Изучение температурного эффекта в водных растворах трисилоксановых поверхностно-активных веществ на границе раздела с оксидом титана методом нейтронной рефлектометрии
- Авторы: Гапон И.В.1, Кузьменко М.О.2, Авдеев М.В.2,3, Иванова Н.А.4
-
Учреждения:
- Центр энергетических исследований
- Лаборатория нейтронной физики им. И.М. Франка, Объединенный институт ядерных исследований
- Государственный университет “Дубна”
- Лаборатория фотоники и микрофлюидики, Тюменский государственный университет
- Выпуск: № 4 (2023)
- Страницы: 30-34
- Раздел: Статьи
- URL: https://journal-vniispk.ru/1028-0960/article/view/137735
- DOI: https://doi.org/10.31857/S1028096023040064
- EDN: https://elibrary.ru/JJZKKO
- ID: 137735
Цитировать
Полный текст
Аннотация
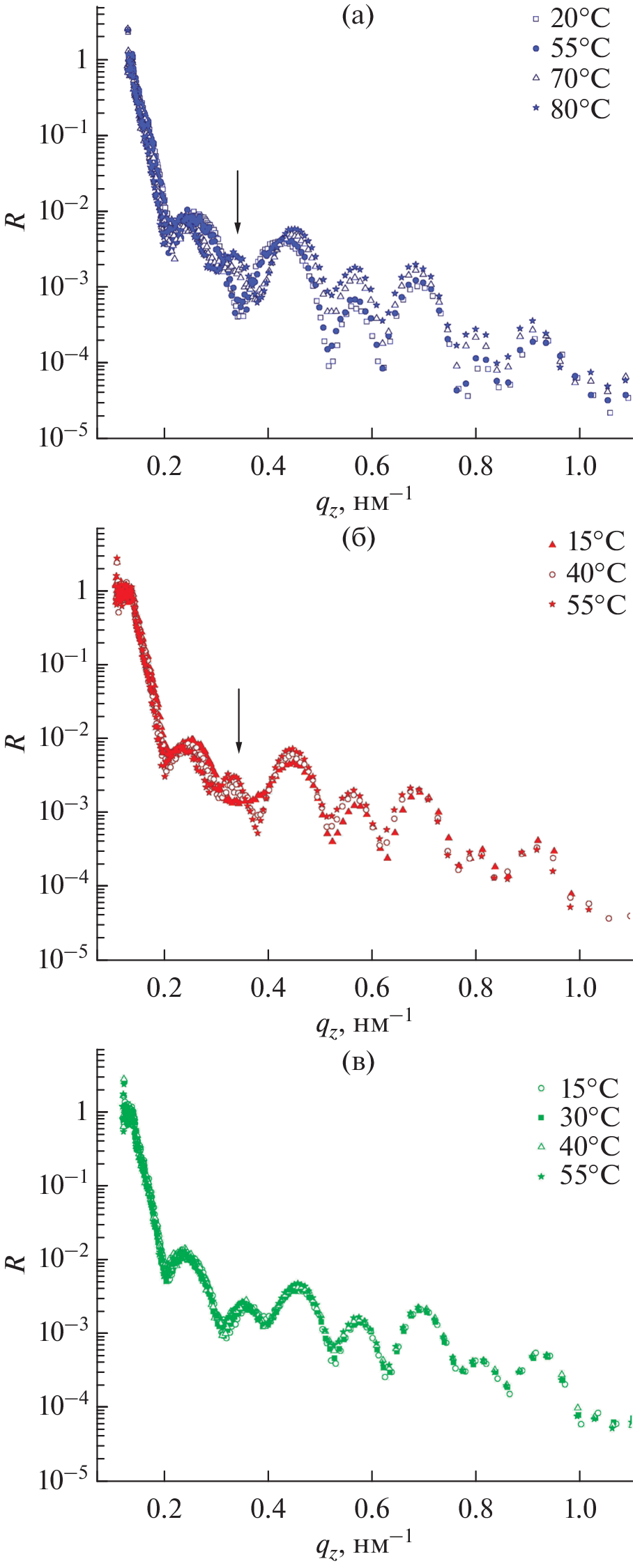
Показана возможность применения нейтронной рефлектометрии зеркального отражения для изучения водных трисилоксановых растворов при переходе в состояние суперсмачивания. Рассмотрена адсорбция трисилоксановых поверхностно-активных веществ из раствора на умеренно гидрофобную поверхность (оксидированная пленка титана) с ростом температуры до точки помутнения раствора. Для прояснения роли гидрофобной части молекул трисилоксановых поверхностно-активных веществ в эффекте суперсмачивания проведено сравнение с растворами неионогенного углеводородного поверхностно-активного вещества с аналогичными полиоксиэтиленовыми цепями.
Об авторах
И. В. Гапон
Центр энергетических исследований
Email: avd@nf.jinr.ru
1121 Венгрия, Будапешт
М. О. Кузьменко
Лаборатория нейтронной физики им. И.М. Франка,Объединенный институт ядерных исследований
Email: avd@nf.jinr.ru
Россия, 141980, Московская область, Дубна
М. В. Авдеев
Лаборатория нейтронной физики им. И.М. Франка,Объединенный институт ядерных исследований; Государственный университет “Дубна”
Автор, ответственный за переписку.
Email: avd@nf.jinr.ru
Россия, 141980, Московская область, Дубна; Россия, 141980, Московская область, Дубна
Н. А. Иванова
Лаборатория фотоники и микрофлюидики, Тюменский государственный университет
Email: avd@nf.jinr.ru
Россия, 625003, Тюмень
Список литературы
- Sankaran A., Karakashev S.I., Sett S. et al. // Adv. Colloid Interface Sci. 2019. V. 263 P. 1.
- Stevens P.J.G. // Pestic. Sci. 1993. V. 38. P. 103.
- Knoche M. // Weed Res. 1994. V. 34. P. 221.
- Chen J., Fine J.D., Mullin C.A. // Sci. Total Environ. 2018. V. 612. P. 415.
- Wagner R., Wu Y., Czichocki G. et al. // Appl. Organometal. Chem. 1999. V. 13. P. 201.
- Ivanova N., Starov V., Rubio R. et al. // Coll. Surf. A. 2010. V. 354. P. 143.
- Bezuglyi B., Ivanova N., Starov V. // Prog. Coll. Polymer Sci. 2011. V. 138. P. 121.
- Ivanova N.A., Kovalchuk N.M., Sobolev V.D., Starov V.M. // Soft Matter. 2016. V. 12. P. 26.
- Berthod A., Tomer S., Dorsey J.G. // Talanta. 2001. V. 55. P. 69.
- Avdeev M.V., Rulev A.A., Bodnarchuk V.I. et al. // Appl. Surf. Sci. 2017. V. 424. P. 378.
- Avdeev M.V., Rulev A.A., Ushakova E.E. et al. // Appl. Surf. Sci. 2019. V. 486. P. 287.
- Косячкин Е.Н., Гапон И.В., Рулев А.А. // Поверхность. Рентген. синхротр. и нейтрон. исслед. 2021. № 8. С. 10.
- Матвеев В.А., Плешанов Н.К., Геращенко О.В., Байрамуков В.Ю. // Поверхность. Рентген., синхротр. и нейтрон. исслед. 2014. № 10. С. 34.
- Авдеев М.В., Боднарчук В.И., Петренко В.И. и др. // Кристаллография. 2017. Т. 62. № 6. С. 986.
Дополнительные файлы







