Сверхпроводящий соленоид (7 Тл) с косвенным охлаждением криокулерами для терагерцового излучения
- Авторы: Брагин А.В.1, Волков А.А.1,2, Кубарев В.В.1, Мезенцев Н.А.1,2, Тарасенко О.А.1, Хрущев С.В.1,2, Цуканов В.М.1,2, Шкаруба В.А.1,2
-
Учреждения:
- Институт ядерной физики им. Г.И. Будкера СО РАН
- Институт катализа им. Г.К. Борескова СО РАН (ЦКП “СКИФ”)
- Выпуск: № 11 (2023)
- Страницы: 78-83
- Раздел: Статьи
- URL: https://journal-vniispk.ru/1028-0960/article/view/232221
- DOI: https://doi.org/10.31857/S1028096023110079
- EDN: https://elibrary.ru/MWQSII
- ID: 232221
Цитировать
Полный текст
Аннотация
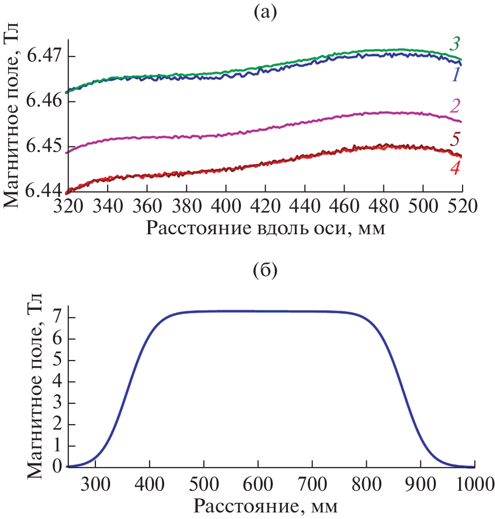
Представлены результаты испытаний и рабочие характеристики сверхпроводящего соленоида с косвенным охлаждением на основе криокулеров, который будет использоваться на экспериментальной станции терагерцовой спектроскопии лазера на свободных электронах в Институте ядерной физики. Сверхпроводящий соленоид был рассчитан на магнитное поле 6.5 Тл при диаметре обмотки 102 мм и длине 0.5 м. Диаметр теплого канала 80 мм доступен для экспериментов по терагерцовой спектроскопии. Использовался сверхпроводящий провод Cu/NbTi = 1.4. В конструкции реализованы пассивные методы защиты при внезапном переходе в нормальное состояние за счет секционирования и вторичных связанных контуров. Требуемую однородность поля 0.5% обеспечивали применением железного ярма и дополнительных боковых обмоток. Криогеника соленоида основана на двух криокулерах Sumitomo HI. Соленоид и железное ярмо охлаждаются второй ступенью криокулера, с которой они соединены с помощью медных пластин. Подробно описана технология изготовления соленоида. Соленоид был испытан в погружном криостате с жидким гелием и собственном криостате. Его характеристики удовлетворяют требованиям экспериментальной станции. Полученное поле 7.3 Тл больше расчетного за счет переохлаждения криокулерами до 3.6 К. Магнитное поле измеряли как в погружном криостате при 4.2 К, так и в проектном криостате – результаты соответствовали проектным расчетам. Время охлаждения соленоида составляет 13 дней. Произошли только два перехода в нормальное состояние – при 5.6 и 7.3 Тл.
Об авторах
А. В. Брагин
Институт ядерной физики им. Г.И. Будкера СО РАН
Автор, ответственный за переписку.
Email: bragin@inp.nsk.su
Россия, 630090, Новосибирск
А. А. Волков
Институт ядерной физики им. Г.И. Будкера СО РАН; Институт катализа им. Г.К. Борескова СО РАН (ЦКП “СКИФ”)
Email: bragin@inp.nsk.su
Россия, 630090, Новосибирск; Россия, 630559, Новосибирск
В. В. Кубарев
Институт ядерной физики им. Г.И. Будкера СО РАН
Email: bragin@inp.nsk.su
Россия, 630090, Новосибирск
Н. А. Мезенцев
Институт ядерной физики им. Г.И. Будкера СО РАН; Институт катализа им. Г.К. Борескова СО РАН (ЦКП “СКИФ”)
Email: bragin@inp.nsk.su
Россия, 630090, Новосибирск; Россия, 630559, Новосибирск
О. А. Тарасенко
Институт ядерной физики им. Г.И. Будкера СО РАН
Email: bragin@inp.nsk.su
Россия, 630090, Новосибирск
С. В. Хрущев
Институт ядерной физики им. Г.И. Будкера СО РАН; Институт катализа им. Г.К. Борескова СО РАН (ЦКП “СКИФ”)
Email: bragin@inp.nsk.su
Россия, 630090, Новосибирск; Россия, 630559, Новосибирск
В. М. Цуканов
Институт ядерной физики им. Г.И. Будкера СО РАН; Институт катализа им. Г.К. Борескова СО РАН (ЦКП “СКИФ”)
Email: bragin@inp.nsk.su
Россия, 630090, Новосибирск; Россия, 630559, Новосибирск
В. А. Шкаруба
Институт ядерной физики им. Г.И. Будкера СО РАН; Институт катализа им. Г.К. Борескова СО РАН (ЦКП “СКИФ”)
Email: bragin@inp.nsk.su
Россия, 630090, Новосибирск; Россия, 630559, Новосибирск
Список литературы
- Kubarev V., Chesnokov E., Koshlyakov P. // Proc. 37th Int. Conf. on Infrared, Millimeter and Terahertz Waves IRMMW-THz 2012, Wollongong, Australia, September 23–28, 2012. Thu-C-2-4.
- Kubarev V.V., Chesnokov E.N., Koshlyakov P.V. // Proc. 38th Int. Conf. on Infrared, Millimeter and Terahertz Waves IRMMW-THz 2013, Mainz on the Rhine, 2013. Tu5-5.
- Chesnokov E.N., Kubarev V.V., Koshlyakov P.V. // Appl. Phys. Lett. 2014. V. 105. P. 261107.
- Chesnokov E.N., Kubarev V.V., Koshlyakov P.V., Kulipanov G.N. // Appl. Phys. Lett. 2012. V. 101. P. 131109.
- Chesnokov E.N., Kubarev V.V., Koshlyakov P.V., Kulipanov G.N. // Laser Phys. Lett. 2013. V. 10. P. 055701.
- Chesnokov E.N., Kubarev V.V., Koshlyakov P.V. // Laser Phys. Lett. 2021. V. 18. Iss. 8. P. 085205.
- Chesnokov E.N., Kubarev V.V., Krasnoperov L.N., Koshlyakov P.V. // Phys. Chem. Chem. Phys. 2020. V. 22. P. 20248.
- Bragin A.V., Khrushchev S.V., Kubarev V.V., Mezencev N.A., Tsukanov V.M., Sozinov G.I., Shkaruba V.A. // Phys. Procedia. 2016. V. 84. P. 82.
- Khrushchev S., Mezentsev N., Lev V., Shkaruba V., Syrovatin V., Tsukanov V. // Phys. Rev. Accel. Beams. Proc. IPAC-2014. WEPRI091. P. 4103. https://doi.org/10.18429/JACoW-IPAC2014-WEPRI091
- Bragin A.V., Bernhard A., Casalbuoni S., Fajardo L.G., Ferracin P., Grau A., Gusev Ye.A., Hillenbrand S., Khrushchev S.V., Poletaev I.V., Shkaruba V.A., Schoerling D., Syrovatin V.M., Tarasenko O.A., Tsukanov V.M., Volkov A.A., Zolotarev K.V., Mezentsev N.A. // IEEE Trans. App. Supercond. 2016. V. 26. Iss. 4. P. 4102504.
- https://www.ansys.com/
- Schoerling D., Antoniou F., Bernhard A., Bragin A., Karppinen M., Maccaferri R., Mezentsev N., Papaphilippou Y., Peiffer P., Rossmanith R., Rumolo G., Russenschuck S., Vobly P., Zolotarev K. // Phys. Rev. Accel. Beams. 2012. V. 15. № 4. P. 042401.
- Green M.A. // Cryogenics. 1984. V. 24. Iss. 1. P. 3.
- Green M.A. // Cryogenics. 1984. V. 24. Iss. 12. P. 659.
- Bragin A.V., Barkov L.M., Bashtovoj N.S., Grebenuk A.A., Karpov S.V., Okhapkin V.S., Pivovarov S.G., Popov Yu.S., Ruban A.A., Khazin B.I. // IEEE Trans. Appl. Supercond. 2010. V. 20. P. 2336.
Дополнительные файлы









