On the Radiation Stability of ZnO Powders Modified with Own Nanoparticles
- Authors: Mikhailov M.M.1, Yuryev S.A.1, Lapin A.N.1, Goronchko V.A.1
-
Affiliations:
- Tomsk State University of Control Systems and Radioelectronics
- Issue: No 9 (2023)
- Pages: 52-57
- Section: Articles
- URL: https://journal-vniispk.ru/1028-0960/article/view/137812
- DOI: https://doi.org/10.31857/S1028096023090078
- EDN: https://elibrary.ru/ZMCKHS
- ID: 137812
Cite item
Full Text
Abstract
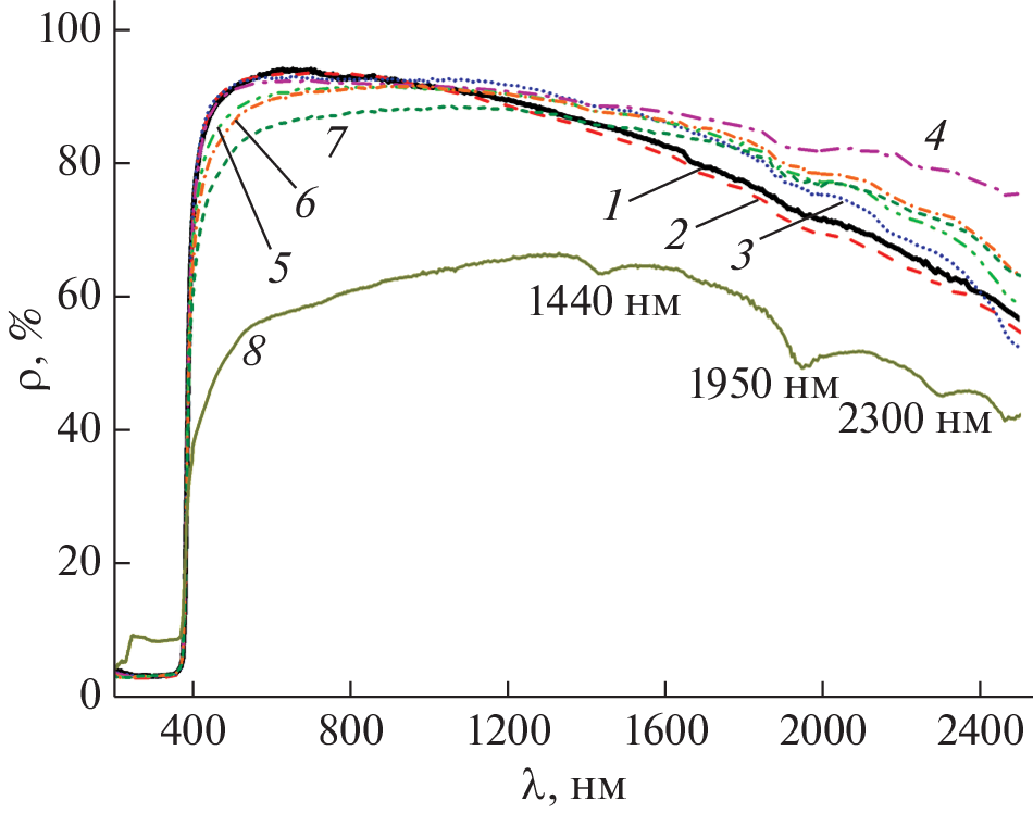
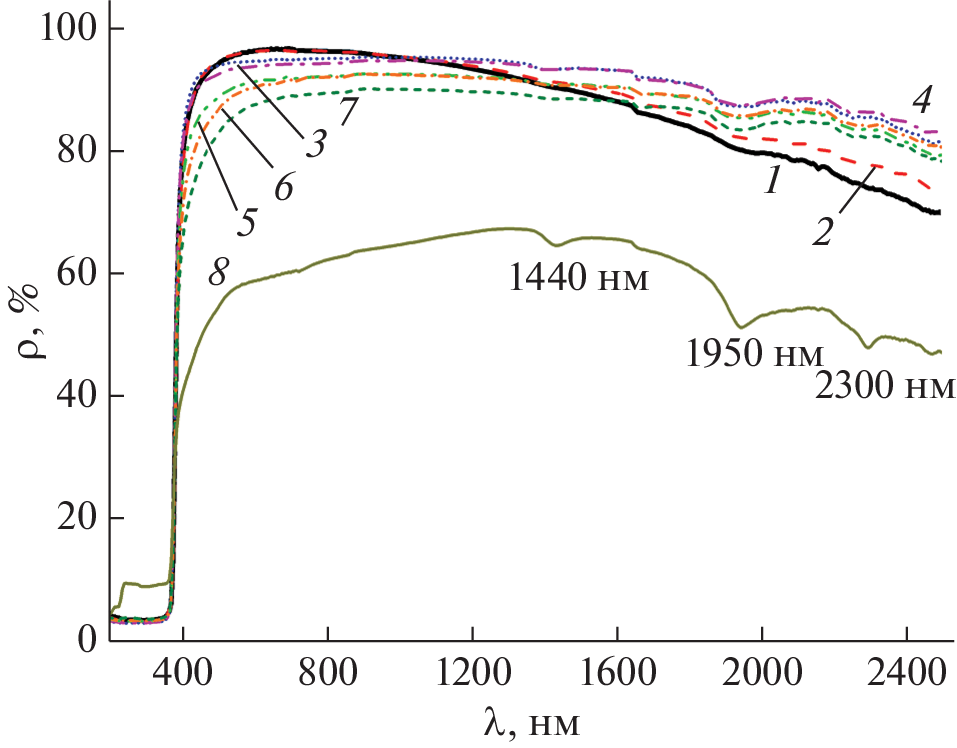
Changes in the diffuse reflectance spectra (∆ρλ) and integral absorption coefficient (Δаs) in the range of 0.2–2.5 µm were studied after modification of zinc oxide powders with few µm particles (mZnO) via own nZnO nanoparticles of various concentrations in the range of 0.1–10.0 wt %. A decrease in the reflection coefficient (ρ) in the range of 0.4–1.0 µm and its increase in the range of 1.0–2.5 µm in the modified mZnO/nZnO powders was established. Electron irradiation (Е = 30 keV, F = 2 × 1016 cm–2) of mZnO, nZnO, and mZnO/nZnO powders with different concentrations of nanoparticles showed that the optimal concentration of nanoparticles is 5 wt %. The radiation stability of the modified powder at this concentration increased by a factor of 2.95, the radiation stability of a nanopowder is more than 2 times higher than that of a powder with particles a few microns in size. When irradiated with electrons all three types of powders form their own point defects, which absorb in the visible region, and free electrons, which absorb in the near-IR region.
About the authors
M. M. Mikhailov
Tomsk State University of Control Systems and Radioelectronics
Author for correspondence.
Email: membrana2010@mail.ru
634000 Russia, Tomsk
S. A. Yuryev
Tomsk State University of Control Systems and Radioelectronics
Author for correspondence.
Email: yusalek@gmail.com
634000 Russia, Tomsk
A. N. Lapin
Tomsk State University of Control Systems and Radioelectronics
Email: yusalek@gmail.com
634000 Russia, Tomsk
V. A. Goronchko
Tomsk State University of Control Systems and Radioelectronics
Email: yusalek@gmail.com
634000 Russia, Tomsk
References
- Нещименко В.В. Исследование структуры, свойств и радиационной стойкости оксидных порошков, модифицированных наночастицами: Дис. д-ра физико-математических наук: 01.04.07. Томск: ИФПМ, 2017, 325 с.
- Brown R.R., Fogdall L.B. Cannaday S.S. // Prog. Astronautics: Thermal Design Principles of Spacecraft and Entry. 1969. V. 21. P. 697.
- Heydari V., Bahreini Z. // J. Coat. Technol. Res. 2018. V. 15. P. 223.
- Mastan R., Khorsand Zak A., Pilevar Shahri R. // Ceram. Int. 2020. V. 46. P. 8582.
- Chen H., Li P., Zhou H. // Mater. Res. Bull. 2022. V. 146. P. 111572.
- Mikhailov M.M., Neshchimenko V.V., Li C., He S., Yang D. // J. Mater. Res. 2009. V. 24. P. 19.
- Kositsyn L.G., Mikhailov M.M., Kuznetsov N.Y., Dvoretskii M.I. // Instrum. Exp. Tech. 1985. V. 28. P. 929.
- ASTM E490-00a. Standard Solar Constant and Zero Air Mass Solar Spectral Irradiance Tables (2005) ASTM Int. PA, USA. https://www.astm.org/e0490-00ar19.html.
- ASTM E903-96. Standard Test Method for Solar Absorptance, Reflectance, and Transmittance of Materials Using Integrating Spheres (2005) ASTM Int. PA, USA. https://www.astm.org/e0903-96.html
- Djaja N., Montja D., Saleh R. // Adv. Mater. Phys. Chem. 2013. V. 3. P. 33.
- Shokry H.H., Elkady M.F., El-Shazly A.H., Bamufleh Hisham S. // J. Nanomaterials. 2014. P. 967492.
- Davydov A. Molecular spectroscopy of oxide catalyst surfaces. Chichester: John Wiley & Sons Ltd., 2003. 641 p.
- Boccuzzi F., Morterra C., Scala R., Zecchina A. // J. Chem. Soc. Faraday Trans. II. 1981. V. 77. P. 2059.
- Boccuzzi F., Borello E., Zecchina A., Bossi A., Camia M. // J. Catalysis. 1978. V. 51. P. 150.
- Saussey J., Lavalley J.-C., Bovet C. // J. Chem. Soc. Faraday Trans. 1. 1982. V. 78. P. 1457.
- Накамото К. ИК-спектры и спектры КР неорганических и координационных соединений. Пер. с англ. М.: Мир, 1991. 536 с.
- Indrajith Naik E., Sunil Kumar Naik T.S., Pradeepa E., Simranjeet Singh, Bhojya Naik H.S. // Mater. Chem. Phys. 2022. V. 281. P. 125860.
- Михайлов М.М., Дворецкий М.И. // Известия Вузов. Физика. 1988. № 7. С. 86.
- Шалимова К.В. Физика полупроводников. М.: Энергия, 1976, 416 с.
- Mikhailov M.M., Neshchimenko V.V., Li C. // Dyes and Pigments. 2016. V. 131. P. 256.
- Abu-Shamleh A., Alzubi H., Alajlouni A. // Photon. Nanostructures. Fundamentals Appl. 2021. V. 43. P. 100862.
Supplementary files









