Effect of Oxygen Plasma on Polymer Nanocomposites with Carbon Fillers
- Authors: Parfimovich I.D.1, Komarov F.F.1, Vlasukova L.A.2, Parkhomenko I.N.2, Novikov L.S.3, Chernik V.N.3, Zhigulin D.V.4
-
Affiliations:
- A.N. Sevchenko Institute of Applied Physics Problems, Belarusian State University
- Belarusian State University
- Moscow State University, Skobeltsyn Institute of Nuclear Physics
- Joint Stock Company “Integral”
- Issue: No 1 (2023)
- Pages: 31-36
- Section: Articles
- URL: https://journal-vniispk.ru/1028-0960/article/view/137656
- DOI: https://doi.org/10.31857/S102809602301020X
- EDN: https://elibrary.ru/GOLOIX
- ID: 137656
Cite item
Full Text
Abstract
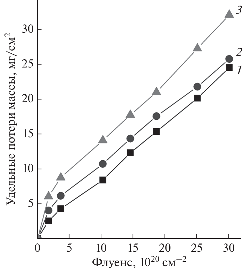
The effect of oxygen plasma on the structural and optical properties of an epoxy resin with graphene and carbon nanotubes of the Taunit-M series was studied to estimate the resistance of polymer nanocomposites to atomic oxygen attack in low Earth orbits. It was shown that the addition of carbon fillers to epoxy resin resulted in an increase in mass loss and erosion depth when exposed oxygen plasma. The mass erosion coefficient at an atomic oxygen fluence of 30 × 1020 cm–2 is 0.82 × 10–23 g/at. for pure epoxy resin and 0.86 × 10–23 and 1.0 6× 10–23 g/at. for samples with graphene and Taunit-M fillers, respectively. A larger weight loss and erosion depth under oxygen plasma was typical for the sample with the Taunit-M filler compared to the sample with the graphene one. Oxygen plasma exposure resulted in a significant decrease in the reflectance coefficients of carbon nanocomposites in the spectral range 0.2–2.5 µm. The lowest diffuse (less than 1%) and specular (less than 0.02%) reflectance coefficients were achieved for the exposed polymer with Taunit-M filler.
About the authors
I. D. Parfimovich
A.N. Sevchenko Institute of Applied Physics Problems, Belarusian State University
Author for correspondence.
Email: parfimovich@bsu.by
Belarus, 220045, Minsk
F. F. Komarov
A.N. Sevchenko Institute of Applied Physics Problems, Belarusian State University
Email: parfimovich@bsu.by
Belarus, 220045, Minsk
L. A. Vlasukova
Belarusian State University
Email: parfimovich@bsu.by
Belarus, 220045, Minsk
I. N. Parkhomenko
Belarusian State University
Email: parfimovich@bsu.by
Belarus, 220045, Minsk
L. S. Novikov
Moscow State University, Skobeltsyn Institute of Nuclear Physics
Email: parfimovich@bsu.by
Russia, 119991, Moscow
V. N. Chernik
Moscow State University, Skobeltsyn Institute of Nuclear Physics
Email: parfimovich@bsu.by
Russia, 119991, Moscow
D. V. Zhigulin
Joint Stock Company “Integral”
Email: parfimovich@bsu.by
Belarus, 220108, Minsk
References
- Amorim A.A.P.O., Oliveira M.G., Mancini M.C., Sirqueira A.S. // SN. Appl. Sci. 2021. V. 3. P. 236. https://doi.org/10.1007/s42452-021-04247-7
- Ghasemi-Kahrizsangi A., Shariatpanahi H., Neshati J., Akbarinezhad E. // Appl. Surf. Sci. 2015. V. 331. P. 115.https://doi.org/10.1016/j.apsusc.2015.01.038
- Gojny F., Wichmann M., Fiedler B., Schulte K. // Compos. Sci. Technol. 2005. V. 65. P. 2300.https://doi.org/10.1016/j.compscitech.2005.04.021
- Pan G., Guo Q., Ding J., Zhang W., Wang X. // Tribol. Int. 2010. V. 43. P. 1318.https://doi.org/10.1016/j.triboint.2009.12.068
- El-Tantawy F., Kamada K., Ohnabe H. // Mater. Lett. 2002. V. 56. P. 112.https://doi.org/10.1016/S0167-577X(02)00401-9
- Ghasemi-Kahrizsangi A., Neshati J., Shariatpanahi H., Akbarinezhad E. // Prog. Org. Coat. 2015. V. 85. P. 199.https://doi.org/10.1016/j.porgcoat.2015.04.011
- Ghasemi-Kahrizsangi A., Shariatpanahi H., Neshati J., Akbarinezhad E. // Appl. Surf. Sci. 2015. V. 353. P. 530.https://doi.org/10.1016/j.apsusc.2015.06.029
- Rohini R., Verma K., Bose S. // ACS Omega. 2018. V. 3. P. 3974.https://doi.org/10.1021/acsomega.8b00218
- Chakradhary V.K., Juneja S., Jaleel Akhtar M. // Mater. Today Commun. 2020. V. 25. P. 101386.https://doi.org/10.1016/j.mtcomm.2020.101386
- Mohan L., Kumar T.N., Karakkad S., Krishnan S.T. // IEEE Trans. Nanotechnol. 2021. V. 20. P. 627.https://doi.org/10.1109/TNANO.2021.3103955
- Bellucci S., Coderoni L., Micciulla F., Rinaldi G., Sacco I. // J. Nanosci. Nanotechnol. 2011. V. 11. P. 9110.https://doi.org/10.1166/jnn.2011.4281
- Piddubnyi V.K., Zin’ I.M., Lavryshyn B.M., Bilyi L.M., Kolodii Y.I., Ratushna M.B. // Mater. Sci. 2005. V. 41. P. 265.https://doi.org/10.1007/s11003-005-0160-4
- Soltani S., Razinobakht S.A., Asmatulu R.// J. Appl. Polym. Sci. 2020. V. 137. P. 49106.https://doi.org/10.1002/app.49106
- Krieg A.S., King J.A., Jaszczak D.C., Miskoglu I., Mills O.P., Odegard G.M. // J. Compos. Mater. 2018. V. 52. P. 3909.https://doi.org/10.1177/0021998318771460
- Baskey H.B., Jaleel Akhtar M. // 2013 IEEE Appl. Electromagn. Conf. 2013. P. 1. https://doi.org/10.1109/AEMC.2013.7045065
- Панасюк М.И., Новиков Л.С. Модель космоса: научно-информационное издание. Т. 2. Воздействие космической среды на материалы и оборудование космических аппаратов. M.: КДУ, 2007. 1144 с.
- Banks B.A., de Groh K.K., Miller S.K. // MRS Proc. 2004. V. 851. P. 426. https://doi.org/10.1557/PROC-851-NN8.1
- Акишин А.И., Новиков Л.С., Черник В.Н. // Новые наукоемкие технологии в технике. Энциклопедия. Ред. Новиков Л.С., Панасюк М.И. М.: Энцитех, 2000. С. 100.
- Jiang H., Li T., Chai L., Liu X., Zhai R., Zhao X. // Protection Mater. Struct. Space Environ. 2017. P. 303.https://doi.org/10.1007/978-3-319-19309-0_31
- Voronina E.N., Novikov L.S. // Protection Mater. Struct. Space Environ. 2017. V. 47. P. 283. https://doi.org/10.1007/978-3-319-19309-0_29
- Новиков Л.С., Воронина Е.Н., Черник В.Н., Чеченин Н.Г., Макунин А.В., Воробьева Е.А. // Поверхность. Рентген., синхротр. и нейтрон. исслед. 2016. Т. 6. С. 49.https://doi.org/10.7868/S0207352816060147
- Серенко О.А., Андропова У.С., Сапожников Д.А., Бузин М.И., Тебенева Н.А., Черник В.Н., Новиков Л.С., Воронина Е.Н., Кононенко А.В. // Поверхность. Рентген., синхротр. и нейтрон. исслед. 2020. Т. 3. С. 71.https://doi.org/10.31857/S1028096020030164
- А.с. 1 797 448 (СССР). Газоразрядный источник плазмы дугоплазматронного типа / МГУ. Черник В.Н. // Бюл. 1995. № 19. 3 с.
- Chernik V.N. // Proc. 7th Int. Symp. Mater. Sp. Environ. 1997. P. 237.
- Новиков Л.С. Черник В.Н. Применение плазменных ускорителей в космическом материаловедении. М.: Университетская книга, 2008. 89 с.
- Standard Practices for Ground Laboratory Atomic Oxygen Interaction Evaluation of Materials for Space Applications (2020) World Trade Organization Technical Barriers to Trade. https://www.astm.org/e2089-15r20.html Cited 19 May 2022.
- Chernik V., Novikov L., Akishin A. // Proc. 10th ISMSE, 8th ICPMSE, Collioure, France: Noordwijk, The Netherlands: ESA. 2006. P. 4.
- Черник В.Н. // Поверхность. Рентген., синхротр. и нейтрон. исслед. 2014. Т. 3. С. 44.https://doi.org/10.7868/S0207352814030093
- Kosynkin D.V., Higginbotham A.L., Sinitskii A., Lomeda J.R., Dimiev A., Price B.K., Tour J.M. // Nature. 2009. V. 458. P. 872.https://doi.org/10.1038/nature07872
- Rafiee M.A., Rafiee J., Wang Z., Song H., Yu Z.-Z., Koratkar N. // ACS Nano. 2009. V. 3. P. 3884.https://doi.org/10.1021/nn9010472
Supplementary files







