Application of the thin-wire integral representation of the electromagnetic field to solving the problem of diffraction of electromagnetic waves on conducting bodies
- Авторлар: Tabakov D.P.1, Morozov S.V.1, Klyuev D.S.1
-
Мекемелер:
- Povolzhskiy State University of Telecommunications and Informatics
- Шығарылым: Том 25, № 2 (2022)
- Беттер: 7-14
- Бөлім: Articles
- URL: https://journal-vniispk.ru/1810-3189/article/view/143676
- DOI: https://doi.org/10.18469/1810-3189.2022.25.2.7-14
- ID: 143676
Дәйексөз келтіру
Аннотация
The article is devoted to numerical methods for solving the problem of diffraction of electromagnetic waves by conducting bodies. Two approaches to solving the problem are considered. The first one is based on the use of the thin-wire integral representation of the electromagnetic field (TP-method) for a grid model of the body surface. The second approach is associated with the use of the basis functions of Rao–Wilton–Glisson when solving a vector integral equation formulated with respect to the electric current density on the body surface (RWG-method). The diffraction of a plane linearly polarized electromagnetic wave by a sphere is considered as a test problem. The results of calculations of the normalized diagrams of the scattered field are presented. It is shown that there are practically no visual differences for the results obtained using both approaches. At the same time, it should be noted that the TP method is much simpler in numerical implementation than the RWG method.
Толық мәтін
Introduction
The term “diffraction” literally means “deflection.” In electrodynamics, in the broad sense of the word, diffraction is usually understood as all phenomena associated with the propagation of electromagnetic fields created by coherent sources in the presence of obstacles of various electrical sizes [1]. Because of the phenomenon of diffraction, electromagnetic waves can enter the region of a geometric shadow, envelop obstacles, travel along a surface, and penetrate small holes in a screen.
Interest in such problems arose a long time ago. The traditional theory of diffraction was developed over several centuries by H. Huygens, O. Fresnel, G. Helmholtz, and G.R. Kirchhoff and other authors. To understand wave processes and calculate diffraction fields, Huygens’ principle is crucial, according to which the propagation of waves is caused by the action of secondary sources. Fresnel refined Huygens’ principle by considering the interference of spherical waves emitted by secondary sources. Further refinement of the Huygens–Fresnel principle belongs to Kirchhoff, who gave a strict formulation based on the Helmholtz equation. When the body on which the electromagnetic wave is incident has infinitely high conductivity, a rigorous solution to the diffraction problem consists of reducing it to a vector integral equation (IE) on the body surface. This approach is often called the surface current method. It has two stages. Stage 1 involves calculating the distribution of surface currents (an interior problem of electrodynamics), and stage 2 involves calculating the scattering field created by surface currents. Solving the interior task is a rather serious problem, in the most thorough case requiring research into the IE solvability, the correct choice of spaces for solutions, etc. [2].
In modern conditions, computer-aided design systems such as CST STUDIO, HFSS, and FEKO are used to solve diffraction problems. They apply different methods, including the method of moments [3]. Using this method, the original vector IE is reduced to a SLAE (system of linear algebraic equations) with respect to the unknown coefficients of the expansion of the current function in a series according to a preselected system of basis functions. In the most popular option today, the surface of the body undergoes a triangulation procedure, enabling the use of Rao–Wilton–Glisson functions as basis functions [4]. Determining the coefficients of the SLAE matrix in this case generally involves calculating the integrals of the fourth degree of multiplicity in the local coordinates of the triangles, which is a computationally rather complex task. The diagonal elements of the SLAE matrix are specially calculated.
The solution to a diffraction problem can be considerably simplified using a thin-wire integral representation of the electromagnetic field (EMF IR) [5]. In this case, the previously performed triangulation should be used, replacing the faces of the triangles with thin conductors of a small electrical radius. For the small electrical dimensions of the triangles, the grid of conductors will be equivalent to a solid metal surface, because of which we can expect a good approximation of the solution to the original diffraction problem. The interior problem in this case, using the collocation method, is also reduced to a SLAE, whose matrix elements are determined by calculating rather simple one-dimensional integrals. Notably, grid structures represent a separate class of electrodynamic structures, and solving their diffraction and radiation problems is of crucial theoretical and applied importance. Earlier in [6; 7], it was shown that with the use of a thin-wire EMF IR it is possible to solve successfully diffraction problems on some classes of metastructures [8; 9].
In this article, the problem of the diffraction of a plane electromagnetic wave on a sphere is considered a test problem. A comparison was made between the results obtained using the RWG basis and those obtained using a thin-wire EMF IR. The influence of grid size on the scattering characteristics of the structure is also considered.
1. Basic calculation equations
In the most general form, the EMF at the observation point r created by a perfectly conducting body V bounded by a surface S (Fig. 1) and located in a homogeneous isotropic medium can be described by an integral representation of the following form [1]:
(1)
Fig. 1. General statement of the problem
Рис. 1. Общая постановка задачи
Here, and are the wave resistance and wave number of the medium, respectively; is the surface density of the electric current at ; is the source point; is the nabla applied to the observation point, and
(2)
is Green’s function for free space. Solving the interior problem involves determining the function J for a given distribution of the external sources of electric field on S. In the general case, the interior problem can be described using the boundary condition for a perfectly conducting surface S:
(3)
where t is the vector tangent to S at point
The interior problem can be solved analytically only in some of the simplest cases; therefore, in practice, the method of moments is used [3], within which the unknown current function is represented as a finite series:
(4)
Here, are the known vector basis functions, and an is the unknown coefficient to be determined in the process of solving the interior problem.
After substituting Eq. (4) into Eq. (1), scalar multiplication of both parts of transferring the operation of field divergence from the observation point to the source point, and integration over the source points, we obtain the formulation of the interior problem as a SLAE for an:
(5)
Here,
(6)
are the matrix coefficients and coefficients of the right side of the SLAE, respectively; the operator is applied to the source point. As a rule, in modern computer-aided engineering (CAD) systems, the surface S is first triangulated, and then the Rao–Wilton–Glisson (RWG) functions are used as basis functions, the carrier of which is a pair of triangular elements having a common face. Note that determining the elements in this case is a rather complex computational procedure.
An alternative approach to solving the problem of diffraction on a conducting body V can be implemented using thin-wire EMF IR. For this purpose, the previously obtained triangulation of the original surface S, which forms of the faces, must be used. Each face can be replaced with a thin conductor of radius having a length corresponding to its designation . Under the influence of an external field, a distribution of the total current will arise on each conductor. An EMF created by such a structure can be expressed as [5]:
(7)
where is the distribution of the total current along the generatrix ,
(8)
are EMF IR kernels; is the vector equation of the generatrix , is the unit tangent vector defined at point on the generatrix , and
is the derivative of Green’s function with respect to
which is the distance regularized by the radius of the conductors m.
Let us present each conductor as a collection of D + 1 nodes:
The equation for the segment connecting neighboring nodes with numbers m and m + 1 can be presented in the following form:
Here, is the center of the segment; is the segment length; and is the unit tangent vector on the segment. The current distribution on each segment at can be considered uniform, . After segmenting all , we can enter an end-to-end index k for the segments and rewrite Eq. (7) in the following form:
(9)
Applying a boundary condition in the form of Eq. (3) at the center of each segment, we obtain a SLAE for calculating the unknown current amplitudes :
(10)
where
(11)
A correct and stable solution of the SLAE within the framework of the collocation method is achieved when the following conditions are met:
(12)
for any segment [10]. Without a doubt, the solution of Eq. (11) is much simpler numerically than the solution of Eq. (6). The results obtained using the two described methods are interesting to compare.
2. Re-emitting structures under study
We consider three spherical objects (Fig. 2) centered at the origin O of the Cartesian coordinate system as test structures. These objects are formed by thin metal conductors Lj of radius . The radius of the sphere described around the objects under consideration is denoted as r. The structures will be excited by a plane electromagnetic wave (PEW) propagating along the Ox axis and polarized toward the Oz axis, having unit amplitude and zero initial phase. The set of conductors Lj forms a grid surface with triangular cells that slightly differ from an equilateral triangle, the length of which is denoted as d. It is assumed that each conductor can be represented as D segments s of equal length , and the distribution of the total current on each of them can be considered uniform ( where l is the longitudinal coordinate on s). Thus, from the set of conductors, we proceed to a set of segments in which an EMF is described by Eq. (9), and the solution to the interior problem is described by Eq. (11).
Fig. 2. Geometry of the studied reradiating structures
Рис. 2. Геометрия исследуемых переизлучающих структур
When , the grid under consideration becomes similar to a solid metal surface formed by triangular elements Tk on which density distributions of equivalent surface electric currents can be introduced ; In this case, the RWG basis can be used to represent surface currents, the EMF of the structure is determined by Eq. (1), and the solution to the interior problem is determined by Eq. (6).
Notably, the work of J. Mee [11] presents a rigorous solution to the problem of PEW diffraction on a homogeneous sphere of arbitrary diameter and composition located in a homogeneous medium.
3. Results of the numerical simulation
For convenience, the parameters of numerical modeling may be presented as a table (see Table).
Table. Numerical simulation parameters
Таблица. Параметры численного моделирования
Structure No. | D | |||
1 | 1 | 0,075 | 0,01 | 7680 |
2 | 4 | 0,075 | 0,01 | 1920 |
3 | 8 | 0,073 | 0,01 | 960 |
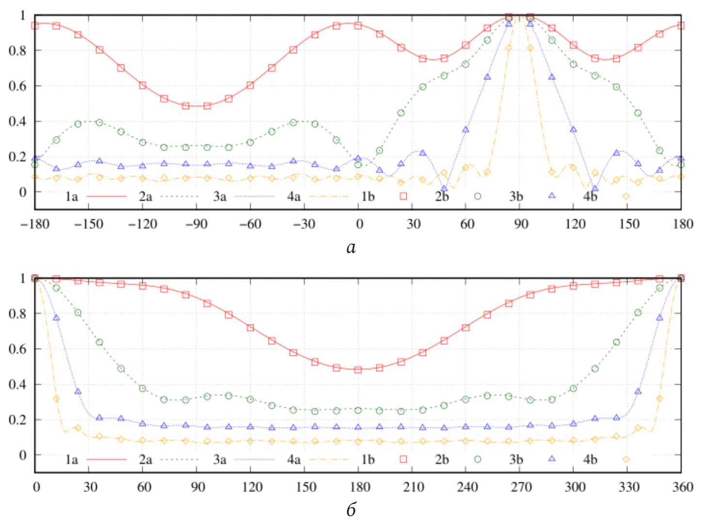
Figure 3 shows a comparison of the results of calculating normalized scattering patterns in the meridian and azimuthal planes for structure 1 at different ratios of . Type a and b graphs were obtained on the basis of a thin-wire EMF IR (TP method) and a solution using equivalent currents presented in the RWG basis (RWG method), respectively. According to the figures presented, the results obtained have practically no visual differences. Minor differences can be noticed only at the maximum ratio for the values and corresponding to the side lobes of the radiation.
Fig. 3. Comparison of normalized DR in the meridian and azimuth planes: a – TP method; b – FEM; RWG method; 1 – ; 2 – ; 3 – ; 4 – .
Рис. 3. Сравнение нормированных ДР в меридианной и азимутальной плоскостях: а – ТП-метод; б – МКЭ; RWG-метод; 1 – ; 2 – ; 3 – ; 4 – .
Figure 4 presents a comparison of the results of calculating normalized scattering diagrams in the meridian and azimuthal planes for structures 1–3 obtained at different ratios of The presented results enable us to evaluate the influence of cell size on the radiation characteristics of the structure. The figure reveals that the greatest differences are noted in the meridian plane in directions other than the direction of the main lobe. Moreover, as the cell size increases, the number of lateral radiation lobes increases, and as the frequency increases, their distribution becomes asymmetrical, which is associated with errors in the geometry of the structures under consideration.
Fig. 4. Normalized meridian (left) and azimuthal (right) RPs for structures 1–3 (curve number corresponds to structure number): a – ; b – ; c – .
Рис. 4. Нормированные меридианные (слева) и азимутальные (справа) ДН для структур 1–3 (номер кривой соответствует номеру структуры): а – б – ; в – .
Conclusion
This article compares two approaches to solving the problem of diffraction on conducting bodies. Approach 1 involves replacing the surface of the body with a set of conductors forming a triangular grid, the cell size of which is much smaller than the length of the incident wave. In this case, the grid becomes equivalent to a continuous metal surface. The solution to the interior problem is reduced to determining the amplitudes of the total currents on short segments forming conductors (TP method).
In approach 2, the surface is replaced by a set of triangular elements that are carriers of the surface density of the electric current. The solution to the interior problem is reduced to calculating the current distributions on triangular elements using basic RWG functions (RWG method). This approach is widely used as the basis of modern CAD systems.
The results of calculations of scattering fields on structure 1 confirmed the adequacy of the TP method for solving the diffraction problem, as there are practically no visual differences for the given scattering diagrams. Note that the numerical implementation of the TP method is much simpler in terms of solving the interior and exterior problems of electrodynamics. Determining the elements of the moment matrix in this case is reduced to calculating single integrals, whereas within the RWG method, integrals of the fourth degree of multiplicity must be calculated. The number of basis functions within both methods is comparable.
The TP method can also be used directly to calculate the grid structures. The corresponding results are presented in the article. As the size of the grid cell increases, the characteristics of the scattering field change, the main lobe is deformed, and additional lobes appear, the number of which increases with frequency.
Авторлар туралы
Dmitry Tabakov
Povolzhskiy State University of Telecommunications and Informatics
Хат алмасуға жауапты Автор.
Email: illuminator84@yandex.ru
Doctor of Physical and Mathematical Sciences, professor of the Department of Radioelectronic Systems, Povolzhskiy State University of Telecommunications and Informatics, Samara, Russia.
Research interests: electrodynamics, microwave devices and antennas, optics, numerical methods of mathematical modeling.
Ресей, 23, L. Tolstoy Street, Samara, 443010Sergey Morozov
Povolzhskiy State University of Telecommunications and Informatics
Email: grimmxxx@gmail.com
Doctor of Physical and Mathematical Sciences, professor of the Department of Radioelectronic Systems, Povolzhskiy State University of Telecommunications and Informatics, Samara, Russia.
Research interests: electrodynamics, microwave devices and antennas, optics, numerical methods of mathematical modeling.
Ресей, 23, L. Tolstoy Street, Samara, 443010Dmitriy Klyuev
Povolzhskiy State University of Telecommunications and Informatics
Email: klyuevd@yandex.ru
ORCID iD: 0000-0002-9125-7076
Doctor of Physical and Mathematical Sciences, Head of the Department of Radioelectronic Systems, Povolzhskiy State University of Telecommunications and Informatics, Samara, Russia. Author of over 200 scientific papers.
Research interests: electrodynamics, microwave devices, antennas, metamaterials.
Ресей, 23, L. Tolstoy Street, Samara, 443010Әдебиет тізімі
- Neganov V.A. et al. Electrodynamics and Propagation of Radio Waves. Ed. by V.A. Neganov, S.B. Raevsky. Moscow: Radio i svjaz’, 2005, 648 p. (In Russ.)
- Il’inskij A.S., Smirnov Yu.G. Diffraction of Electromagnetic Waves on Conducting Thin Screens (Pseudodifferential Operators in Diffraction Problems). Moscow: IPRZhR, 1996, 176 p. (In Russ.)
- Harrington R.F. Field Computation by Moment Method. New York: Macmillan, 1968, 150 p.
- Rao S., Wilton D., Glisson A. Electromagnetic scattering by surfaces of arbitrary shape. IEEE Transactions on Antennas and Propagation, 1982, vol. 30, no. 3, pp. 409–418. DOI: https://doi.org/10.1109/TAP.1982.1142818
- Kapitonov V.A. et al. Integral representation of the electromagnetic field of a geometrically chiral structure. Physics of Wave Processes and Radio Systems, 2012, vol. 15, no. 4, pp. 6–13. (In Russ.)
- Neganov V.A., Marsakov I.Yu., Tabakov D.P. Calculation of the interaction of metastructure elements based on the Gauss-Seidel method. Physics of Wave Processes and Radio Systems, 2013, vol. 16, no. 3, pp. 7–16. URL: https://journals.ssau.ru/pwp/article/view/7346 (In Russ.)
- Tabakov D.P. Application of iterative procedures to the electrodynamic analysis of metamaterials. Radiotehnika, 2015, no. 7, pp. 86–94. (In Russ.)
- Veselago V.G. Electrodynamics of substances with both negative values and Uspehi fizicheskih nauk, 1967, vol. 92, no. 3, pp. 517–526. DOI: https://doi.org/10.3367/UFNr.0092.196707d.0517 (In Russ.)
- Ivchenko E.L., Poddubnyj A.N. Resonant 3D photonic crystals. Fizika tverdogo tela, 2006, vol. 48, no. 3, pp. 540–547. URL: https://journals.ioffe.ru/articles/3354 (In Russ.)
- Strizhkov V.A. Mathematical modeling of electrodynamic processes in complex antenna systems. Matematicheskoe modelirovanie, 1989, vol. 1, no. 8, pp. 127–138. URL: http://mi.mathnet.ru/mm2614 (In Russ.)
- Mie G. Beiträge zur Optik trüber Medien, speziell kolloidaler Metallösungen. Annalen der Physik, 1908, vol. 330, no. 3, pp. 377–445. DOI: https://doi.org/10.1002/andp.19083300302
Қосымша файлдар






