Центральные эффекты периферически введенных иммунных клеток, модулированных оригинальным антиконвульсантом, при экспериментальном алкоголизме
- Авторы: Маркова Е.В.1, Савкин И.В.1, Серенко Е.В.1, Княжева М.А.1, Шевченко Ю.А.1
-
Учреждения:
- ФГБНУ “Научно-исследовательский институт фундаментальной и клинической иммунологии”
- Выпуск: Том 40, № 4 (2023)
- Страницы: 338-347
- Раздел: Экспериментальные работы
- URL: https://journal-vniispk.ru/1027-8133/article/view/231933
- DOI: https://doi.org/10.31857/S1027813323030123
- EDN: https://elibrary.ru/YVAMDK
- ID: 231933
Цитировать
Полный текст
Аннотация
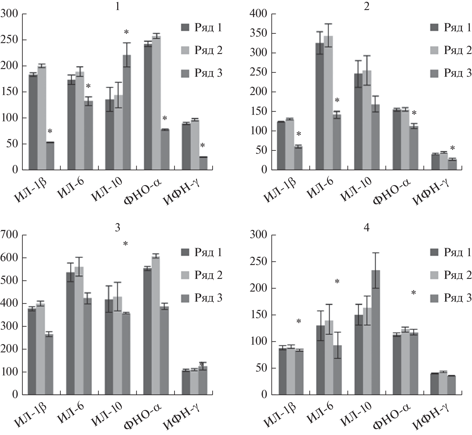
Нарушение нейроиммунных регуляторных связей, обусловленное, в частности, изменением функционального фенотипа иммунокомпетентных клеток вследствие хронической интоксикации этанолом является существенным звеном в патогенезе алкоголизма. Однонаправленное влияние большинства психоактивных препаратов на клетки нервной и иммунной систем позволяет рассматривать иммунокомпетентные клетки в качестве модельных объектов для воздействия на межсистемную функциональную взаимосвязь. На основании собственных приоритетных данных о наличии иммуномодулирующих свойств при хронической алкогольной интоксикации у оригинального антиконвульсанта, действующего на молекулярные мишени влияния этанола в ЦНС и иммунной системе, целью проведенного исследования было оценить центральные эффекты периферически введенных лимфоцитов с модулированной in vitro функциональной активностью синтетическим лигандом ГАМКА‑рецепторного комплекса мета-хлорбензгидрилмочевиной у длительно алкоголизированных животных. В результате проведенных исследований установлено, что трансплантацией прекультивированных с указанным антиконвульсантом лимфоцитов у сингенных длительно алкоголизированных реципиентов достигается снижение алкогольной мотивации и стимуляция поведенческой активности в тесте “Открытое поле”. Редактирование характерных для хронической алкогольной интоксикации паттернов поведения регистрировалось на фоне снижения в патогенетически значимых структурах мозга провоспалительных цитокинов ИЛ-1β, ИЛ-6, ФНО-α, ИФН-γ и повышения противовоспалительного цитокина ИЛ-10, равно как и повышения уровня BDNF в гиппокампе, что позволяет рассматривать снижение нейровоспаления и стимуляцию нейропластичности в качестве возможных механизмов редактирования поведения реципиентов. Визуализация функционально активных лимфоцитов, прекультивированных с мета-хлорбензгидрилмочевиной в паренхиме головного мозга длительно алкоголизированных реципиентов предполагает также непосредственное влияние введенных лимфоцитов на клетки ЦНС. Таким образом, модулированные in vitro мета-хлорбензгидрилмочевиной иммунокомпетентные клетки посредством относительно независимых механизмов оказывают позитивное психонейромодулирующее влияние при хронической интоксикации этанолом, что позволяет рассматривать адоптивную иммунотерапию в качестве возможного перспективного метода в лечении алкоголизма.
Ключевые слова
Об авторах
Е. В. Маркова
ФГБНУ “Научно-исследовательский институт фундаментальнойи клинической иммунологии”
Email: nchjournal@gmail.com
Россия, Новосибирск
И. В. Савкин
ФГБНУ “Научно-исследовательский институт фундаментальнойи клинической иммунологии”
Email: nchjournal@gmail.com
Россия, Новосибирск
Е. В. Серенко
ФГБНУ “Научно-исследовательский институт фундаментальнойи клинической иммунологии”
Email: nchjournal@gmail.com
Россия, Новосибирск
М. А. Княжева
ФГБНУ “Научно-исследовательский институт фундаментальнойи клинической иммунологии”
Email: nchjournal@gmail.com
Россия, Новосибирск
Ю. А. Шевченко
ФГБНУ “Научно-исследовательский институт фундаментальнойи клинической иммунологии”
Email: nchjournal@gmail.com
Россия, Новосибирск
Список литературы
- Анохина И.П. //Вопросы наркологии. 2018. № 2. С. 22–34.
- Ward R.J., Lallemand F., De Witte P. //Alcohol & Alcoholism. 2009. V. 44 (2). P. 128–135.
- Kelleya K.W., Dantzer R. // Brain. Behav. Immun. 2011. V. 25 (S1). P. S13–S20.
- Crews F.T., Lawrimore C.J., Walter T.J., Coleman L.G. // Neuropharmacol. 2017. V. 122. P. 56–73.
- Meredith L.R., Burnette E.M., Grodin E.N., Irwin M.R., Ray L.A. // Brain. Behav. Immun. 2021. V. 97. P. 349–364.
- Blaine S.K., Sinha R. // Neuropharmacol. 2017. V. 122. P. 136–147.
- Pérez-Reytor D., Karahanian E. // The American Journal of Drug and Alcohol Abuse. 2022. https://doi.org/10.1080/00952990.2022.2114005
- Follesa P., Floris G., Asuni G.P., Ibba A., Tocco M.G., Zicca L., Gorini G. // Front. in Cell. Neurosci. 2015. V. 9. P. 445.
- Centanni S.W., Teppen T., Risher M.-., Fleming, R.L., Moss J.L., Acheson S.K. et al. // Alcohol. Clin. Exp. Res. 2014. V. 38. P. 2800–2808.
- Alam S., Walding A // Mol. Immunol. 2006. V. 43. № 9. P. 1432–1442.
- Mendu S.K., Akesson L., Jin Z., Edlund A., Cilio C., Lernmark A., Birnir B. // Mol. Immunol. 2011. V. 48. № 4. P. 399–407.
- Zhang H., Meadows G.G. // J. Leukocyte Biol. 2005. V. 78. № 5. P. 1070–1080.
- Zuluaga P., Sanvisens A., Caceres E.M., Muga R. // Drug and Alcohol Dependence. 2017. V. 180. P. 7–13.
- Sureshchandra S., Raus A., Jankeel A., Ligh B.J.K., Walter N.A., Newman N., Messaoudi I. // Scientific Reports. 2019. V. 9. № 1. P. 1–13.
- Pang M., Bala S., Kodys K., Catalano D., Szabo G. // BMC Immunology. 2011. V. 12. № 1. P. 1–11.
- Crews F.T., Sarkar D.K., Qin L., Zou J., Boyadjieva N., Vetreno R.P. // Alcohol Res. 2015. V. 37. P. 331–351.
- Boyd K.N., Kumar S., O’Buckley T.K. // J. Neurochem. 2010. V. 112. № 3. P. 784–796.
- Evseev V.A., Davydova T.V., Mikovskaya O.I. // Bull. Exp. Biol. Med. 2001. V. 131. № 4. P. 364–368.
- Shushpanova T.V., Solonsky A.V., Bokhan N.A., Novozheeva T.P., Udut V.V., Arbit G.A., Filimonov V.D. // J. Alcohol Drug Depend. 2016. V. 4. № 234. P. 2.
- Novozheeva T., Markova E., Shushpanova O., Knyazeva E., Shushpanova T. // European Psychiatry. 2019. V. 56. P. S15.
- Маркова Е.В., Савкин И.В., Шушпанова Т.В., Княжева М.А., Аникеева О.С. // Изобретения и полезные модели. Официальный бюллетень федеральной службы по интеллектуальной собственности. 2019. № 17. RU 2691143 C1.
- Markova E., Savkin I., Anikeeva O., Shushpanova T. // European Psychiatry. 2019. V. 56(S). P. 662–663.
- Markova E., Knyazheva M., Savkin I., Shushpanova T. // European Psychiatry. 2017. V. 41(S1). P. 742–743.
- Markova E.V., Savkin I.V., Knyazheva M.A., Shushpanova T.V. //Siberian Herald of Psychiatry and Addiction Psychiatry. 2020. V. 1 (106). P. 14–22 (in Rus).
- Markova E., Starostina M., Abramov V., Kozlov V. / Proceedings of the 2nd European Congress of Immunology. Free Papers. Editors Reinhold E. Schmidt. MEDIMOND S.r.l., Bolonga, Italy. 2009. P. 423–429.
- Markova E.V., Knyazheva M.A. // Medical Immunology (Russia). 2021. V. 23 (4). P. 699–704.
- Markova E.V., Knyazheva M.A., Tikhonova M.A., Amstislavskaya T.G. // Neurosci. Lett. 2022. V. 786. P. 136790.
- Markova E.V., Serenko E.V. // Siberian Herald of Psychiatry and Addiction Psychiatry. 2022. V. 3 (116). P. 5–13 (in Rus).
- Rattazzi L. Piras G., Ono M., Deacon R., Pariante C.M., Acquisto F.D. // Transl. Psychiat. 2013. V. 3. P. 280.
- Radjavi A., Smirnov I., Kipnis J. // Brain Behav. Immun. 2014. V. 35. P. 58–63.
- Song C. Nicholson J.D., Clark S.M., Li X., Keegan A.D., Tonelli L.H. // Brain Behav. Immun. 2016. V. 57. P. 161–172.
- Clark S.M., Vaughn C.N., Soroka J.A., Li Xi. Tonelli L.H. // Eur. J. Neurosci. 2018. V. 47. P. 968–978.
- Буреш Я., Бурешова О., Хьюстон Д.П. / Методики и основные эксперименты по изучению мозга и поведения. М., 1991. 399 с.
- Prasad S., Hu S., Sheng W.S., Singh A., Lokensgard J.R. // PLoS One. 2015. V. 10. № 12. P. e0145457.
- Crews, F.T., Collins M.A., Dlugos C., Littleton J., Wilkins L., Neafsey E.J., Noronha A. // Alcoholism: Clinical and Experimental Research. 2004. V. 28. № 2. P. 350–364.
- Topiwala, A., Allan, C.L., Valkanova, V., Zsoldos, E., Filippini, N., Sexton, C., Mahmood, A., Fooks, P., Singh-Manoux, A., Mackay, C.E., Kivimäki, M., Ebmeier, K.P. // BMJ. 2017. V. 357. P. j2353.
- Lowe P.P., Morel C., Ambade A., Iracheta-Vellve A., Kwiatkowski E., Satishchandran A., Szabo G. // J. Neuroinflammation. 2020. V. 17. P. 1–18.
- Flores-Bastías O., Karahanian E. // Neuropharmacol. 2018. V. 128. P. 401–407.
- Airapetov M., Eresko S., Lebedev A., Bychkov E., Shabanov P. // Biosci. Trends. 2021. V. 15. № 2. P. 74–82.
- Aurelian L., Balan I. // Psychopharmacol. 2019. V. 236. P. 3023–3043.
- Logrip M.L., Barak S., Warnault V., Ron D. // Brain Res. 2015. V. 1628. P. 60–67.
- Ceballos N., Sharma S. // AIMS Neurosci. 2016. V. 3. № 4. P. 398–432.
- Peregud D.I., Panchenko L.F., Gulyaeva N.V. // J. Addict. Problems. 2016. № 9–10. P. 29–41 (in Rus).
- Feltenstein M.W., See R.E. // Cold Spring Harbor Perspectives in Medicine. 2013. V. 3. № 5. P. a011916.
- Popova N.K., Ilchibaeva T.V., Antonov E.V., Pershina A.V., Bazovkina D.V., Naumenko V.S. // Alcohol. 2020. V. 87. P. 1–15.





