Концептуальный проект порошкового дифрактометра по времени пролета для компактного источника нейтронов
- Авторы: Москвин Е.В.1,2, Григорьева Н.А.1, Коваленко Н.А.1,2, Григорьев С.В.1,2
-
Учреждения:
- Санкт-Петербургский государственный университет
- Петербургский институт ядерной физики им. Б.П. Константинова Национального исследовательского центра “Курчатовский институт”
- Выпуск: № 7 (2023)
- Страницы: 77-83
- Раздел: Статьи
- URL: https://journal-vniispk.ru/1028-0960/article/view/137785
- DOI: https://doi.org/10.31857/S1028096023070105
- EDN: https://elibrary.ru/TCSHSM
- ID: 137785
Цитировать
Полный текст
Аннотация
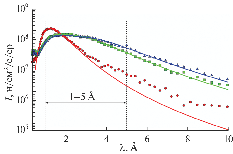
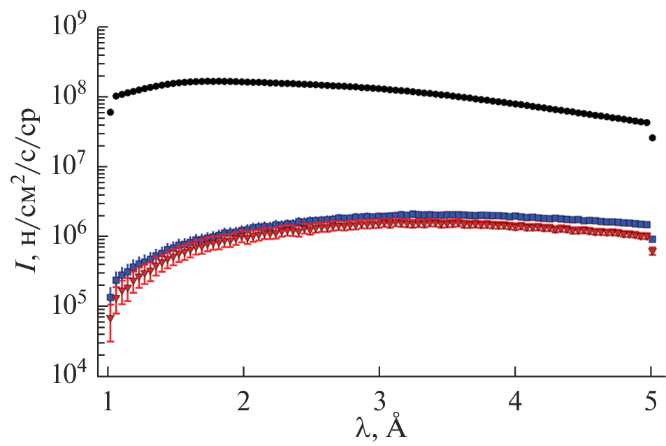
Представлен концептуальный проект порошкового дифрактометра для компактного источника нейтронов DARIA на основе линейного протонного ускорителя. Предложенная концепция расширяет возможности оптимизации производительности прибора не только за счет варьирования параметров дифрактометра, но и параметров нейтронного источника, таких как температура замедлителя, частота повторения и длительность нейтронных импульсов. Приведены результаты расчета спектра мишенной сборки для замедлителей разных типов. В программном пакете McStas проведена оценка эффективности работы нейтроноводной системы для увеличения потока нейтронов на образце. Результаты расчетов показывают принципиальную возможность реализации метода нейтронной дифракции в условиях ограниченной светимости компактного источника нейтронов.
Об авторах
Е. В. Москвин
Санкт-Петербургский государственный университет; Петербургский институт ядерной физики им. Б.П. Константинова Национального исследовательского центра “Курчатовский институт”
Автор, ответственный за переписку.
Email: moskvin_ev@pnpi.nrcki.ru
Россия, 199034,
Санкт-Петербург; Россия, 188300, Гатчина
Н. А. Григорьева
Санкт-Петербургский государственный университет
Email: moskvin_ev@pnpi.nrcki.ru
Россия, 199034,
Санкт-Петербург
Н. А. Коваленко
Санкт-Петербургский государственный университет; Петербургский институт ядерной физики им. Б.П. Константинова Национального исследовательского центра “Курчатовский институт”
Email: moskvin_ev@pnpi.nrcki.ru
Россия, 199034,
Санкт-Петербург; Россия, 188300, Гатчина
С. В. Григорьев
Санкт-Петербургский государственный университет; Петербургский институт ядерной физики им. Б.П. Константинова Национального исследовательского центра “Курчатовский институт”
Email: moskvin_ev@pnpi.nrcki.ru
Россия, 199034,
Санкт-Петербург; Россия, 188300, Гатчина
Список литературы
- Silverman I., Arenshtam A., Berkovits D. et al. // AIP Conf. Proceed. 2018. V. 1962. P. 020002. https://doi.org/10.1063/1.5035515
- Furusaka M., Sato H., Takashi K., Ohnuma M., Kiyanagi Y. // Phys. Procedia. 2014. V. 60. P. 167. https://doi.org/10.1016/j.phpro.2014.11.024
- Beyer R., Birgersson E., Elekes Z., Ferrari A., Grosse E., Hannaske R., Junghans A., Kögler T., Massarczyk R., Matić A. et al. // Nucl. Instrum. Methods Phys. Res. A. 2013. V. 23. P. 151. https://doi.org/10.1016/j.nima.2013.05.010
- Kobayashi T., Ikeda S., Otake Y., Ikeda Y., Hayashizaki N. // Nucl. Instrum. Methods Phys. Res. A. 2021. V. 994. P. 65091. https://doi.org/10.1016/j.nima.2021.165091
- Baxter D. // The Eur. Phys. J. Plus. 2016. V. 131. P. 83. https://doi.org/10.1140/epjp/i2016-16083-9
- Ene D., Borcea C., Flaska M., Kopecky S., Negret A., Mondelaers W., Plompen A.J.M. // Int. Conf. on Nuclear Data for Science and Technology. 2008. V. ND 2007. https://doi.org/10.1051/ndata:07330
- Wei J., Chen H.B., Huang W.H., Tang C.X., Xing Q.Z., Loong C.-K., Fu S.N., Tao J.Z., Guan X.L., Shimizu H.M. // Proceed. PAC09, Vancouver, BC, Canada, 2009. https://s3.cern.ch/inspire-prod-files-f/f4fca313b2051-fb1e4e7bf3650e70af1
- Ikeda Y., Taketani A., Takamura M., Sunaga H., Kumagai M., Oba Y., Otake Y., Suzuki H. // Nucl. Instrum. Methods Phys. Res. A. 2016. V. 833. P. 61. https://doi.org/10.1016/j.nima.2016.06.127
- Iwamoto C., Takamura M., Ueno K., Kataoka M., Kurihara R., Xu P., Otake Y. // ISIJ Int. 2022. V. 62. № 5. P. 1013. https://doi.org/10.2355/isijinternational.ISIJINT-2021-420
- Niita K., Sato T., Iwase H., Nose H., Nakashima H., Sihver L. // Rad. Measur. 2006. V. 41. № 9–10. P. 1080. https://doi.org/10.1016/j.radmeas.2006.07.013
- Lefmann K., Nielsen N.K. // Neutron News. 1999. V. 10. № 3. P. 20.https://doi.org/10.1080/10448639908233684
- Павлов К.А., Коник П.И., Коваленко Н.А., Кулевой Т.В., Серебренников Д.А., Субботина В.В., Павлова А.Е., Григорьев С.В. // Кристаллография. 2022. Т. 67. № 1. С. 5. https://doi.org/10.31857/S002347612201009X
- Pavlova A.E., Petrova A.O., Konik P.I., Pavlov K.A., Grigoriev S.V. // J. Surf. Invest.: X-Ray, Synchrotron Neutron Tech. 2021. V. 15. № 1. P. 70. https://doi.org/10.1134/S1027451021010122
- Carpenter J.M. // Nucl. Instrum. Methods. 1967. V. 47. P. 179. https://deepblue.lib.umich.edu/bitstream/handle/2027.42/33373/0000771.pdf?sequence=1
- Hannon A.C. // Nucl. Instrum. Methods Phys. Res. A. 2005. V. 551. P. 88. https://doi.org/10.1016/j.nima.2005.07.053
- Maier-Leibnitz H., Springer T. // J. Nucl. En. 1963. V. 17. № 4–5. P. 217. https://doi.org/10.1016/0368-3230(63)90022-3
Дополнительные файлы







