Influence of Aluminium on the Structure and Electrical Properties of Amorphous Diamond-Like Silicon-Carbon Films
- Авторлар: Popov A.I.1,2, Presnyakov M.Y.3, Domashevskaya E.P.4, Terekhov V.A.4, Semenov-Shefov M.A.1, Afanas’ev V.P.1, Chukanova T.S.1, Zezin D.A.1,2, Yemets V.M.1, Barinov A.D.1,2, Shapetina M.A.5
-
Мекемелер:
- National Research University “Moscow Power Engineering Institute”
- Institute of Nanotechnology of Microelectronics RAS
- National Research Center “Kurchatov Institute”
- Voronezh State University
- Moscow State Pedagogical University
- Шығарылым: № 11 (2023)
- Беттер: 24-32
- Бөлім: Articles
- URL: https://journal-vniispk.ru/1028-0960/article/view/232207
- DOI: https://doi.org/10.31857/S1028096023110171
- EDN: https://elibrary.ru/LXCJUQ
- ID: 232207
Дәйексөз келтіру
Толық мәтін
Аннотация
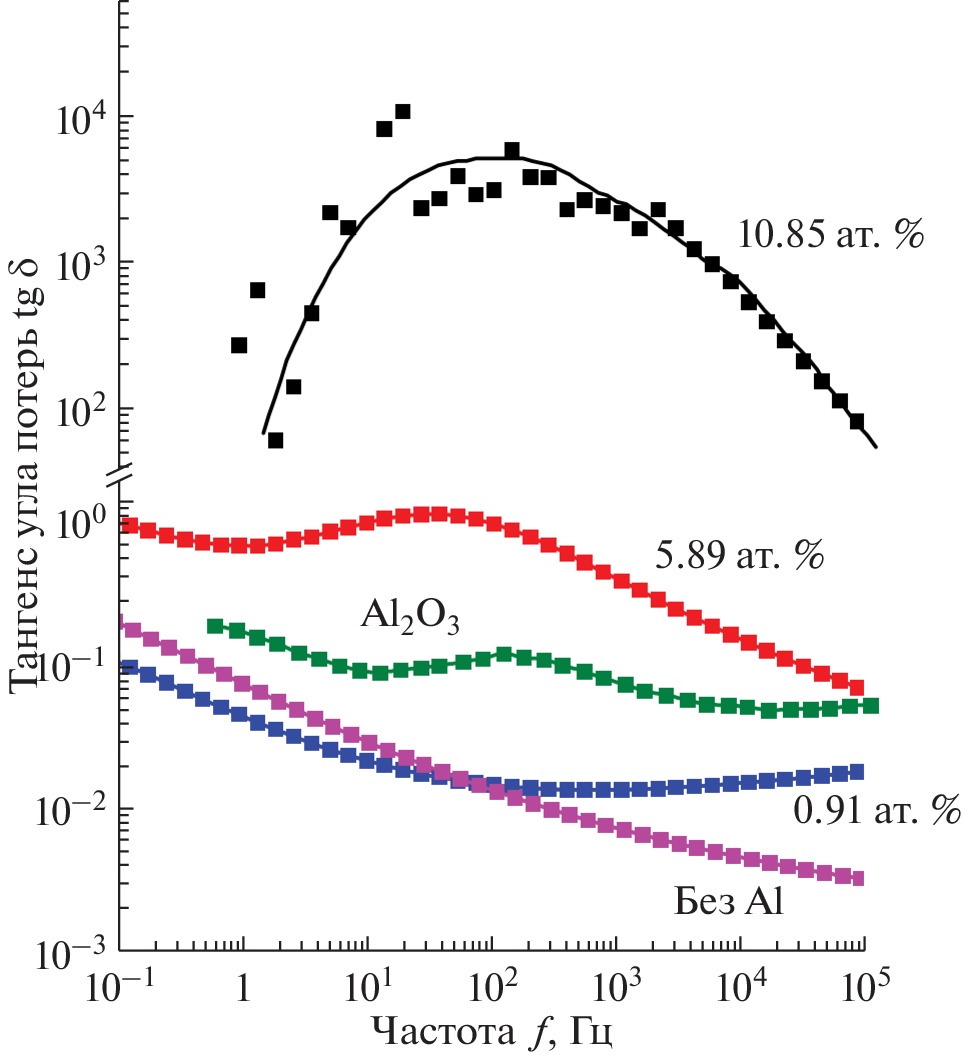
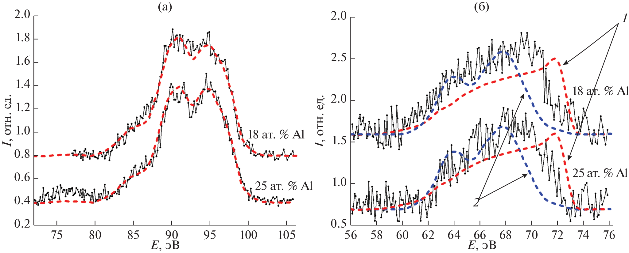
This article studies the influence of aluminium, a weak-carbide-forming metal, on phase composition, structure, and electro physical properties of amorphous diamond-like silicon-carbon films. The results of this study are compared with the influence on the same characteristics of strong-carbide-forming transition metals – titanium and hafnium. It is shown that the effects of aluminium and transition metals on the structure and properties of silicon-carbon films are fundamentally different. The addition of aluminium in a wide range of concentrations, in contrast to transition metals, does not lead to formation of a nano-crystalline phase in the films. The dependence of electrical conductivity on the aluminium concentration is smooth and monotonic, but in the case of transition metals, it has a pronounced percolation form. In addition, the absolute values of changes in electrical conductivity differ by orders of magnitude. The performed studies allowed us to conclude that the reasons for these differences are due to the interaction of metals with different chemical elements of the film. Transition metal atoms interact mainly with carbon atoms to form nanocrystals of highly conductive carbides. In contrast, aluminium atoms mainly interact with oxygen atoms and form an amorphous phase of aluminium oxide.
Авторлар туралы
A. Popov
National Research University “Moscow Power Engineering Institute”; Institute of Nanotechnology of Microelectronics RAS
Хат алмасуға жауапты Автор.
Email: popovai2009@gmail.com
Russia, 111250, Moscow; Russia, 119991, Moscow
M. Presnyakov
National Research Center “Kurchatov Institute”
Email: barinovad@mpei.ru
Russia, 123182, Moscow
E. Domashevskaya
Voronezh State University
Email: barinovad@mpei.ru
Russia, 394006, Voronezh
V. Terekhov
Voronezh State University
Email: barinovad@mpei.ru
Russia, 394006, Voronezh
M. Semenov-Shefov
National Research University “Moscow Power Engineering Institute”
Email: barinovad@mpei.ru
Russia, 111250, Moscow
V. Afanas’ev
National Research University “Moscow Power Engineering Institute”
Email: barinovad@mpei.ru
Russia, 111250, Moscow
T. Chukanova
National Research University “Moscow Power Engineering Institute”
Email: barinovad@mpei.ru
Russia, 111250, Moscow
D. Zezin
National Research University “Moscow Power Engineering Institute”; Institute of Nanotechnology of Microelectronics RAS
Email: barinovad@mpei.ru
Russia, 111250, Moscow; Russia, 119991, Moscow
V. Yemets
National Research University “Moscow Power Engineering Institute”
Email: barinovad@mpei.ru
Russia, 111250, Moscow
A. Barinov
National Research University “Moscow Power Engineering Institute”; Institute of Nanotechnology of Microelectronics RAS
Хат алмасуға жауапты Автор.
Email: barinovad@mpei.ru
Russia, 111250, Moscow; Russia, 119991, Moscow
M. Shapetina
Moscow State Pedagogical University
Email: barinovad@mpei.ru
Russia, 119991, Moscow
Әдебиет тізімі
- Meškinis Š., Tamulevičien’e A. // Mater. Sci. 2011. V. 17. № 4. P. 358. https://doi.org/10.5755/j01.ms.17.4.770
- Vencatraman C., Goel A., Lei R., Kester D., Outten C. // Thin Solid Films. 1997. V. 308–309. P. 173. https://doi.org/10.1016/S0040-6090(97)00384-2
- Mangolini F., Krick B.A., Jacobs T.D.B., Khanal S.R., Streller F., McClimon J.B., Hilbert J., Prasad S.V., Scharf T.W., Ohlhausen J.A., Lukes J.R., Sawyer W.G., Carpick R.W. // Carbon. 2018. V. 130. P. 127. https://doi.org/10.1016/j.carbon.2017.12.096
- Zavedeev E.V., Zilova O.S., Shupegin M.L., Barinov A.D., Arutyunyan N.R., Roch T., Pimenov S.M. // Appl. Phys. A. 2016. V. 122. P. 961. https://doi.org/10.1007/s00339-016-0508-7
- Bociaga D., Sobczyk-Guzenda A., Szymanski W., Jedrzejczak A., Jastrzebska A., Olejnik A., Swiatek L., Jastrzebski K. // Vacuum. 2017. V. 143. P. 395. https://doi.org/10.1016/j.vacuum.2017.06.027
- Величко М.А., Гладких Ю.П. // Науч. ведомости Белгородского НИУ: Сер. Математика. Физика. 2016. № 6 (227). Вып. 42. С. 115.
- Barinov A.D., Popov A.I., Presnyakov M.Yu. // Inorg. Mater. 2017. V. 53. № 7. P. 690. https://doi.org/10.1134/S0020168517070019
- Popov A.I., Barinov A.D., Presniakov M.Y. // J. Nanoelectronics Optoelectronics. 2015. V. 9. № 6. P. 787. https://doi.org/10.1166/jno.2014.1678
- Frolov V.D., Pimenov S.M., Zavedeev E.V., Konov V.I., Lubnin E.N., Kirpienko G.G. // J. Surf. Invest. X-ray, Synchrotron Neutron Tech. 2007. V. 1. № 3. P. 3203. https://doi.org/10.1134/S1027451007030135
- Шупегин М.Л. // Заводская лаборатория. Диагностика материалов. 2013. Т. 79. № 2. С. 28.
- Белогорохов А.И., Додонов А.М., Малинкович М.Д., Пархоменко Ю.Н., Смирнов А.П., Шупегин М.Л. // Известия вузов. Материалы электронной техники. 2007. № 1. С. 69.
- Попов А.И., Баринов А.Д., Емец В.М., Кастро Арта Р.А., Колобов А.В., Кононов А.А., Овчаров А.В., Чуканова Т.С. // ФТТ. 2021. Т. 63. № 11. С. 1844.
- Пресняков М.Ю., Попов А.И., Усольцева Д.С., Шупегин М.Л., Васильев А.Л. // Российские нанотехнологии. 2014. Т. 9. № 7–8. С. 59. https://doi.org/10.1134/S1995078014050139
- Naumkin A.V., Kraut-Vass A., Gaarenstroom S.W., Powell C.J. // NIST X-ray Photoelectron Spectroscopy Database. Version 4.1. 2012. https://doi.org/10.18434/T4T88K
- Попов А.И., Афанасьев В.П., Баринов А.Д., Бодиско Ю.Н., Грязев А.С., Мирошникова И.Н., Пресняков М.Ю., Шупегин М.Л. // Поверхность. Рентген., синхротр. и нейтрон. исслед. 2019. № 9. С. 49. https://doi.org/10.1134/S0207352819090129
- Jansson U., Lewin E. // Thin Solid Films. 2013. V. 536. P. 1. https://doi.org/10.1016/J.TSF.2013.02.019
- Bouabibsa I., Lamri S., Sanchette F. // Coatings. 2018. V. 8. Iss. 10. P. 370. https://doi.org/10.3390/coatings8100370
- Попов А.И., Баринов А.Д., Емец В.М., Чуканова Т.С., Шупегин М.Л. // ФТТ. 2020. Т. 62. Вып. 10. С. 1612.
- Popov A. Disordered Semiconductors: Physics and Applications (2nd Edition). Pan Stanford Publishing, 2018. 330 p. https://doi.org/10.1201/b22346
- Борисова Т.М., Кастро Р.А. // Труды МФТИ. 2013. Т. 5. № 1. С. 21.
Қосымша файлдар









