Выбор материала мишени компактного источника нейтронов при энергии протонов 20–100 МэВ
- Авторы: Мороз А.Р.1,2, Коваленко Н.А.1
-
Учреждения:
- Национальный исследовательский центр “Курчатовский институт” – Петербургский институт ядерной физики
- Санкт-Петербургский государственный университет
- Выпуск: № 7 (2023)
- Страницы: 71-76
- Раздел: Статьи
- URL: https://journal-vniispk.ru/1028-0960/article/view/137784
- DOI: https://doi.org/10.31857/S1028096023070099
- EDN: https://elibrary.ru/TCMDFW
- ID: 137784
Цитировать
Полный текст
Аннотация
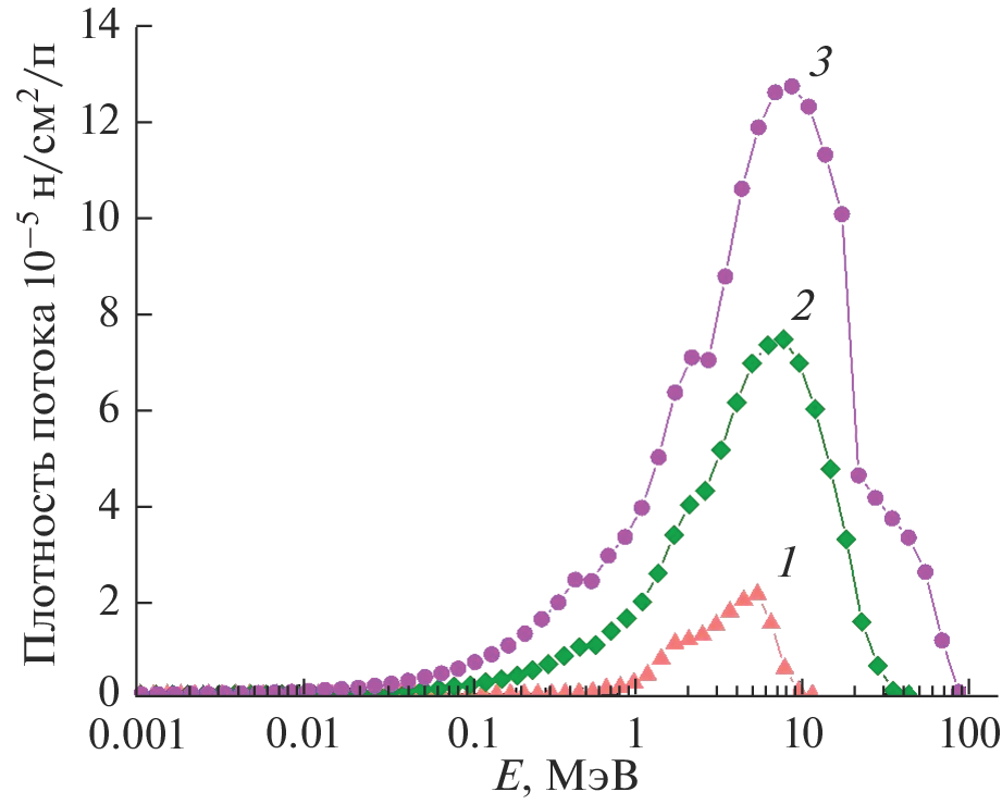
В качестве возможных материалов мишени для компактного источника нейтронов рассмотрены Be, Nb, Ta и W. Учтены тепловые характеристики и коэффициент диффузии водорода. С помощью моделирования транспорта частиц в программе PHITS получены оценки выхода нейтронов при облучении мишени протонами с различной энергией. Разным диапазонам энергии соответствуют различные оптимальные материалы. Наилучшие результаты при энергии до 20 МэВ показывает Be, 20–35 МэВ – Nb, а свыше 35 МэВ – Ta. Последние два материала обладают повышенной устойчивостью к блистерингу по сравнению с бериллием, но проигрывают по теплопроводности. Повышение энергии налетающих протонов также приводит к увеличению числа сгенерированных нейтронов на один протон источника в связи с уменьшенным временем кулоновского взаимодействия частицы с ядром атома мишени.
Ключевые слова
Об авторах
А. Р. Мороз
Национальный исследовательский центр “Курчатовский институт” – Петербургский институт ядерной физики; Санкт-Петербургский государственный университет
Автор, ответственный за переписку.
Email: moroz_ar@pnpi.nrcki.ru
Россия, 188300, Гатчина; Россия, 199034, Санкт-Петербург
Н. А. Коваленко
Национальный исследовательский центр “Курчатовский институт” – Петербургский институт ядерной физики
Email: moroz_ar@pnpi.nrcki.ru
Россия, 188300, Гатчина
Список литературы
- Low Energy Accelerator-Driven Neutron Sources: Rep. League of Advanced European Neutron Sources; Executor: hoc working group CANS LENS Ad, 2020.
- Tаскаeв С.Ю. // Физика элементарных частиц и атомного ядра. 2015. Т. 46. Вып. 6. С. 1770.
- Sordo F., Fernández-Alonso F., Terrón S., Magán M., Ghiglino A., Martinez F., Bermejo F.J., Perlado J.M. // Phys. Procedia. 2014. V. 60. P. 125.
- Gutberlet T. Conceptual Design Report-Jülich High Brilliance Neutron Source (HBS). Forschungszentrum Jülich GmbH, Zentralbibliothek, Verlag, 2020.
- Annighofer S.N., Meuriot J.-L., Tessier O., Permingeat P., Sauce Y., Chauvin N., Senee F., Schwindling J., Ott F. A Solid Beryllium Target Design for SONATE // Proc. Int. Symposium UCANS8. Paris, France, July, 8–11, 2019.
- Мурзина Е.А. Взаимодействие излучений высокой энергии с веществом: Учеб. пособие. М.: Изд-во МГУ, 1990. 369 с.
- Yamagata Y., Hirota K., Ju J., Wang S., Morita S.Y., Kato J.I., Otake Y., Taketani A., Sek, Y., Yamada M., Ota H., Bautista U., Jia Q. // J. Radioanal. Nucl. Chem. 2015. V. 305. № 3. P. 787.
- Ferry L., Virot F., Ferro Y., Matveev D., Linsmeier C., Barrachin M. // J. Nucl. Mater. 2019. V. 524. P. 323.
- Liu Y.N., Wu T., Yu Y., Li X.C., Shu X., Lu G.H. // J. Nucl. Mater. 2014. V. 455. № 1–3. P. 676.
- Wipf H. // Phys. Scripta. 2001. V. 2001. № T94. P. 43.
- Bauer H.C., Völkl J., Tretkowski J., Alefeld G. // Z. Physik. B. 1978. B. 29. № 1. S. 17.
- Ziegler J.F., Ziegler M.D., Biersack J.P. // Nucl. Instrum. Methods Phys. Res. B. 2010. V. 268. № 11–12. P. 1818.
- Немец О.Ф., Гофман Ю.В. Справочник по ядерной физике. Киев, Наукова думка, 1975. 416 с.
- Sato T., Iwamoto Y., Hashimoto S., Ogawa T., Furuta T., Abe S.I., Kai T., Tsai P.-E., Matsuda N., Iwase H., Shigyo N., Sihver L., Niita K. // J. Nucl. Sci. Technol. 2018. V. 55. № 6. P. 684.
- Koning A.J., Rochman D., Sublet J.C., Dzysiuk N., Fleming M., Van der Marck S. // Nucl. Data Sheets. 2019. V. 155. P. 1.
- Boudard A., Cugnon J., David J.C., Leray S., Mancusi D. // Phys. Rev. C. 2013. V. 87. № 1. P. 014606.
- Zakalek P., Doege P.E., Baggemann J., Mauerhofer E., Brückel T. // EPJ Web Conf. 2020. V. 231. P. 03006.
- Аксенов В.Л. // Физика элементарных частиц и атомного ядра. 1995. Т. 26. Вып. 6. С. 1449.
- Ditroi F., Hermanne A., Corniani E., Takacs S., Tárkányi F., Csikai J., Shubin Y.N. // Nucl. Instrum. Methods Phys. Res. B. 2009. V. 267. № 19. P. 3364.
Дополнительные файлы







