Topological Defects in Aggregation of the C60 Fullerene in the Isotactic Polypropylene Matrix
- Authors: Elnikova L.V.1,2, Ozerin A.N.3, Shevchenko V.G.3, Nedorezova P.M.4, Palaznik O.M.4, Ponomarenko A.T.3, Skoi V.V.5,6, Kuklin A.I.5,6
-
Affiliations:
- National Research Center “Kurchatov Institute”
- Southwest State University
- N.S. Enikolopov Institute of Synthetic Polymeric Materials, Russian Academy of Sciences
- N.N. Semenov Federal Research Center for Chemical Physics, Russian Academy of Sciences
- Joint Institute for Nuclear Research
- Moscow Institute of Physics and Technology
- Issue: No 8 (2024)
- Pages: 69-77
- Section: Articles
- URL: https://journal-vniispk.ru/1028-0960/article/view/274327
- DOI: https://doi.org/10.31857/S1028096024080097
- EDN: https://elibrary.ru/ELFYXL
- ID: 274327
Cite item
Full Text
Abstract
Basing on the data of small-angle neutron scattering for the nanocomposite composed of fullerene C60 (16.5 wt. %) in the matrix of isotactic polypropylene, we received information on clusterization of nanoparticles and defined their geometric parameters and dimensionality. In this paper, we propose interpretation of particle aggregation possessing the properties of surface fractal in the size range up to 80 nm observed using small-angle neutron scattering method. Basing on the well-known theories of defect structures of a fullerene molecule C60 in non-Euclidean metrics, in particular, of disclinations and monopole in two-dimensional spherical Gödel space—time, we formulate a lattice version for the action of monopole gas, in which with the lattice Monte Carlo method, using abelian projection, we estimate the energy of monopole currents at different monopole concentrations. In frames of the proposed model, it is possible to calculate fractal properties of the fullerene C60 in a polymer composite and also to interpret evolution of disclinations.
Full Text
ВВЕДЕНИЕ
Результаты исследований полимерных композитов с наночастицами из аллотропов углерода графена, нанографита, фуллерена, углеродных нанотрубок [1] показывают, что эти композиты имеют существенно улучшенные механические и электрические свойства по сравнению с чистым полимером. Оптимизация состава наночастиц наполнителей может обеспечить широкие области применения композитов данного класса в элементах электронных, спинтронных, фотовольтаических и сенсорных устройств, в трибологии, медицине.
Настоящая работа основана на результатах исследования малоуглового рассеяния нейтронов (МУРН) на композитных системах изотактический полипропилен (ИПП)/фуллерен C60 [2], в которых наблюдали кластеризацию частиц фуллерена C60, сопровождающуюся изменением электрических характеристик образца композита. Результаты диэлектрической спектроскопии структурно родственных композитных систем [3, 4] подтверждают электрические свойства, присущие агрегации углеродных нанонаполнителей в полимерной матрице.
Полидисперсную кластеризацию молекул С60 вплоть до размеров частиц ~100 нм регистрировали в полярных растворителях и полимерах [1, 5–9] различными методами: методом позитронной аннигиляционной спектроскопии [8], МУРН, рентгеноструктурными и оптическими методами (в том числе спектроскопии комбинационного рассеяния, динамического рассеяния света) [9, 10] и другими методами. Характер агрегации наночастиц зависит от типа растворителя, концентрации наполнителя, термодинамических условий, метода синтеза композитов. В частности, в [10–12] показано, что кинетика кластеризации фуллерена C60 в растворе может быть описана так называемой капельной моделью кластеризации мономеров, модель основана на гиббсовской термодинамике и теории Фоккера–Планка. В литературе можно найти оценки равновесных концентраций кластеров, фрактальных свойств агрегации фуллеренов [10–14], также имеются описания фазовых переходов в композитных системах с C60 при высоких давлениях [13, 14].
В то же время хорошо известно, что электронные свойства материалов определяются эволюцией дефектов [15–18]. В 30-х годах прошлого века были сформулированы принципы взаимосвязи между энергетическими состояниями образца и его геометрическими деформациями, примером является эффект Яна–Теллера для молекулы фуллерена [19, 20]. Все переходы в молекуле C60 понижают высокую симметрию его икосаэдрической группы Ih, и деформированное состояние фуллерена энергетически выгоднее недеформированного. Упругие свойства фуллерена связаны с состояниями σ-связей атомов углерода в его решетке, а за электрические проводящие свойства отвечают π-связи [21–23]. В 1966 г. Джонс предположил, что геометрически графен можно трансформировать в фуллерен введением кривизны, что эквивалентно образованию 12 дисклинаций в форме пятиугольников [24, 25], а кривизна индуцирует эффективное калибровочное поле [26, 27].
Кроме дефектов дисклинаций, упорядоченных пятиугольников, для описания электрических и упругих свойств фуллерена в континуальную теорию в размерности (2d+1) листов гексагональной решетки графена (графита) изначально введено понятие фиктивного монополя в центре сфероида [22], поле которого играет “гравитационную” роль при “свертывании” листа графена в сфероид, и в [15] подробно описана аналогия кривизны фуллерена с гравитацией.
Геометрические принципы, относящиеся к линейным дефектам [28], получили развитие применительно к фуллерену и многим другим аллотропам углерода (графену, углеродным нанотрубкам [23]) при решении ряда задач. Так, в рамках теории возмущений показано [17], что 12 дисклинаций сфероида C60 и фиктивный дираковский монополь в его центре индуцируют динамику деформаций, приводящую к расщеплению второго электронного уровня фуллерена, находящегося во внешнем магнитном поле. Для вращающихся молекул C60 описана модель [26, 27], в которой фиктивный монополь ’т Хоофта–Полякова в двумерном пространстве Геделя расщепляет дублет, ассоциированный с решеткой C60, и приводит к формированию геометрических фаз.
На базе подобных геометрических принципов в настоящей работе исследованы физические и геометрические свойства агрегации фуллерена C60 в ИПП и дефектные конфигурации с целью дать оценку плотности дисклинаций в зависимости от концентрации наполнителя, термодинамических и геометрических параметров. Подобные вычисления могут быть полезны при выборе оптимального состава композитов на основе ИПП при производстве наноматериалов для различных народно-хозяйственных отраслей.
ЭКСПЕРИМЕНТАЛЬНАЯ ЧАСТЬ
Изготовление и характеризация образцов
Нанокомпозиты на основе изотактического полипропилена произведены в Федеральном исследовательском центре “Химическая физика РАН”. Образцы синтезировали методом полимеризации пропилена in situ в присутствии наполнителя фуллерена с концентрацией 16.5 мас. %. Химическая формула используемого ИПП (C3H6) n, его плотность 0.90–0.91 г/см3, степень кристалличности — 60%.
Синтез нанокомпозитов проводили в объеме жидкого пропилена [3, 4]. Использовали металлоценовый катализатор полимеризации полипропилена, образующий ИПП высокой молекулярной массы [14]. Синтез проводили при температуре 60°C и под давлением 2.5 МПа в реакторе со стальным корпусом объемом 200 см3, оборудованном высокоскоростной мешалкой со скоростью вращения 3000 об./мин. Порошки углеродного нанонаполнителя (фуллерен C60) вакуумировали при 200°C, загружали в корпус реактора, который затем наполняли жидким пропиленом (100 мл) и металлоценовым катализатором. Концентрацию наполнителя в композите варьировали, изменяя время полимеризации. Готовый продукт извлекали из реактора, тщательно промывали в смеси этилового спирта и HCl (10% раствор), в этиловом спирте и высушивали в вакууме при 60°C до достижения постоянной массы. Образцы для исследований в виде пленок толщиной 100–300 мкм получали прессованием при 190°C под давлением 10 МПа при скорости охлаждения 16°C/мин.
Для характеризации свойств полученных образцов полипропилена и композитной системы ПП-С60 применяли методы диэлектрической спектроскопии [3], изучены полученные температурные и частотные зависимости диэлектрических потерь в приближении Хаврилиака–Негами, кривые Аррениуса.
В литературе известны результаты диэлектрической спектроскопии для систем синдотактического полипропилена и С60 [4], свидетельствующие о существенном влиянии морфологии наночастиц С60 на механические, электрические, оптические характеристики композитов по сравнению c характеристиками чистого полипропилена.
Данные малоуглового рассеяния нейтронов
Спектры МУРН на композите ИПП, допированном наночастицами фуллерена С60 (16.5 мас. %), измерены на спектрометре “ЮМО”, установленном на реакторе “ИБР-2” ЛНФ им. И.М. Франка ОИЯИ, г. Дубна, РФ [2]. В эксперименте регистрировали количество событий в зависимости от времени пролета нейтронов через 16 колец двух детекторов. С помощью программы SAS [29] осуществляли пересчет и нормализацию на калибровочный стандарт по известному сечению рассеяния от времени пролета к дифференциальному сечению рассеяния dΣ/dΩ(Q), а также нормализацию на толщину образца. За рассеяние от контрольного образца, которое выделено из экспериментальной кривой МУРН на образцах I(Q), принимали рассеяние от матрицы полимера ИПП. После учета рассеяния на контрольном образце экспериментальные кривые МУРН характеризуются рассеянием только на неоднородных областях (“рассеивающих частицах”) в системе, имеющей длину рассеяния, отличную от длины рассеяния полимерной матрицы.
Молекулы фуллерена С60 в объеме полимерной матрицы ИПП образуют агрегаты в форме наночастиц со свойствами поверхностного фрактала (рис. 1): обнаружены плотные компактные частицы, имеющие сильно изрезанную поверхность. Моделирование с помощью пакета ATSAS2.4 [30] дало их максимальный размер порядка 80 нм, тогда как размер молекулы С60 составляет 1.6–1.8 нм (рис. 2).
Рис. 1. Экспериментальные кривые интенсивности МУРН I(Q) на образце ИПП-С60 с содержанием частиц 16.5 мас. % и в матице ИПП (на вставке) (а). Кривые интенсивности МУРН lgI(Q) (б), сплошной линией обозначена регуляризованная кривая Ireg(Q) [2], фрактальная размерность частиц ds = 6 — |k| = 2.9.
Рис. 2. Функции распределения частиц по объему для образца c 16.5 мас. % фуллерена, вычисленные по кривым рассеяния в приближении полидисперсной системы сферических частиц радиуса R. Тонкие и толстые линии — расчетные и сглаженные кривые соответственно.
МОДЕЛЬ КЛАСТЕРИЗАЦИИ
В настоящей работе использована связь механических характеристик образца композита с дисклинациями, в данном случае объекта с искривленной поверхностью, с его электрическими свойствами [16]. Эта доктрина базируется на теории Кадич и Эделена [28] и на общеизвестных калибровочных теориях [27, 31].
Напомним, что π-орбитали молекулы фуллерена отвечают за электрические, а σ-орбитали — за его механические свойства [21–23]. Помимо формализма линейных дефектов упругое поле может быть описано как в терминах монополя Дирака, так и в терминах монополя ’т Хоофта–Полякова [16–18, 32].
В различных задачах исследования геометрических свойств фуллерена известны точные решения уравнения Дирака в пространстве Геделя (Минковского) [26] и в пространстве Римана [33]. Поскольку большинство задач об электронных состояниях молекулы фуллерена решается в пределе сильной связи [23, 34], который зачастую слабо чувствителен к виду симметрии [31], эти возможности калибровочных теорий дают адекватные результаты при сравнении с измеряемыми спектрами.
Воспользуемся уравнением Дирака в пространстве Геделя в виде [15, 26]:
–iℏvf σaeaμ (∇μ — iAμ)ψ = 0; a = 0, 1, 2; μ = t, θ, φ, (1)
где vf — скорость Ферми; σa — матрицы Паули; eaμ — базисные тетрады пространства—времени, .
Метрика Геделя в декартовых координатах записывается в виде: ds2 = a2 [dt2 — dx2 + + 0.5exp(2x)dy2 — dz2 + 2exp(x)dtdy], а в сферических координатах (r, φ, z, t) линейный элемент метрики Геделя для упругого пространства—времени есть [26]
(2)
Здесь α относится к угловому сектору, вырезанному или вставленному из двух конических дефектов на сфероиде (схема в [33]), α = 1 ± λ/2π, λ = ±Nπ/3, N — целые числа в интервале (0,6), 0 ≤ r < ∞, азимутальный угол 0 ≤ φ ≤ 2π, –∞ < (z, t) < ∞, Ω — член спиновой связности [33]. Условие 0 < α < 1 означает удаление секции сферы для образования двух топологических дефектов в противоположной точке [26]. Когда l2 = Ω2/2 и α = 1, получается решение из оригинальной работы Геделя 1949 г.
Вблизи точки Ферми в [26] для размерности (2+1) представлена метрика типа Геделя (2) в условиях низких энергий и вращения вокруг оси z:
(3)
где R — радиус фуллерена; полярный угол на сфере 0 ≤ θ ≤ π. Если Ω = 0 и α = 1, то из (3) получается метрика Минковского.
Метрика (3) описывает упругий континуум сферической геометрии с дисклинацией, т.е. дисклинация ассоциируется с кривизной пространства–времени Геделя. Проекцией неабелева центрального монополя являются дисклинации на поверхности сфероида-фуллерена.
Здесь базисной системой отсчета является тетрада пространства (eaμ(x)), в каждой точке локальной системы отсчета gμν(x) = ηabeaμebν, где тетрада и ей обратная удовлетворяют условиям ортогональности eaμebμ = ηab, eaμeμb = δab, eμaeaν = δμν. Отображение системы отсчета пространства—времени Геделя через локальную систему отсчета записывается как:
. (4)
Для локальных координат в [26] тетрада eaμ выбрана в виде:
(5)
Спиновую связность ωμab в терминах 1-форм можно вычислить как путем вариации локальной системы отсчета вдоль замкнутой кривой δeaμ [26], так и на основе структурных уравнений Маурера–Картана:
. (6)
Здесь на специальной унитарной группе SU(2) ненулевые коэффициенты спиновой связности равны: ωφ01 = –ωφ10 = (2αΩRsinθ)/vf, ωφ21 = –ωφ12 = αcosθ, ωθ02 = –ωθ20 = (2ΩR)/vf. В [26] далее записывается спинорная связность Γμ(х) = 0.25ωμabΣab через компоненты дублета, соответствующие K-точкам, в виде матрицы размерности (2+1):
(7)
В этом случае матрицы Дирака редуцируются в матрицы Паули ãa = σa. Матрица σ0 — единичная, размером 2 × 2. Матрицы σ действуют только на геометрию, а Γ – на спинорную связность K±. В этих компонентах ковариантное уравнение Дирака (1) на поверхности сферы с фиктивным монополем в ее центре есть [26]
. (8)
Индексы (a, b) относятся к локальным координатам, (μ, υ) — к изначальной системе отсчета. Неабелево калибровочное поле центрального монополя типа [15, 26] в континууме выражается как , где τ2 — вторая матрица Паули.
Подходы в [26] и [33] очень близки. В работе [33] Колесникова и Осипова пятиугольным поверхностным дисклинациям приписывают два различных калибровочных поля, одно из которых отвечает за упругие свойства и характеризуется индексами Франка [34], а другое — за электронные. В подходе [26] используется дублет спиноров K, взаимодействующих с характеристической кривизной пространства и с кривизной, ассоциированной с пятиугольными дефектами через калибровочное поле Aμ, индуцируемое фиктивным магнитным монополем в центре.
Этот монополь должен отвечать стандартным условиям квантования Aφ:
, (9)
где τ(2) действует только в пространстве спинорных компонентов K±, заряд g фиктивного центрального монополя:
где N — число конических сингулярностей на поверхности, в случае фуллерена С60 N = 12, g = 3/2. В спинорных компонентах k(+): Aφ = g cosθ, k(–): Aφ = –gcosθ.
В работе [33] рассмотрена аналогичная формулировка уравнения Дирака на поверхности в присутствии внешнего калибровочного поля U(1) Wμ и того же самого (как и в метрике Геделя [26]) калибровочного поля Aμ. В обеих метриках в [26, 33] построены электронные спектры фуллерена в магнитном поле εmn и найдены собственные значения волновых функций ψk.
Рассмотрим значения незатухающих монопольных токов I в магнитном поле: в [26] на основе соотношения Берса–Янга вычислены значения I, соответствующие хиральным магнитным струнам, пронизывающим фуллерен:
(10)
Эти токи не индуцируются внешними источниками, а являются сугубо квантовым эффектом, который наблюдается как в сверхпроводниках, так и в обычных проводниках и полупроводниках. При отключении внешнего магнитного поля сохраняются остаточные токи. Такой ток [26], к примеру, в пределе ΩR << vf есть
. (11)
Фрактальная размерность монопольных токов пропорциональна натяжению струны [34], что также наблюдается при проекции на SU(2) как в дуальных сверхпроводниках, так и в вакуумах глюодинамики — при явлении конденсации монополей.
Будем исследовать взаимодействие монополей через струны SU(2) в фазе конфайнмента в размерности D = 2. С учетом метрики (6) представим гамильтониан калибровочного поля на ребрах решетки L в виде [30]:
(12)
В решеточных переменных x = cos2(θ/2), принимает значения 1, ... , (D – 1), компоненты вектор-потенциала (6) остаются прежними. Очевидно, что аргумент функции cos — это фаза, соответствующая каждому плакету решетки. Для генераторов калибровочных преобразований Γ поля Ax, l имеет место условие
. (13)
Тогда гамильтониан (12) равен
. (14)
Здесь коэффициент β1 соответствует величине натяжения струны, фигурирующей в действии, из которого получена формула для гамильтониана (13).
Магнитный ток (ток монополя) в общем виде равен [36]: Переходя от интегрирования по поверхности к суммированию по граням куба, имеем магнитный ток
. (15)
Здесь использована фаза θp на плакетной матрице (11), пропорциональная тензору напряженности.
Для вычисления силы монопольного тока, натяжения струны, энергии дисклинаций фуллерена С60 (или монополей ’т Хоофта–Полякова) в абелевом виде можно воспользоваться методом максимальной абелевой проекции (МАП) SU(2)→U, определяемой как [37–39]. Для вычисления МАП используется анзац ’т Хоофта [35–38]:
, (16)
где gс — константа связи, – символ ’т Хоофта, а функция f(x) равна
, (17)
где t — время; ρ — размер монополя; r — пространственный радиус. Для конфигурации N-монополей
, (18)
где xi — позиция центра i-монополя.
Фрактальная размерность на решетке (или размерность кластера, состоящего из ребер решетки) [36] определяется как отношение числа ребер N1 к числу принадлежащих кластеру узлов Ns:
. (19)
Также из (17) фрактальную размерность можно вычислить как
. (20)
После представления m в решеточных переменных на дуальной решетке *j = m.
Также полезно рассмотреть представление параметра порядка в виде линии Полякова в фазе конфайнмента (кластеризации монополей) [36]:
. (21)
Значение петли Полякова приписывается каждому узлу пространственной решетки. Роль температуры в моделировании определяется через шаг решетки a и размер решетки во временном направлении T = 1/(Nta) [31, 36]. Ux, μ — плакетная матрица, аналог тензора напряженности поля Fμν(x) на каждом узле решетки, которая после калибровочных преобразований имеет вид U’x, μ = Ωx U’x, μ Ω+x.
ЧИСЛЕННЫЕ РЕЗУЛЬТАТЫ
Вычисления для гамильтониана (14) с использованием решеточного метода Монте-Карло проведены на дуальной к простой кубической решетке 963 размером a = 0.7 нм [6], абсолютное значение которого происходит из геометрии молекулы фуллерена (максимальное расстояние между центрами двух соседних фуллеренов). Величинам β здесь приписаны значения фиксированных коэффициентов.
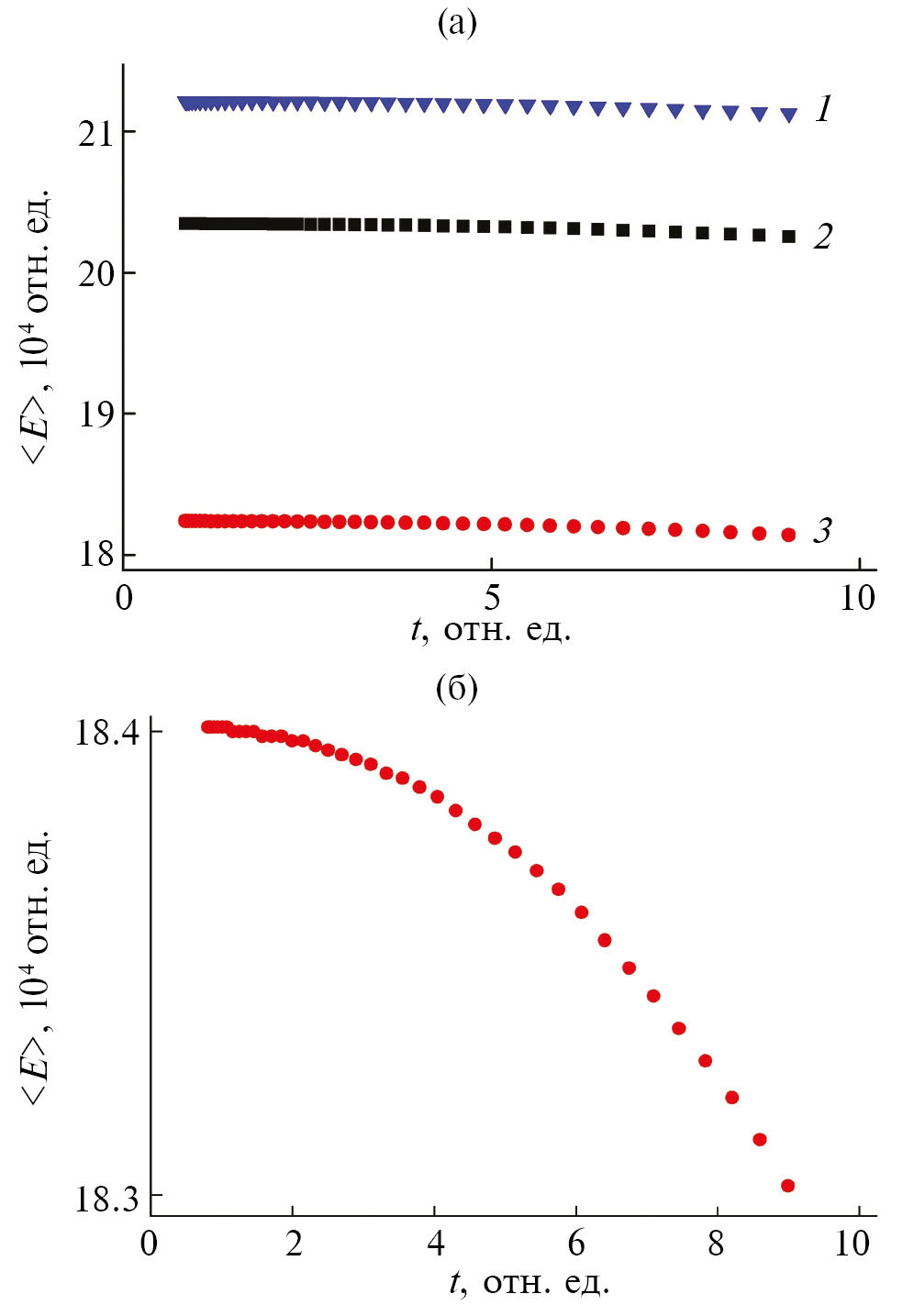
На рис. 3 показана температурная зависимость средней энергии монопольных токов при различных концентрациях монополей, вычисленная с помощью алгоритма Монте-Карло. Поведение этой величины характерно для конденсации мономеров в заданном объеме, также наблюдали ее зависимость от концентрации фуллерена C60 в матрице ИПП, согласующуюся с экспериментально наблюдаемыми [7] и расчетными [9, 10] значениями. Для сравнения вычисляют также энергию монопольных токов для случая фиктивных концентраций наполнителей 1 и 5 мас. %.
Рис. 3. Температурная зависимость средней энергии монопольных токов при концентрации наполнителя: а — 1 (1), 5 (2), 16.5 мас. % (3); б — 16.5 мас. %. Погрешность вычислений методом Монте-Карло составила 0.1% (не показана).
В рассмотренной задаче не наблюдали никакого фазового перехода при кластеризации наночастиц (на рис. 4 показан инвариант). Также по причине уничтожения в процедуре дуальных преобразований членов с химическим потенциалом нет возможности в рамках предложенной модели монопольного газа оценить величину насыщения (критической концентрации фуллерена для образования кластеров) [11, 12]. На осях абсцисс отложена температура t, играющая роль времени [36], координаты четвертого измерения пространства в относительных единицах.
Рис. 4. Магнитная восприимчивость <χ> в зависимости от температуры для различных концентраций наполнителя 1, 5 и 16.5 мас. % (треугольники, квадраты и кружки соответственно), погрешность вычислений методом Монте-Карло составила 0.1% (не показана).
ОБСУЖДЕНИЕ И ВЫВОДЫ
Для интерпретации кластеризации молекул фуллерена C60 в матрице полимера ИПП мы предложили использовать базис топологических дефектов фиктивного центрального монополя и поверхностных дисклинаций фуллерена и представили кластеризацию в формализме решеточной модели монопольного газа.
Квантовые эффекты, присущие молекулам фуллерена под воздействием внешнего поля, наряду со стандартными термодинамическими параметрами обусловливают их кластеризацию в любых растворителях. Скорость кластеризации зависит и от внешних полей.
Выражения для вычисляемых наблюдаемых характеристик дефектов (монополей и дисклинаций) и фрактальная размерность кластеров наночастиц Df зависят от вида абелевой проекции, и в меньшей степени — от выбора сорта неевклидова пространства–времени.
ФИНАНСИРОВАНИЕ РАБОТЫ
Работа выполнена в рамках государственного задания Министерства науки и высшего образования Российской Федерации (тема № FFSM-2021-0006).
КОНФЛИКТ ИНТЕРЕСОВ
Авторы данной работы заявляют, что у них нет конфликта интересов.
About the authors
L. V. Elnikova
National Research Center “Kurchatov Institute”; Southwest State University
Author for correspondence.
Email: elnikova@itep.ru
Russian Federation, Moscow, 117218; Kursk, 305040
A. N. Ozerin
N.S. Enikolopov Institute of Synthetic Polymeric Materials, Russian Academy of Sciences
Email: elnikova@itep.ru
Russian Federation, Moscow, 117393
V. G. Shevchenko
N.S. Enikolopov Institute of Synthetic Polymeric Materials, Russian Academy of Sciences
Email: shev@ispm.ru
Russian Federation, Moscow, 117393
P. M. Nedorezova
N.N. Semenov Federal Research Center for Chemical Physics, Russian Academy of Sciences
Email: elnikova@itep.ru
Russian Federation, Moscow, 119991
O. M. Palaznik
N.N. Semenov Federal Research Center for Chemical Physics, Russian Academy of Sciences
Email: elnikova@itep.ru
Russian Federation, Moscow, 119991
A. T. Ponomarenko
N.S. Enikolopov Institute of Synthetic Polymeric Materials, Russian Academy of Sciences
Email: elnikova@itep.ru
Russian Federation, Moscow, 117393
V. V. Skoi
Joint Institute for Nuclear Research; Moscow Institute of Physics and Technology
Email: elnikova@itep.ru
Russian Federation, Dubna, 141980; Dolgoprudny, 141701
A. I. Kuklin
Joint Institute for Nuclear Research; Moscow Institute of Physics and Technology
Email: alexander.iw.kuklin@gmail.com
Russian Federation, Dubna, 141980; Dolgoprudny, 141701
References
- Dresselhaus M.S., Dresselhaus G., Eklund P.C. Science of Fullerenes and Carbon Nanotubes: Their Properties and Applications, San Diego, California: Academic Press, 1996. 965 p.
- Elnikova L.V., Ozerin A.N., Shevchenko V.G., Nedorezova P.M., Ponomarenko A.T., Skoi V.V., Kuklin A.I. // Fullerenes, Nanotubes and Carbon Nanostructures. 2021. V. 29. Iss. 10. P. 783. https://doi.org/10.1080/1536383X.2021.1896496
- Polshchikov S.V., Nedorezova P.M., Komkova O.M., Klyamkina A.N., Shchegolikhin A.N., Krasheninnikov V.G., Aladysheva A.M., Shevchenko V.G., Muradyan V.E. // Nanotechnologies in Russia. 2014. V. 9. № 3–4. P. 175. https://doi.org/10.1134/S1995078014020128
- Shevchenko V.G., Polshchikov S.V., Nedorezova P.M., Klyamkina A.N., Aladyshev A.M., Chvalun S.N. // Polymer Composites. 2015. V. 36. Iss. 6. P. 1006. https://doi.org/10.1002/pc.23447
- Török G., Lebedev V.T., Cser L. // Phys. Solid State. 2002. V. 44. № 3. P. 572.
- Aksenov V.L., Tropin T.V., Avdeev M.V., Priezzhev V.B., Schmelzer J.W.P. // Phys. Particles Nuclei. 2005. V. 36. № 1. P. 52.
- Avdeev M.V., Khokhryakov A.A., Tropin T.V., Andrievsky G.V., Klochkov V.K., Derevyanchenko L.I., Rosta L., Garamus V.M., Priezzhev V.B., Korobov M.V., Aksenov V.L. // Langmuir. 2004. V. 20. P. 4363. https://doi.org/10.1021/la0361969
- Bokare A.D., Patnaik A. // J. Chem. Phys. 2003. V. 119. № 8. P. 4529. https://doi.org/10.1063/1.1594177
- Voronin D.P., Buchelnikov A.S., Kostjukov V.V., Khrapatiy S.V., Wyrzykowski D., Piosik J., Prylutskyy Yu I., Ritter U., Evstigneev M.P. // J. Chem. Phys. 2014. V. 140. P. 104909. https://doi.org/10.1063/1.4867902
- Peidys D.A., Mosunov A.A., Mykhina Yu.V., Prylutskyy Yu.I., Evstigneev M.P. // Chem. Phys. Lett. 2020. V. 742. P. 137161. https://doi.org/10.1016/j.cplett.2020.137161
- Eletskii A.V., Okun M.V., Smirnov B.M. // Physica Scripta. 1997. V. 55. P. 363.
- Безмельницын В.Н., Елецкий А.В., Окунь М.В. // УФН. 1998. Т. 168. № 11. С. 1195. https://doi.org/10.3367/UFNr.0168.199811b.1195
- Liu H., Lin Zh., Zhigilei L.V., Reinke P. // J. Phys. Chem. C. 2008. V. 112. P. 4687. https://doi.org/10.1021/jp0775597
- Sundqvist B. // Adv. Phys. 1999. V. 48. № 1. P. 1. http://dx.doi.org/10.1080/000187399243464
- Garcia G.Q., Cavalcante E., de M. Carvalho A.M., Furtado C. // Eur. Phys. J. Plus. 2017. V. 132. P. 183. https://doi.org/10.1140/epjp/i2017-11457-1
- Kochetov E.A., Osipov V.A. // J. Phys. A: Math. Gen. 1999. V. 32. P. 1961.
- Pudlak M., Pincak R., Osipov V.A. // Phys. Rev. A. 2007. V. 75. P. 065201. https://doi.org/10.1103/PhysRevA.75.065201
- Pudlak M., Pincak R., Osipov V.A. // Phys. Rev. A. 2006. V. 74. P. 235435.
- Chancey C.C., O’Brien M.C.M. The Jahn-Teller Effect in С60 and Other Icosahedral Complexes. New Jersey, Prinseton: Univ. Press, 1997. 204 p.
- Кузьмин А.В. Структурные аспекты эффекта Яна-Теллера в кристаллах анионных комплексов фуллеренов и фталоцианинов: Дис. кандидата ф.-м.н.: 01.04.07. Черноголовка, 2018. 170 с.
- González J., Guinea F., Vozmediano M.A.H. // Nucl. Phys. B. 1993. V. 406. P. 771.
- Gonzalez J., Guinea F., Vozmediano M.A.H. // Phys. Rev. Lett. 1992. V. 69. P. 172.
- Vozmediano M.A.H., de Juan F., Cortijo A. // J. Phys.: Conf. Ser. 2008. V. 129. P. 012001.
- Kroto H. // Rev. Mod. Phys. 1997. V. 69. P. 703.
- Kroto H.W., Heath J.R., O’Brien S.C., Curl R.F., Smalley R.E. // Nature. 1985. V. 318. P. 162.
- Cavalcante E., Carvalho J., Furtado C. // Eur. Phys. J. Plus. 2016. V. 131. P. 288. https://doi.org/10.1140/epjp/i2016-16288-x
- Катанаев М.О. // УФН. 2005. Т. 175. № 7. С. 705. https://doi.org/10.3367/UFNr.0175.200507b.0705
- Кадич А., Эделен Д. Калибровочная теория дислокаций и дисклинаций. М.: Мир, 1987. 166 с.
- Soloviev A.G., Solovjeva T.M., Ivankov O.I., Soloviov D.V., Rogachev A.V., Kuklin A.I. // J. Phys.: Conf. Ser. 2017. V. 848. P. 012020. https://doi.org/10.1088.1742-6596.848.1.012020
- Petoukhov M.V., Franke D., Shkumatov A.V., Tria G., Kikhney A.G., Gajda M., Gorba C., Mertens H.D., Konarev P.V., Svergun D.I. // J. Appl. Crystallogr. 2012. V. 45. P. 342. https://doi.org/10.1107/S0021889812007662
- Поляков А.М. Калибровочные поля и струны. Черноголовка: ИТФ им. Л.Д. Ландау, 1995. 308 с.
- Монастырский М.И. Топология калибровочных полей и конденсированных сред. М.: ПАИМС, 1995. 478 с.
- Kolesnikov D.V., Osipov V.A. // Europ. Phys. J. B. 2006. V. 49. P. 465. https://doi.org/10.1140/epjb/e2006-00087-y
- Frank F.C. // Phil. Mag. 1951. V. 42. № 331. P. 809.
- Zhan B.L., Wang C.Z., Chan C.T., Ho K.M. // Phys. Rev. B. 1993. V. 48. № 15. P. 11381.
- Поликарпов М.И. // УФН. 1995. Т. 165. № 6. С. 627.
- Chernodub M.N., Gubarev F.V. // JETP Lett. 1995. V. 62. № 2. P. 100.
- ’t Hooft G. // Nucl. Phys. B. 1981. V. 190. P. 455.
- Kronfeld A.S., Schierholz G., Wiese U.-J. // Nucl. Phys. B. 1987. V. 293. P. 461.
Supplementary files






