Современная растровая электронная микроскопия. 1. Вторичная электронная эмиссия
- Авторы: Новиков Ю.А.1
-
Учреждения:
- Институт общей физики им. А.М. Прохорова РАН
- Выпуск: № 5 (2023)
- Страницы: 80-94
- Раздел: Статьи
- URL: https://journal-vniispk.ru/1028-0960/article/view/137758
- DOI: https://doi.org/10.31857/S102809602305014X
- EDN: https://elibrary.ru/AMQMFC
- ID: 137758
Цитировать
Полный текст
Аннотация
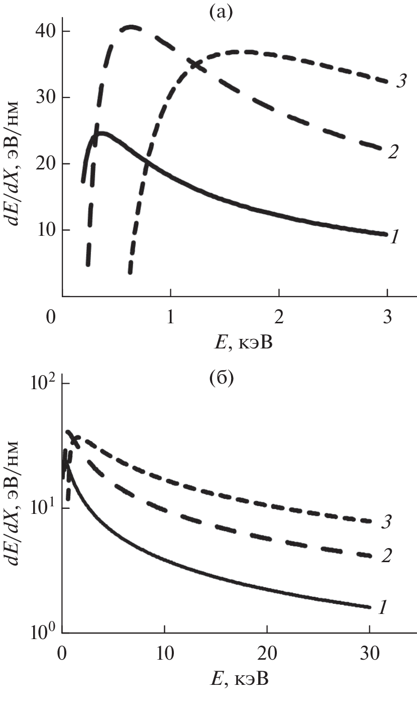
Развитие современных технологий, в том числе нанотехнологии, основано на применении методов диагностики объектов, используемых в технологиях процессах. Для этой цели наиболее перспективными являются методы, реализованные в растровом электронном микроскопе. При этом одним из основных методов является измерение линейных размеров рельефных структур микронного и нанометрового диапазонов, используемых в микро- и наноэлектронике. В основе работы растрового электронного микроскопа лежит вторичная электронная эмиссия твердого тела. Однако практически все известные закономерности вторичной электронной эмиссии были получены на поверхностях, рельефом которых пренебрегалось. Приведен обзор теоретических и экспериментальных материалов исследования вторичной электронной эмиссии твердого тела на безрельефных поверхностях. Практически все известные закономерности проверены в экспериментах и получили свое физическое объяснение. Однако применение вторичной электронной эмиссии в растровой электронной микроскопии, используемой в микро- и наноэлектронике и нанотехнологиях, требует знания закономерностей, которые проявляются именно на рельефных поверхностях. Демонстрируется, какие закономерности можно применять в растровом электронном микроскопе для измерения линейных размеров рельефных структур. Делается вывод о необходимости изучения влияния рельефа поверхности твердого тела на вторичную электронную эмиссию.
Об авторах
Ю. А. Новиков
Институт общей физики им. А.М. Прохорова РАН
Автор, ответственный за переписку.
Email: nya@kapella.gpi.ru
Россия, 119991, Москва
Список литературы
- Reimer L. Scanning Electron Microscopy: Physics of Image Formation and Microanalysis. Springer Berlin, Heidelberg, 1998. https://doi.org/10.1007/978-3-540-38967-5
- Практическая растровая электронная микроскопия / Ред. Гоулдстейн Дж., Яковиц Х. Пер. с англ. М.: Мир, 1978. 656 с.
- Гоулдстейн Дж., Ньюбери Д., Эчлин П., Джой Д., Фиори Ч., Лифшин Э. Растровая электронная микроскопия и рентгеновский микроанализ / Пер. с англ. М.: Мир, 1984. 303 с.
- Микроанализ и растровая электронная микроскопия / Ред. Морис Ф. и др. Пер. с фр. М.: Металлургия, 1985. 392 с.
- Криштал М.М., Ясников И.С., Полунин В.И., Филатов А.М., Ульяненков А.Г. Сканирующая электронная микроскопия и рентгеноспектральный микроанализ в примерах практического применения. М.: Техносфера, 2009. 208 с.
- Растровая электронная микроскопия для нанотехнологий. Методы и применение. / Ред. Жу У., Уанг Ж.Л. Пер. с англ. М.: БИНОМ. Лаборатория знаний, 2013. 582 с.
- International Technology Roadmap for Semiconductors. 2013 Edition. Metrology. 2013. 42 p.
- Hatsuzawa T., Toyoda K., Tanimura Y. // Rev. Sci. Instrum. 1990. V. 61. № 3. P. 975.
- Marchman H.M., Griffith J.E., Guo J.Z.Y., Frackoviak J., Celler G.K. // J. Vacuum Sci. Technol. 1994. V. B12. № 6. P. 3585.
- Новиков Ю.А., Раков А.В. // Измерительная техника. 1999. № 1. С. 14.
- Postek M.T., Vladar A.E. Critical dimension metrology and the scanning electron microscope / Handbook of Silicon Semiconductor Metrology. Ed. Diebold A.C. Marcel Dekker Inc. New York – Basel, 2001. P. 295.
- Postek M.T. // Proc. SPIE. 2002. V. 4608. P. 84.
- Постек М. // Вестник технического регулирования. 2007. № 7. С. 8.
- Гавриленко В., Новиков Ю., Раков А., Тодуа П. // Наноиндустрия. 2009. № 4. С. 36.
- Gavrilenko V.P., Novikov Yu.A., Rakov A.V., Todua P.A. // Proc. SPIE. 2009. V. 7405. P. 740504. https://doi.org/10.1117/12.826164
- Тодуа П.А., Быков В.А., Волк Ч.П., Горнев Е.С., Желкобаев Ж., Зыкин Л.М., Ишанов А.Б., Календин В.В., Новиков Ю.А., Озерин Ю.В., Плотников Ю.И., Прохоров А.М., Раков А.В., Саунин С.А., Черняков В.Н. // Микросистемная техника. 2004. № 3. С. 25.
- Gavrilenko V.P., Kalnov V.A., Novikov Yu.A., Orlikovsky A.A., Rakov A.V., Todua P.A., Valiev K.A., Zhikharev E.N. // Proc. SPIE. 2009. V. 7272. P. 727227. https://doi.org/10.1117/12.814062
- Gavrilenko V.P., Novikov Yu.A., Rakov A.V., Todua P.A., Volk Ch.P. // Proc. SPIE. 2009. V. 7272. P. 72720Z. https://doi.org/10.1117/12.813514
- Новиков Ю.А. // Микроэлектроника. 2017. Т. 46. № 1. С. 61. https://doi.org/10.7868/S0544126917010070
- Новиков Ю.А., Раков А.В. // Труды ИОФАН. 1998. Т. 55. С. 3.
- Бронштейн И.М., Фрайман Б.С. Вторичная электронная эмиссия. М.: Наука, 1969. 407 с.
- Шульман А.З., Фридрихов С.А. Вторично-эмиссионные методы исследования твердого тела. М.: Наука, 1977. 551 с.
- Модинос А. Авто-, термо и вторично-электронная эмиссионная спектроскопия. М.: Наука, 1990. 320 с.
- Герус В.Л. Физические основы электронно-лучевых приборов. М.: Наука, 1993. 352 с.
- Корнюшкин Ю.Д. // Поверхность. Рентген., синхротр. и нейтрон. исслед. 1992. № 9. С. 27.
- Каничева И.Р., Павлова А.А. // Физика твердого тела. 1966. Т. 8. № 5. С. 1641.
- Лорикян М.П., Ковалов З.Д., Трофимчук Н.Н. // Радиотехника и электроника. 1969. Т. 14. № 5. С. 935.
- Бушкевич В.Г., Бутслов М.М. // Радиотехника и электроника. 1958. Т. 3. № 3. С. 355.
- Каничева И.Р., Бурцев В.А. // Физика твердого тела. 1959. Т. 1. № 8. С. 1250.
- Вятский А.Я., Трунев В.В. // Радиотехника и электроника. 1967. Т. 12. № 9. С. 1636.
- Гомоюнова М.В., Алиев Б.З. // Физика твердого тела. 1969. Т. 11. № 12. С. 3619.
- Шульман А.Р., Кораблев В.В., Морозов Ю.А. // Физика твердого тела. 1970. Т. 12. № 2. С. 666.
- Шульман А.Р., Кораблев В.В., Морозов Ю.А. // Физика твердого тела. 1970. Т. 12. № 3. С. 758.
- Морозов Ю.А., Осарков Е.Б. // Физика твердого тела. 1971. Т. 13. № 7. С. 2051.
- Бронштейн И.М., Броздниченко А.Н. // Радиотехника и электроника. 1969. Т. 14. № 2. С. 1528.
- Афонина А.Ф., Воробьева О.Б., Климин А.И., Стучинский Г.Б. // Радиотехника и электроника. 1969. Т. 14. № 12. С. 2237.
- Бронштейн И.М., Проценко А.И. // Радиотехника и электроника. 1970. Т. 15. № 9. С. 805.
- Бронштейн И.М., Броздниченко А.Н. // Радиотехника и электроника. 1970. Т. 15. № 8. С. 1721.
- Рашковский С.Ф. // Радиотехника и электроника. 1958. Т. 3. № 3. С. 371.
- Бронштейн И.М., Сегаль Р.Б. // Физика твердого тела. 1959. Т. 1. № 8. С. 1247.
- Рогаля Л.М. // Радиотехника и электроника. 1967. Т. 12. № 9. С. 1680.
- Бронштейн И.М., Сегаль Р.Б. // Радиотехника и электроника. 1960. Т. 5. № 10. С. 1741.
- Лепешинская В.Н., Борисов В.Л., Перчанак Т.М. // Радиотехника и электроника. 1960. Т. 5. № 10. С. 1636.
- Шульман А.Р., Закирова И.Р., Морозов Ю.А., Фридрихов С.А. // Радиотехника и электроника. 1958. Т. 3. № 3. С. 329.
- Фридрихов С.А., Шульман А.Р. // Физика твердого тела. 1959. Т. 1. № 8. С. 1259.
- Фридрихов С.А., Шульман А.Р. // Физика твердого тела. 1959. Т. 1. № 8. С. 1268.
- Зорин И.Е., Коган В.М., Абрамова Н.Н. // Радиотехника и электроника. 1981. Т. 26. № 4. С. 889.
- Harrower G.A. // Physical Review. 1956. V. 104. № 1. P. 52.
- Бронштейн И.М., Рощин В.В. // Журн. технической физики. 1958. Т. 28. № 10. С. 2200.
- Бронштейн И.М., Рощин В.В. // Журн. технической физики. 1958. Т. 28. № 11. С. 2476.
- Шульман А.Р., Ганичев Д.А. // Физика твердого тела. 1962. Т. 4. № 3. С. 745.
- Шульман А.Р., Ганичев Д.А. // Физика твердого тела. 1960. Т. 2. № 3. С. 530.
- Крылова И.В. // Поверхность. Рентген., синхротр. и нейтрон. исслед. 1988. № 1. С. 5.
- Фридрихов С.А. // Физика твердого тела. 1960. Т. 2. № 1. С. 171.
- Фридрихов С.А., Горячева С.Н. // Известия АН СССР. Сер. физ. 1958. Т. 22. № 5. С. 486.
- Вавилов В.С., Киселев В.Ф., Мукашев Б.Н. Дефекты в кремнии и на его поверхности. М.: Наука, 1990. 216 с.
- Ковалев В.П. Вторичные электроны. М.: Энергоиздат, 1987. 177 с.
- Броудай И., Мерей Дж. Физические основы микротехнологии. Пер. с англ. М.: Мир, 1985. 496 с.
- Бета- и гамма-спектроскопия / Ред. Зигбан К. Пер. с англ. М.: Государственное издательство физико-математической литературы, 1959.
- Валиев К.А. Физика субмикронной литографии. М.: Наука, 1990. 528 с.
- Методы анализа поверхностей. / Ред. Зандерна А. Пер. с англ. М.: Мир, 1979. 582 с.
- Новиков Ю.А., Прохоров А.М., Раков А.В. // Поверхность. Физика, химия, механика. 1993. № 3. С. 22.
- Новиков Ю.А., Раков А.В. // Поверхность. Рентген., синхротр. и нейтрон. исслед. 1999. № 8. С. 24.
- Nosker R.W. // J. Appl. Phys. 1969. V. 40. P. 1872.
- Bethe H.A., Rose M.E., Smith H.I. // Proc. Am. Philosophical Soc. 1938. V. 78. P. 573.
- Махов А.Ф. // Физика твердого тела. 1960. Т. 2. № 9. С. 2172.
- Валиев К.А., Кириллов А.Н., Ковтун Б.Н., Махвиладзе Т.М., Мкртчян М.М. // Труды ИОФАН. 1987. Т. 8. С. 5.
- Reimer L. // Scanning Electron Microscopy. 1979. № 2. P. 111.
- Ермаков С.М., Михайлов Г.А. Курс статистического моделирования. М.: Наука, 1976. 319 с.
- Newbury D.E., Yakowitz H. // Proc. Workshop Held at the NBS. Gaithersburg: NBS. 1976. P. 15.
- Хейфец А.С. // Журнал экспериментальной и теоретической физики. 1985. Т. 89. № 2. Вып. 8. С. 459.
- Гайтлер В. Квантовая теория излучения. Пер. с англ. М.: Иностранная литература, 1956.
- Шпольский Э.В. Атомная физика. Т. 1. М.: Наука, 1974. 575 с.
- Аристов В.В., Дремова Н.Н., Рау Э.И. // Журн. технической физики. 1996. Т. 66. № 10. С. 78.
- Новиков Ю.А. // Микроэлектроника. 2014. Т. 43. № 5. С. 373. https://doi.org/10.7868/S0544126914050068
- Postek M.T., Keery W.J., Frederick N.V. // Rev. Sci. Instrum. 1990. V. 61. № 6. P. 1648.
- Kanter H. // Annals of Physics. 1957. V. 20. P. 144.
- Hachenberg O., Brauer W. // Adv. Electronics Electron Phys. 1959. V. 11. P. 413.
- Борисов В.Л., Перчанок Т.М., Лепешинская В.Н. // Радиотехника и электроника. 1960. Т. 5. № 10. С. 1643.
- Сотников В.М. // Поверхность. Рентген., синхротр. и нейтрон. исслед. 1988. № 1. С. 59.
- Берестецкий B.Б., Лифшиц Е.М., Питаевский Л.П. Квантовая электродинамика. 4-е изд. М.: Физматлит, 2002. 720 с.
- Жигарев А.А., Шамаева Г.Т. Электронно-лучевые и фотоэлектронные приборы. М.: Высшая школа, 1982. 463 с.
- Батушев В.А. Электронные приборы. М.: Высшая школа, 1969. 608 с.
- Новиков Ю.А. // Поверхность. Физика, химия, механика. 1995. № 10. С. 58.
- Епифанов Г.И. Физические основы микроэлектроники. М.: Советское радио, 1971. 376 с.
- Van der Ziel A. // Phys. Rev. 1953. V. 92. № 1. P. 35.
- Томашпольский Ю.Я., Севостьянов М.А., Садовская Н.В., Колганова Н.В. // Журн. технической физики. 1990. Т. 60. № 6. С. 103.
- Коханчик Л.С. // Заводская лаборатория. 1994. № 7. С. 21.
- Спивак Г.В., Рау Э.И., Карелин Н.М., Назаров М.В. // Микроэлектроника. 1978. Т. 7. № 3. С. 212.
- Дюков В.Г. // Поверхность. Рентген., синхротр. и нейтрон. исслед. 1982. № 11. С. 1.
- Дюков В.Г., Непийко С.А., Седов Н.Н. Электронная микроскопия локальных потенциалов. Киев: Наукова думка, 1991. 200 с.
Дополнительные файлы













