Creation and Study of the Mechanism of Action of Compounds of a New Class of Positive Modulators of AMPA Receptors – Derivatives of 3,7-Diazabicyclo[3.3.1]nonanes
- Authors: Grigoriev V.V.1, Lavrov M.I.2, Palyulin V.A.2, Garibova T.L.3, Anokhin K.V.4, Bachurin S.O.1
-
Affiliations:
- Institute of Physiologically Active Compounds at Federal Research Center of Problems of Chemical Physics and Medicinal Chemistry, Russian Academy of Sciences
- Department of Chemistry, Lomonosov Moscow State University
- Federal State Budgetary Scientific Institute “Scientific Research Institute of Pharmacology named after V.V. Zakusova
- Federal State Budgetary Scientific Institute “Scientific Research Institute of Normal Physiology named after P.K. Anokhin”
- Issue: Vol 40, No 2 (2023)
- Pages: 108-120
- Section: Review Articles
- URL: https://journal-vniispk.ru/1027-8133/article/view/142200
- DOI: https://doi.org/10.31857/S1027813323020073
- EDN: https://elibrary.ru/UCLORH
- ID: 142200
Cite item
Full Text
Abstract
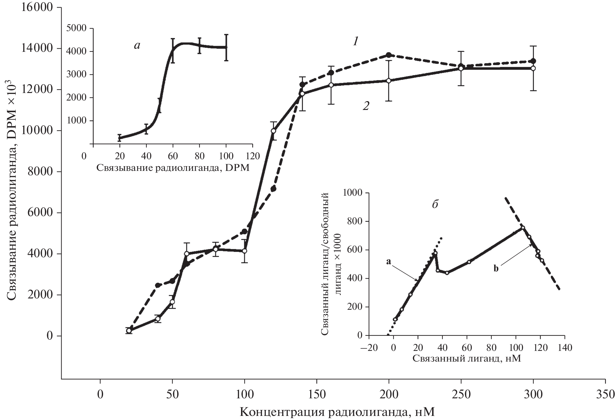
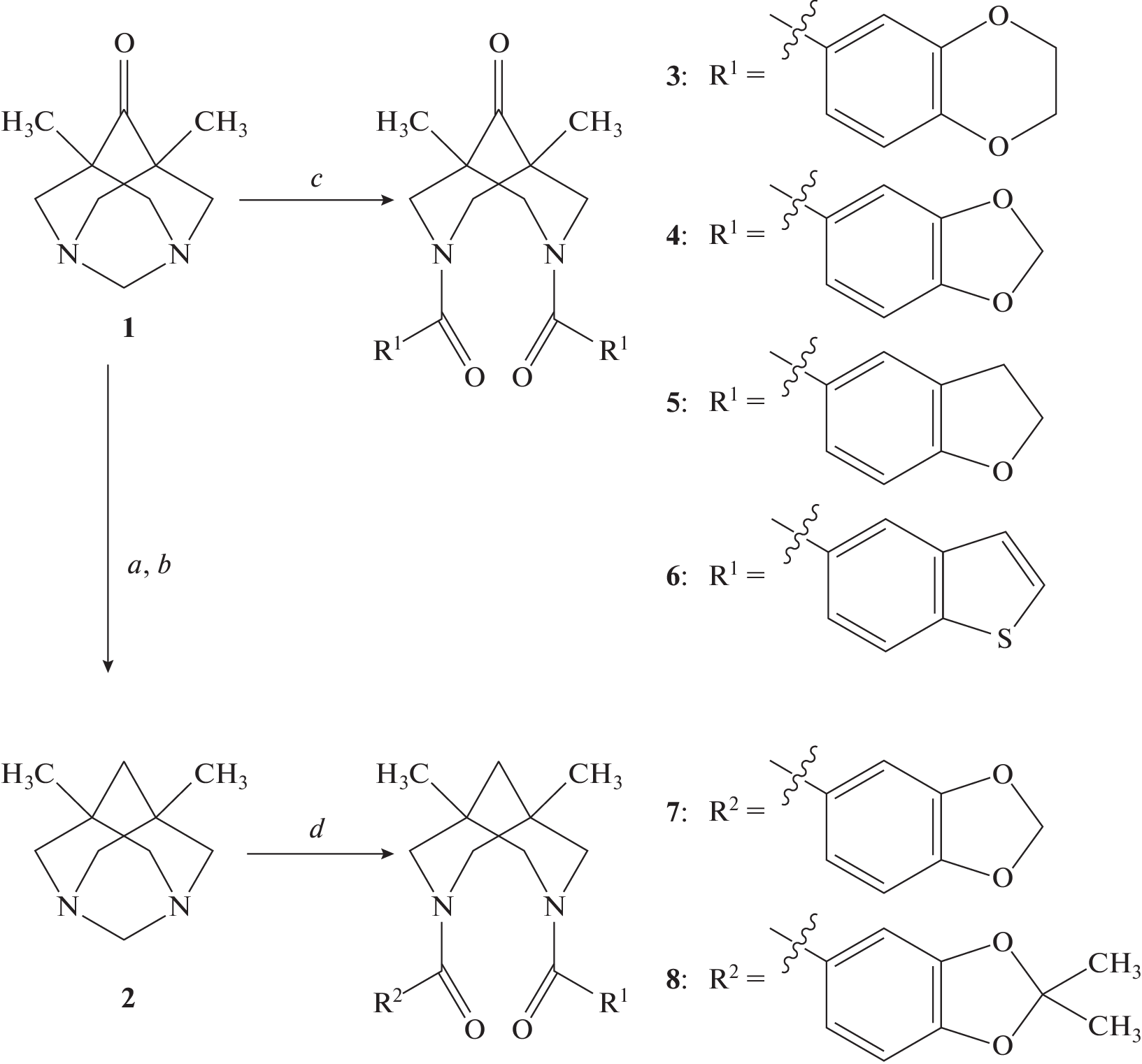
The review presents the results of consistent scientific studies of a new class of positive allosteric modulators of AMPA receptors from the class of 3,7-diazabicyclo[3.3.1]nonane derivatives, starting from the theoretical prediction of the structures of compounds, their synthesis, and studying their effect on the currents of AMPA receptors as evidence of assignment them to the PAM class, studying their activity and effectiveness in behavioral experiments simulating both various acute impairments of memory and cognitive functions, and in chronic experiments simulating the pathology of Alzheimer’s disease, studying their molecular mechanism of interaction with the AMPA receptor using 3D computer modeling, radioligand studies of labeled compound 5 with fractions of synaptic membranes of the brain hippocampus in order to determine the “seats” of this PAM in the brain of rats. All of the above characterizes new compounds of this class as the most active among known PAMs in the world, having a pronounced cognitive-stimulating effect both in normal animals and in various models of pathological memory disorder, which indicates their great therapeutic potential.
About the authors
V. V. Grigoriev
Institute of Physiologically Active Compounds at Federal Research Center of Problems of Chemical Physics and Medicinal Chemistry, Russian Academy of Sciences
Email: nchjournal@gmail.com
Russia, Moscow Region, Chernogolovka
M. I. Lavrov
Department of Chemistry, Lomonosov Moscow State University
Email: nchjournal@gmail.com
Russia, Moscow
V. A. Palyulin
Department of Chemistry, Lomonosov Moscow State University
Email: nchjournal@gmail.com
Russia, Moscow
T. L. Garibova
Federal State Budgetary Scientific Institute “Scientific Research Institute of Pharmacology named after V.V. Zakusova
Email: nchjournal@gmail.com
Russia, Moscow
K. V. Anokhin
Federal State Budgetary Scientific Institute “Scientific Research Institute of Normal Physiology named after P.K. Anokhin”
Email: nchjournal@gmail.com
Russia, Moscow
S. O. Bachurin
Institute of Physiologically Active Compounds at Federal Research Center of Problems of Chemical Physics and Medicinal Chemistry, Russian Academy of Sciences
Email: nchjournal@gmail.com
Russia, Moscow Region, Chernogolovka
References
- Hansen K.B., Wollmuth L.P., Bowie D., Furukawa H., Menniti F.S., Sobolevsky A.I., Swanson G.T., Swanger S.A., Greger I.H., Nakagawa T. et al. // Pharmacol. Rev. 2021. V. 73. P. 298–487. https://doi.org/10.1124/pharmrev.120.000131
- Palmer C.L., Cotton L., Henley J.M. // Pharmacol. Rev. 2005. V. 57. P. 253–277. https://doi.org/10.1124/pr.57.2.7
- Greger I.H., Esteban J.A. // Curr. Opin. Neurobiol. 2007. V. 17. P. 289–297. doi: 10. 1016/j.conb.2007.04.007
- Lynch G. Curr. Opin. Pharmacol // 2004. V. 4. P. 4–11. https://doi.org/10.1016/j.coph.2003.09.009
- Francotte P., de Tullio P., Fraikin P., Counerotte S., Goffin E., Pirotte B. // Recent Pat. CNS Drug Discov. 2006. V. 1. P. 239–246.
- O’Neill M.J., Dix S. // IDrugs. 2007. V. 10. P. 185–192.
- Григорьев В.В., Прошин А.Н., Кинзирский А.С., Бачурин С.О. // Успехи химии. 2009. Т. 78. № 5. С. 520–534.
- Adler L.A., Kroon R.A., Stein M., Shahid M., Tarazi F.I., Szegedi A., Schipper J., Cazorla P. // Biol. Psychiatry. 2012. V. 72. P. 971–977. https://doi.org/10.1016/j.biopsych.2012.05.012
- O’Neill M.J., Bleakman D., Zimmerman D.M., Nisenbaum E.S. // Curr. Drug Targets CNS Neurol. Disord. 2004. V. 3. P. 181–194.
- Goff D.C., Leahy L., Berman I., Posever T., Herz L., Leon A.C., Johnson S.A., Lynch G. // J. Clin. Psychopharmacol. 2001. V. 21. № 5. P. 484–487.
- Alt A., Nisenbaum E.S., Bleakman D., Witkin J.M. // Biochem. Pharmacol. 2006. V 71. № 9. P. 1273–1288. https://doi.org/10.1016/j.bcp.2005.12.022
- Xiaoyu Hu, Xuebi Tian, Xiao Guo, Ying He, Haijun Chen, Jia Zhou, Zaijie Jim Wang // Neuropharmacology. 2018. V.137. P. 50–58. https://doi.org/10.1016/j.neuropharm.2018.04.020
- Lauterborn J.C., Pineda E., Chen L.Y., Ramirez E.A., Lynch G., Gall C.M. // Neuroscience. 2009. V. 159. № 1. P. 283–295. https://doi.org/10.1016/j.neuroscience.2008.12.018
- Lauterborn J.C., Palmer L.C., Jia Y., Pham D.T., Hou B., Wang W., Trieu B.H., Cox C.D. et al. // J. Neurosci. 2016. V. 36. № 5. P. 1636–1646.https://doi.org/10.1523/JNEUROSCI.3157-15.2016
- Тихонова И.Г., Лавров М.И., Палюлин В.А., Зефиров Н.С. // ДАН. 2004. Т. 399. № 2. С. 268–270.
- Jin R., Clark S., Weeks A.M., Dudman J.T., Gouaux E., Partin K.M. // J. Neurosci. 2005. V. 25. P. 9027–9036.
- Harms J.E., Benveniste M., Maclean J.K., Partin K.M., Jamieson C. // Neuropharmacology. 2013. V. 64. P. 45–52. https://doi.org/10.1016/j.neuropharm.2012.06.008
- Лавров М.И., Григорьев В.В., Бачурин С.О., Палюлин В.А., Зефиров Н.С. // Доклады Академии наук. 2015. Т. 464. № 5. С. 626–628. https://doi.org/10.7868/S0869565215290265
- Бачурин С.О., Григорьев В.В., Зефиров Н.С., Лавров М.И., Лаптева В.Л., Палюлин В.А. Патент РФ RU № 2333211. Опубликовано: 10.09.2008, Бюл. № 25.
- Лавров М.И., Лаптева В.Л., Григорьев В.В. Палюлин В.А., Бачурин С.О., Зефиров Н.С. // Хим. фарм. журн. 2012. Т. 46. № 2. С. 27–30.
- Кузнецов А.И., Басаргин Е.Б., Московкин А.С., Ба М.Х., Мирошниченко И.В., Ботников М.Я., Унковский Б.В. // Химия гетероциклических соединений. 1985. № 12. С. 1679–1685.
- Lavrov M.I., Karlov D.S., Voronina T.A., Grigoriev V.V., Ustyugov A.A., Bachurin S.O., Palyulin V.A. // Molecular Neurobiology. 2020. V. 57. P. 191–199. https://doi.org/10.1007/s12035-019-01768-6
- Григорьев В.В., Лавров М.И., Замойский В.Л., Гарибова Т.Л., Палюлин В.А., Бачурин С.О. // Доклады Академии наук. 2019. Т. 488. № 2. С. 217–220.
- Vignisse J., Steinbusch H.W., Grigoriev V., Bolkunov A., Proshin A., Bettendorff L., Bachurin S., Strekalova T. // Eur. Neuropsychopharmacol. 2014. V. 24. № 2. P. 309–320. https://doi.org/10.1016/j.euroneuro.2013.06.010
- Hamill O.P., Marty A., Neher E., Sakmann B., Sigworth F.J. // Pflugers Arch. 1981. V. 391. № 2. P. 85–100.
- Воронина Т.А., Островская Р.У., Гарибова Т.Л. // Руководство по проведению доклинических исследований лекарственных средств. Ч. 1. М.: изд. ФГБУ “НЦЭМСП” Минздравсоцразвития России, 2012. С. 276–297.
- Анохин К.В., Бачурин С.О., Григорьев В.В., Зефиров Н.С., Комиссарова Н.В., Лавров М.И., Палюлин В.А., Тиунова А.А. Патент РФ RU № 2417082. Опубликовано: 27.04.2011. Бюл. № 12.
- Nagaev I.Yu., Shevchenko K.V., Shevchenko V.P., Myasoedov N.F., Grigoriev V.V., Lavrov M.I., Bondarenko E.V., Kalashnikova E.E. // Mendeleev Commun. 2018. V. 28. P. 64–65.
- Мясоедов Н.Ф., Нагаев И.Ю., Шевченко К.В., Шевченко В.П., Григорьев В.В., Лавров М.И. Бондаренко Е.В., Калашникова Е.Е. Патент РФ RU № 2668982. Опубликовано: 05.10.2018. Бюл. № 28.
- Vyunova T.V., Andreeva L.A., Shevchenko K.V., Grigoriev V.V., Palyulin V.A., Lavrov M.I., Bondarenko E.V., Kalashnikova E.E., Myasoedov. // Current Molecular Pharmacology. 2020. V. 13. P. 216–223. https://doi.org/10.2174/1874467213666200303140834
Supplementary files










