Non-equilibrium cooling and heating of an MBBA liquid crystal at the first-order phase transition in a long cell
- Authors: Kazakevich V.S.1, Klyukach I.L.1, Mordovin G.A.1
-
Affiliations:
- Samara branch of P.N. Lebedev Physical Institute of the Russian Academy of Sciences
- Issue: Vol 25, No 1 (2022)
- Pages: 65-70
- Section: Articles
- URL: https://journal-vniispk.ru/1810-3189/article/view/143673
- DOI: https://doi.org/10.18469/1810-3189.2022.25.1.65-70
- ID: 143673
Cite item
Full Text
Abstract
The first-order phase transition of an MBBA nematic liquid crystal with benzene impurity has been studied by the critical opalescence method at a large cell thickness. Opalescence has been observed at two critical transition points. The spatial transverse parameters of the domains are determined from the Fraunhofer diffraction. The hypothesis about the longitudinal correlation parameter of domains is equal to the cell length has been proposed.
Full Text
Введение
В своей лекции лауреат Нобелевской премии В.Л. Гинзбург писал, что исследование фазовых переходов первого рода является актуальной задачей на начало 21 века [1]. В конце 20 века в фазовых переходах второго рода были обнаружены по две критические точки. Две критические точки наблюдались А.А. Собяниным в кристалле сегнетовой соли [2; 3]. Уникальной особенностью этого сегнетоэлектрика является наличие двух точек Кюри. Это возможно для кристалла лежащего свободно (не зажатого). Других таких материалов в природе не существует. Две критические точки наблюдались также в работах [4–7] при фазовом переходе второго рода в жидком кристалле (ЖК) из нематической фазы в смектическую -фазу при добавлении примеси (6OSB или 8OSB). В работах [4–7] пространственные параметры корреляции были измерены с помощью рентгеновского рассеяния и корреляционные параметры были равны 200 ангстрем. Двойные критические точки обнаружены И.Л. Фабелинским [8] при фазовом переходе второго рода в бинарных растворах, содержащих гваякол и глицерин с добавлением воды. В [8] представлены измерения температурных зависимостей пространственных параметров флуктуации концентрации методом рассеяния Рэлея. Параметры корреляции не превышали 3 мкм. В перечисленных работах критические точки находились в крайних точках фазовых переходов второго рода. В работах [2–8] использовалась приближенная феноменологическая теория Ландау – де Жена [9; 10], в которой все параметры корреляции близки друг другу.
В тонких слоях нематических ЖК обнаружены домены при акустическом сдвиге и при действии электрического поля [11].
Жидкие кристаллы обладают высокой нелинейностью [12–16]. Нелинейность жидких кристаллов равна 1 см2/Вт. Однако в опытах по нелинейной оптике толщина кювет с ЖК не превышала 340 мкм из-за непрозрачности мезофазы [13; 14]. Представляет интерес изучение нелинейных свойств ЖК в длинных кюветах для увеличения нелинейной длины взаимодействия.
Методом критической опалесценции был исследован неравновесный фазовый переход первого рода в нематическом ЖК МББА с примесью в длинной кювете. В ЖК МББА с примесью были найдены две особые и критические температурные точки внутри фазового перехода.
Объектом исследования был нематический жидкий кристалл МББА (n - (4-метоксибензилиден)- 4-бутиланилин). Химическая формула C18H21NO. Молекула МББА представляет собой «стержень» длиной 40 ангстрем с поперечным сечением порядка 5 ангстрем. Кислород слева порождает дипольный момент.
Две молекулы МББА с дипольным моментом создают неполярные структуры с нулевым дипольным моментом. Нематический ЖК МББА представляет собой поликристалл с хаотической ориентацией нитей [17; 18].
Схема эксперимента
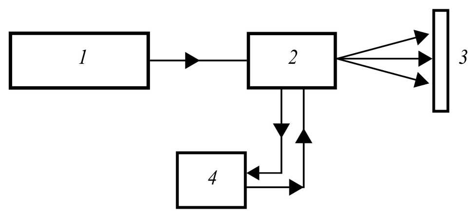
В установке кювета с ЖК длиной 15 мм и диметром 20 мм помещается в трехуровневый термостат. Имеется электронный блок управления температурой внутри термостата. Блок управляет температурой в интервале от 303 K до 311 K, используя положительную обратную связь. Электронный блок задает и контролирует температуру в термостате с точностью 10–3 градусов. Рост температуры от времени при нагреве напоминал график заряда конденсатора. Ручное управление позволяет быстро попадать в заданный интервал температур, а затем медленно двигаться в этом интервале под управлением электронного блока (рис. 1).
Диагностика ЖК МББА осуществлялась по рассеянию на экране. Использовалось излучение одномодового лазера LCM-DJL-319-OJ, длина волны 0,53 мкм, длина импульса 6 нс, диаметр пучка 1,1 мм, расходимость радиан, поляризация линейная (горизонтальная).
Рис. 1. Схема эксперимента по рассеянию в ЖК МББА: 1 – лазер; 2 – термостат; 3 – экран; 4 – электронный блок
Fig. 1. Scheme of the experiment on scattering in LC MBBA: 1 – laser; 2 – thermostat; 3 – screen; 4 – electronic unit
В управлении был использован принцип положительной обратной связи. В эксперименте использовался так же и непрерывный лазер на смеси He и Ne, мощностью 1 мВт, работающий в режиме многих поперечных мод. Рассеиваемое ЖК излучение наблюдалось на экране, расположенном на расстоянии 1 метр от кюветы.
Равновесные процессы состоят из следующих друг за другом состояний равновесия. Параметрами состояния нашей системы являются (давление, температура и концентрация примеси). При охлаждении и нагревании меняется только один параметр – температура. Скорость изменения температуры во времени определяет степень неравновесности. При неравновесном охлаждении скорость приблизительно равна один градус в секунду и зависит от температуры в лаборатории. Максимальная скорость при нагревании один градус в секунду. Такую скорость нагрева удается достичь при использовании ручного управления. Однако использование при охлаждении и нагреве положительной обратной связи позволяет достичь скорости ноль градусов в секунду.
Особые точки фазового перехода
ЖК МББА в нашем эксперименте содержал примесь бензола с концентрацией 2 %. Характерная фазовая диаграмма для равновесного и квазиравновесного перехода смеси (МББА-бензол) представлена в [19].
При квазиравновесном изменении температуры ЖК попадает в узкую область с двумя фазами. Изотропная фаза и мезофаза при равновесном переходе разделяются пространственно. Процесс перехода идет с сохранением концентрации примеси 2 %.
При неравновесном нагреве до температуры T* = 308,11 K ± 0,01 K ЖК МББА будет прозрачен. При неравновесном охлаждении до температуры T** = 303,46 K ± 0,01 K весь ЖК МББА переходит в состояние мезофазы. Ширина фазового перехода равна T* – T** = ΔT = 4,65 K ± 0,01 K. Неравновесное охлаждение и нагревание позволяло наблюдать критическую опалесценцию при температурах Tкр.охл = 304,04 K ± 0,01 K и Tкр.наг = 305,38 K ± 0,01 K. Расстояние между этими точками Tнер. = (Tкр.наг – Tкр.охл) = 1,34 K ± 0,01 K. Критическая опалесценция в начале наблюдается в критической точке охлаждения с температурой Tкр.охл, а затем при нагревании критическая опалесценция наблюдается в точке Tкр.наг. Порядок следования точек изменить нельзя.
Рассеянное доменами излучение состоит из отдельных ярких пятен, известных под названием спеклы (рис. 2, a и б). Спеклы движутся. Вблизи критических точек дрейф спеклов прекращается.
Рис. 2. Неравновесное охлаждение ЖК задолго до критической опалесценции (a). Неравновесное охлаждение вблизи точки T > Tкр.охл (б)
Fig. 2. Nonequilibrium cooling of LC long before critical opalescence (a). Non-equilibrium cooling near the point T > Tcr.cool (b)
При охлаждении вблизи критической точки на экране наблюдается регулярная кольцевая структура, характерная для дифракции Фраунгофера на круглом отверстии (рис. 2, б).
Радиус первого темного кольца при дифракции равен 3,5 см ± 0,1 см. Осевая симметрия говорит о равенстве двух поперечных пространственных параметров корреляции. Формула Фраунгофера для первого темного кольца дает нам поперечные параметры доменов при различных температурах T > Tкр.охл
(1)
где – длина волны излучения, – угол дифракции.
Поперечный пространственный параметр корреляции равен 9,2 мкм ± 0,3 мкм при температуре 304,15 K. Этот параметр поперечной корреляции проявляет себя на рис. 2, б. При достижении температуры Tкр.охл = 304,04 K ± 0,01 K ЖК становится непрозрачным.
При неравновесном нагреве и достижении температуры Tкр.наг = 305,38 K ± 0,01 K наблюдается вторая критическая точка опалесценции. Смесь двух фаз становится прозрачной при выходе из критической точки нагревания.
Неоднородность смеси фаз выше критических точек обусловлена наличием в смеси доменов. Домены здесь имеют меньшую плотность, из-за наличия примеси бензола меньше 2 %. Смесь фаз, окружающая домены, более плотная и содержит процент бензола больше 2 %.
При неравновесном фазовом переходе мы имеем однородную и неоднородную смеси фаз. Однородная смесь двух фаз имеет место при охлаждении и нагревании ниже критических точек. Неоднородная смесь фаз имеет место от точки входа в фазовый переход до критических точек.
Точность измерений температуры гарантирована следующими обстоятельствами: а) измерения каждой температуры выполнено не менее 7 раз; б) когерентное излучение лазера порождает на экране спеклы. Вблизи критических точек движение спеклов скачком замедляется, что связано с достижением наибольшего числа доменов. При приближении к Tкр.охл интенсивность мало углового рассеяния растет согласно феноменологической теории Ландау-де-Жена [9; 10].
Обсуждение результата охлаждения и нагревания
Коэффициенты поверхностного натяжения стекол (0,29–0,35 Дж/м2), а ЖК МББА (0,04 Дж/м2). Боковые стенки кюветы неполированные. Поэтому все домены перпендикулярны окнам кюветы так, как здесь пространственный параметр корреляции в МББА имеет наибольшие значения, а группа симметрии неравновесной смеси доменов соответствует симметрии цилиндра. К нашей работе теория Ландау-де Жена оказалась неприменимой [9; 10], так как длина доменов была много больше поперечных параметров корреляции. Их длина определяет продольный параметр корреляции.
В координатах (y = I/I0, x = kT, где k –постоянная Больцмана) по оси абсцисс отложена энергия, а по оси ординат нормированная интенсивность лазерного излучения. Интенсивность I0 измеряется на входе в кювету при температуре 306 K. Интенсивность I измеряется на выходе из кюветы при изменении температуры согласно графику. Два наложенных графика похожи на петлю гистерезиса. Обход по этой петле подобен обходу по петле гистерезиса при намагничивании ферромагнетика (рис. 3). Площадь петли измеряется энергией ΔЕ = kΔT = Дж. Эта энергия много меньше энергии теплового движения одной молекулы E = kT. В критических точках коэффициенты поверхностного натяжения фаз, составляющих смесь, всегда равны друг другу. В нижней критической точке коэффициент поверхностного натяжения меньше, чем в верхней критической точке. Использованы нейтральные светофильтры серии НС.
Рис. 3. Графики охлаждения (а) и нагревания (б) выделяют некоторую область, напоминающую петлю гистерезиса
Fig. 3. Graphs of cooling (a) and heating (b) highlight a certain area resembling a hysteresis loop
Упорядоченную структуру одного домена можно назвать жидким монокристаллом. В кювете, имеющей пучок из большого количества доменов, мы имеем дело с жидким упорядоченным поликристаллом. ЖК МББА в мезофазе является неупорядоченным поликристаллом [20]. Длина жидкого упорядоченного поликристалла равна длине кюветы 15 мм, из-за большой разницы коэффициентов поверхностного натяжения стекла и ЖК.
Заключение
Методом критической опалесценции изучены особенности фазового перехода первого рода в ЖК МББА с примесью. В эксперименте использовалась кювета длиной 15 мм, что превышает размеры кювет в работах других авторов. В ЖК МББА открыты две критические точки, обладающие рядом уникальных особенностей. Критическая точка охлаждения всегда наблюдается первой при опалесценции. Критическая точка нагревания всегда наблюдается после критической точки охлаждения. Длина кюветы, по нашей оценке, не должна превышать 15–30 мм. Обе критические точки (охлаждения и нагревания) находятся внутри фазового перехода первого рода, что не соответствует расположению критических точек при фазовых переходах второго рода [2–8].
About the authors
Vladimir S. Kazakevich
Samara branch of P.N. Lebedev Physical Institute of the Russian Academy of Sciences
Email: i.klykach@yandex.ru
Candidate of Physical and Mathematical Sciences, head
Russian Federation, SamaraIgor L. Klyukach
Samara branch of P.N. Lebedev Physical Institute of the Russian Academy of Sciences
Email: i.klykach@yandex.ru
Candidate of Physical and Mathematical Sciences
Russian Federation, SamaraGennady A. Mordovin
Samara branch of P.N. Lebedev Physical Institute of the Russian Academy of Sciences
Author for correspondence.
Email: mordovin.ga@yandex.ru
lead engineer
Russian Federation, SamaraReferences
- Ginzburg V.L. About superconductivity and superfluidity (what I managed to do and what I failed), as well as about the «physical minimum» at the beginning of the 21st century. UFN, 2004, vol. 174, no. 11, pp. 1240–1255. DOI: https://doi.org/10.3367/UFNr.0174.200411g.1240 (In Russ.)
- Sobjanin A.A. General properties of systems with a «double» critical point. UFN, 1986, vol. 149, no. 2, pp. 325–328. DOI: https://doi.org/10.3367/UFNr.0149.198606e.0325 (In Russ.)
- Volkov A.A. et al. New on the dynamics of Rochelle salt crystals (systems with a «double» critical point). UFN, 1986, vol. 149, no. 2, pp. 331–334. DOI: https://doi.org/10.3367/UFNr.0149.198606g.0331 (In Russ.)
- Guillon D., Cladis P.E., Stamatoff J. X-ray study and microscopic study of the reentrant nematic phase. Phys. Rev. Lett., 1978, vol. 41, no. 23, pp. 1598–1601. DOI: https://doi.org/10.1103/PhysRevLett.41.1598
- Hardouin F. et al. Polymorphisme des substances mésogènes a molécules polaires. I. Physico-chimie et structure. J. Chim. Phys., 1983, vol. 80, pp. 53–64. DOI: https://doi.org/10.1051/jcp/1983800053
- Kortan A.R. et al. Nematic-smectic A-reentrant nematic transitions in 80CB: 60CB mixtures. Journal de Physique, 1984, vol. 45, no. 3, pp. 529–538. DOI: https://doi.org/10.1051/jphys:01984004503052900
- Kortan A.R. et al. High-resolution x-ray-scattering study of the nematic-smectic A-reentrant nematic transitions in 8OCB/6OCB mixtures. Phys. Rev. Lett., 1981, vol. 47, no. 17, pp. 1206–1209. DOI: https://doi.org/10.1103/PhysRevLett.47.1206
- Fabelinskij I.L., Krivohizha S.V., Chajkov L.L. Experimental study of solutions with a «double» critical point. UFN, 1986, vol. 149, no. 2, pp. 328–331. DOI: https://doi.org/10.3367/UFNr.0149.198606f.0328 (In Russ.)
- Zubkov L.A., Romanov V.P. Critical opalescence. UFN, 1988, vol. 154, no. 4, pp. 615–659. DOI: https://doi.org/10.3367/UFNr.0154.198804c.0615 (In Russ.)
- De Zhen P. Physics of Liquid Crystals. Moscow: Mir, 1977, 400 p. (In Russ.)
- Denisova O.A. Structural transitions in liquid crystals induced by acoustic and electric fields. Dis. ... dokt. fiz.-mat. nauk. Cheljabinsk, 2014. 294 p. (In Russ.)
- Ahmanov S.A., Nikitin S.Yu. Physical Optics. Moscow: MGU, 2004, 656 p. (In Russ.)
- Durbin S.D., Arakelian S.M., Shen Y.R. Laser-induced diffraction rings from a nematic-liquid-crystal film. Optics Letters, 1981, vol. 6, no. 9, pp. 411–413. DOI: https://doi.org/10.1364/ol.6.000411
- Zel’dovich B.Ya., Tabirjan N.V. Orientational optical nonlinearity of liquid crystals. UFN, 1985, vol. 147, no. 4, pp. 633–674. DOI: https://doi.org/10.3367/UFNr.0147.198512a.0633 (In Russ.)
- Zolot’ko A.S. et al. Bistability of the director field of a nematic liquid crystal in low-frequency electric and spatially limited light fields. Kratkie soobschenija po fizike FIAN, 2004, no. 3, pp. 7–15. (In Russ.)
- Budagovskij I.A. et al. Nonlinear optical properties of liquid crystals doped with a comb-shaped polymer with azobenzene mesogenic groups. Zhidkie kristally i ih prakticheskoe ispol’zovanie, 2006, no. 4 (18), pp. 22–39. URL: https://istina.msu.ru/publications/article/27991405/ (In Russ.)
- Blinov L.M. Electro- and Magneto-Optics of Liquid Crystals. Moscow: Nauka, 1978, 384 p. (In Russ.)
- Blinov L.M. Liquid Crystals: Structure and Properties. Moscow: Knizhnyj dom «Librokom», 2013, 480 p. (In Russ.)
- Liquid Crystals. Ed. by S.I. Zhdanov. Moscow: Himija, 1979, 328 p. (In Russ.)
- Landau L.D., Ahiezer A.I., Lifshits E.M. Course of General Physics. Mechanics and Molecular Physics. Moscow: Nauka, 1969, 399 p. (In Russ.)
Supplementary files




