Комплексная диагностика слоев кремния на изоляторе после ионной имплантации и отжига
- Авторы: Юнин П.А.1, Дроздов М.Н.1, Новиков А.В.1, Шмагин В.Б.1, Демидов Е.В.1, Михайлов А.Н.2, Тетельбаум Д.И.2, Белов А.И.2
-
Учреждения:
- Институт физики микроструктур РАН
- Нижегородский государственный университет им. Н.И. Лобачевского
- Выпуск: № 5 (2024)
- Страницы: 61-68
- Раздел: Статьи
- URL: https://journal-vniispk.ru/1028-0960/article/view/264378
- DOI: https://doi.org/10.31857/S1028096024050094
- EDN: https://elibrary.ru/FTWLJO
- ID: 264378
Цитировать
Полный текст
Аннотация
Отработана технология активации ионно-имплантированных легирующих примесей в слоях кремния на изоляторе при пониженной температуре отжига (600°С) с использованием методики предаморфизации приборного слоя кремния. В случае имплантации фосфора аморфизацию кремния осуществляли непосредственно ионами легирующей примеси. В случае имплантации бора для предаморфизации слои предварительно облучали ионами аргона или фтора. Комплексную диагностику имплантированных слоев проводили методами вторично-ионной масс-спектрометрии, рентгеновской дифрактометрии и малоугловой рентгеновской рефлектометрии. Комбинация методов позволила характеризовать распределение примесей, степень кристалличности кремния, толщины слоев и ширины переходных слоев в структурах. Результаты диагностики структуры и состава хорошо соотносятся с расчетами в программном комплексе SRIM и электрофизическими характеристиками слоев после отжига. Было показано, что использование аргона для предаморфизации кремния мешает процессу рекристаллизации и не позволяет достичь приемлемых электрофизических характеристик легированного слоя. Аморфизация фосфором и предаморфизация фтором при имплантации бора дала возможность получить требуемые значения сопротивления легированных слоев после отжига при температуре 600°С. Применение комплексного подхода позволило оптимизировать режимы аморфизации, ионного легирования и отжига структур кремния на изоляторе при пониженной температуре, необходимые для создания светоизлучающих приборных структур на основе кремний-германиевых наноостровков.
Полный текст
ВВЕДЕНИЕ
Ионная имплантация донорных и акцепторных примесей в кремний с их последующим высокотемпературным (800°С и более) отжигом – стандартная технология формирования легированных слоев и контактов в различных приборных структурах [1, 2]. Эта же технология применяется и для структур типа “кремний на изоляторе” (КНИ), в том числе и “кремний на сапфире” [3–5]. В случае КНИ необходимым условием восстановления кристаллической структуры приборного слоя при постимплантационном отжиге является сохранение затравочного слоя кремния с высоким кристаллическим совершенством [6–9]. При изготовлении на подложках КНИ светоизлучающих структур с самоформирующимися наноостровками Ge(Si) [10, 11] для задач кремниевой фотоники требуются особые подходы к технологии легирования и активации примесей. Сигнал люминесценции от таких структур значительно снижается после отжига при температурах выше 600°С, проводимого для активации имплантированной примеси [12]. Поэтому для них необходимо применять методики активации примесей и создания омических контактов к легированным слоям при пониженных температурах отжига. Известно, что эффективно проводить активацию имплантированной примеси при пониженной температуре можно в случае кристаллизации предварительно аморфизированного слоя [13–17]. В случае легирования фосфором при типичных дозах аморфизации достигают за счет ионов легирующей примеси. В случае бора доза аморфизации слишком большая, так что предаморфизацию можно осуществлять путем имплантации более тяжелых ионов. Режимы имплантации и тип ионов, используемых для предаморфизации, могут различаться в зависимости от особенностей структур.
В ходе отработки и оптимизации технологии изготовления контактов к структурам с самоформирующимися наноостровками Ge(Si) на подложках КНИ при пониженной температуре активации примесей возникла необходимость диагностики структуры и состава слоев Si после имплантации и отжига. Для этого применяли комплексную диагностику структур методами вторично-ионной масс-спектрометрии (ВИМС), высокоразрешающей рентгеновской дифрактометрии и малоугловой рентгеновской рефлектометрии [18–22].
Результаты используются для оптимизации методики предаморфизации, имплантационного легирования и отжига с целью реализации электрической накачки светоизлучающих структур с самоформирующимися наноостровками Ge(Si), выращенных на подложках КНИ.
МЕТОДИКА ЭКСПЕРИМЕНТА
В работе были исследованы четыре коммерческих образца КНИ с номинальной толщиной нелегированного приборного слоя кремния 250 нм, оксидного слоя 2 мкм. Кристаллографическая ориентация рабочего слоя и подложки (100). В первый образец двукратно имплантировали ионы P+: сначала дозой 1.5 × 1015 см–2 с энергией 60 кэВ, затем 4 × 1014 см–2 с энергией 15 кэВ (далее по тексту режим 1.5 × 1015/60 + 4 × 1014/15), чтобы был аморфизирован приповерхностный слой кремния толщиной ~150 нм. Второй образец перед имплантацией ионов B+ (1.5 × 1015/20 + 4 × 1014/5) для предаморфизации Si предварительно облучали ионами Ar+ (2 × 1015/100 + 2 × 1015/30). Для третьего образца в том же режиме имплантации бора была использована меньшая энергия предварительного облучения аргоном (6 × 1014/70 + 2 × 1014/15). В случае четвертого образца при легировании бором в том же режиме предаморфизации Si достигали облучением ионов фтора F+ (3 × 1015/35). Ионную имплантацию проводили при комнатной температуре на ионно-лучевой установке ИЛУ-200. Распределения имплантированных ионов и номинальные распределения генерированных при облучении вакансий (т.е. число смещенных из узлов атомов в 1 см–3 Si) рассчитывали с помощью программного комплекса SRIM (The Stopping and Range of Ions in Matter) [23]. После облучения образцы раскалывали на несколько частей, которые отжигали в атмосфере азота в установке для быстрого термического отжига Accu Thermo AW 410 в различных режимах: 600°С, 10 мин (режим 1) и 1000°С, 10 с (режим 2). Сводные данные о всех образцах, режимам имплантации и отжига приведены в табл. 1.
Таблица 1. Сводные данные по всем режимам предаморфизации, имплантации и отжига исследованных образцов КНИ (см–2/кэВ)
КНИ:P | КНИ:B + Ar | КНИ:B + Ar | КНИ:B + F | |
Предаморфизация | Не проводилась, происходит сама при имплантации P | Ar+: 2 × 1015/100 + 2 × 1015/30 | Ar+: 6 × 1014/70 + 2 × 1014/15 | F+: 3 × 1015/35 |
Легирование | P+: 1.5 × 1015/60 + 4 × 1014/15 | B+: 1.5 × 1015/20 + 4 × 1014/5 | ||
Отжиг режим 1 | 600°С, 10 мин | |||
Отжиг режим 2 | 1000°С, 10 с | |||
Исходные и отожженные части структур анализировали методами рентгеновской дифрактометрии и малоугловой рентгеновской рефлектометрии на рентгеновском дифрактометре Bruker D8 Discover [18–20], а также с помощью послойного анализа на времяпролетном масс-спектрометре вторичных ионов TOF.SIMS-5 [18–22].
На отожженные фрагменты методом магнетронного распыления осаждали контактные слои Ti/Au, быстрый термический отжиг контактов проводили на установке Accu Thermo AW 410 при температуре 330°С в течение 3 мин в атмосфере аргона. Слоевое и удельное контактное сопротивление отожженных структур измеряли методом длинной линии – TLM (transmission line method) с радиальной геометрией контактов [24, 25].
РЕЗУЛЬТАТЫ И ИХ ОБСУЖДЕНИЕ
На рис. 1 показаны результаты анализа исходной структуры КНИ методом малоугловой рентгеновской рефлектометрии. Точками показан результат эксперимента, линией – расчет кривой по модели со слоем кремния на подложке из оксида кремния. Подгонка расчета модели под эксперимент является стандартным подходом к обработке данных рентгеновской рефлектометрии, ее проводили с помощью программного комплекса Bruker Diffrac.Leptos. Расхождение вблизи 0° вызвано попаданием первичного пучка напрямую в детектор, что не учитывается при моделировании, так как не оказывает влияния на определяемые параметры пленок и точность подгонки. По результатам подгонки определена толщина приборного слоя кремния – 260 нм. Ширины верхнего и нижнего переходных слоев составляют 2 нм. Эти значения учитывали при расчетах режимов имплантации ионов, а также для пересчета времени травления методом ВИМС в глубину. Контроль толщины приборного слоя и ширины переходных слоев с помощью ВИМС проводили в дальнейшем также в случае отожженных структур для оценки диффузионного перемешивания на границах раздела.
Рис. 1. Кривая рентгеновской рефлектометрии для исходной структуры КНИ: точки – эксперимент; кривая – результат подгонки. На вставке – фрагмент кривой, на котором видны осцилляции Киссига от верхнего слоя Si. Толщина приборного слоя Si 260 нм, ширина переходных слоев 2 нм
На рис. 2 показаны результаты расчета SRIM (кривая 1) и анализа методом ВИМС (кривая 3) распределения концентрации фосфора в первом образце. Режим имплантации фосфора (1.5 × 1015/60 + 4 × 1014/15) подбирали таким образом, чтобы остался кристаллический слой кремния толщиной около 110 нм, служащий затравочным при последующей рекристаллизации (расчетная номинальная концентрация вакан- сий – кривая 2). Для оценки толщины аморфизированного слоя использовали расчеты [26], где была принята относительная величина критической концентрации дефектов 10%. Из рис. 2 также следует, что экспериментальное распределение фосфора в структуре практически совпадает с результатами расчета по SRIM. Отжиг в режиме 2 (кривая 4) не приводит к существенному изменению профиля легирующей примеси.
Рис. 2. Результаты расчета с помощью SRIM (1, 2) и ВИМС-анализа (3, 4) в случае легирования фосфором: 1 – распределение фосфора после имплантации (1.5 × 1015/60 + 4 × 1014/15); 2 – номинальное распределение вакансий в приборном слое кремния, вызванных облучением; 3 – распределение фосфора после имплантации; 4 – распределение фосфора после отжига в режиме 2. Пунктиром отмечена граница приборного слоя Si в структуре КНИ, стрелкой показана расчетная толщина оставшегося кристаллического затравочного слоя
Результаты рентгенодифракционного анализа структуры КНИ:P до и после отжига приведены на рис. 3. По осцилляциям толщинного контраста (рис. 3а) можно оценить толщину оставшегося кристаллического затравочного слоя Si 118 нм, что хорошо согласуется с расчетным значением [26]. Дифрактограммы, снятые после отжига, приведены на рис. 3б. По периоду осцилляций толщинного контраста и формированию отдельного пика (помечен стрелкой), соответствующего деформированному слою Si (деформация растяжения), можно сделать вывод, что рекристаллизация приборного слоя Si произошла вплоть до поверхности образца и что имеются напряжения, обусловленные встраиванием фосфора в узлы решетки. Пик недеформированного слоя Si находится при угле 2θ 69.13°. Результаты для двух режимов отжига различаются слабо. Контроль толщин слоев и ширины переходных слоев методом рентгеновской рефлектометрии не показал значительных отличий от исходной структуры; ширина переходных слоев сохраняется на уровне 2 нм.
Рис. 3. Рентгенодифракционный анализ структуры КНИ: а – после имплантации фосфора (1 – эксперимент, 2 – подгонка); б – после отжига в режимах 1 (1) и 2 (2). Стрелкой отмечен пик, соответствующий деформированному слою Si (деформация растяжения)
Результаты измерения слоевого и удельного контактного сопротивлений отожженных структур приведены в табл. 2. Оба режима отжига дают близкие, приемлемые для практики значения сопротивлений. В случае создания p-областей имплантацией бора для понижения температуры активационного отжига использовали методику предварительной аморфизации приборного слоя кремния более тяжелыми, чем бор, ионами. На рис. 4 показаны результаты расчета программой SRIM (кривая 1) и послойного ВИМС-анализа (кривая 5) распределения концентрации бора (режим 1.5 × 1015/20 + 4 × 1014/5) во втором образце КНИ. Также приведены результаты расчета с помощью SRIM номинальной концентрации вакансий при использовании для предаморфизации кремния ионов аргона с различной энергией (кривые 2, 3) и фтора (кривая 4).
Таблица 2. Результаты измерения слоевого и удельного контактного сопротивлений структуры КНИ:P после отжигов
Режим отжига | Слоевое сопротивление, Ом/кв. | Удельное контактное сопротивление, 10–7 Ом∙см–2 |
Режим 1 | 38 | 3 |
Режим 2 | 37 | 4 |
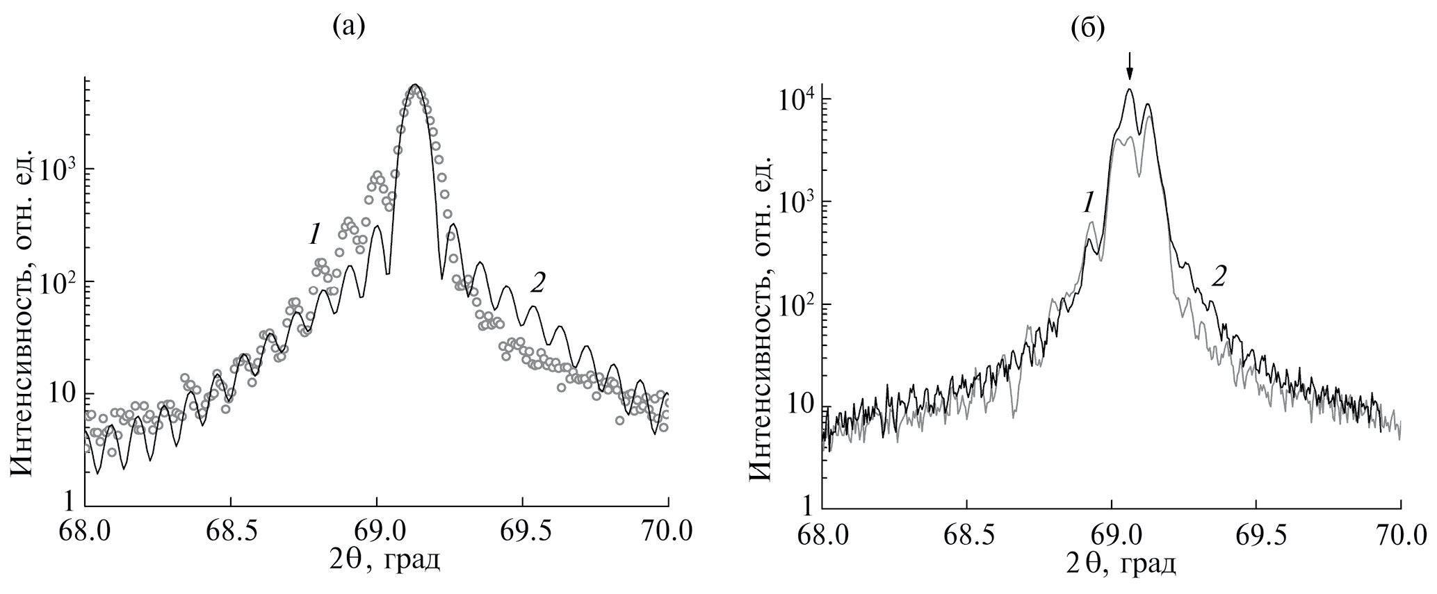
Результаты рентгенодифракционного анализа структуры КНИ:B после предаморфизации ионами аргона с энергий 100 кэВ до и после отжига приведены на рис. 5. По осцилляциям толщинного контраста (рис. 5а) оценена толщина оставшегося кристаллического затравочного слоя Si 70 нм, что согласуется с расчетами дефектообразования (рис. 4). Дифрактограммы отожженного образца приведены на рис. 5б. В этом случае рекристаллизация всего приборного слоя Si в результате отжигов не происходит. Восстанавливаются лишь около 180 нм слоя. Явное встраивание примеси бора в структуру кремния, судя по отсутствию напряжений, также не наблюдается. Такой результат имеет место после отжига в обоих режимах.
Рис. 4. Результаты расчета с помощью SRIM (1–4) и ВИМС (5) в случае легирования бором: 1 – распределение бора после имплантации (1.5 × 1015/20 + 4 × 1014 5); 2 – номинальное распределение вакансий в приборном слое кремния, вызванных облучением ионами аргона (2 × 1015/100 + 2 × 1015/30); 3 – номинальное распределение вакансий после облучения ионами аргона (6 × 1014/70 + 2 × 1014/15); 4 – номинальное распределение вакансий после облучения ионами фтора (3 × 1015/35); 5 – распределение бора после имплантации. Пунктиром показана толщина приборного слоя Si в структуре, стрелкой – уровень, при котором согласно расчету [26] наступает аморфизация кремния
Рис. 5. Рентгенодифракционный анализ структуры КНИ: а – после имплантации бора с предаморфизацией ионами аргона (1 – эксперимент, 2 – подгонка); б – после отжига в режимах 1 (1) и 2 (2)
Результаты измерения слоевого и удельного контактного сопротивлений отожженных структур КНИ:B после предаморфизации ионами аргона приведены в табл. 3. Удовлетворительных значений удельного контактного сопротивления для этого режима получить не удалось. Было сделано предположение, что при выбранной энергии имплантации ионов аргона оставшийся затравочный слой кристаллического кремния слишком тонкий и дефектный для осуществления рекристаллизации всего приборного слоя Si. Эксперимент был повторен на третьем образце КНИ с меньшей энергией ионов аргона (6 × 1014/70 + 2 × 1014/15). Рентгенодифракционный анализ показал, что в этом случае остается затравочный слой толщиной 110 нм, что приблизительно совпадает с расчетом (рис. 4, кривая 3) и соответствует толщине затравочного слоя, оставшегося в первом образце после имплантации фосфора. Однако и в этом случае рентгенодифракционный анализ показал, что полная рекристаллизация не происходит, а значения сопротивлений остались неудовлетворительными. Таким образом, режим предварительной аморфизации с имплантацией ионами аргона не позволяет достичь требуемых результатов. В литературе есть данные о формировании пузырьков аргона при больших дозах имплантации, которые накапливаются на фронте рекристаллизации и останавливают ее [27, 28]. Это объяснение согласуется с данными рентгенодифракционного анализа отожженных слоев.
Таблица 3. Результаты измерения слоевого и удельного контактного сопротивлений структуры КНИ:B c предаморфизацией ионами аргона после отжига
Режим отжига | Слоевое сопротивление, Ом/кв. | Удельное контактное сопротивление, 10–5 Ом∙см–2 |
Режим 1 | 1000 | – |
Режим 2 | 200 | 8 |
Предаморфизацию четвертого образца КНИ перед имплантацией бора проводили ионами фтора (3 × 1015/35). Результаты рентгенодифракционного анализа структуры КНИ:B после предаморфизации до и после отжига приведены на рис. 6. По осцилляциям толщинного контраста (рис. 6а) толщина оставшегося кристаллического зародышевого слоя Si составляет 130 нм, что согласуется с расчетами (рис. 4). Дифрактограммы отожженного образца приведены на рис. 6б. Здесь, как и в случае имплантации фосфора, наблюдаются хорошее восстановление кристалличности приборного слоя кремния и вхождение примеси бора в узлы. Пик деформированного (деформация сжатия) при встраивании бора кремния помечен стрелкой на рис. 6б. Пик недеформированного слоя Si находится при угле 2θ 69.13°. Эффект восстановления кристалличности проявляется несколько лучше в случае отжига в режиме 2. Контроль ширин переходных слоев методом рентгеновской рефлектометрии показывает, что они сохраняются на уровне 2 нм.
Рис. 6. Рентгенодифракционный анализ структуры КНИ: а – после имплантации бора с предаморфизацией ионами фтора (1 – эксперимент, 2 – подгонка); б – после отжига в режимах 1 (1) и 2 (2), пик деформированного слоя кремния (деформация сжатия) помечен стрелкой
Результаты измерения слоевого и удельного контактного сопротивлений отожженных структур КНИ:B после предаморфизации ионами фтора приведены в табл. 4. Видно, что оба режима отжига дают приемлемые значения слоевого и контактного сопротивления, что хорошо согласуется с результатами комплексного анализа структуры и состава слоев.
Таблица 4. Результаты измерения слоевого и удельного контактного сопротивлений структуры КНИ:B c предаморфизацией ионами фтора после отжига
Режим отжига | Слоевое сопротивление, Ом/кв. | Удельное контактное сопротивление, 10–7 Ом∙см–2 |
Режим 1 | 89 | 7 |
Режим 2 | 86 | 5 |
Можно сделать вывод, что совместное применение методов ВИМС, рентгеновской дифрактометрии и рефлектометрии позволяет комплексно характеризовать структуру, состав и толщины слоев в структурах КНИ. Это особенно актуально в случае анализа частично аморфизированных слоев после ионной имплантации и активационного отжига. Результаты, полученные различными методами, хорошо согласуются между собой, а также с данными моделирования и результатами измерений электрофизических характеристик отожженных структур. С использованием предложенной методики анализа показано преимущество использования ионов фтора по сравнению с ионами аргона для предаморфизации кремния в структурах КНИ перед низкотемпературной активацией бора.
ЗАКЛЮЧЕНИЕ
Совместное использование методов ВИМС, рентгеновской дифрактометрии и рефлектометрии для анализа структур КНИ позволило определить оптимальные режимы ионной имплантации и предаморфизации, позволяющие восстанавливать кристаллическое качество приборного слоя Si при пониженной температуре отжига 600°С. Результаты исследования структуры и состава согласуются с электрофизическими измерениями, показывающими активацию проводимости имплантированных примесей фосфора и бора, а также с данными моделирования. Установленные режимы облучения и отжига могут быть в дальнейшем использованы для низкотемпературной активации примесей в эпитаксиальных структурах с наноостровками Ge(Si) на КНИ, светоизлучающие свойства которых крайне чувствительны к термическому воздействию.
ФИНАНСИРОВАНИЕ РАБОТЫ
Исследования структур выполнены в лаборатории диагностики радиационных дефектов в твердотельных наноструктурах ИФМ РАН при поддержке Министерства науки и высшего образования РФ (г/з № FFUF-2021-0030). Использовано оборудование ЦКП ИФМ РАН. Обоснование и разработка методик выполнена в рамках научной программы Национального центра физики и математики (проект “Ядерная и радиационная физика”).
Конфликт интересов. Авторы заявляют, что у них нет конфликта интересов.
Об авторах
П. А. Юнин
Институт физики микроструктур РАН
Автор, ответственный за переписку.
Email: yunin@ipmras.ru
Россия, Нижний Новгород
М. Н. Дроздов
Институт физики микроструктур РАН
Email: yunin@ipmras.ru
Россия, Нижний Новгород
А. В. Новиков
Институт физики микроструктур РАН
Email: yunin@ipmras.ru
Россия, Нижний Новгород
В. Б. Шмагин
Институт физики микроструктур РАН
Email: yunin@ipmras.ru
Россия, Нижний Новгород
Е. В. Демидов
Институт физики микроструктур РАН
Email: yunin@ipmras.ru
Россия, Нижний Новгород
А. Н. Михайлов
Нижегородский государственный университет им. Н.И. Лобачевского
Email: yunin@ipmras.ru
Россия, Нижний Новгород
Д. И. Тетельбаум
Нижегородский государственный университет им. Н.И. Лобачевского
Email: yunin@ipmras.ru
Россия, Нижний Новгород
А. И. Белов
Нижегородский государственный университет им. Н.И. Лобачевского
Email: yunin@ipmras.ru
Россия, Нижний Новгород
Список литературы
- Зорин Е.И., Павлов П.В., Тетельбаум Д.И. Ионное легирование полупроводников. М.: Энергия, 1975. 129 с.
- Wolf S., Tauber R.N. Silicon Processing for the VLSI Era. Vol. 1. Process Technology, 2000.
- Hemmet P., Lysenko V.S., Nazarov A.N. Perspective Science and Technologies for Novel Silicon on Insulator Devices. Dordrecht: Springer Science and Business Media, 2012.
- Wang Q.-Y., Nie J.-P., Yu F., Liu Z.-L., Yu Y.-H. // Mater. Sci. Engin. B. 2000. V. 72. P. 189. https://doi.org/10.1016/s0921-5107(99)00511-5
- Shemukhin A.A., Nazarov A.V., Balakshin Y.V., Chernysh V.S. // Nucl. Instrum. Methods Phys. Res. B. 2015. V. 354. P. 274. https://doi.org/10.1016/j.nimb.2014.11.090
- Plummer J.D., Deal M., Griffin P.D. Silicon VLSI Technology: Fundamentals, Practice and Modeling. Pearson, 2000.
- Woodard E.M., Manley R.G., Fenger G., Saxer R.L., Hirschman K.D., Dawson-Elli D., Couillard J.G. // 2006 16th Biennial University/Government/Industry Microelectronics Symposium. San Jose, CA, USA, 25–28 June, 2006. P. 161. https://doi.org/10.1109/UGIM.2006.4286374
- Heiermann W., Buca D., Trinkaus H., Holländer B., Breuer U., Kernevez N., Ghyselen B., Mantl S. // ECS Trans. 2009. V. 19. P. 95. https://doi.org/10.1149/1.3118935
- Wang Y., Liao X., Ma Z., Yue G., Diao H., He J., Kong G., Zhao Y., Li Z., Yun F. // Appl. Surf. Sci. 1998. V. 135. P. 205. https://doi.org/10.1016/s0169-4332(98)00230-x
- Смагина Ж.В., Зиновьев В.А., Степихова М.В., Перетокин А.В., Дьяков С.А., Родякина Е.Е., Новиков А.В., Двуреченский А.В. // Физика и техника полупроводников. 2021. Т. 55. Вып. 12. C. 1210. https://doi.org/10.21883/FTP.2021.12.51707.9722
- Smagina Z.V., Zinovyev V.A., Zinovieva A.F., Stepikho-va M.V., Peretokin A.V., Rodyakina E.E., Dyakov S.A., Novikov A.V., Dvurechenskii A.V. // J. Luminescence. 2022. V. 249. P. 119033. https://doi.org/10.1016/j.jlumin.2022.119033
- Xu X., Usami N., Maruizumi T., Shiraki Y. // J. Cryst. Growth. 2013. V. 378. P. 636. https://doi.org/10.1016/j.jcrysgro.2012.11.002
- Miyao M., Yoshihiro N., Tokuyama T., Mitsuishi T. // J. Appl. Phys. 1979. V. 50. P. 223. https://doi.org/10.1063/1.325703
- Ebiko Y., Suzuki K., Sasaki N. // IEEE Trans. Electron Devices. 2005. V. 52. P. 429. https://doi.org/10.1109/TED.2005.843870
- Шемухин А.А., Назаров А.В., Балакшин Ю.В., Черныш В.С. // Поверхность. Рентген., синхротор. и нейтрон. исслед. 2014. № 3. С. 56. https://doi.org/10.7868/S0207352814030214
- Hamilton J.J., Collart E.J.H., Colombeau B., Bersani M., Giubertoni D., Kah M., Cowern N.E.B., Kirkby K.J. // MRS Proc. 2011. V. 912. P. 0912-C01. https://doi.org/10.1557/PROC-0912-C01-10
- Sultan A., Banerjee S., List S., Pollack G., Hosack H. // Proc. 11th Int. Conf. on Ion Implantation Technology. Austin, TX, USA, 16–21 June, 1996. P. 25. https://doi.org/10.1109/IIT.1996.586104
- Абросимова Н.Д., Юнин П.А., Дроздов М.Н., Оболенский С.В. // Физика и техника полупроводников. 2022. Т. 56. С. 753. https://doi.org/10.21883/FTP.2022.08.53140.26
- Юнин П.А., Дроздов Ю.Н., Дроздов М.Н., Королев С.А., Лобанов Д.Н. // Физика и техника полупроводников. 2013. Т. 47. Вып. 12. С. 1580.
- Юнин П.А., Дроздов Ю.Н., Новиков А.В., Юрасов Д.В. // Поверхность. рентген., синхротрон. и нейтрон. исслед. 2012. № 6. C. 36.
- Юнин П.А., Дроздов Ю.Н., Дроздов М.Н., Новиков А.В., Юрасов Д.В. // Поверхность. Рентген., синхротрон. и нейтрон. исслед. 2012. № 7. C. 26.
- Панкратов Е.Л., Гуськова О.П., Дроздов М.Н., Абросимова Н.Д., Воротынцев В.М. // Физика и техника полупроводников. 2014. Т. 48. Вып. 5. С. 631.
- Ziegler J.F., Ziegler M.D., Biersack J.P. // Nucl. Instrum. Methods Phys. Res. B. 2010. V. 268. P. 1818. https://doi.org/10.1016/j.nimb.2010.02.091
- Boberg G., Stolt L., Tove P. A., Norde H. // Phys. Scripta. 1981. V. 24. P. 405. https://doi.org/10.1088/0031-8949/24/2/012
- Андреев А.Н., Растегаева М.Г., Растегаев В.П., Решанов С.А. // Физика и техника полупроводников. 1998. Т. 32. С. 832.
- Окулич Е.В., Окулич В.И., Тетельбаум Д.И. // Физика и техника полупроводников. 2020. Т. 54. Вып. 8. С. 771.
- https://doi.org/10.21883/FTP.2020.08.49649.9338
- Revesz P., Wittmer M., Roth J., Mayer J.W. // J. Appl. Phys. 1978. V. 49. P. 5199. https://doi.org/10.1063/1.324415
- Cullis A.G., Seidel T.E., Meek R.L. // J. Appl. Phys. 1978. V. 49. P. 5188. https://doi.org/10.1063/1.324414
Дополнительные файлы









