Neutron Irradiation Effect on the Spectral Characteristics of InxGa1 – xN LEDs
- Authors: Tkachev O.V.1, Dubrovskikh S.M.1, Koksharova K.D.1, Fedorets A.V.1
-
Affiliations:
- Russian Federal Nuclear Center – VNIITF (Federal State Unitary Enterprise “Russian Federal Nuclear Center – Zababakhin All-Russia Research Institute of technical Physics”
- Issue: No 9 (2023)
- Pages: 103-109
- Section: Articles
- URL: https://journal-vniispk.ru/1028-0960/article/view/137819
- DOI: https://doi.org/10.31857/S1028096023040192
- EDN: https://elibrary.ru/JMXNSY
- ID: 137819
Cite item
Full Text
Abstract
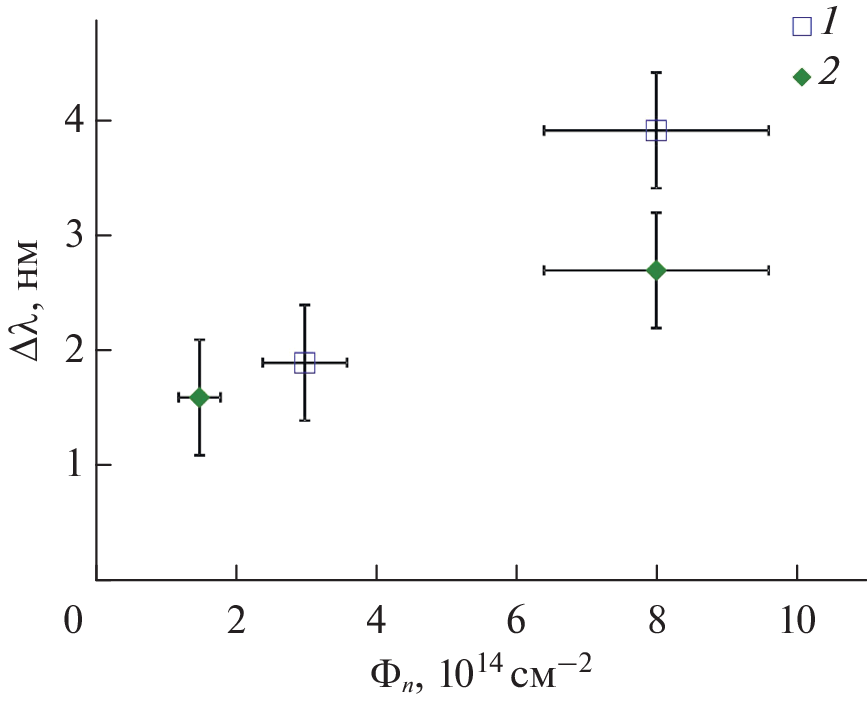
The results of studying the neutron irradiation effect on the spectral characteristics of InxGa1 – xN LEDs are presented. The mechanism responsible for the shift of the emission spectra maximum of LEDs under the neutron influence has been determined. The coherence is shown between the radiation sensitivity of the spectral characteristics of the sample active layers and the composition of InxGa1 – xN solid solution. An analytical calculation has been carried out to estimate the possible maximum shift of the luminescence spectrum of InxGa1 – xN LEDs after neutron exposure.
About the authors
O. V. Tkachev
Russian Federal Nuclear Center – VNIITF (Federal State Unitary Enterprise “Russian Federal Nuclear Center – Zababakhin All-Russia Research Institute of technical Physics”
Email: dep5@vniitf.ru
Russia, 456770, Chelyabinsk region, Snezhinsk
S. M. Dubrovskikh
Russian Federal Nuclear Center – VNIITF (Federal State Unitary Enterprise “Russian Federal Nuclear Center – Zababakhin All-Russia Research Institute of technical Physics”
Author for correspondence.
Email: dep5@vniitf.ru
Russia, 456770, Chelyabinsk region, Snezhinsk
K. D. Koksharova
Russian Federal Nuclear Center – VNIITF (Federal State Unitary Enterprise “Russian Federal Nuclear Center – Zababakhin All-Russia Research Institute of technical Physics”
Email: dep5@vniitf.ru
Russia, 456770, Chelyabinsk region, Snezhinsk
A. V. Fedorets
Russian Federal Nuclear Center – VNIITF (Federal State Unitary Enterprise “Russian Federal Nuclear Center – Zababakhin All-Russia Research Institute of technical Physics”
Email: dep5@vniitf.ru
Russia, 456770, Chelyabinsk region, Snezhinsk
References
- Compton D.M.J., Cesena R.A. // IEEE Trans. Nucl. Sci. 1967. V. 14. № 6. P. 55. https://doi.org/10.1109/TNS.1967.4324775
- Polimadei R.A., Share S., Epstein A.S., Lynch R.J., Sullivan D. // IEEE Trans. Nucl. Sci. 1974. V. 21. P. 96. https://doi.org/10.1109/TNS.1974.6498911
- Hava S., Lam R. // J. Appl. Phys. 1986. V. 59. № 6. P. 2229. https://doi.org/10.1063/1.336364
- Comparo J.C., Delcamp S.B., Frueholz R.P. // J. Appl. Phys. 1992. V. 71. № 11. P. 5323. https://doi.org/10.1063/1.350548
- Hava. S. // J. Appl. Phys. 2002. V. 91. № 1. P. 8. https://doi.org/10.1063/1.1419266
- Байдусь Н.В., Вихрова О.В., Звонков Б.Н., Малышева Е.И., Труфанов А.Н. // Физика и техника полупроводников. 2015. Т. 49. Вып. 3. С. 370.
- Вихрова О.В., Данилов Ю.А., Звонков Б.Н., Калентьева И.Л., Нежданов А.В., Парафин А.Е., Хомицкий Д.В., Антонов И.Н. // Физика и техника полупроводников. 2020. Т. 54. Вып. 12. С. 1336. https://doi.org/10.21883/FTP.2020.12.50234.9484
- Шукайло В.П., Ткачев О.В., Дубровских С.М., Басаргина Н.В., Ворожцова И.В. // ВАНТ. Сер. Физика радиационного воздействия на РЭА. 2012. Вып. 4. С. 41.
- Оболенский С.В., Шукайло В.П., Ткачев О.В., Дубровских С.М., Басаргина Н.В., Ворожцова И.В. // Вестн. ННГУ. 2012. № 6(1). С. 51.
- Шуберт Ф. Светодиоды / Ред. Юнович А.Э. М.: Физматлит, 2008. 495 с.
- Brudnyi V.N., Boiko V.M., Kolin N.G., Kosobutsky A.V., Korulin A.V., Brudnyi P.A., Ermakov V.S. // Semiconductor Sci. Technol. 2018. V. 33. № 9. P. 095011. https://doi.org/10.1088/1361-6641/aad53b
- Johnston A.N. // IEEE Trans. Nucl. Sci. 2003. V. 50. № 3. P. 689. https://doi.org/10.1109/TNS.2003.812926
- Рыжиков В.И. Контроль радиационной стойкости мощных светодиодов на основе широкозонных полупроводников: Дис. … канд. тех. наук: 05.11.13. М.: МИРЭА, 2004. 100 с.
- Сошников И.П., Лундин В.В., Усиков А.С., Калмыкова И.П., Леденцов Н.Н., Rosenauer A., Neubauer B., Gerthsen D. // Физика и техника полупроводников. 2000. Т. 34. Вып. 6. С. 647.
- Gerthsen D., Hahn E., Neubauer B., Potin V., Rosenauer A., Schowalter M. // Phys. Stat. Sol. C. 2003. V. 0. № 6. P. 1668. https://doi.org/10.1002/pssc.200303129
- Кудряшов В.Е., Мамакин С.С., Туркин А.Н., Юнович А.Э., Ковалев А.Н., Маняхин Ф.И. // Физика и техника полупроводников. 2001. Т. 35. Вып. 7. С. 861.
- Ершов Е.В., Иванов А.Ф., Найдин А.А., Рогачков О.А., Пермяков В.О., Фомина Е.В. // Ядерная физика и инжиниринг. 2013. Т. 4. № 1. Р. 17. https://doi.org/10.1134/S207956291301003X
- Цацульников А.Ф., Лундин В.В., Сахаров А.В., Заварин Е.Е., Усов С.О., Николаев А.Е., Синицын М.А., Черкашин Н.А., Карпов С.Ю. // Физика и техника полупроводников. 2015. Т. 49. Вып. 11. С. 1563. https://doi.org/10.1134/S1063782615110238
- Бочкарева Н.И., Шретер Ю.Г. // Физика и техника полупроводников. 2018. Т. 52. Вып. 7. С. 796. https://doi.org/10.21883/FTP.2018.07.46055.8790
- Зиновьев Р.А. Исследование дефектов в GaN светодиодах: Дис. … канд. физ.-мат. наук: 01.04.10. М.: МИСиС, 2020. 147 с.
Supplementary files









