Резонансная нейтронная рефлектометрия на компактном источнике нейтронов
- Авторы: Никова Е.С.1, Саламатов Ю.А.1, Кравцов Е.А.1,2
-
Учреждения:
- Институт физики металлов им. М.Н. Михеева УрО РАН
- Уральский Федеральный университет
- Выпуск: № 7 (2023)
- Страницы: 102-107
- Раздел: Статьи
- URL: https://journal-vniispk.ru/1028-0960/article/view/137788
- DOI: https://doi.org/10.31857/S1028096023070117
- EDN: https://elibrary.ru/TEZEMM
- ID: 137788
Цитировать
Полный текст
Аннотация
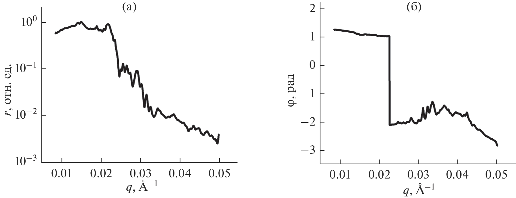
В статье представлен подход для решения фазовой проблемы в нейтронной рефлектометрии (в том числе в рефлектометрии поляризованных нейтронов), основанный на эффекте резонансного взаимодействия ядер изотопов гадолиния 155Gd и 157Gd с тепловыми нейтронами. Этот эффект используют для реализации метода опорного слоя, который позволяет по результатам трех экспериментов восстановить комплексный коэффициент отражения исследуемого образца. Знание комплексного коэффициента отражения дает возможность модельно-независимого анализа потенциала взаимодействия, как ядерного, так и магнитного. Основное применение данного подхода – изучение строения слоев и межслойных границ, а также определение магнитного состояния многослойных металлических наногетероструктур. Приведена теоретическая основа метода, заключающаяся в нанесении на исследуемый образец слоя гадолиния с известными параметрами, один из которых можно контролируемо варьировать. Подробно описана схема проведения эксперимента на примере модельных численных расчетов. Приведен наглядный экспериментальный результат для простого однослойного образца ниобия, для которого были рассчитаны модуль и фаза коэффициента отражения. Предложены перспективные направления усовершенствования метода и возможные направления дальнейшей работы. Сформулированы пожелания к характеристикам компактного источника нейтронов, необходимым для оптимальной реализации предлагаемого метода.
Об авторах
Е. С. Никова
Институт физики металлов им. М.Н. Михеева УрО РАН
Автор, ответственный за переписку.
Email: e.nikova@mail.ru
Россия, 620990, Екатеринбург
Ю. А. Саламатов
Институт физики металлов им. М.Н. Михеева УрО РАН
Email: e.nikova@mail.ru
Россия, 620990, Екатеринбург
Е. А. Кравцов
Институт физики металлов им. М.Н. Михеева УрО РАН; Уральский Федеральный университет
Email: e.nikova@mail.ru
Россия, 620990, Екатеринбург; Россия, 620002, Екатеринбург
Список литературы
- Klibanov M.V., Sacks P.E. // J. Math. Phys. 1992. V. 33. № 11. P. 3813.
- Majkrzak C.F., Berk N.F. // Phys. Rev. B.1995. V. 52. P. 10827.
- de Haan V.O., van Well A.A., Adenwalla S., Felcher G.P. // Phys. Rev. B. 1995. V. 52. № 15. P. 10831.
- Majkrzak C.F., Berk N.F. // Phys. Rev. B. 1998. V. 58. P. 15416.
- Majkrzak C.F., Berk N.F., Silin V. // Phys. Rev. B. 2000. V. 283. P. 248.
- Kirby B.J., Kienzle P.A., Maranville B.B., Berk N.F., Krycka J., Heinrich F., Majkrzak C.F. // Curr. Opin. Colloid Interface Sci. 2012. V. 17. P. 44.
- Majkrzak C.F., Carpenter E., Heinrich F., Berk N.F. // J. Appl. Phys. 2011. V. 110. P. 102212.
- Lynn J.E., Seeger P.A. // Atomic Data Nucl. Data Tables. 1990. V. 44. Iss. 2. P. 191.
- Nikova E.S., Salamatov Yu.A., Kravtsov E.A., Bodnarchuk V.I., Ustinov V.V. // Physica B. 2019. V. 552. P. 58.
- Павлов К.А., Коник П.И., Коваленко Н.А., Кулевой Т.В., Серебренников Д.А., Субботина В.В., Павлова А.Е., Григорьев С.В. // Кристаллография. 2022. V. 67. № 1. Р. 5.
- Lekner J. // Exact results. In: Theory of Reflection of Electromagnetic and Particle Waves. Developments in Electromagnetic Theory and Applications, V. 3. Springer Science Business Media Dordrecht, 1987. C. 12.
- de Haan V.O., van Well A.A., Sacks P.E., Adenwalla S., Felcher G.P. // Phys. Rev. B. 1996. V. 221. P. 524.
- Majkrzak C.F., Berk N.F., Perez-Salas U.A. // Langmuir. 2003. V. 19. P. 7796.
- Zimmerman K.M. Advanced Analysis Techniques for X‑ray Reflectivities: Theory and Application. Karlsruhe, 2005. 190 p.
- Никова Е.С, Саламатов Ю.А., Кравцов Е.А., Макарова М.В., Проглядо В.В., Устинов В.В., Боднарчук В.И., Нагорный А.В. // Физика металлов и металловедение. 2019. V. 120. P. 913.
- Nikova E.S., Salamatov Yu.A., Kravtsov E.A., Ustinov V.V., Bodnarchuk V.I., Nagorny A.V. // J. Surf. Invest.: X-Ray, Synchrotron Neutron Tech. 2020. V. 14. P. 161.
- Nikova E.S., Salamatov Yu.A., Kravtsov E.A., Ustinov V.V. // J. Surf. Invest.: X-Ray, Synchrotron Neutron Tech. 2021. V. 15. P. 899.
- Никова Е.С., Саламатов Ю.А., Кравцов Е.А., Проглядо В.В, Жакетов В.Д., Миляев М.А. // Поверхность. Рентгеновские, синхротронные и нейтронные исследования. 2022. № 11. C. 1. https://www.doi.org/10.31857/S1028096022110176 (в печати).
- Book A., Kienzle P.A. // Physica B: Condensed Matter. 2020. V. 588. P. 412181.
Дополнительные файлы







