшки имеет гетерогенную структуру, которая состоит из ГМК, коллагеновых волокон, иммунокомпетентных клеток (макрофаги, тучные клетки) и клеток эндотелия [8]. Кроме того, в ряде исследований было показано, что макрофаги, входящие в состав АСБ у пациентов с атеросклерозом, могут активно интернализовать липопротеины низкой плотности (ЛПНП), в результате чего начинают активно секретировать провоспалительные факторы (IL-6, IL-1β) [9], которые усугубляют течение сердечно-сосудистых заболеваний.
Средняя оболочка стенки аорты состоит из наружной эластической мембраны и пучков гладких миоцитов. Основной функцией ГМК является регуляция тонуса сосудов за счёт их способности сокращаться. Нарушение сократительной функции ГМК ведёт к развитию аневризмы. Причиной развития этого может быть описанный ранее феномен переключения фенотипов ГМК между сократительным (типичные клетки, «нормальный» или «здоровый» фенотип) и синтетическим (нетипичные ГМК, «патологический» фенотип) в ответ на патологическую стимуляцию [10]. Типичные ГМК характеризуются мощным сократительным аппаратом (гладкомышечный актин αSMA и миозин SM–MHC) [11], тогда как в клетках синтетического фенотипа ГМК эти белки представлены в значительно меньших количествах. Кроме того, при развитии аневризмы ГМК медии могут мигрировать в субэндотелиальное пространство интимы, где они пролиферируют и производят внеклеточный матрикс [12]. Предполагается, что нарушение регуляции фенотипического переключения является ключевым процессом в формировании аневризмы аорты, однако механизмы этого процесса остаются до сих пор не до конца изученными. Недавние транскриптомные исследования показали, что ГМК стенки аорты — гораздо более динамичная клеточная популяция, чем считалось ранее [13]. Применение метода транскриптомного анализа единичных клеток показало, что патологический фенотип ГМК представлен набором гетерогенных клеточных популяций. Среди них выделяют сократительные, макрофагоподобные, мезенхимоподобные, фибробластоподобные, остеогенноподобные и адипоцитоподобные ГМК [14, 15]. На сегодняшний день нет адекватных лабораторных инструментов для контролируемого фенотипического переключения внутри популяции сосудистых ГМК, поэтому в ходе нашей работы в качестве контроля для сравнения особенностей первичных ГМК больных аневризмой были использованы линейные клеточные культуры, соответствующие множеству фенотипов ГМК, обнаруженных методом анализа транскриптома единичных клеток.
Наружная оболочка стенки аорты образована фибробластами и волокнистой соединительной тканью с сетью кровеносных сосудов vasa vasorum и нервами сосудов nervi vasorum [16]. Фибробласты секретируют внеклеточный матрикс, обеспечивая структурную целостность tunica adventitia, но при развитии аневризмы в попытке ликвидировать повреждение они могут превращаться в миофибробласты. Они в свою очередь способны к миграции в очаг повреждения. Миофибробласты способны ремоделировать межклеточный матрикс и секретировать провоспалительные цитокины [17], усиливая воспалительную реакцию [18].
Многие исследователи связывают очаговый характер развития некоторых сердечно-сосудистых заболеваний (ССЗ) с перицитами аорты. Эти клетки являются важными компонентами мелких кровеносных сосудов и обнаруживаются в vasa vasorum адвентициальной оболочки аорты человека. В норме основная функция перицитов заключается в регулировании диаметра просвета и капиллярного протока посредствам сокращения. Учёные показали, что при различных функциональных нарушениях сократительная способность перицитов снижается, что предположительно приводит к развитию аневризмы [19]. В связи с вышеизложенным изучение функциональных особенностей клеток, входящих в состав аорты человека, является актуальной задачей на сегодняшний день.
Целью настоящего исследования являлась оценка фагоцитарной активности и способности к провоспалительной активации гладкомышечных клеток, выделенных из tunica intima и tunica media грудной части аорты человека у пациентов, больных аневризмой.
МАТЕРИАЛЫ И МЕТОДЫ
Проведено экспериментальное проспективное одноцентровое выборочное контролируемое нерандомизированное исследование.
В исследование было включено 30 пациентов, из них 4 женщины и 26 мужчин в возрасте от 40 до 72 лет с диагнозом «аневризма корня и восходящего отдела аорты», требующим хирургического лечения и предусматривающим манипуляции с тканями аорты и эксплантацию её поражённых сегментов. Учитывая общую нозологию пациентов, в данных группах статистически значимого влияния пола и возраста на исследуемые параметры не обнаружено.
Работа выполнена на клеточных линиях и культурах первичных клеток (табл. 1).
Таблица 1. Клеточные линии, использованные в исследовании
Table 1. Cell lines used in the study
Группы сравнения | Исследуемые группы |
• мезенхимные стволовые клетки ASC52telo (ATCC, США. Клеточная линия была получена на некоммерческой основе из хранилища клеток в рамках проекта «Ноев ковчег» Московского государственного университета имени М.В. Ломоносова); • фибробласты 977hTERT (ATCC, США); • макрофаги THP-1, индуцированные PMA (phorbol-12-myristate-13-acetate) (ATCC, США); • перициты мозга человека CLTH-CL05008 (AMSBIO, Великобритания); • эндотелиальные клетки EA.hy926 (ATCC, США); • первичные гладкомышечные клетки, полученные от здоровых доноров | • первичные гладкомышечные клетки, выделенные преимущественно из интимы аорты человека, полученные от больных с аневризмой корня и восходящей аорты; • первичные гладкомышечные клетки, выделенные из медии аорты человека, полученные от больных с аневризмой корня и восходящей аорты; • первичные клетки, выделенные из адвентиции аорты человека, полученные от больных с аневризмой корня и восходящей аорты |
Первичные ГМК от здоровых доноров были переданы сотрудниками ФГБУ «Национальный медицинский исследовательский центр имени В.А. Алмазова» Министерства здравоохранения РФ. Образцы стенки аорты, полученные в ходе операции по протезированию аорты, были переданы сотрудниками I кардиохирургического отделения Российского научного центра хирургии имени академика Б.В. Петровского. Отделение внутренней и средней оболочек аорты друг от друга производили механически в асептических условиях. Перед ферментативным расщеплением вырезали небольшой кусочек ткани, фиксировали 4% параформальдегидом (ПФА) («ПанЭко», Россия) для дальнейшего гистологического анализа. Первичную культуру ГМК выделяли из оболочек грудной аорты человека с помощью коллагеназы I типа (StemCell, США), как описано ранее [20]. Полученные клетки высевали в 24-луночный планшет и культивировали в 0,6 мл среды DMEM/F12 («ПанЭко», Россия), содержащей 2 мМ L-глутамина, пенициллина, стрептомицина и 10% эмбриональной телячьей сыворотки (Biowest, Франция) при 37 °C и 5% CO2. В экспериментах использовали клетки на 2–7 пассажах.
Выделенные ГМК иммунофенотипировали с помощью иммуноцитохимического окрашивания следующими антителами: против гладкомышечного актина ACTA2 (1:100; Abcam, Великобритания, кат. № ab220179), против десмина (1:100; Abcam, Великобритания, кат. № ab15200) и против маркёра тяжёлой цепи миозина MYH 11 (1:100; Cloud-Clone Corp., Китай, кат. № PAD420Hu01) по протоколу производителя. В качестве вторичных антител применяли Goat Anti-Mouse IgG H+L (PE) (1:100; Abcam, Великобритания, кат. № ab97024) и Goat Anti-Rabbit IgG H+L (FITC) (1:100; Abcam, Великобритания, кат. № ab6717). Ядра докрашивали с помощью флуоресцентного красителя DAPI (BioFroxx, Germany, кат. № 28718-90-3) по протоколу производителя. Для заключения препаратов применяли среду Aqueous Mounting Medium (Abcam, Великобритания, кат. № ab128982). Полученные препараты анализировали с помощью флуоресцентного микроскопа Leica DM4000 B LED (Leica Biosystems, Германия) и соответствующего программного обеспечения LAS-AF viewer v. 3.1.0 build 8587.
Для изучения фагоцитарной активности исследуемые клетки высевали в 24-луночные планшеты по 600 тыс. клеток в лунку в 0,6 мл среды DMEM/F12, содержащей 2 мМ L-глутамина, пенициллина, стрептомицина и 10% эмбриональной телячьей сыворотки. Далее исследуемые клетки инкубировали с различными веществами.
- Инкубация с латексными частицами FluoSpheres carboxylate, yellow-green 505/515, 0,5 мкм (Thermo Fisher Scientific, США, кат. № F8803) [21]. Частицы добавляли к клеткам в среде DMEM/F12, содержащей 10% сыворотки. Клетки инкубировали с частицами латекса в течение 3 ч. После окончания инкубации клетки тщательно промывали фосфатно-солевым буфером, чтобы удалить частицы с поверхности клеток. Эффективность отмывки клеток от частиц латекса контролировали с помощью микроскопа Zeiss Axiovert 40 CFL (Zeiss, Германия). После промывки клетки открепляли 0,25% раствором трипсина («ПанЭко», Россия), высевали по 50 тыс. клеток в 150 мкл среды DMEM/F12 на чашки Петри диаметром 35 мм с покровным стеклом («ПанЭко», Россия) и инкубировали 24 ч при 37 °C, 5% CO2. Далее фиксировали 4% раствором ПФА («ПанЭко», Россия) и докрашивали ядра с помощью флуоресцентного красителя DAPI. Препараты заключали с помощью монтирующей среды. Полученные препараты анализировали с помощью флуоресцентного микроскопа Leica DM4000 B LED (Leica Biosystems, Германия). Съёмку препаратов проводили на трёх каналах: DAPI, FITC, PMC и далее комбинировали их с помощью соответствующего программного обеспечения LAS-AF viewer v. 3.1.0 build 8587. Анализ полученных изображений проводили с помощью программного обеспечения ImageJ. В исследуемых культурах определяли долю клеток, содержащих латексные частицы в цитоплазме. На каждом препарате считали количество поглощённых микросфер в 10 клетках в 5 полях зрения с увеличением микроскопа 200. Фагоцитарную активность клеток оценивали по количеству частиц, приходящихся на одну клетку, далее нормировали количество поглощённых латексных частиц на площадь изучаемых клеток.
- Инкубация с атерогенными ЛПНП [22]. Для получения ЛПНП использовали кровь пациентов, страдающих ССЗ. ЛПНП получали путём ультрацентрифугирования по ранее описанному протоколу [23]. ЛПНП (100 мкг/мл) добавляли к клеткам в среде DMEM/F12 без добавления сыворотки и инкубировали в течение 24 ч. Контрольную группу клеток инкубировали в среде без добавления ЛПНП. Затем исследуемые клетки открепляли 0,25% раствором трипсина, высевали по 50 тыс. клеток в 150 мкл среды DMEM/F12 на чашки Петри диаметром 35 мм с покровным стеклом и инкубировали 24 ч при 37 °C, после чего фиксировали 4% раствором ПФА. Накопление липидных капель оценивали с использованием флуоресцентного красителя для липидов BDP 630/650 (5 мМ) (Lumiprobe, Россия, кат. № 1233) [24]. Все клеточные линии окрашивали BDP 630/650 после фиксации в ПФА в течение 20 мин при 37 °C в темноте, затем промывали фосфатно-солевым буфером и заключали с помощью монтирующей среды.
При помощи программы ImageJ измеряли интенсивность флуоресценции красителя BDP 630/650 в исследуемых клетках. Для валидации результатов использовали ферментативный колориметрический метод с помощью набора Cholesterol Liquicolor (HUMAN, Германия) по модифицированной методике Фолча [25], белок определяли по методу Лоури [26].
В ходе эксперимента в каждой клеточной линии выделяли по 3 исследуемые группы:
После экспериментов собирали культуральную жидкость с каждой лунки для проведения иммуноферментного анализа (ИФА) с помощью наборов DuoSet ELISA (R&D Systems, США) для количественной оценки секреции провоспалительных (IL-6, IL-8) и противовоспалительного цитокина (IL-10). ИФА проводили по протоколу производителя.
Этическая экспертиза
Исследование было одобрено локальным этическим комитетом Национального исследовательского центра хирургии им. академика Б.В. Петровского (протокол № 8 от 20 октября 2022 г.). Все участники исследования до включения в исследование добровольно подписали форму информированного согласия, утверждённую в составе протокола исследования этическим комитетом.
Методы статистической обработки
Статистический анализ полученных данных был проведён с использованием языка программирования Python. Статистическую значимость оценивали с помощью критерия Краскела–Уоллиса и теста Коновера для множественного сравнения. Статистически значимыми считали различия при вероятности ошибки отклонения от нулевой гипотезы ниже 5% (p <0,05). Все значения были нормированы по масштабированию на минимальные и максимальные (min–max scaler).
РЕЗУЛЬТАТЫ
В ходе исследования было показано, что изучаемые клеточные линии обладают разной фагоцитарной активностью (рис. 1).
Рис. 1. Клеточные линии после инкубации с латексными частицами. Докраска ядер DAPI: a — первичные гладкомышечные клетки из tunica media; b — мезенхимные стволовые клетки ASC52telo; c — фибробласты 977hTERT; d — первичные клетки, выделенные из tunica adventitia. Масштабный отрезок — 100 мкм.
Fig. 1. The studied cell lines after incubation with latex beads. Coloring of DAPI nuclei: a — primary smooth muscle cells isolate from tunica media; b — ASC52telo mesenchymal stem cells; c — fibroblasts 977hTERT; d — primary cells isolated from tunica adventitia. The scale segment is 100 microns.
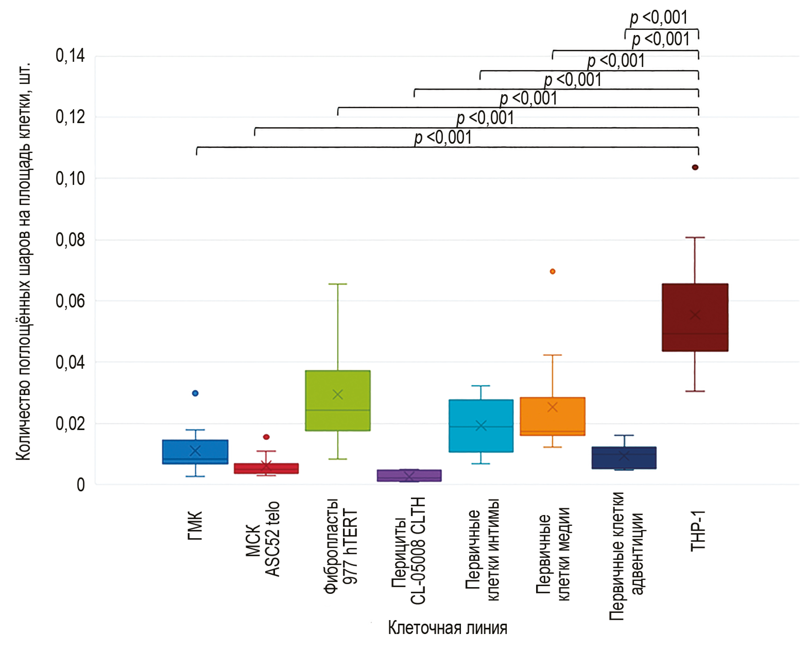
Статистический анализ фагоцитарной активности изучаемых клеточных линий показал, что среднее количество поглощённых латексных частиц в клетках на мкм2 составило: для ТНР-1 0,055±0,022 шт.; для ГМК от здоровых доноров 0,011±0,008 шт.; для мезенхимных стволовых клеток (МСК) 0,006±0,004 шт.; для фибробластов 0,029±0,019 шт.; для перицитов 0,003±0,002 шт.; для клеток, выделенных из интимы, 0,019±0,009 шт.; для клеток, выделенных из медии, 0,025±0,018 шт.; и для клеток, выделенных из адвентиции, 0,009±0,004 шт.
В качестве линии сравнения была выбрана клеточная линия профессиональных фагоцитов THP-1 [27], которая показала статистически более значимый уровень фагоцитоза по сравнению с остальными клеточными линиями (p <0,001) (рис. 2).
Рис. 2. Уровень статистической значимости межгрупповых различий в исследуемых группах после инкубации изучаемых клеток с латексными частицами. ГМК — гладкомышечные клетки; МСК — мезенхимные стволовые клетки.
Fig. 2. The level of statistical significance of intergroup differences in the studied groups after incubation of the cells with latex beads. ГМК — smooth muscle cells; МСК — mesenchymal stem cells.
Из полученных результатов видно, что фибробласты 977hTERT фагоцитируют латексные частицы активнее, чем ГМК от здоровых доноров (p <0,001), ГМК, выделенные преимущественно из интимы (p <0,05), клетки адвентиции (p <0,001) и перициты CL05008-CLTH (p <0,001). Кроме того, первичные клетки медии обладают большей фагоцитарной активностью, чем ГМК от здоровых доноров (p <0,001), первичные клетки адвентиции (p <0,001) и перициты (p <0,001). Самая низкая фагоцитарная активность наблюдалась у МСК ASC52telo и перицитов CL-05008 CLTH. Полученные данные могут указывать на то, что у ГМК, выделенных преимущественно из интимы, и ГМК медии больных аневризмой в условиях in vitro увеличивается скорость эндоцитоза, поэтому они поглощают латексные частицы активнее, чем ГМК, выделенные у здоровых доноров.
Таблица 2. Медианные значения относительного показателя нормализованной интенсивности флуоресценции красителя BDP 630/650 в изучаемых клеточных линиях на мкм2, у.е., Ме [25%; 75%]
Table 2. The median values of the relative index of the normalized fluorescence intensity of the BDP 630/650 dye in the studied cell lines per µm2 in cell (a.u.), Me [25%; 75%]
Клеточная линия | THP-1 | Фибробласты 977hTERT | ГМК от здоровых доноров | МСК ASC52telo | EA.hy926 | ГМК, выделенные преимущественно из интимы |
Без ЛПНП, ×10–4 | 7 [5; 8] | 7 [5; 8] | 3 [2; 4] | 7 [6; 8] | ||
После инкубации с ЛПНП, ×10–4 | 20 [20; 20] | 10 [10; 10] | 2 [2; 2] | 6 [4; 7] | 20 [10; 20] | |
Значимость, p | <0,001 | <0,001 | <0,001 | <0,001 | <0,001 | <0,001 |
Примечание. ГМК — гладкомышечные клетки; МСК — мезенхимные стволовые клетки; ЛПНП — липопротеины низкой плотности.
Note. ГМК — smooth muscle cells; МСК — mesenchymal stem cells; ЛПНП — low-density lipoprotein.
При анализе способности клеточных линий интернализовать ЛПНП с использованием красителя BDP выявлено, что способность образовывать липидные капли значимо отличается между различными линиями. Так, в клеточных линиях без добавления ЛПНП средняя интенсивность флуоресценции красителя BDP на мкм2 в клетке была значимо ниже, чем в клетках после инкубации с ЛПНП (табл. 2). Из таблицы видно, что накопление холестерина в ГМК, выделенных преимущественно из интимы, ниже, чем в ГМК, полученных от здоровых доноров. Это может указывать на то, что при аневризме аорты снижается аккумулятивная способность ГМК за счёт изменения их функциональных особенностей.
В ходе анализа ферментативным колориметрическим методом было выявлено значимое увеличение соотношения холестерина к белку в ГМК, выделенных преимущественно из интимы, фибробластах и перицитах после инкубации с ЛПНП по сравнению с контрольной группой клеток. В остальных клеточных линиях значимых отличий накопления холестерина не выявлено. Полученные данные представлены в табл. 3.
Таблица 3. Медианные значения относительного показателя нормализованного отношения холестерина к белку на клетку в исследуемых клеточных линиях, у.е., Ме [25%; 75%]
Table 3. The median values of the relative index of the normalized ratio of cholesterol to protein per in the studied cell lines (a.u.), Me [25%; 75%]
Клеточная линия | THP-1 | Фибробласты 977hTERT | МСК ASC52telo | EA.hy926 | Перициты CL05008-CLTH | ГМК, преимущественно из интимы |
Без ЛПНП | 0,10 | 0,18 | 0,30 | 0,46 | 0,43 | 0,08 |
После инкубации с ЛПНП | 0,13 | 0,32 | 0,35 | 0,56 | 0,82 | 0,19 |
Значимость, p | >0,05 | <0,01 | >0,05 | >0,05 | <0,01 | <0,05 |
Примечание. ГМК — гладкомышечные клетки; МСК — мезенхимные стволовые клетки; ЛПНП — липопротеины низкой плотности.
Note. ГМК — smooth muscle cells; МСК — mesenchymal stem cells; ЛПНП — low-density lipoprotein.
При анализе культуральной жидкости было выявлено, что способность секретировать провоспалительные (IL-6 и IL-8) и противовоспалительный (IL-10) цитокины значительно отличается между различными клеточными группами. Во время исследования было проанализировано 9 клеточных линий, которые включали в себя по 3 группы. Для каждого цитокина было проведено 3 повторных эксперимента.
Результаты измерений секреции IL-6, IL-8 и IL-10 в исследуемых клеточных линиях в группах после инкубации с ЛПНП и микросферами, а также в контроле представлены в табл. 4.
Таблица 4. Медианное значение абсолютного показателя секреции цитокинов (IL-8, IL-6, IL-10) на 500 тыс. исследуемых клеток, пг/мл, Ме [25%; 75%]
Table 4. The median value of the absolute index of secreted cytokines (IL-8, IL-6, IL-10) in the studied cells (pg/ml), Me [25%; 75%]
Секретируемый цитокин | Клеточная линия | Группа | Статистическая значимость, p | ||
Контроль (1) | ЛПНП (2) | Латексные частицы (3) | |||
IL-8 | THP-1 | 97 900 | 96 882 | 13 932 | p(1–3) <0,05 p(2–3) <0,05 |
ГМК, выделенные преимущественно из интимы | 169 [155; 180] | 423 [383; 487] | 514 [415; 585] | p(1–2) <0,01 p(1–3) <0,01 | |
Первичные ГМК медии | 526 [410; 647] | 450 [318; 553] | 847 | p(2–3) <0,05 | |
Первичные клетки адвентиции | 388 [255; 454] | 708 [569; 764] | 307 [246; 388] | p(1–2) <0,05 p(2–3) <0,01 | |
ГМК от здоровых доноров | 2342 | 2081 | 1927 | p >0,05 | |
EA.hy926 | 678 [402; 913] | 1235 | 277 [156; 613] | p(1–3) <0,05 p(2–3) <0,01 | |
Перициты CLTH-CL05008 | 10 473 | 26 842 | 4012 | p(2–3) <0,05 | |
МСК ASC52telo | 440 [331; 879] | 1973 | 2914 | p(1–2) <0,01 p(1–3) <0,01 | |
Фибробласты 977hTERT | 124 [86; 228] | 296 [219; 331] | 286 [197; 496] | p(1–2) <0,05 p(1–3) <0,05 | |
IL-6 | THP-1 | 80 [16; 118] | 876[285; 904] | 5[4; 12] | p(1–2) <0,01 p(1–3) <0,01 |
ГМК, выделенные преимущественно из интимы | 1439 | 1181 | 135 [126; 410] | p(1–2) <0,01 p(2–3) <0,01 | |
Первичные ГМК медии | 1862 | 1247 | 2026 | p >0,05 | |
Первичные клетки адвентиции | 962 | 1722 | 833 | p >0,05 | |
ГМК от здоровых доноров | 823 | 833 | 629 [479; 775] | p >0,05 | |
EA.hy926 | 58 [21; 94] | 116 [95; 154] | 26 [24; 27] | p(1–2) <0,05 p(2–3) <0,05 | |
Перициты CLTH-CL05008 | 489 [159; 678] | 2087 | 334 [92; 436] | p(1–2) <0,01 p(2–3) <0,05 | |
МСК ASC52telo | 1270 | 606 [413; 852] | 683 | p >0,05 | |
Фибробласты 977hTERT | 61 [57; 67] | 166 [88; 244] | 98 [59; 142] | p(1–2) <0,05 | |
IL-10 | THP-1 | 170 [128; 1003] | 183 [149; 1084] | 208 [176; 1105] | p >0,05 |
ГМК, выделенные преимущественно из интимы | 130 [108;1367] | 132 [129; 1456] | 168 [165; 1279] | p >0,05 | |
Первичные ГМК медии | 117 [98; 123] | 126 [104; 128] | 126 [123;146] | p >0,05 | |
Первичные клетки адвентиции | 74 [66; 90] | 76 [63; 104] | 109 [74; 114] | p >0,05 | |
ГМК от здоровых доноров | 177 [169; 209] | 205 [18; 242] | 230 [209; 260] | p >0,05 | |
EA.hy926 | 93 [79; 114] | 117 [93; 129] | 109 [86; 129] | p >0,05 | |
Перициты CLTH-CL05008 | 221 [169; 252] | 250 [189;284] | 256 [171; 278] | p >0,05 | |
МСК ASC52telo | 178 [148; 201] | 199 [145; 210] | 196 [149; 233] | p >0,05 | |
Фибробласты 977hTERT | 202 [161; 301] | 167 [130; 220] | 185 [139; 227] | p >0,05 | |
Примечание. ГМК — гладкомышечные клетки; МСК — мезенхимные стволовые клетки; ЛПНП — липопротеины низкой плотности.
Note. ГМК — smooth muscle cells; МСК — mesenchymal stem cells; ЛПНП — low-density lipoprotein.
Как следует из полученных результатов, в ГМК, выделенных преимущественно из интимы аорты человека, после инкубации с ЛПНП секреция IL-8 была значительно ниже, чем в клетках без добавления веществ (p <0,001). В клетках, выделенных из медии аорты человека, секреция IL-8 была значительно выше в группе после инкубации с микросферами по сравнению с группой клеток после инкубации с ЛПНП (p <0,05). В первичных клетках адвентиции аорты человека секреция IL-8 в группе клеток после инкубации с ЛПНП была значительно выше, чем в клетках без добавления веществ (p <0,05) и чем в клетках после инкубации с микросферами (p <0,01). В эндотелиальных клетках EA.hy926 секреция IL-8 после инкубации с ЛПНП была значительно выше, чем в группе клеток без добавления веществ (p <0,001) и клетках после инкубации с микросферами (p <0,001). В МСК ASC52telo в контрольной группе клеток секреция IL-8 была значительно ниже, чем в группе клеток после инкубации с ЛПНП (p <0,001) и группе клеток после инкубации с микросферами (p <0,001). Полученные данные демонстрируют, что в ГМК, выделенных преимущественно из интимы, и в ГМК медии аорты пациентов, больных аневризмой после провоспалительной активации увеличивается секреция провоспалительных цитокинов.
Полученные результаты демонстрируют более высокую секрецию IL-6 в группе клеток после инкубации с ЛПНП по сравнению с контролем и группой после инкубации с микросферами. Так, в клетках THP-1 после инкубации с ЛПНП секреция IL-6 была значительно выше, чем в контрольной группе (p <0,001) и группе после инкубации с микросферами (p <0,001). В ГМК, выделенных преимущественно из интимы аорты человека, без добавления веществ и после инкубации с ЛПНП статистически значимых различий в секреции IL-6 выявлено не было. В клеточной линии перицитов CLTH-CL05008 после инкубации с ЛПНП секреция IL-6 была значительно выше, чем в контрольной группе (p <0,001) и клетках, после инкубации с микросферами (p <0,001).
Оценка секреции противовоспалительного IL-10 также значительно отличалась в различных клеточных линиях. Так, в клеточной линии THP-1, перицитах CL05008-CLTH, первичных ГМК аорты и МСК ASC52telo секреция IL-8 была выше по сравнению с остальными клеточными линиями. Между группами внутри каждой клеточной линии статистически значимые различия обнаружены не были.
ОБСУЖДЕНИЕ
В ходе исследования было показано, что первичные ГМК стенки аорты способны активно накапливать липиды в цитоплазме после инкубации с ЛПНП, а также активно участвовать в процессе фагоцитоза, поэтому они могут использоваться в качестве объектов для изучения функциональных и клеточных особенностей развития аневризмы.
Известно, что процесс поглощения ЛПНП происходит с помощью ЛПНП-рецептора (LDLR), который распознаёт аполипопротеин B, входящий в состав ЛПНП [28]. Несмотря на то, что значение LDLR в отношении липидов хорошо известно, его значение в процессе развития ССЗ недостаточно изучено [29]. В нашем исследовании было рассмотрено, как интернализация ЛПНП клетками, входящими в состав стенки аорты, влияет на развитие ССЗ, в том числе аневризмы. В работе было продемонстрировано, что процесс накопления холестерина увеличивает секрецию IL-6 и IL-8 в исследуемых клеточных линиях. Это связано с тем, что эндоцитоз частиц ЛПНП опосредован LDLR [30]. LDLR связывает частицы ЛПНП на поверхности клеток и высвобождает их в эндосомы, в ходе чего активируется путь NF-kB [31], который запускает синтез провоспалительных цитокинов, хемокинов и молекул адгезии [32].
Настоящее исследование продемонстрировало высокую способность изучаемых клеток мезенхимного происхождения к фагоцитозу. Из полученных результатов видно, что фагоцитарная активность профессиональных фагоцитов THP-1 в два раза выше, чем у клеток, выделенных из медии аорты человека. Основными участниками процесса фагоцитоза являются фагосомы и фаголизосомы, в состав которых входят около 600 различных белков [33]. Однако на сегодняшний день молекулярные механизмы, участвующие в процессе фагоцитоза, и ремоделирование клеточной поверхности изучены не полностью. Конкретный путь, по которому идёт фагоцитоз, и участвующие в нём мембранные белки зависят от типа клеток, которые участвуют в процессе фагоцитоза, и размера поглощаемых частиц. В исследовании мы продемонстрировали, что секреция провоспалительных цитокинов IL-6 и IL-8 увеличивается во всех исследуемых клетках, кроме THP-1, в процессе фагоцитоза латексных частиц. На сегодняшний день есть несколько предполагаемых путей фагоцитоза латексных частиц и активации секреции провоспалительных молекул. Так, есть исследование, где говорится о том, что механизм эндоцитоза будет зависеть от размера латексной частицы, которую поглощает клетка. Если латексная частица меньше 200 мкм, то поглощение будет идти по клатрин-опосредованному пути. Если же размер латексной частицы будет больше 200 мкм, то поглощение происходит за счёт механизма, основанного на интернализации, опосредованной кавеолами [34]. Так как в состав кавеол входят сфинголипиды, такие как холестерин, то при поглощении латексных частиц может происходить интернализация ЛПНП [35], в ходе которой будет происходить активация LDLR и, следовательно, секреция цитокинов по пути, который был описан выше. Размер латексных частиц, которые мы использовали в нашей работе, составил 500 мкм. В ходе исследования было показано, что МСК и фибробласты после инкубации с латексными частицами активно секретируют провоспалительные цитокины, что подтверждает предположение, о том, что поглощение клеткой частиц размером более 200 мкм идёт за счёт механизма, основанного на интернализации, опосредованной кавеолами.
Однако секреция провоспалительных цитокинов в клеточной линии THP-1 в группе после инкубации с микросферами не имела статистических различий по сравнению с контрольной группой. Это может быть связано с тем, что в мембране макрофагов M1 и M2 расположены липидные рафты, содержащие рецепторы-мусорщики SR (scavenger receptor), активация которых ведёт к развитию провоспалительного ответа клетки. При взаимодействии латексных частиц с SR происходит перестройка актинового цитоскелета клетки, что приводит к фагоцитозу, в ходе чего активируется инфламмасома, и клетки начинают активно секретировать провоспалительные цитокины [36]. В нашем исследовании моноцитарную клеточную линию THP-1 мы активировали с помощью PMA для их дифференцировки в макрофаги M0. Так как макрофаги M0 не имеют в своей структуре SR, активация которых ведёт к провоспалительному ответу клетки, то можно предположить, что фагоцитоз идёт по механизму, в ходе которого не происходит секреция провоспалительных цитокинов.
Кроме того, в настоящем исследовании мы изучали про- и противовоспалительный ответ первичных ГМК, выделенных из стенки аорты от пациентов, больных аневризмой, по сравнению с клетками группы сравнения. Результаты исследования демонстрируют высокий уровень секреции IL-6 в первичных ГМК медии по сравнению с ГМК от здоровых доноров. Это может быть связано с тем, что ГМК медии при развитии аневризмы приобретают фенотип, ассоциированный с секрецией провоспалительных цитокинов. Это подтверждает, что фенотипический переход ГМК может являться ключевым событием в процессе развития воспаления внутри оболочки сосуда [11].
Баланс между секрецией про- и противовоспалительных цитокинов играет важную роль в развитии ССЗ. Развитие воспалительных процессов, деградация внеклеточного матрикса и апоптоз клеток сосуда при ССЗ зависят от количества секретируемых цитокинов [37]. В нашем исследовании мы измеряли секрецию IL-10 во всех исследуемых клеточных линиях. Было показано, что в клетках после инкубации с ЛПНП или микросферами секреция IL-10 увеличивалась, но незначительно. Это может свидетельствовать о том, что IL-10 оказывает противовоспалительное действие при развитии ССЗ [38, 39].
ЗАКЛЮЧЕНИЕ
Гладкомышечные клетки, выделенные от пациентов, больных аневризмой, обладают высокой фагоцитарной активностью. Поглощение латексных частиц и ЛПНП стимулирует секрецию провоспалительного IL-6 ГМК, выделенными преимущественно из интимы, и ГМК медии, входящими в состав стенки аорты больных аневризмой. Это может свидетельствовать о вовлечённости таких процессов в патогенез аневризмы. Полученные данные о функциональных возможностях исследуемых клеток расширяют наши знания о значении ГМК в развитии ССЗ и являются предпосылкой для будущих исследований.
ДОПОЛНИТЕЛЬНАЯ ИНФОРМАЦИЯ
Источник финансирования. Исследование проведено при поддержке Российского научного фонда (грант № 22-65-00089).
Конфликт интересов. Авторы декларируют отсутствие явных и потенциальных конфликтов интересов, связанных с публикацией настоящей статьи.
Вклад авторов. Все авторы подтверждают соответствие своего авторства международным критериям ICMJE (все авторы внесли существенный вклад в разработку концепции, проведение исследования и подготовку статьи, прочли и одобрили финальную версию перед публикацией). Наибольший вклад распределён следующим образом: У.С. Хованцева, А.М. Маркин — обзор литературы, сбор и анализ литературных источников; У.С. Хованцева, А.М. Маркин, Ю.В. Маркина — анализ и интерпретация полученных результатов, написание текста и редактирование статьи; Д.Г. Киселева, Д.П. Фотин — обработка и статистический анализ данных; У.С. Хованцева, В.Р. Чередниченко, Н.В. Боярская — работа с культурами клеток, постановка экспериментов; А.И. Богатырева — графическое оформление статьи; Д.А. Чакал, Д.Г. Брешенков, А.Б. Малашичева, Э.Р. Чарчян — курация и хирургическое лечение пациентов, сбор и анализ литературных данных.
ADDITIONAL INFORMATION
Funding source. This study was supported by the Russian Science Foundation (grant 22-65-00089).
Competing interests. The authors declare that they have no competing interests.
Authors’ contribution. All authors made a substantial contribution to the conception of the work, acquisition, analysis, interpretation of data for the work, drafting and revising the work, final approval of the version to be published and agree to be accountable for all aspects of the work. U.S. Khovantseva, A.M. Markin — literature review, collection and analysis of literary sources; U.S. Khovantseva, A.M. Markin, Yu.V. Markina — analysis and interpretation of the results obtained, writing and editing the article; D.G. Kiseleva, D.P. Fotin — processing and statistical analysis of the data obtained during the study; U.S. Khovantseva, V.R. Cherednichenko, N.V. Boyarskaya — work with cell cultures, setting up experiments; A.I. Bogatyreva — graphic design; D.A. Chakal, D.G. Breshenkov, A.B. Malashicheva, E.R. Charchyan — curation and surgical treatment of patients, collection and analysis of literary data.
作者简介
Ulyana S. Khovantseva
Petrovsky National Research Centre of Surgery
Email: ulyana.khovantseva@gmail.com
ORCID iD: 0000-0002-2875-6999
SPIN 代码: 9264-6729
俄罗斯联邦, 2 Abrikosovsky lane, 119991 Moscow
Diana G. Kiseleva
Petrovsky National Research Centre of Surgery; Lomonosov Moscow State University
Email: Kiseleva.dg@gmail.com
ORCID iD: 0000-0001-8149-349X
SPIN 代码: 5596-6863
俄罗斯联邦, 2 Abrikosovsky lane, 119991 Moscow; Moscow
Vadim R. Cherednichenko
Petrovsky National Research Centre of Surgery
Email: cherednichenko_vadim@bk.ru
ORCID iD: 0000-0002-1695-2060
SPIN 代码: 1670-6350
俄罗斯联邦, 2 Abrikosovsky lane, 119991 Moscow
Denis P. Fotin
Pirogov Russian National Research Medical University
Email: denisiy.fotin@mail.ru
ORCID iD: 0009-0001-8821-5705
俄罗斯联邦, Moscow
Anastasia I. Bogatyreva
Petrovsky National Research Centre of Surgery
Email: nastya.bogatyreva.96@mail.ru
ORCID iD: 0000-0002-1188-1945
SPIN 代码: 2045-9051
俄罗斯联邦, 2 Abrikosovsky lane, 119991 Moscow
Nadezhda V. Boyarskaya
Almazov Federal Medical Research Centre
Email: boyarskaya_nv@almazovcentre.ru
ORCID iD: 0000-0002-6402-770X
SPIN 代码: 3123-7816
俄罗斯联邦, Saint Petersburg
Deyyara A. Chakal
Petrovsky National Research Centre of Surgery
Email: deyyara@inbox.ru
ORCID iD: 0000-0003-3542-0315
SPIN 代码: 3006-7971
俄罗斯联邦, 2 Abrikosovsky lane, 119991 Moscow
Denis G. Breshenkov
Petrovsky National Research Centre of Surgery
Email: denisbreshenkov@gmail.com
ORCID iD: 0000-0002-9459-9282
SPIN 代码: 1090-1584
MD, Cand. Sci. (Medicine)
俄罗斯联邦, 2 Abrikosovsky lane, 119991 MoscowYuliya V. Markina
Petrovsky National Research Centre of Surgery
Email: yu.v.markina@gmail.com
ORCID iD: 0000-0002-3781-6340
SPIN 代码: 8389-2346
MD, Cand. Sci. (Medicine)
俄罗斯联邦, 2 Abrikosovsky lane, 119991 MoscowAnna B. Malashicheva
Almazov Federal Medical Research Centre
Email: malashicheva_ab@almazovcentre.ru
ORCID iD: 0000-0002-0820-2913
SPIN 代码: 6053-2075
Dr. Sci. (Biology), Assistant Professor
俄罗斯联邦, Saint PetersburgEduard R. Charchyan
Petrovsky National Research Centre of Surgery
Email: charchmed@yahoo.com
ORCID iD: 0000-0002-0488-2560
SPIN 代码: 4641-0523
MD, Dr. Sci. (Medicine), Professor
俄罗斯联邦, 2 Abrikosovsky lane, 119991 MoscowAlexander M. Markin
Petrovsky National Research Centre of Surgery
编辑信件的主要联系方式.
Email: alexander.markin.34@gmail.com
ORCID iD: 0000-0002-6649-7924
SPIN 代码: 8364-5150
MD, Cand. Sci. (Medicine)
俄罗斯联邦, 2 Abrikosovsky lane, 119991 Moscow参考
- Sorysz D, Dweck M. Cardiac magnetic resonance or computed tomography: are we ready for a change of gold standard before transcatheter aortic valve replacement? Cardiovasc Res. 2024;120(7):e22–e25. doi: 10.1093/cvr/cvae069
- Krafcik BM, Stone DH, Cai M, et al. Changes in global mortality from aortic aneurysm. J Vasc Surg. 2024;80(1):81–88.e1. doi: 10.1016/j.jvs.2024.02.025
- Riches K, Angelini T, et al. Exploring smooth muscle phenotype and function in a bioreactor model of abdominal aortic aneurysm. J Transl Med. 2013;11:208. doi: 10.1186/1479-5876-11-208
- di Gioia CRT, Ascione A, Carletti R, Giordano C. Thoracic aorta: anatomy and pathology. Diagnostics (Basel). 2023;13(13):2166. doi: 10.3390/diagnostics13132166
- Torsney E, Xu Q. Resident vascular progenitor cells. J Mol Cell Cardiol. 2011;50(2):304–311. doi: 10.1016/j.yjmcc.2010.09.006
- Cho MJ, Lee MR, Park JG. Aortic aneurysms: current pathogenesis and therapeutic targets. Exp Mol Med. 2023;55(12):2519–2530. doi: 10.1038/s12276-023-01130-w
- Liang S, Zhang G, Ning R, et al. The critical role of endothelial function in fine particulate matter-induced atherosclerosis. Part Fibre Toxicol. 2020;17(1):61. doi: 10.1186/s12989-020-00391-x
- Sun HJ, Wu ZY, Nie XW, Bian JS. Role of endothelial dysfunction in cardiovascular diseases: The link between inflammation and hydrogen sulfide. Front Pharmacol. 2020;10:1568. doi: 10.3389/fphar.2019.01568
- Markin AM, Markina YuV, Bogatyreva AI, et al. The role of cytokines in cholesterol accumulation in cells and atherosclerosis progression. Int J Mol Sci. 2023;24(7):6426. doi: 10.3390/ijms24076426
- Rombouts KB, van Merrienboer TAR, Ket JCF, et al. The role of vascular smooth muscle cells in the development of aortic aneurysms and dissections. Eur J Clin Invest. 2022;52(4):e13697. doi: 10.1111/eci.13697
- Riches-Suman K, Hussain A. Identifying and targeting the molecular signature of smooth muscle cells undergoing early vascular ageing. Biochim Biophys Acta Mol Basis Dis. 2022;1868(7):166403. doi: 10.1016/j.bbadis.2022.166403
- Lu H, Du W, Ren L, et al. Vascular smooth muscle cells in aortic aneurysm: from genetics to mechanisms. J Am Heart Assoc. 2021;10(24):e023601. doi: 10.1161/JAHA.121.023601
- Alegret JM, Masana L, Martinez-Micaelo N, et al. LDL cholesterol and apolipoprotein B are associated with ascending aorta dilatation in bicuspid aortic valve patients. QJM. 2015;108(10):795–801. doi: 10.1093/qjmed/hcv032
- Yap C, Mieremet A, de Vries CJM, et al. Six shades of vascular smooth muscle cells illuminated by KLF4 (krüppel-like factor 4). Arterioscler Thromb Vasc Biol. 2021;41(11):2693–2707. doi: 10.1161/ATVBAHA.121.316600
- Cao G, Xuan X, Li Y, et al. Single-cell RNA sequencing reveals the vascular smooth muscle cell phenotypic landscape in aortic aneurysm. Cell Commun Signal. 2023;21(1):113. doi: 10.1186/s12964-023-01120-5
- Mackay CDA, Jadli AS, Fedak PWM, Patel VB. Adventitial fibroblasts in aortic aneurysm: unraveling pathogenic contributions to vascular disease. Diagnostics (Basel). 2022;12(4):871. doi: 10.3390/diagnostics12040871
- Aplin AC, Nicosia RF. The plaque-aortic ring assay: a new method to study human atherosclerosis-induced angiogenesis. Angiogenesis. 2019;22(3):421–431. doi: 10.1007/s10456-019-09667-z
- Shen YH, LeMaire SC, Webb NR, et al. Aortic aneurysms and dissections series. Arterioscler Thromb Vasc Biol. 2020;40(3):e37–e46. doi: 10.1161/ATVBAHA.120.313991
- Wintruba KL, Hill JC, Richards TD, et al. Adventitia-derived extracellular matrix hydrogel enhances contractility of human vasa vasorum-derived pericytes via α2β1 integrin and TGFβ receptor. J Biomed Mater Res A. 2022;110(12):1912–1920. doi: 10.1002/jbm.a.37422
- Poursaleh A, Esfandiari G, Sadegh Beigee FS, et al. Isolation of intimal endothelial cells from the human thoracic aorta: Study protocol. Med J Islam Repub Iran. 2019;33:51. doi: 10.34171/mjiri.33.51
- Wang N, Gates KL, Trejo H, et al. Elevated CO2 selectively inhibits interleukin-6 and tumor necrosis factor expression and decreases phagocytosis in the macrophage. FASEB J. 2010;24(7):2178–2190. doi: 10.1096/fj.09-136895
- Tertov VV, Orekhov AN. Metabolism of native and naturally occurring multiple modified low density lipoprotein in smooth muscle cells of human aortic intima. Exp Mol Pathol. 1997;64(3):127–145. doi: 10.1006/exmp.1997.2216
- Li K, Wong DK, Luk FS, et al. Isolation of plasma lipoproteins as a source of extracellular RNA. Methods Mol Biol. 2018;1740:139–153. doi: 10.1007/978-1-4939-7652-2_11
- Bort A, Sánchez BG, Mateos-Gómez PA, et al. Capsaicin targets lipogenesis in HepG2 cells through AMPK activation, AKT inhibition and PPARs regulation. Int J Mol Sci. 2019;20(7):1660. doi: 10.3390/ijms20071660
- Folch J, Lees M, Sloane Stanley GH. A simple method for the isolation and purification of total lipides from animal tissues. J Biol Chem. 1957;226(1):497–509.
- Lowry OH, Rosebrough NJ, Farr AL, Randall RJ. Protein measurement with the Folin phenol reagent. J Biol Chem. 1951;193(1):265–275.
- Xu H, Wang X, Wang W. Functional suppression of macrophages derived from THP-1 cells by environmentally-relevant concentrations of arsenite. Comp Biochem Physiol C Toxicol Pharmacol. 2018;214:36–42. doi: 10.1016/j.cbpc.2018.08.010
- Crea F. The evolving management of adult congenital heart disease: focus on biomarkers and cardiac magnetic resonance. Eur Heart J. 2024;45(23):2025–2028. doi: 10.1093/eurheartj/ehae366
- Aldana-Bitar J, Moore J, Budoff MJ. LDL receptor and pathogen processes: Functions beyond normal lipids. J Clin Lipidol. 2021;15(6):773–781. doi: 10.1016/j.jacl.2021.09.048
- Mineo C. Lipoprotein receptor signalling in atherosclerosis. Cardiovasc Res. 2020;116(7):1254–1274. doi: 10.1093/cvr/cvz338
- Kanters E, Pasparakis M, Gijbels MJJ, et al. Inhibition of NF-κB activation in macrophages increases atherosclerosis in LDL receptor–deficient mice. J Clin Invest. 2003;112(8)1176–1185. doi: 10.1172/JCI18580
- Jeon H, Blacklow SC. Structure and physiologic function of the low-density lipoprotein receptor. Annu Rev Biochem. 2005;74:535–562. doi: 10.1146/annurev.biochem.74.082803.133354
- Desjardins M, Griffiths G. Phagocytosis: Latex leads the way. Curr Opin Cell Biol. 2003;15(4):498–503. doi: 10.1016/s0955-0674(03)00083-8
- Rejman J, Oberle V, Zuhorn IS, Hoekstra D. Size-dependent internalization of particles via the pathways of clathrin- and caveolae-mediated endocytosis. Biochem J. 2004;377(Pt 1):159–169. doi: 10.1042/BJ20031253
- Islam MM, Hlushchenko I, Pfisterer SG. Low-density lipoprotein internalization, degradation and receptor recycling along membrane contact sites. Front Cell Dev Biol. 2022;10:826379. doi: 10.3389/fcell.2022.826379
- Nagao G, Ishii K, Hirota K, et al. Role of lipid rafts in innate immunity and phagocytosis of polystyrene latex microspheres. Colloids Surf B Biointerfaces. 2011;84(2):317–324. doi: 10.1016/j.colsurfb.2011.01.018
- Puchenkova OA, Soldatov VO, Belykh AE, et al. Cytokines in abdominal aortic aneurysm: master regulators with clinical application. Biomark Insights. 2022;17:11772719221095676. doi: 10.1177/11772719221095676
- Battes LC, Cheng JM, Oemrawsingh RM, et al. Circulating cytokines in relation to the extent and composition of coronary atherosclerosis: Results from the ATHEROREMO-IVUS study. Atherosclerosis. 2014;236(1):18–24. doi: 10.1016/j.atherosclerosis.2014.06.010
- Han X, Boisvert WA. Interleukin-10 protects against atherosclerosis by modulating multiple atherogenic macrophage function. Thromb Haemost. 2015;113(3):505–512. doi: 10.1160/TH14-06-0509
补充文件




