Отражение легких ионов от поверхности тел: аналитическая модель и компьютерное моделирование
- Авторы: Афанасьев В.П.1, Лобанова Л.Г.1, Шульга В.И.2
-
Учреждения:
- Национальный исследовательский университет “МЭИ”
- Московский государственный университет им. М.В. Ломоносова, НИИЯФ им. Д.В. Скобельцына
- Выпуск: № 1 (2023)
- Страницы: 86-91
- Раздел: Статьи
- URL: https://journal-vniispk.ru/1028-0960/article/view/137664
- DOI: https://doi.org/10.31857/S102809602301003X
- EDN: https://elibrary.ru/BKNAPH
- ID: 137664
Цитировать
Полный текст
Аннотация
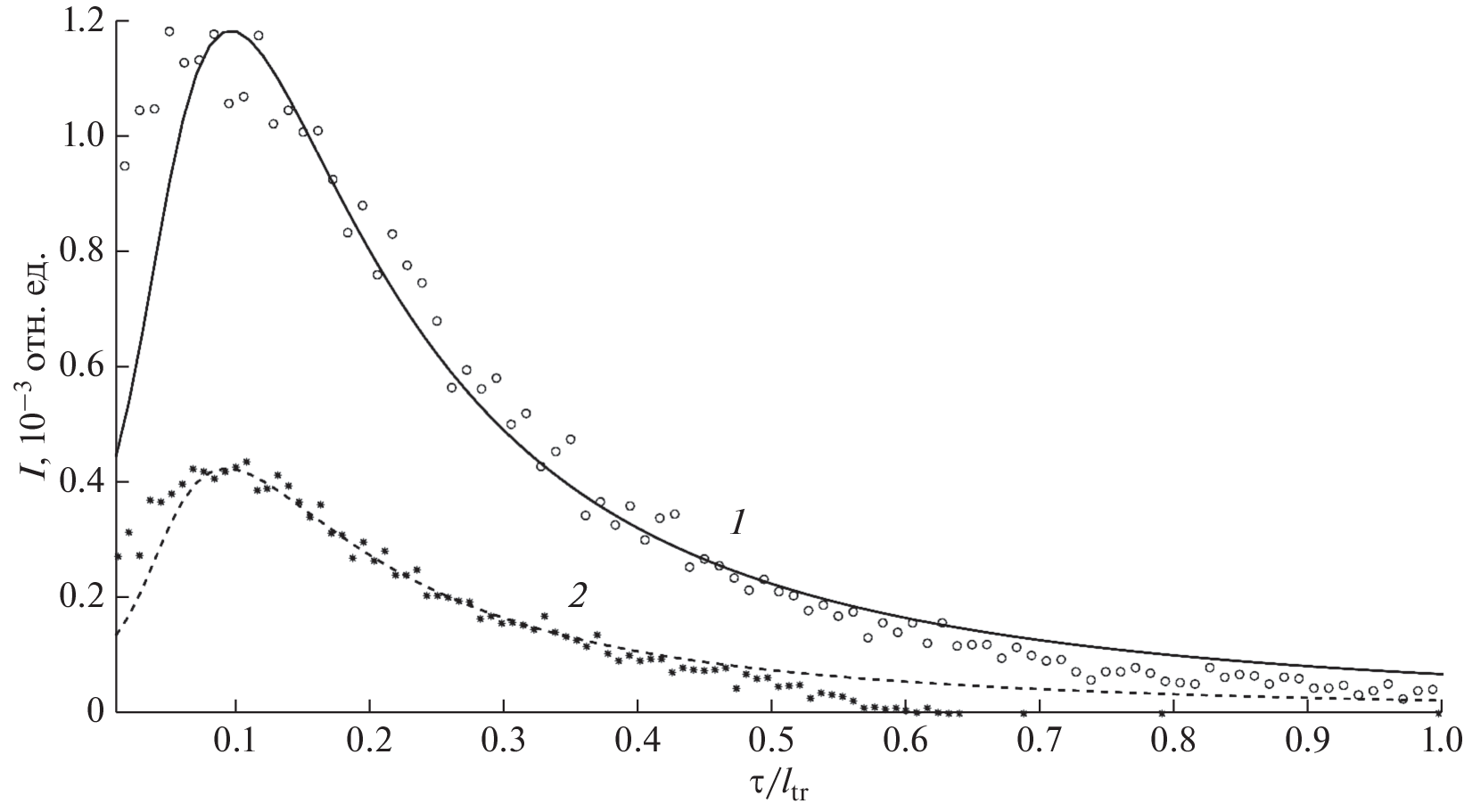
Получено аналитическое решение уравнения для распределения плотности потока отраженных легких ионов по длине пробега и по потерям энергии в мишени. Оно основано на решении граничных задач для уравнения переноса методом инвариантного погружения в малоугловом приближении. В случае отражения протонов от медной и вольфрамовой мишеней проведено сравнение аналитических результатов с данными компьютерного моделирования, выполненного с использованием программы OKSANA, а также с экспериментальными данными. Отмечена возможность верификации тормозной способности материала мишени на основе созданной методики.
Об авторах
В. П. Афанасьев
Национальный исследовательский университет “МЭИ”
Автор, ответственный за переписку.
Email: v.af@mail.ru
Россия, 111250, Москва
Л. Г. Лобанова
Национальный исследовательский университет “МЭИ”
Автор, ответственный за переписку.
Email: lida.lobanova.2017@mail.ru
Россия, 111250, Москва
В. И. Шульга
Московский государственный университет им. М.В. Ломоносова,НИИЯФ им. Д.В. Скобельцына
Автор, ответственный за переписку.
Email: vish008@yandex.ru
Россия, 119991, Москва
Список литературы
- Машкова Е.С., Молчанов В.А. Рассеяние ионов средних энергий поверхностями твердых тел. М.: Атомиздат, 1980. 256 с.
- Курнаев В.А., Машкова Е.С., Молчанов В.А. Отражение легких ионов от поверхности твердого тела. М.: Энергоатомиздат, 1985. 192 с.
- Mashkova E.S., Molchanov V.A. Medium Energy Ion Reflection from Solids. Amsterdam: North-Holland, 1985. 444 p.
- Рязанов М.И., Тилинин И.С. Исследование поверхности по обратному рассеянию частиц. М.: Энергоатомиздат, 1985. 150 с.
- Ziegler J.F., Biersack J.P., Littmark U. The Stopping and Range of Ions in Solids. N.Y.: Pergamon, 1985. 321 p.
- Экштайн В. Компьютерное моделирование взаимодействия частиц с поверхностью твердого тела. М.: Мир, 1995. 319 с.
- Булгадарян Д.Г. Рассеяние протонов кэвных энергий как инструмент анализа тонких слоев на поверхности материалов: Дис. … канд. физ.-мат. наук: 01.04.08. Москва: МИФИ, 2020. 116 с.
- Tougaard S., Kraaer J. // Phys. Rev. B. 1991. V. 43. № 2. P. 1651. https://doi.org./10.1103/PhysRevB.43.1651
- Afanas’ev V.P., Lubenchenko A.V., Gubkin M.K. // Eur. Phys. J. B. 2004. V. 37. № 1. P. 117. https://doi.org/10.1140/epjb/e2004-0036-x
- Werner W.S.M. // Surf. Sci. 2005. V. 588. № 1–3. P. 26. https://doi.org./10.1016/j.susc.2005.05.023
- Werner W.S.M. // Surf. Sci. 2007. V. 601. № 10. P. 2125. https://doi.org/10.1016/j.susc.2007.03.001
- Oswald R., Kasper E., Gaukler K.H. // J. Electron. Spectrosc. Relat. Phenom. 1993. V. 61. № 3–4. P. 251. https://doi.org/10.1016/0368-2048(93)80019-i
- Salvat-Pujol F., Werner W.S.M. // Phys. Rev. B. 2011. V. 83. № 19. P. 195416. https://doi.org./10.1103/PhysRevB. 83.195416
- Bronshtein I.M., Pronin V.P. // Sov. Phys. Solid State. 1975. V. 17. № 8. P. 2502.
- Pronin V.P. Elastic and Inelastic Interaction of Medium Energy Electrons with Surface of Solids. Thesis for the Degree of Doctor of Science. Saint-Petersburg: Herzen State Pedagogical University, 2014.
- Powell C.J., Jablonski A. // J. Electron. Spectrosc. Relat. Phenom. 2010. V. 178–179. № 3–4. P. 331. https://doi.org/10.1016/j.elspec.2009.05.004
- Афанасьев В.П. // Элементарные процессы и кинетика высокотемпературной неравновесной плазмы. М.: Изд-во МЭИ, 1988. С. 82.
- Afanas’ev V.P., Naujoks D. // Phys. Stat. Sol. 1991. V. 164. № 1. P. 133. https://doi.org/10.1002/pssb.2221640113
- Afanas’ev V.P., Efremenko D.S., Kaplya P.S. // J. Electron. Spectrosc. Relat. Phenom. 2016. V. 210. P. 16. https://doi.org/10.1016/j.elspec.2016.04.006
- Salvat-Pujol F., Jablonski A., Powell C.J. // Comput. Phys. Commun. 2005. V. 165. № 2. P. 157. https://doi.org/10.1016/j.cpc.2004.09.006
- Werner W.S.M. // Surf. Interface Anal. 2005. V. 37. № 11. P. 846. https://doi.org/10.1002/sia.2103
- Afanas’ev V.P., Kaplya P.S. // J. Surf. Invest.: X-Ray, Synchrotron Neutron Tech. 2015. V. 9. № 4. P. 715. https://doi.org/10.1134/s1027451015020238
- Afanas’ev V.P., Naujoks D. // Z. Phys. B. 1991. V. 84. № 3. P. 397. https://doi.org./10.1007/bf01314014
- Zemek J., Jiricek P., Werner W.S.M., Lesiak B., Jablonski A. // Surf. Interface Anal. 2006. V. 38. № 4. P. 615. https://doi.org./10.1002/sia.2147
- Jablonski A., Hansen H.S., Jansson C., Tougaard S. // Phys. Rev. B. 1992. V. 45. № 7. P. 3694.https://doi.org/10.1103/PhysRevB.45.3694
- Tougaard S., Chorkendorff I. // Phys. Rev. B. 1987. V. 35. № 13. P. 6570. https://doi.org/10.1103/physrevb.35.6570
- Dashen R.F. // Phys. Rev. B. 1964. V. 134. № 4A. P. A1025. https://doi.org/10.1103/PhysRev.134.A1025
- Ambartsumian V.A. // J. Phys. 1941. V. 5. № 1. P. 93.
- Ambartsumian V.A. // Izv. AN SSSR. 1942. V. 3. P. 97.
- Ambartsumian V.A. // J. Phys. 1944. V. 8. № 2. P. 65.
- Sobolev V.V. Light Scattering in Planetary Atmospheres. N.Y.: Pergamon Press, 1975. 256 p.
- Thomson J.J. // Phil. Mag. 1912. V. 23. № 136. P. 449.
- Bethe H. // Z. Phys. B. 1930. V. 397. № 3. P. 325. https://doi.org/10.1002/andp.19303970303
- Shulga V.I., Schinner A., Sigmund P. // Nucl. Instrum. Methods Phys. Res. B. 2020. V. 467. P. 91. https://doi.org/10.1016/j.nimb.2020.01.029
- Robinson M.T., Torrens I.M. // Phys. Rev. B. 1974. V. 9. № 12. P. 5008. https://doi.org/10.1103/PhysRevB.9.5008
- Morita K., Akimune H., Suita T. // Jpn. J. Appl. Phys. 1968. V. 7. № 8. P. 916. https://doi.org/10.1143/JJAP.7.916
- Булгадарян Д.Г., Синельников Д.Н., Ефимов Н.Е., Курнаев В.А. // Изв. РАН. Сер. Физ. 2020. Т. 84. № 6. С. 903. https://doi.org./10.31857/S036767652006006X
- Firsov O.B. // JETP. 1959. V. 9. № 5. P. 1076.
Дополнительные файлы





