Количественные характеристики малых внеклеточных везикул из крови пациентов с несуицидальным самоповреждением
- Авторы: Мишин И.Н.1, Зинчук М.С.1, Дружкова Т.А.1, Гуляева Н.В.1,2, Гехт А.Б.1,3, Яковлев А.А.1,2
-
Учреждения:
- ГБУЗ “Научно-практический психоневрологический центр им. З.П. Соловьева” Департамента здравоохранения Москвы
- ФГБУН “Институт высшей нервной деятельности и нейрофизиологии” РАН
- ФГАОУ ВО “Российский национальный исследовательский медицинский университет им. Н.И. Пирогова”
- Выпуск: Том 40, № 4 (2023)
- Страницы: 396-405
- Раздел: Клиническая нейрохимия
- URL: https://journal-vniispk.ru/1027-8133/article/view/231944
- DOI: https://doi.org/10.31857/S1027813323040180
- EDN: https://elibrary.ru/OTSQGM
- ID: 231944
Цитировать
Полный текст
Аннотация
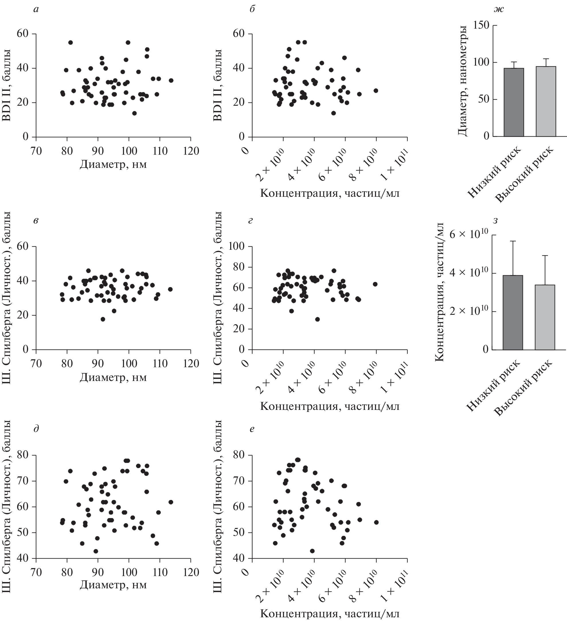
Цель исследования – определение количественных характеристик малых внеклеточных везикул (мВВ) в крови пациентов с несуицидальным самоповреждением (НССП) и сравнение концентрации и размеров мВВ у пациентов с большим депрессивным расстройством (БДР) с НССП и без такового, а также оценка связи размеров и концентрации мВВ в выборке с такими параметрами как выраженность ситуативной и личностной тревоги, депрессии и суицидального риска. В исследование были включены 28 пациентов (11 м./17 ж.) с текущим эпизодом большой депрессии и как минимум пятью эпизодами НССП за последние 12 мес. (основная группа, средний возраст 28.3 года) и 28 пациентов с большой депрессией идентичных по полу и возрасту без НССП на протяжении жизни (группа сравнения). Оценка психического состояния пациентов проводилась с помощью интервью MINI, опросника депрессии Бека – II (BDI II) и шкалы тревоги Спилбергера. Выделение мВВ из крови проводилось с помощью преципитации полиэтиленгликолем (ПЭГ) и гель-фильтрации. Размер и концентрацию выделенных частиц оценивали с помощью динамического светорассеяния (ДРС) и анализа траекторий наночастиц (АТН). Группы значимо различались по выраженности депрессии по опроснику BDI-II, шкале ситуационной тревоги Спилбергера и шкале личностной тревоги Спилбергера. Оценка суицидального риска, проведенная по соответствующему модулю опросника MINI, выявила в группе пациентов с НССП значимо большее число участники со средним и высоким суицидальным риском. Из крови пациентов основной группы и группы сравнения была выделена фракция мВВ. Не было выявлено различий в концентрации и размерах мВВ между группами пациентов с депрессией с и без НССП. Также нам не удалось выявить зависимости концентрации и размеров мВВ от выраженности депрессии, ситуативной и личностной тревоги и тяжести суицидального риска. Заключение: НССП у лиц с большим депрессивным расстройством связано с более тяжелым течением расстройства (большая выраженность депрессии, ситуативной и личностной тревоги), а также более высоким суицидальным риском. Наше исследование не выявило отличий количественных характеристик мВВ у пациентов с депрессивным эпизодом с и без НССП. Будущие исследования должны быть направлены на исследование структурных отличий и функциональных особенностей мВВ при НССП.
Об авторах
И. Н. Мишин
ГБУЗ “Научно-практический психоневрологический центрим. З.П. Соловьева” Департамента здравоохранения Москвы
Email: nchjournal@gmail.com
Россия, Москва
М. С. Зинчук
ГБУЗ “Научно-практический психоневрологический центрим. З.П. Соловьева” Департамента здравоохранения Москвы
Email: nchjournal@gmail.com
Россия, Москва
Т. А. Дружкова
ГБУЗ “Научно-практический психоневрологический центрим. З.П. Соловьева” Департамента здравоохранения Москвы
Email: nchjournal@gmail.com
Россия, Москва
Н. В. Гуляева
ГБУЗ “Научно-практический психоневрологический центрим. З.П. Соловьева” Департамента здравоохранения Москвы; ФГБУН “Институт высшей нервной деятельности и нейрофизиологии” РАН
Email: nchjournal@gmail.com
Россия, Москва; Россия,
Москва
А. Б. Гехт
ГБУЗ “Научно-практический психоневрологический центрим. З.П. Соловьева” Департамента здравоохранения Москвы; ФГАОУ ВО “Российский национальный исследовательский медицинский университет
им. Н.И. Пирогова”
Email: nchjournal@gmail.com
Россия, Москва; Россия, Москва
А. А. Яковлев
ГБУЗ “Научно-практический психоневрологический центрим. З.П. Соловьева” Департамента здравоохранения Москвы; ФГБУН “Институт высшей нервной деятельности и нейрофизиологии” РАН
Email: nchjournal@gmail.com
Россия, Москва; Россия,
Москва
Список литературы
- Blasco-Fontecilla H., Artieda-Urrutia P., de Leon J. // Epidemiol. Psychiatr. Sci. 2019. V. 28. № 5. P. 473.
- Roth G.A., Mensah G.A., Johnson C.O., Addolorato G., Ammirati E., Baddour L.M., Barengo N.C., Beaton A., Benjamin E.J., Benziger C.P. et al. // J. Am. Coll. Cardiol. 2020. V. 76. № 25. P. 2982.
- Siegel R.L., Miller K.D., Fuchs H.E., Jemal A. // CA Cancer J. Clin. 2022. V. 72. № 1. P. 7–33.
- World Health Organization // World Health Organization, Geneva 2021. P. Licence: CC BY-NC-SA 3.0 IGO.
- McMillan K.A., Enns M.W., Asmundson G.J.G., Sareen J. // J. Clin. Psychiatry 2010. V. 71. № 9. P. 1168–1175.
- Adams D.M., Overholser J.C., Spirito A. // Can J. Psychiatry 1994. V. 39. № 1. P. 43–48.
- Slap G., Goodman E., Huang B. // Pediatrics. 2001. V. 108. № 2.
- Kattimani S., Sarkar S., Rajkumar R.P., Menon V. // J. Neurosci. Rural. Pract. 2015. V. 6. № 2. P. 171.
- Thomas N., Armstrong C.W., Hudaib A.R., Kulkarni J., Gurvich C. // Front. Neuroendocrinol. 2021. V. 63.
- Cha C.B., Franz P.J., M. Guzmán E., Glenn C.R., Kleiman E.M., Nock M.K. // J. Child. Psychol. Psychiatry. 2018. V. 59. № 4. P. 460.
- Racine M. // Prog. Neuropsychopharmacol. Biol. Psychiatry. 2018. V. 87. № Pt B. P. 269–280.
- Dong M., Lu L., Sha S., Zhang L., Zhang Q., Ungvari G.S., Balbuena L., Xiang Y.T. // Psychosom. Med. 2021. V. 83. № 7. P. 739–745.
- Giambarberi L., Munger Clary H.M. // Curr. Neurol. Neurosci. Rep. 2022. V. 22. № 8. P. 441–450.
- Shepard M.D., Perepezko K., Broen M.P.G., Hinkle J.T., Butala A., Mills K.A., Nanavati J., Fischer N.M., Nestadt P., Pontone G. // J. Neurol. Neurosurg. Psychiatry. 2019. V. 90. № 7. P. 822–829.
- Quevedo L. de A., Loret de Mola C., Pearson R., Murray J., Hartwig F.P., Gonçalves H., Pinheiro R.T., Gigante D.P., Motta J.V. dos S., Quadros L. de C.M., Barros F.C., Horta B.L. // Compr. Psychiatry. 2020. V. 102.
- Gili M., Castellví P., Vives M., de la Torre-Luque A., Almenara J., Blasco M.J., Cebrià A.I., Gabilondo A., Pérez-Ara M.A., Lagares C., Parés-Badell O., Piqueras J.A., Rodríguez-Jiménez T., Rodríguez-Marín J., Soto-Sanz V., Alonso J., Roca M. // J. Affect. Disord. 2019. V. 245. P. 152–162.
- Too L.S., Spittal M.J., Bugeja L., Reifels L., Butterworth P., Pirkis J. // J. Affect. Disord. 2019. V. 259. P. 302–313.
- Nock M.K., Green J.G., Hwang I., McLaughlin K.A., Sampson N.A., Zaslavsky A.M., Kessler R.C. // JAMA Psychiatry. 2013. V. 70. № 3. P. 300–310.
- Klonsky E.D., May A.M., Saffer B.Y. // Annu. Rev. Clin. Psychol. 2016. V. 12. P. 307–330.
- Nock M.K. // Annu. Rev. Clin. Psychol. 2010. V. 6. P. 339–363.
- Xiao Q., Song X., Huang L., Hou D., Huang X. // Front. Psychiatry. 2022. V. 13.
- Griep S.K., MacKinnon D.F. // Arch. Suicide Res. 2022. V. 26. № 2. P. 428–446.
- Boyne H., Hamza C.A. // Psychiatry Res. 2022. V. 318.
- Stacy S.E., Pepper C.M., Clapp J.D., Reyna A.H. // J. Clin. Psychol. 2022. V. 78. № 5. P. 926–937.
- Hankin B.L., Barrocas A.L., Young J.F., Haberstick B., Smolen A. // Psychiatry Res. 2015. V. 225. № 3. P. 609–612.
- Gao Y., Xiong Y., Liu X., Wang H. // Int. J. Environ. Res. Public Health. 2021. V. 18. № 5. P. 1–13.
- Martín-Blanco A., Ferrer M., Soler J., Salazar J., Vega D., Andión O., Sanchez-Mora C., Arranz M.J., Ribases M., Feliu-Soler A., Pérez V., Pascual J.C. // J. Psychiatr. Res. 2014. V. 57. № 1. P. 34-40.
- Kaess M., Hille M., Parzer P., Maser-Gluth C., Resch F., Brunner R. // Psychoneuroendocrinology. 2012. V. 37. № 1. P. 157–161.
- Koenig J., Rinnewitz L., Warth M., Hillecke T.K., Brunner R., Resch F., Kaess M. // J. Psychiatry Neurosci. 2017. V. 42. № 3. P. 189–199.
- Kirtley O.J., O’Carroll R.E., O’Connor R.C. // J. Affect. Disord. 2016. V. 203. P. 347–363.
- Kaess M., Hooley J.M., Klimes-Dougan B., Koenig J., Plener P.L., Reichl C., Robinson K., Schmahl C., Sicorello M., Westlund Schreiner M., Cullen K.R. // Neurosci. Biobehav. Rev. 2021. V. 130. P. 228–239.
- Sparrow-Downes V.M., Trincao-Batra S., Cloutier P., Helleman A.R., Salamatmanesh M., Gardner W., Baksh A., Kapur R., Sheridan N., Suntharalingam S., Currie L., Carrie L.D., Hamilton A., Pajer K. // BMC Psychiatry. 2022. V. 22. № 1.
- Saeedi S., Israel S., Nagy C., Turecki G. // Transl. Psychiatry. 2019. V. 9. № 1.
- Théry C., Witwer K.W., Aikawa E., Alcaraz M.J., Anderson J.D., Andriantsitohaina R., Antoniou A., Arab T., Archer F., Atkin-Smith G.K. et al. // J. Extracell. Vesicles. 2018. V. 7. № 1.
- Kalluri R., LeBleu V.S. // Science. 2020. V. 367. № 6478.
- Yáñez-Mó M., Siljander P.R.M., Andreu Z., Zavec A.B., Borràs F.E., Buzas E.I., Buzas K., Casal E., Cappello F., Carvalho J., Colás E., Cordeiro-Da Silva A., Fais S., Falcon-Perez J.M., Ghobrial I.M., Giebel B., Gimona M., Graner M., Gursel I., Gursel M., Heegaard N.H.H., Hendrix A., Kierulf P., Kokubun K., Kosanovic M., Kralj-Iglic V., Krämer-Albers E.M., Laitinen S., Lässer C., Lener T., Ligeti E., Line A., Lipps G., Llorente A., Lötvall J., Manček-Keber M., Marcilla A., Mittelbrunn M., Nazarenko I., Nolte-’t Hoen E.N.M., Nyman T.A., O’Driscoll L., Olivan M., Oliveira C., Pállinger É., del Portillo H.A., Reventós J., Rigau M., Rohde E., Sammar M., Sánchez-Madrid F., Santarém N., Schallmoser K., Ostenfeld M.S., Stoorvogel W., Stukelj R., van der Grein S.G., Helena Vasconcelos M., Wauben M.H.M., de Wever O. // J. Extracell. Vesicles. 2015. V. 4. № 2015. P. 1–60.
- Janas A.M., Sapoń K., Janas T., Stowell M.H.B., Janas T. // Biochim. Biophys. Acta. 2016. V. 1858. № 6. P. 1139–1151.
- Gruzdev S.K., Yakovlev A.A., Druzhkova T.A., Guekht A.B., Gulyaeva N.V. // Cell. Mol. Neurobiol. 2019. V. 39. № 6. P. 729–750.
- Khaspeckov L.G., Yakovlev A.A. // Neurochemical J. 2023. V. 39. № 1. P. 1–18.
- Wang Y., Amdanee N., Zhang X. // Eur. Psychiatry. 2022. V. 65. № 1.
- Clausen A.R., Durand S., Petersen R.L., Staunstrup N.H., Qvist P. // Genes (Basel). 2022. V. 13. № 6.
- Kouter K., Paska A.V. // Epigenomics. 2020. V. 12. № 24. P. 2219–2235.
- D’Agnelli S., Gerra M.C., Bignami E., Arendt-Nielsen L. // Mol. Pain. 2020. V. 16.
- Yakovlev A.A., Druzhkova T.A., Nikolaev R.V., Kuz- netsova V.E., Gruzdev S.K., Guekht A.B., Gulyaeva N.V. // Neurochemical Journal. 2019. V. 13. № 4. P. 385–390.
- Chen B., Song L., Yang J., Zhou W.Y., Cheng Y.Y., Lai Y.J. // Neural Regen. Res. 2023. V. 18. № 3. P. 587.
- Rani K., Rastogi S., Vishwakarma P., Bharti P.S., Sharma V., Renu K., Modi G.P., Vishnu V.Y., Chatterjee P., Dey A.B., Nikolajeff F., Kumar S. // J. Neurosci. Methods. 2021. V. 347.
- Sheehan D.V., Lecrubier Y., Sheehan K.H., Amorim P., Janavs J., Weiller E., Hergueta T., Baker R., Dunbar G.C. // J. Clin. Psychiatry. 1998. V. 59. № suppl. 20. P. 11980.
- https://www.appi.org/dsm. Accessed March 1, 2023.
- Cockrell J.R., Folstein M.F. // Psychopharmacol. Bull. 1988. V. 24. № 4. P. 689–692.
- Beck A.T., Steer R.A., Brown G.K. // San Antonio, TX: Psychological Corporation. 1996. P. 1–82.
- Spielberger C.D., Gorsuch R.L., Lushene R.E. // Manual for the State-Trait Anxiety Inventory. Palo Alto. Consulting Psychologists Press. 1970.
- World Medical Association Declaration of Helsinki Ethical Principles for Medical Research Involving Human Subjects // JAMA. 2013. V. 310. № 20. P. 2191–2194.
- Bachurski D., Schuldner M., Nguyen P.H., Malz A., Reiners K.S., Grenzi P.C., Babatz F., Schauss A.C., Hansen H.P., Hallek M., Pogge von Strandmann E. // J. Extracell. Vesicles. 2019. V. 8. № 1.
- Szatanek R., Baj-Krzyworzeka M., Zimoch J., Lekka M., Siedlar M., Baran J. // Int. J. Mol. Sci. 2017. V. 18. № 6.
- Wilkinson P.O., Qiu T., Jesmont C., Neufeld S.A.S., Kaur S.P., Jones P.B., Goodyer I.M. // J. Affect. Disord. 2022. V. 306. P. 240–245.
- Zinchuk M., Beghi M., Beghi E., Bianchi E., Avedisova A., Yakovlev A., Guekht A. // Arch. Suicide Res. 2022. V. 26. № 2. P. 776–800.
- Giner-Bartolome C., Mallorquí-Bagué N., Tolosa-Sola I., Steward T., Jimenez-Murcia S., Granero R., Fernandez-Aranda F. // Front. Psychol. 2017. V. 8. P. 1163.
- Lee H.S., Park K.J., Kwon Y., Shon S.H., Youngstrom E.A., Kim H.W. // Psychiatry Investig. 2021. V. 18. № 6. P. 561–569.
- Asarnow J.R., Porta G., Spirito A., Emslie G., Clarke G., Wagner K.D., Vitiello B., Keller M., Birmaher B., McCracken J., Mayes T., Berk M., Brent D.A. // J. Am. Acad. Child. Adolesc. Psychiatry. 2011. V. 50. № 8. P. 772–781.
- Wilkinson P., Kelvin R., Roberts C., Dubicka B., Goodyer I. // Am. J. Psychiatry. 2011. V. 168. № 5. P. 495–501.
- Kouter K., Paska A.V. // Epigenomics. 2020. V. 12. № 24. P. 2219–2235.
- American Psychiatric Association // Diagnostic and Statistical Manual of Mental Disorders. May 2013.
- Wang L., Zheng D., Liu L., Zhong G., Bi X., Hu S., Wang M., Qiao D. // Medicine. 2021. V. 100. № 31. P. E26747.
- Chen Q., Liu X., Xu R., Wang X., Zhou D., Tang Y. // Asian J. Psychiatr. 2023. V. 80.
- Ye Z., Xiong F., Li W. // Front. Psychiatry. 2022. V. 13.
Дополнительные файлы





