Наноразмерная структура положительных электродов для литий-ионных аккумуляторов с добавками на основе графена по данным малоуглового рассеяния нейтронов
- Авторы: Ердаулетов М.1,2,3, Авдеев М.В.1,4, Томчук А.А.1, Напольский Ф.С.4, Джансейтов Д.М.2,3, Кривченко В.А.4
-
Учреждения:
- Лаборатория нейтронной физики им. И.М. Франка, Объединенный институт ядерных исследований
- Институт ядерной физики, Министерство энергетики Республики Казахстан
- Евразийский национальный университет им. Л.Н. Гумилева
- Государственный университет “Дубна”
- Выпуск: № 4 (2023)
- Страницы: 61-66
- Раздел: Статьи
- URL: https://journal-vniispk.ru/1028-0960/article/view/137739
- DOI: https://doi.org/10.31857/S1028096023040052
- EDN: https://elibrary.ru/JYHLTO
- ID: 137739
Цитировать
Полный текст
Аннотация
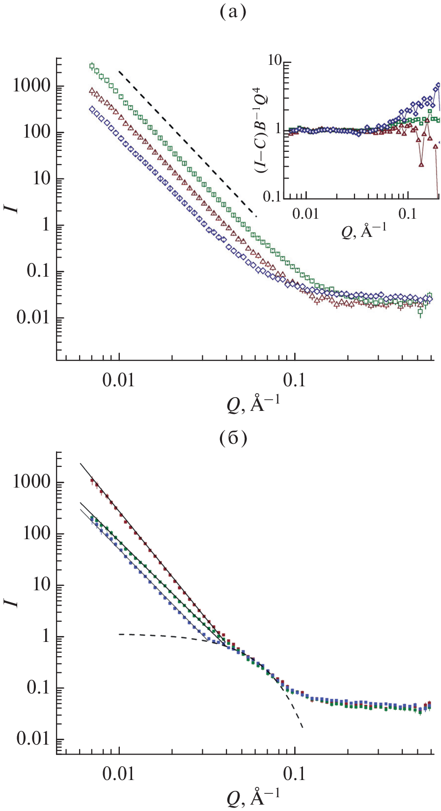
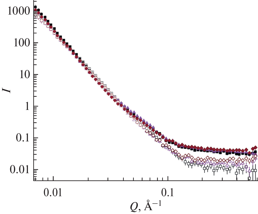
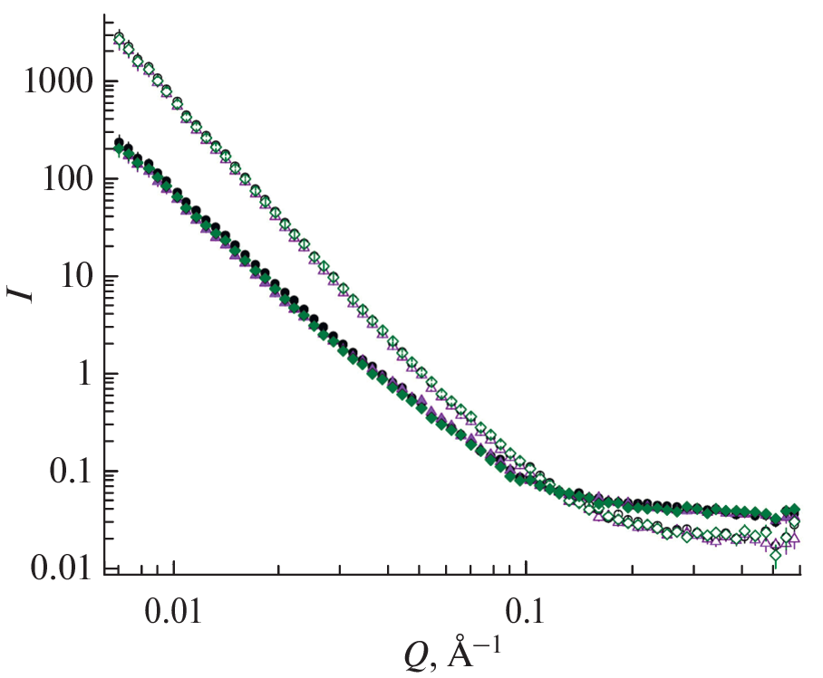
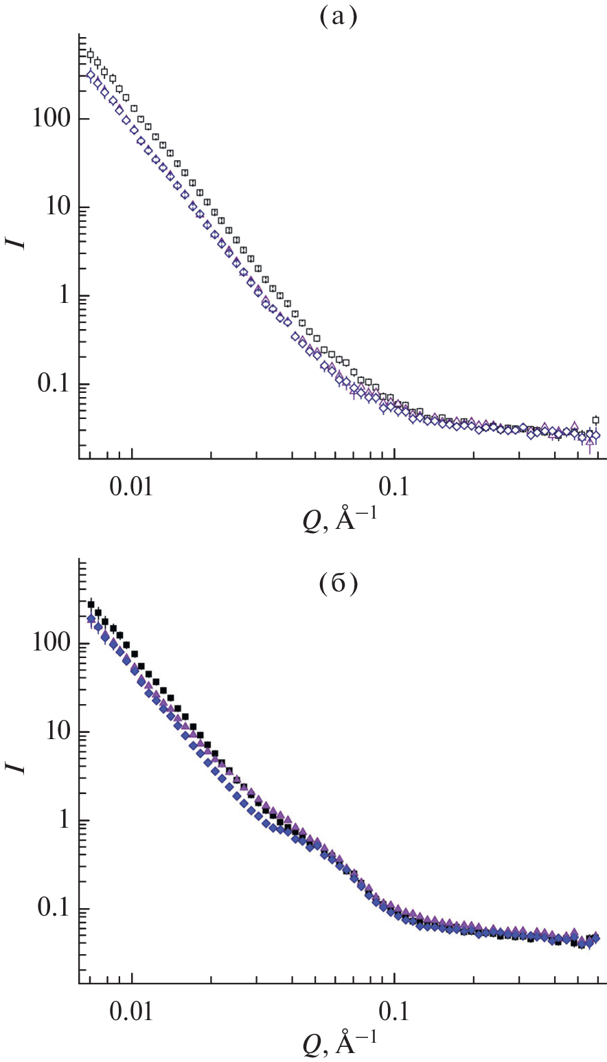
Продолжена адаптация методов рассеяния нейтронов для исследований микроструктуры электродных материалов литий-ионных аккумуляторов с целью улучшения их удельного энергонакопления. С помощью малоуглового рассеяния тепловых нейтронов исследовано влияние проводящих углеродных добавок (графена и оксида графена) на пористую структуру электродов с разными основами, включая LiFePO4, Li4Ti5O12 и LiNiMnCoO2. Для разделения рассеяния на закрытых и открытых порах электроды смачивали типичным жидким электролитом с дейтерированной жидкой основой (диметилкарбонатом), что приводило к компенсации рассеяния на открытых порах. Установлено, что электропроводящие углеродные добавки в разной степени изменяют пористость электрода и влияют на смачиваемость материалов как за счет различной степени внедрения в поры исходного материала, так и за счет воздействия на исходную матрицу. Также обнаружено универсальное влияние на рассеяние полимерного связующего (поливинилиденфторида).
Об авторах
М. Ердаулетов
Лаборатория нейтронной физики им. И.М. Франка,Объединенный институт ядерных исследований; Институт ядерной физики, Министерство энергетики Республики Казахстан; Евразийский национальный университет им. Л.Н. Гумилева
Email: avd@nf.jinr.ru
Россия, 141980, Московская область, Дубна; Казахстан, 050032, Алматы; Казахстан, 010000, Астана
М. В. Авдеев
Лаборатория нейтронной физики им. И.М. Франка,Объединенный институт ядерных исследований; Государственный университет “Дубна”
Автор, ответственный за переписку.
Email: avd@nf.jinr.ru
Россия, 141980, Московская область, Дубна; Россия, 141980, Московская область, Дубна
А. А. Томчук
Лаборатория нейтронной физики им. И.М. Франка,Объединенный институт ядерных исследований
Email: avd@nf.jinr.ru
Россия, 141980, Московская область, Дубна
Ф. С. Напольский
Государственный университет “Дубна”
Email: avd@nf.jinr.ru
Россия, 141980, Московская область, Дубна
Д. М. Джансейтов
Институт ядерной физики, Министерство энергетики Республики Казахстан; Евразийский национальный университет им. Л.Н. Гумилева
Email: avd@nf.jinr.ru
Казахстан, 050032, Алматы; Казахстан, 010000, Астана
В. А. Кривченко
Государственный университет “Дубна”
Email: avd@nf.jinr.ru
Россия, 141980, Московская область, Дубна
Список литературы
- Napolskiy F., Avdeev M., Yerdauletov M. et al. // Energy Technol. 2020. V. 8. P. 2000146.
- Mei W., Chen H., Suna J., Wang Q. // Sustain. Energy Fuels. 2019. V. 3. P. 148.
- Nitta N., Wu F., Lee J.T., Yushin G. // Mater. Today. 2015. V. 18. P. 252.
- Liu X.-M., Huang Z.D., Oh S. et al. // Composites Sci. Tech. 2012. V. 72. P. 121.
- Claye A., Fischer J., Huffman C. et al. // J. Electrochem. Soc. 2000. V. 147. P. 2845.
- Авдеев M.В., Ердаулетов М.С., Иваньков О.И. и др. // Поверхность. Рентген., синхротр, и нейтрон. исслед. 2019. № 7. С. 57.
- Jiao X., Kirianova A.V., Xu X., et.al. // ACS Appl. Energy Mater. 2023., in press.
- Kuklin A.I., Ivankov A.I., Soloviov D.V. et al. // J. Phys. Conf. Ser. 2018. V. 994. P. 1.
- Soloviev A.G., Solovjeva T.M., Ivankov O.I. et al. // J. Phys. Conf. Ser. 2017. V. 848. P. 012020.
- Tomchuk O.V., Volkov D.S., Bulavin L.A. et al. // J. Phys. Chem. C. 2015. V. 119. P. 794.
- Tomchuk O.V., Avdeev M.V., Aksenov V.L. et al. // Fuller. Nanotubes Carbon Nanostr. 2022. V. 30. № 1. P. 171.
- Vizgalov V.A., Nestler T., Trusov L.A. et al. // CrystEngComm. 2018. V. 20. P. 1375.
- Vizgalov V.A., Nestler T., Vyalikh A. et al. // CrystEngComm. 2019. V. 21. P. 3106.
Дополнительные файлы








