Кисспептины рыб Kiss1 и Kiss2 модулируют экспрессию генов кортиколиберина и гонадолиберина в структурах головного мозга Danio rerio
- Авторы: Лизунов А.В.1, Блаженко А.А.1, Комлев А.С.1, Петрова П.Е.1, Хохлов П.П.1, Бычков Е.Р.1, Шабанов П.Д.1
-
Учреждения:
- Институт экспериментальной медицины
- Выпуск: Том 15, № 4 (2024)
- Страницы: 355-362
- Раздел: Оригинальные исследования
- URL: https://journal-vniispk.ru/1606-8181/article/view/284133
- DOI: https://doi.org/10.17816/phbn635902
- ID: 284133
Цитировать
Аннотация
Актуальность. Кисспептиновая система мозга играет важную роль в регуляции репродуктивной функции человека и животных. В отличие от млекопитающих в мозге рыб Danio rerio экспрессируется 2 типа кисспептинов — Kiss1 и Kiss2. Актуальным является вопрос о роли кисспептинов в гормональной регуляции у рыб.
Цель. Изучить влияние Kiss1 и Kiss2 на экспрессию генов кортиколиберина и гонадолиберина в среднем и промежуточном мозге у Danio rerio.
Материалы и методы. Кисспептины Kiss1 и Kiss2 представляют собой олигопептиды длиной 13 и 9 аминокислотных остатков соответственно. Рыбам Danio rerio интрацеребровентрикулярно вводили 1 и 4 нг каждого пептида в объеме 1 мкл. Через 1 и 4 ч после введения олигопептидов, у рыб извлекали головной мозг, выделяли средний и промежуточный мозг единым комплексом и исследовали экспрессию генов кортиколиберина и гонадолиберина с помощью полимеразной цепной реакции в режиме реального времени.
Результаты. При интрацеребровентрикулярном введение кисспептинов Kiss1 и Kiss2 отмечена модуляция экспрессия генов кортиколиберина и гонадолиберина в структурах среднего и промежуточного мозга Danio rerio. В группе, которой вводили Kiss1 в дозе 4 нг, через 4 ч экспрессия гена Corticoliberin повысилась по сравнению с контрольными группами в 17 и 65 раз. В группе, которой вводили Kiss2 в дозе 1 нг, через 1 ч экспрессия гена Corticoliberin повысилась по сравнению с контрольными группами в 23 и 92 раза. В группе, которой вводили Kiss1 в концентрации 4 нг, через 1 ч экспрессия гена Gonadoliberin понизилась в 3 раза по сравнению с контрольной группой, забитой через 1 час. В группе, которой вводили Kiss2 в концентрации 1 нг, через 1 ч экспрессия гена Gonadoliberin понизилась по сравнению с контрольной группой в 4 раза. В группе, которой вводили Kiss2 в концентрации 1 нг, через 4 ч экспрессия гена Gonadoliberin понизилась по сравнению с контрольной группой в 3 раза.
Заключение. Проведенные экспериментальные исследования свидетельствуют о том, что введение кисспептинов костистых рыб Kiss1 и Kiss2 приводит к активации гена кортиколиберина и подавлению активности гена гонадолиберина в структурах головного мозга рыб Danio rerio.
Ключевые слова
Полный текст
АКТУАЛЬНОСТЬ
Кисспептиновая система мозга играет важную роль в регуляции репродуктивной функции человека и животных. Кисспептин оказывает активирующее влияние на гипоталамо-гипофизарно-гонадную ось посредством стимуляции секреции гипоталамического гонадотропин-рилизинг гормона [1]. Кисспептин у человека кодируется геном Kiss1, его продукт — белок длиной 145 аминокислотных остатков. Активные формы кисспептина представлены короткими пептидами длиной 54, 14, 13 и 10 аминокислотных остатков. Они взаимодействуют с рецептором кисспептина KISS1R.
В настоящее время для оценки фармакологической активности новых соединений в качестве модельного организма часто используются рыбы Danio rerio. В отличие от млекопитающих в мозге рыб Danio rerio экспрессируется 2 типа кисспептинов Kiss1 и Kiss2. Пептид Kiss1 рыб является ортологом Kiss1 млекопитающих, но в отличие от млекопитающих он не регулирует функцию гонад, а блокирует проявления страха и активирует исследовательское поведение у рыб [2]. В то же время пептид Kiss2 связан с регуляцией репродуктивной функции у рыб и синтезируется в перивентрикулярной области гипоталамуса. Введение Kiss2, но не Kiss1, увеличивало экспрессию генов фолликулостимулирующего и лютеинизирующего гормонов в гипофизе у самок Danio rerio [3].
Гонадотропин-рилизинг гормона продуцируется в гипоталамусе и вызывает усиление секреции фолликулостимулирующего и лютеинизирующего гормонов передней доли гипофиза. Активность гонадотропин-рилизинг гормона также коррелирует с половым и социальным поведением у рыб. Показано, что циклиды с повышенной экспрессией гонадотропин-рилизинг гормона проявляют повышенную склонность к доминантному поведению [1, 4]. Гонадотропин-рилизинг гормон кодируется геном GNRH1 у человека и геном gnrh3 у рыб Danio rerio.
Кортикотропин-рилизинг гормон регулирует активность гипоталамо-гипофизарно-надпочечниковой системы. Кортиколиберин стимулирует секрецию адренокортикотропного гормона из передней доли гипофиза. Он синтезируется главным образом в паравентрикулярном ядре гипоталамуса и кодируется геном CRH у человека и геном crh у рыб Danio rerio. Кортикотропин-рилизинг гормон принимает участие в реакции организма на стресс и является одним из пусковых механизмов развития тревоги, страха, беспокойства, приводящих к ухудшению аппетита, сна и снижению половой активности. Показаны тесные морфофункциональные связи между кортиколиберин-содержащими и кисспептиновыми нейронами. В одной из первых работ, связанных с влиянием гипоталамо-гипофизарно-надпочечниковой системы на кисспептин, было высказано предположение о том, что острый и хронический стрессы приводят к снижению уровня кисспептина и подавлению синтеза и секреции лютеинизирующего гормона гипофиза [1, 5, 6].
Цель исследования — изучение влияния интрацеребровентрикулярного введения кисспептинов Kiss1 и Kiss2 рыб Danio rerio на экспрессию генов гонадотропин-рилизинг гормона и кортикотропин-рилизинг гормона в среднем и промежуточном мозге у Danio rerio.
МАТЕРИАЛЫ И МЕТОДЫ
Выбор экспериментальных животных (Danio rerio) и условия их содержания были подробно описаны ранее [7]. Анестезию животных и получение образцов среднего и промежуточного мозга проводили согласно общепринятой методике [8].
Кисспептины рыб Danio rerio Kiss1 (NVAYYNLNSFGLRY-NH2) и Kiss2 (FNYNPFGLRF-NH2) синтезировали по стандартному протоколу с использованием защитных Fmoc-групп в отделе общей патологии и патофизиологии ФГБНУ ИЭМ (Санкт-Петербург) [9].
В ходе эксперимента животные были разделены на 10 групп: 1 — контроль 1, животным интрацеребровентрикулярно вводили физиологический раствор в объеме 1 мкл и забивали через 1 ч после инъекции; 2 — контроль 2, животным интрацеребровентрикулярно вводили физизиологический раствор в объеме 1 мкл и забивали через 4 ч после инъекции; 3 — животным интрацеребровентрикулярно вводили Kiss1 в дозе 1 нг (1 мкг/мл) и забивали через 1 ч; 4 — животным интрацеребровентрикулярно вводили Kiss1 в дозе 1 нг (1 мкг/мл) и забивали через 4 ч; 5 — животным интрацеребровентрикулярно вводили Kiss1 в дозе 4 нг (4 мкг/мл) и забивали через 1 ч; 6 — животным интрацеребровентрикулярно вводили препарат Kiss1 в дозе 4 нг (4 мкг/мл) и забивали через 4 ч; 7 — животным интрацеребровентрикулярно вводили Kiss2 в дозе 1 нг (1 мкг/мл) и забивали через 1 ч; 8 — животным интрацеребровентрикулярно вводили препарат Kiss2 в дозе 1 нг (1 мкг/мл) и забивали через 4 ч; 9 — животным интрацеребровентрикулярно вводили Kiss2 в дозе 4 нг (4 мкг/мл) и забивали через 1 ч; 10 — животным интрацеребровентрикулярно вводили препарат Kiss2 в дозе 4 нг (4 мкг/мл) и забивали через 4 ч. Все внутримозговые инъекции проводили в объеме 1 мкл.
Для оценки экспрессии генов кортиколиберина и гонадолиберина через 1 и 4 ч после введения Kiss1 и Kiss2 у рыб извлекали головной мозг, выделяли средний и промежуточный мозг единым комплексом с последующим получением мРНК по стандартной методике. Измельченный фрагмент головного мозга помещали в 100 мкл тризола и инкубировали 5 мин при температуре 40 °С. Затем к каждой пробе добавляли по 40 мкл хлороформа, перемешивали и инкубировали 5 мин с плавным перемешиванием. Затем центрифугировали 10 мин при 13 000 g, отбирали верхнюю фазу. После этого к отобранной верхней фазе добавляли равный объем изопропилового спирта, перемешивали и инкубировали сутки при –20 °С. Затем центрифугировали 10 мин при 13 000 g, собирая осадок. Удаляли спирт, промывали осадок 70 % этиловым спиртом и высушивали в термостате при 40 °С. Высушенный осадок растворяли в 50 мкл dH2O с добавлением 1 % РНАзина. После выделения мРНК проводили реакции обратной транскрипции. После проводили реакции ПЦР в реальном времени с праймерами к мРНК генов кортикотропин-рилизинг гормона Corticoliberin (JN859047.1) и гонадотропин-рилизинг гормона Gonadoliberin (AJ304429.1), в качестве референсных генов были взяты гены домашнего хозяйства циклофилина (Cyclophilin) и глицеральдегид-3-фосфатдегидрогеназы (Glyceraldehyde-3-phosphatedehydrogenase (Gapdh). Уровень экспрессии генов кортиколиберина и гонадолиберина нормировали к уровню среднего геометрического двух референсных генов (Cyclophilin и Gapdh) и рассчитывали в относительных единицах по отношению к средней величине экспрессии генов кортиколиберина и гонадолиберина в группах соответственно.
Статистическую обработку полученных данных проводили с помощью стандартного пакета программ Graph Pad PRISM 8.0. Для определения соответствия формы распределения нормальному применяли критерий Колмогорова – Смирнова. В случаях нормального распределения обработку данных проводили с помощью однофакторного дисперсионного анализа ANOVA с последующим попарным сравнением экспериментальных групп по критерию Тьюки. В случаях неизвестного распределения использовали непараметрический критерий Краскела – Уоллиса с последующим сравнением независимых групп в тесте Данна. Различия считали статистически значимыми при уровне p < 0,05.
РЕЗУЛЬТАТЫ И ОБСУЖДЕНИЕ
Уровень мРНК гена Corticoliberin в среднем и промежуточном мозге Danio rerio продемонстрировал следующие показатели. В КГ, через 1 ч после инъекции, экспрессия гена Corticoliberin была в 4 раза выше по сравнению с КГ, взятой через 4 ч после введения физиологического раствора. В группе 3 через 1 ч экспрессия гена Corticoliberin была снижена по сравнению с КГ (4 ч). В группах 4 и 5 через 1 ч экспрессия гена Corticoliberin значимо не отличалась от обеих КГ. В группе 6 через 4 часа экспрессия гена Corticoliberin повысилась по сравнению с обеими КГ в 17 и 65 раз соответственно. В группе 7 через 1 ч экспрессия гена Corticoliberin повысилась по сравнению с обеими КГ в 23 и 92 раз соответственно. В группе 8 через 4 ч экспрессия гена Corticoliberin повысилась по сравнению с обеими КГ в 17 и 64 раза соответственно. В группе 9 через 1 ч экспрессия гена Corticoliberin повысилась по сравнению с обеими КГ в 41 и 167 раз соответственно. В группе 10 через 4 ч экспрессия гена Corticoliberin повысилась по сравнению с обеими КГ в 19 и 75 раз соответственно. Данные представлены на рисунке 1.
Рис. 1. Экспрессия гена кортиколиберина в среднем и промежуточном мозге Danio rerio. * — p < 0,05, *** — p < 0,001 по отношению к группе контроля, забитой через 1 час; ### — p < 0,001 по отношению к группе контроля, забитой через 4 часа. Данные выражены в условных единицах и нормированы к уровню экспрессии генов циклофилина (Cyclophilin) и глицеральдегид-3-фосфатдегидрогеназы (Gapdh) и рассчитаны в относительных единицах по отношению к средней величине экспрессии гена Corticoliberin в группах. Выравнивание производилось по среднему геометрическому двух референсных генов (Cyclophilin и Gapdh). Данные представлены как среднее ± стандартная ошибка среднего
Fig. 1. Corticoliberin gene expression in the midbrain and diencephalon of Danio rerio. * — p < 0.05, *** — p < 0.001 relative to the control group euthanized after 1 hour; ### — p < 0.001 relative to the control group euthanized after 4 hours. Data are presented in arbitrary units normalized to the expression levels of Cyclophilin and Gapdh genes and calculated relative to the mean corticoliberin expression in the groups. The alignment was performed using the geometric mean of the reference genes (Cyclophilin and Gapdh). Data are presented as mean ± standard error of the mean (M ± SEM)
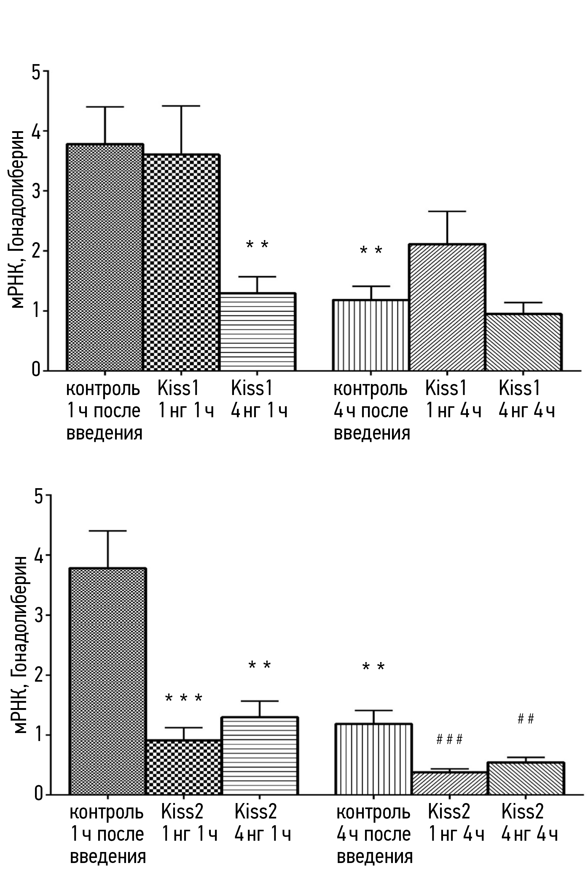
Уровень мРНК гена Gonadoliberin в среднем и промежуточном мозге Danio rerio продемонстрировал следующие показатели. В КГ, забитой через 1 ч после введения физиологического раствора, экспрессия гена Gonadoliberin была выше в 3 раза, чем в КГ, забитой через 4 ч. В группах, которым вводили интрацеребровентрикулярно кисспептин 1 и 2 в концентрациях 1 нг, через 1 и 4 ч экспрессия гена Gonadoliberin значимо не отличалась от обеих КГ. В группе, которой вводили интрацеребровентрикулярно кисспептин 1 в концентрации 4 мкг/мл, через 1 ч экспрессия гена Gonadoliberin понизилась в 3 раза по сравнению с КГ, забитой через 1 ч. В группе 6 через 4 ч экспрессия гена Gonadoliberin понизилась по сравнению с КГ (1 ч) в 1,2 раза. В группе 7 через 1 час экспрессия гена Gonadoliberin понизилась по сравнению с КГ, забитой через 1 час, в 4 раза. В группе 8 через 4 ч экспрессия гена Gonadoliberin понизилась по сравнению с КГ, забитой через 4 ч, в 3 раза. В группе 9 через 1 ч экспрессия гена Gonadoliberin понизилась по сравнению с КГ, забитой через 1 ч, в 3 раза. В группе 10 через 4 ч экспрессия гена Gonadoliberin понизилась по сравнению с КГ, забитой через 4 ч, в 2,4 раза. Данные представлены на рисунке 2.
Рис. 2. Экспрессия гена гонадолиберина в среднем и промежуточном мозге Danio rerio. ** — p < 0,01, *** — p < 0,001 по отношению к группе контроля, забитой через 1 ч; ## — p < 0,01, ### — p < 0,001 по отношению к группе контроля, забитой через 4 ч. Данные выражены в условных единицах и нормированы к уровню экспрессии генов циклофилина (Cyclophilin) и глицеральдегид-3-фосфатдегидрогеназы (Gapdh) и рассчитаны в относительных единицах по отношению к средней величине экспрессии гена Gonadoliberin в группах. Выравнивание производилось по среднему геометрическому двух референсных генов (Cyclophilin и Gapdh). Данные представлены как среднее ± стандартная ошибка среднего
Fig. 2. Gonadoliberin gene expression in the midbrain and diencephalon of Danio rerio. ** — p < 0.01, *** — p < 0.001 relative to the control group euthanized after 1 hour; ## — p < 0.01, ### — p < 0.001 relative to the control group euthanized after 4 hours. Data are presented in arbitrary units normalized to the expression levels of Cyclophilin and Gapdh genes and calculated relative to the mean gonadoliberin expression in the groups. The alignment was performed using the geometric mean of the reference genes (Cyclophilin and Gapdh). Data are presented as mean ± standard error of the mean (M ± SEM)
В предыдущих поведенческих экспериментах было показано, что различные виды стресса вызывают развитие тревожности у представителей костистых рыб [2]. Установлено, что это связано с повышением уровня кортиколиберина и гонадолиберина в головном мозге исследуемых животных [2, 11] Регуляция синтеза пептидов происходит как на стадии экспрессии генов пептидов, так и на посттрансляционном уровне. В связи с этим, при изучении механизмов действия препаратов, снимающих стрессорное состояние, необходимо изучить изменение в уровне экспрессии генов пептидов, связанных с развитием стресса. Препараты кисспептинов ранее были изучены как антистрессорные [12]. В данной работе было установлено, что введение пептида Kiss2 рыбам вида Danio rerio повышает уровень экспрессии гена кортиколиберина и одновременно снижает уровень экспрессии гена гонадотропин-рилизинг-гормона в мозгу исследуемых рыб. При этом другой пептид Kiss1 оказывал значимое влияние на повышение уровня экспрессии гена кортиколиберина и снижение уровня экспрессии гена гонадотропин-рилизинг-гормона только при увеличении концентрации и времени экспозиции. Это может говорить о том, что разные кисспептины активируют различные сигнальные пути в нервных клетках, что и приводит к оказанию различного воздействия на гены-мишени. Ранее было показано, что кортикотропин-рилизинг-гормон задействован в ответе на развитие тревожности при стрессе [6]. Также ранее было показано, что гонадотропин-рилизинг-гормон играет важную роль в активации полового и территориального поведения у рыб, которое связано со стрессом [4]. В связи с этим препарат, активирующий ген кортиколиберина, одновременно репрессирует ген гонадолиберина в мозгу рыб Danio rerio. Нужно отметить, что этот эффект на уровне клеточного сигналинга может возникать из-за связи различных кисспептинов с разными компонентами сигнального каскада. Разнонаправленность эффектов на экспрессию генов Corticoliberin и Gonadoliberin согласуется с данными предыдущих исследований [13, 14]. Неоднократно было показано, что регуляция через сигнальные каскады у человека и других видов животных может работать прямо противоположно [15, 16]. В связи с этим можно ожидать, что в опытах на культуре человеческих клеток, в отличие от рыб, регуляция экспрессии генов CRH и GNRH1 препаратами кисспептинов будет не разнонаправлена, а сонаправлена.
Таблица 1. Последовательность праймеров
Table 1. Primer Sequence
Ген | Последовательность праймеров | |
Прямой (5’-3’) | Обратный (3’-5’) | |
Cyclophilin | AGCATCCGCAAACGGAAAAG | CCCTTGTAGCCATAGCCAGG |
Gapdh | GATACACGGAGCACCAGGTT | GCCATCAGGTCACATACACG |
Corticoliberin | GGTAACGGGATCCTGAGCAG | ATGATCTTGCGGTTGTGGGT |
Gonadoliberin | CACTGGTCATACGGTTGGCT | GCAAACCTTCAGCATCCACC |
ЗАКЛЮЧЕНИЕ
Полученные данные позволяют расширить современные представления о механизмах действия препаратов кисспептинов, а также открывают перспективы для их дальнейшего изучения как потенциальных антистрессорных препаратов.
ДОПОЛНИТЕЛЬНАЯ ИНФОРМАЦИЯ
Вклад авторов. Все авторы внесли существенный вклад в разработку концепции, проведение исследования и подготовку статьи, прочли и одобрили финальную версию перед публикацией. Вклад каждого автора: А.В. Лизунов — проведение экспериментов по ОТ ПЦР, А.А. Блаженко — проведение экспериментов по введению препаратов интрацеребрально, препарирование животных, А.С. Комлев, П.Е. Петрова — анализ данных, П.П. Хохлов — разработка общей концепции, написание статьи, Е.Р. Бычков — анализ данных, написание статьи, П.Д. Шабанов — разработка общей концепции.
Конфликт интересов. Авторы декларируют отсутствие явных и потенциальных конфликтов интересов, связанных с публикацией настоящей статьи.
Источники финансирования. Исследование выполнено в рамках государственного задания ФГБНУ «Институт экспериментальной медицины» Минобрнауки России.
ADDITIONAL INFORMATION
Authors’ contributions. All authors made significant contributions to the conception, conduct of the study and preparation of the article, and read and approved the final version before publication. Contribution of each author: A.V. Lizunov — conducting RT-PCR experiments, A.A. Blazhenko — conducting experiments on intracerebral administration of drugs, dissecting animals, A.S. Komlev, P.E. Petrova — data analysis, P.P. Khokhlov — development of the general concept, writing the article, E.R. Bychkov — data analysis, article writing, P.D. Shabanov — development of the general concept.
Conflict of interest. The authors declare that there are no obvious or potential conflicts of interest related to the publication of this article.
Sources of funding. The study was carried out within the framework of the state task of the Institute of Experimental Medicine, Ministry of Education and Science of Russia.
Об авторах
Алексей Владимирович Лизунов
Институт экспериментальной медицины
Автор, ответственный за переписку.
Email: izya12005@yandex.ru
ORCID iD: 0000-0001-6458-5683
канд. биол. наук
Россия, Санкт-Петербург, 197022, ул. Академика Павлова, 12Александра Александровна Блаженко
Институт экспериментальной медицины
Email: alexandrablazhenko@gmail.com
ORCID iD: 0000-0002-8079-0991
SPIN-код: 8762-3604
канд. биол. наук
Россия, Санкт-Петербург, 197022, ул. Академика Павлова, 12Алексей Сергеевич Комлев
Институт экспериментальной медицины
Email: izya12005@yandex.ru
ORCID iD: 0000-0001-9111-0755
SPIN-код: 5921-6703
Россия, Санкт-Петербург, 197022, ул. Академика Павлова, 12
Полина Евгеньевна Петрова
Институт экспериментальной медицины
Email: izya12005@yandex.ru
ORCID iD: 0000-0002-9138-8076
Россия, Санкт-Петербург, 197022, ул. Академика Павлова, 12
Платон Платонович Хохлов
Институт экспериментальной медицины
Email: platonkh@list.ru
ORCID iD: 0000-0001-6553-9267
SPIN-код: 8673-7417
канд. биол. наук
Россия, Санкт-Петербург, 197022, ул. Академика Павлова, 12Евгений Рудольфович Бычков
Институт экспериментальной медицины
Email: bychkov@mail.ru
ORCID iD: 0000-0002-8911-6805
SPIN-код: 9408-0799
канд. мед. наук
Россия, Санкт-Петербург, 197022, ул. Академика Павлова, 12Петр Дмитриевич Шабанов
Институт экспериментальной медицины
Email: pdshabanov@mail.ru
ORCID iD: 0000-0003-1464-1127
SPIN-код: 8974-7477
д-р мед. наук, профессор
Россия, Санкт-Петербург, 197022, ул. Академика Павлова, 12Список литературы
- Нужнова А.А., Костина М.И., Блаженко А.А. Динамика кортизола у рыб Danio rerio под воздействием синтетического аналога кисспептина 1 // Биомедицинская химия. 2024. Т. 70, № 3. С. 176–179. EDN: DLZZNG doi: 10.18097/PBMC20247003176
- Ogawa S., Nathan F.M., Parhar I.S. Habenular kisspeptin modulates fear in the zebrafish // Proc Natl Acad Sci U S A. 2014. Vol. 111, N 10. P. 3841–3846. doi: 10.1073/pnas.1314184111
- Kitahashi T., Ogawa S., Parhar I.S. Cloning and expression of kiss2 in the zebrafish and medaka // Endocrinology. 2009. Vol. 150, N 2. P. 821–831. doi: 10.1210/en.2008-0940
- Chee S.S., Espinoza W.A., Iwaniuk A.N., et al. Social status, breeding state, and GnRH soma size in convict cichlids (Cryptoheros nigrofasciatus) // Behav Brain Res. 2013. Vol. 237. P. 318–324. doi: 10.1016/j.bbr.2012.09.023
- Daviu N., Bruchas M.R., Moghaddam B., et al. Neurobiological links between stress and anxiety. Neurobiol Stress. 2019. Vol. 11. P. 100191. doi: 10.1016/j.ynstr.2019.100191
- Khokhlov P.P., Bayramov A.A., Blazhenko A.A., et al. Peptide signalling systems of bony fish as a new molecular model for experimental neuropharmacology // Bulletin of Smolensk State Medical Academy. 2023. Vol. 22, N 1. P. 42–52. EDN: DGHYWC doi: 10.37903/ vsgma.2023.1.6
- Shabanov P.D., Blazhenko A.A., Devyashin A.S., et al. In search of new brain biomarkers of stress // Research Results in Pharmacology. 2021. Vol. 7, N 1. P. 41–46. EDN: IZPGYW doi: 10.3897/rrpharmacology.7.63326
- Патент РФ на изобретение № 2766689 / 30.12.2020. Блаженко А.А., Хохлов П.П., Лебедев А.А., Шабанов П.Д. Применение лидокаина для анестезии модельного организма Danio rerio в экспериментальных условиях. Режим доступа: https://elibrary.ru/item.asp?id=48140886 Дата обращения: 15.11.2024. EDN: WEGTHB
- Хохлов П.П., Блаженко А.А., Комлев А.С. и др., Синтетические аналоги пептидов кисспептинов обладают фармакологическими свойствами природных пептидов // Экспериментальная и клиническая фармакология. 2023. Т. 86, № 11S. C. 153a. EDN: MOWCYR doi: 10.30906/ekf-2023-86s-153a
- Vandesompele J., De Preter K., Pattyn F., et al. Accurate normalization of real-time quantitative RT-PCR data by geometric averaging of multiple internal control genes // Genome Biol. 2002;3(7):RESEARCH0034. doi: 10.1186/gb-2002-3-7-research0034
- Clarkson J, d’Anglemont de Tassigny X, Moreno AS, et al. Kisspeptin-GPR54 signaling is essential for preovulatory gonadotropin-releasing hormone neuron activation and the luteinizing hormone surge // J Neurosci. 2008. Vol. 28, N 35. P. 8691–8697. doi: 10.1523/JNEUROSCI.1775-08.2008
- Тиссен И.Ю., Лебедев А.А., Цикунов С.Г., Шабанов П.Д. Кисспептин уменьшает проявления половой дисфункции у крыс в модели посттравматического стрессового расстройства // Психофармакология и биологическая наркология. 2023. Т. 14, № 4. C. 237–244. EDN: WVXICW doi: 10.17816/phbn623033
- Lund J., Chen F., Hua A., et al. Comparative sequence analysis of 634 kb of the mouse chromosome 16 region of conserved synteny with the human velocardiofacial syndrome region on chromosome 22q11.2 // Genomics. 2000. Vol. 63, N 3. P. 374–383. doi: 10.1006/geno.1999.6044
- Stephen S.L., Freestone K., Dunn S., et al. Scavenger receptors and their potential as therapeutic targets in the treatment of cardiovascular disease // Int J Hypertens. 2010. Vol. 2010. P. 646929. doi: 10.4061/2010/646929
- Зарубина И.В., Ганапольский В.П., Александров П.В., Шабанов П.Д. Исследование метеоадаптогенных свойств трекрезана у здоровых добровольцев в условиях холодового воздействия // Психофармакология и биологическая наркология. 2007. Т. 7, № 1. С. 1459–1463. EDN: HZUPKR
- Mineo C. Lipoprotein receptor signalling in atherosclerosis // Cardiovasc Res. 2020. Vol. 116, N 7. P. 1254–1274. doi: 10.1093/cvr/cvz338
Дополнительные файлы




