Способы частотно-поляризационного разделения сигналов в зеркальных антеннах систем спутниковой связи
- Авторы: Габриэльян Д.Д.1, Демченко В.И.1, Коровкин А.Е.1, Бойчук С.И.1
-
Учреждения:
- ФНПЦ «ФГУП “РНИИРС”»
- Выпуск: Том 25, № 2 (2022)
- Страницы: 83-90
- Раздел: Статьи
- URL: https://journal-vniispk.ru/1810-3189/article/view/143685
- DOI: https://doi.org/10.18469/1810-3189.2022.25.2.83-90
- ID: 143685
Цитировать
Полный текст
Аннотация
Сформулированы и проанализированы показатели эффективности антенно-волноводного тракта многодиапазонной зеркальной антенны, в виде частных коэффициентов комплексной амплитуды входного сигнала, векторов поляризационного сигнала и шумов во входном сигнале в каждом из совмещаемых диапазонов. Рассмотрены примеры реализации антенно-волноводного тракта многодиапазонных антенн на основе различных компоновок. Сделаны выводы о достоинствах и недостатках представленных способов.
Ключевые слова
Полный текст
Введение
Постоянный рост объемов передаваемой информации и расширение рынка спутниковых информационных услуг приводят к необходимости освоения новых диапазонов частот и использования поляризационного уплотнения передаваемых сигналов в системах спутниковой связи (ССС). При этом для снижения стоимости наземных приемных комплексов ССС широкое распространение находят многодиапазонные зеркальные антенны (МЗА), осуществляющие в каждом из совмещаемых диапазонов частот прием сигналов ортогональных поляризаций.
Использование таких антенн приводит к необходимости решения вопросов построения антенно-волноводных трактов (АВТ), обеспечивающих эффективное разделение принимаемых сигналов по частоте и поляризации. При этом под эффективностью разделения сигналов следует понимать отношение сигнал/(помеха + шум) на выходе соответствующего частотно-поляризационного канала МЗА при заданном распределении мощностей принимаемых сигналов и шумов по частотным диапазонам и поляризациям. Помехой в этом случае являются сигналы того же или близких диапазонов частот других поляризаций.
Различные варианты построения АВТ и входящих в их состав устройств для разделения принимаемых сигналов по частоте и поляризации рассматривались в ряде работ, например [1–4]. Однако в этих работах отсутствует системный анализ эффективности применения того или иного способа разделения сигналов, что не позволяет в полной мере использовать результаты выполненных исследований. Вследствие этого возникает необходимость системного рассмотрения способов разделения и реализации их в АВТ МЗА ССС [4–8].
Целью работы является системный анализ эффективности применения различных способов частотно-поляризационного разделения сигналов в АВТ МЗА ССС.
Решаемые задачи:
- Формулировка показателя эффективности применения АВТ в составе МЗА ССС.
- Анализ эффективности применения способа разделения принимаемых сигналов по частоте-поляризации.
- Анализ эффективности применения способа разделения принимаемых сигналов по поляризации-частоте.
1. Формулировка показателя эффективности применения АВТ в составе МЗА ССС
В многодиапазонной антенне ССС, предназначенной для совмещенного приема сигналов нескольких диапазонов частот и поляризаций, на вход АВТ поступает сигнал, представляющий собой сумму сигналов различных диапазонов частот и поляризаций
(1)
где – частотная зависимость комплексной амплитуды входного сигнала; и – соответственно, частотная зависимость комплексной амплитуды и вектор одной из возможных поляризаций m-го входного сигнала – частотная зависимость шумов во входном сигнале.
Антенно-волноводный тракт в МЗА ССС представляет собой устройство с одним входом и выходами, в каждом из которых формируется сигнал одного диапазона частот и одной поляризации …, – выделенный на выходе АВТ сигнал l-го частотного диапазона одной из четырех возможных видов поляризаций). Каждый из сигналов на выходе АВТ соответствует приему сигнала с k-м набором частотно-поляризационных характеристик и может быть представлен с использованием следующего выражения
(2)
где – обобщенный коэффициент передачи сигнала l-го диапазона частоты i-й поляризации из входного сигнала на соответствующий ему выход АВТ; – поляризационный базис канала АВТ l-го диапазона частот i-й поляризации.
Выражение (2) позволяет учитывать как согласование входов АВТ с облучателем МЗА и выходов АВТ с приемным устройством, так и совпадение поляризации принимаемого сигнала и поляризационного базиса соответствующего канала АВТ.
Сигналы всех остальных диапазонов частот и поляризаций на выходе канала, соответствующего выделению сигнала l-го частотного диапазона i-й поляризации, по аналогии с выражением (2) могут быть записаны следующим образом:
(3)
Выбор параметров АВТ выбирается таким образом, чтобы обеспечить наилучший прием сигналов всех совмещаемых диапазонов частот, что математически может быть представлено как
(4)
где
– вектор, элементами которого являются параметры АВТ.
С физической точки зрения предлагаемый показатель эффективности представляет собой изменение ОСШ на выходе МЗА, обусловленное структурой и параметрами АВТ.
Предложенный показатель эффективности может использоваться для проведения системного анализа различных способов построения АВТ, которые принципиально могут быть выделены в две группы:
- разделение по частоте – разделение по поляризации, при котором на первом этапе из принимаемого сигнала выделяются сигналы, соответствующие совмещаемым частотным диапазонам, на втором этапе проводится их поляризационное разуплотнение;
- разделение по поляризации – разделение по частоте, при котором на первом этапе выполняется поляризационное разуплотнение принимаемой совокупности сигналов совмещаемых диапазонов частот, на втором этапе – частотная селекция сигналов выделенных поляризаций.
2. Анализ эффективности применения способа разделения принимаемых сигналов по частоте-поляризации
Рассмотрим реализацию АВТ МЗА, построенного на основе принципа «разделение по частоте – разделение по поляризации». Указанный способ построения АВТ, структурная схема которого приведена на рис. 1, реализуется следующим образом:
- принимаемый сигнал с выхода облучателя попадает на вход частотного диплексера первого (низшего из совмещаемых) диапазона частот, в котором обеспечивается:
- прохождение сигнала первого диапазона частот на первый выход, к которому подключено устройство поляризационного преобразования и селекции первого диапазона;
- прохождение сигналов более высоких диапазонов частот на второй выход, к которому подключен второй диплексер;
- во втором частотном диплексере аналогичным образом на первом выходе выделяется сигнал второго частотного диапазона, а сигналы более высоких диапазонов частот со второго выхода поступают на вход третьего частотного диплексера;
- в -м частотном диплексере на первом выходе выделяется сигнал -го диапазона частот, который поступает на вход устройства поляризационного преобразования и селекции -го частотного диапазона, а на втором выходе формируется сигнал K-го частотного диапазона, который поступает на вход устройства поляризационного преобразования и селекции соответствующего диапазона частот.
Рис. 1. Блок-схема способа разуплотнения в многодиапазонном АВТ «разделение по частоте – разделение по поляризации»
Возможность частотного разноса совмещаемых диапазонов частот определяется, как следует из приведенной схемы, построением первого диплексера. Возможность максимального разноса частот в диплексере на практике не превышает 5:1 [2]. Дальнейшее расширение полосы частот приводит к возбуждению высших мод верхнего диапазона частот и, соответственно, снижению амплитуды основной моды верхнего из диапазонов.
В частном случае совмещения двух диапазонов возможен вариант первичного отбора второго частотного диапазона, а сигнал первого диапазона поступает на выход частотного диплексера.
Достоинством данного варианта построения АВТ является типовое построение устройств поляризационного преобразования и селекции в каждом из частотных диапазонов, недостатком – необходимость использования частотных диплексеров и однодиапазонных устройств поляризационного преобразования и селекции соответствующих диапазонов частот. С учетом этого возможное число совмещаемых диапазонов частот определяется параметрами частотных диплексеров. Кроме того, при отсутствии технологических погрешностей изготовления АВТ рассогласование вектора поляризации принимаемого сигнала и поляризационного базиса соответствующего канала АВТ отсутствует, т. е. В этом случае выражение, определяющее эффективность АВТ, упрощается и принимает вид
(5)
Анализ способов частотно-поляризационного разделения сигналов проведен на основе двух вариантов построения трехдиапазонного АВТ.
- Трехдиапазонный АВТ построен путем подключения к оптимальному по критерию (5) двухдиапазонному АВТ устройства поляризационного преобразования и селекции третьего частотного диапазона с сохранением параметров устройств (неоптимизированного трехдиапазонного АВТ). При этом в качестве исходного двухдиапазонного АВТ может рассматриваться как тракт с совмещением двух нижних диапазонов частот с подключением более высокочастотного тракта, так и тракт с совмещением двух верхних диапазонов частот с подключением тракта нижнего диапазона частот.
- Трехдиапазонный АВТ построен путем подключения к двухдиапазонному АВТ устройства поляризационного преобразования и селекции третьего частотного диапазона и оптимизации трехдиапазонного АВТ в целом по критерию (5).
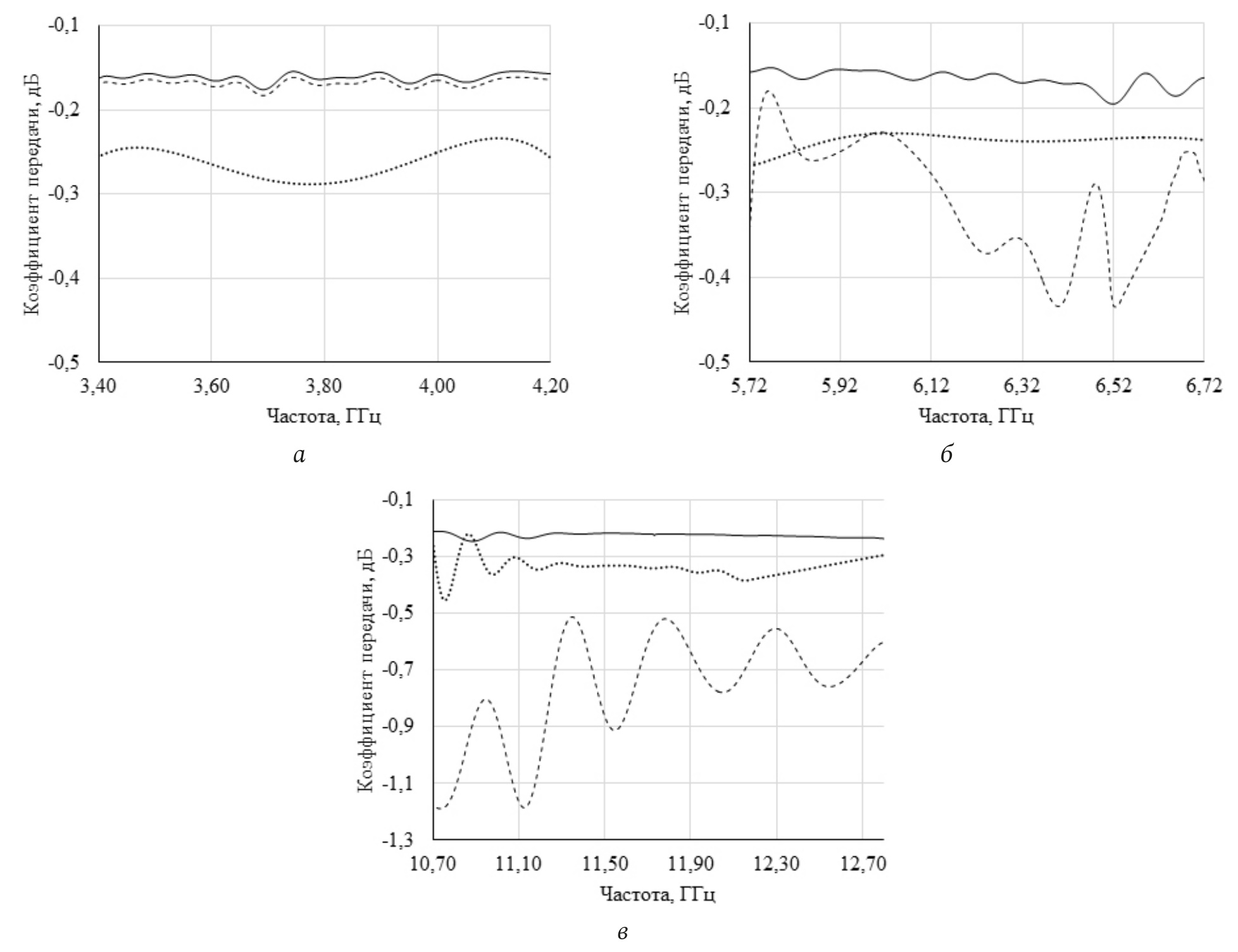
На рис. 2 приведены результаты измерений частотных зависимостей обобщенных коэффициентов передачи сигналов в трехдиапазонном АВТ для приема сигналов с центральными частотами ГГц, ГГц, ГГц и полосами частот ГГц, ГГц, ГГц соответственно. Рассмотрено построение трехдиапазонного тракта на основе оптимального АВТ с совмещением двух нижних диапазонов частот путем подключения тракта третьего диапазона.
Рис. 2. Частотные зависимости обобщенного коэффициента передачи: а – в диапазоне частот 3,4–4,2 ГГц; б – в диапазоне частот 5,8–6,6 ГГц; в – в диапазоне частот 10,7–12,7 ГГц
Сплошной линией на рис. 2 обозначены характеристики трех однодиапазонных трактов в каждом из совмещаемых диапазонов частот. Штриховой линией обозначены характеристики неоптимизированного трехдиапазонного тракта, который состоит из оптимизированного двухдиапазонного тракта 3,4–4,2/5,8–6,6 ГГц и присоединенного к нему без оптимизации входных устройств третьего тракта диапазона 10,7–12,7 ГГц. Характеристики оптимизированного трехдиапазонного тракта 3,4–4,2/5,8–6,6/10,7–12,7 ГГц представлены точечной линией.
Как следует из приведенных зависимостей, подключение без оптимизации входных устройств тракта диапазона частот к двухдиапазонному тракту практически не влияет на характеристики в нижнем диапазоне частот (рис. 2, а), но приводит к ухудшению во втором (рис. 2, б) и в наибольшей степени в третьем (рис. 2, в) из совмещаемых диапазонов частот. При оптимизации параметров трехдиапазонного АВТ в целом происходит ухудшение в нижнем диапазоне. Однако во втором и третьем диапазонах характеристики улучшаются, что обуславливает повышение эффективности АВТ в целом. Достигаемый выигрыш в эффективности применения АВТ составляет 0,4 дБ.
При построении трехдиапазонного АВТ на основе оптимального двухдиапазонного тракта, обеспечивающего совмещение диапазонов с центральными частотами и путем подключения тракта диапазона с центральной частотой характеристики АВТ остаются практическими неизменными в самом высокочастотном из совмещаемых диапазоне. В диапазонах с центральными частотами и происходит уменьшение коэффициента передачи. При оптимизации трехдиапазонного АВТ в целом наблюдается уменьшение коэффициента передачи в диапазоне с центральной частотой но повышение коэффициента передачи в диапазонах с центральными частотами и Достигаемое при этом повышение эффективности применения АВТ по отношению к неоптимизированному составляет 0,37 дБ.
3. Анализ эффективности применения способа разделения принимаемых сигналов по поляризации-частоте
При реализации АВТ МЗА, построенного на основе способа «разделение по поляризации – разделение по частоте» выполняется следующая последовательность операций:
- принимаемый сигнал с выхода облучателя поступает на вход устройства поляризационного преобразования и селекции, на выходе которого формируется совокупность сигналов, каждый из которых представляет собой совокупность сигналов одной поляризации различных диапазонов частот;
- сформированные сигналы поступают на входы соответствующих частотных фильтров, на выходе каждого из которых формируются сигналы требуемых поляризаций в совмещаемых частотных диапазонах.
Структурная схема АВТ, реализующего данный способ, приведена на рис. 3. Достоинством данного варианта построения АВТ является отсутствие диплексеров совмещаемых диапазонов частот, недостатком – ограничения по реализации устройства поляризационного преобразования и селекции, работающего в широкой полосе частот, включающей совмещаемые частотные диапазоны.
Рис. 3. Блок-схема способа разуплотнения в многодиапазонном АВТ «разделение по поляризации – разделение по частоте»
Как следует из приведенной схемы, число и ширина полосы совмещаемых диапазонов определяется полосой рабочих частот устройства поляризационного преобразования и селекции. Как правило, верхняя и нижняя границы такого частотного диапазона удовлетворяют условию [2]. Таким образом, совмещаемые диапазоны частот должны удовлетворять условию Характерным для частотных зависимостей таких устройств являются участки, где частотная зависимость имеет резонансный характер, что приводит к дополнительным ограничениям по построению МЗА на основе таких АВТ.
На рис. 4 для устройства поляризационного преобразования и селекции приведены результаты измерений частотной зависимости обобщенного коэффициента передачи в полосе частот 3,4–6,8 ГГц. В полосе частот 4,3–5,45 ГГц наблюдается ярко выраженная резонансная зависимость коэффициента передачи, вследствие чего возможно совмещение только двух диапазонов с центральными частотами 3,85 и 6,1 ГГц и полосами частот 0,9 ГГц и 1,4 ГГц соответственно.
Рис. 4. Частотная зависимость обобщенного коэффициента передачи устройства поляризационного преобразования и селекции в полосе частот 3,4–6,8 ГГц
Приведенные результаты различных способов частотно-поляризационного разделения сигналов позволяют проводить научно обоснованный выбор способов построения АВТ МЗА в соответствии с требованиями к числу и ширине рабочей полосы совмещаемых диапазонов частот.
Заключение
- Проведенный анализ взаимосвязи параметров АВТ и ОСШ на выходе МЗА позволил разработать показатель эффективности применения АВТ в составе МЗА в виде отношения на соответствующем выходе МЗА в требуемой полосе частот мощности выделяемого сигнала к сумме мощностей сигналов с другими частотно-поляризационными характеристиками и шумов.
- Анализ способа построения АВТ МЗА с разделением сигналов по частоте-поляризации показал:
- достоинством способа построения АВТ МЗА, обеспечивающего разделение принимаемых сигналов по частоте и поляризации, являются типовое построение устройств поляризационного преобразования и селекции в каждом из частотных диапазонов, возможность совмещения диапазонов с отношением центральных частот, близким 5:1;
- недостатком данного способа построения АВТ является необходимость использования частотных диплексеров и однодиапазонных устройств поляризационного преобразования и селекции соответствующих диапазонов частот.
- Анализ способа построения АВТ МЗА с разделением сигналов по поляризации-частоте показал:
- достоинством данного варианта построения является упрощение АВТ, обусловленное отсутствием диплексеров совмещаемых диапазонов частот;
- недостатком являются ограничения, связанные с шириной рабочей полосы частот устройства поляризационного преобразования и селекции, определяемой на практике соотношением верхней и нижней полосы частот 2:1, и наличие резонансных участков частотной зависимости в пределах данной полосы частот.
Об авторах
Дмитрий Давидович Габриэльян
ФНПЦ «ФГУП “РНИИРС”»
Email: rniirs@rniirs.ru
ORCID iD: 0000-0002-9883-8826
доктор технических наук, профессор, заместитель начальника ФНПЦ «ФГУП “РНИИРС”», г. Ростов-на-Дону, Россия.
Область научных интересов: электродинамика, устройства СВЧ, антенны, антенные решетки, комплексные системы связи.
Россия, 344038, г. Ростов-на-Дону, ул. Нансена, 130Валентин Иванович Демченко
ФНПЦ «ФГУП “РНИИРС”»
Email: rniirs@rniirs.ru
кандидат технических наук, начальник ФНПЦ «ФГУП “РНИИРС”», г. Ростов-на-Дону, Россия.
Область научных интересов: электродинамика, устройства СВЧ, антенны, комплексные системы связи.
Россия, 344038, г. Ростов-на-Дону, ул. Нансена, 130Александр Евгеньевич Коровкин
ФНПЦ «ФГУП “РНИИРС”»
Email: rniirs@rniirs.ru
кандидат технических наук, старший научный сотрудник ФНПЦ «ФГУП “РНИИРС”», г. Ростов-на-Дону, Россия.
Область научных интересов: электродинамика, гофрированные рупора, устройства СВЧ, антенны.
Россия, 344038, г. Ростов-на-Дону, ул. Нансена, 130Сергей Игоревич Бойчук
ФНПЦ «ФГУП “РНИИРС”»
Автор, ответственный за переписку.
Email: rniirs@rniirs.ru
руководитель группы ФНПЦ «ФГУП “РНИИРС”», г. Ростов-на-Дону, Россия.
Область научных интересов: электродинамика, устройства СВЧ, антенны.
Россия, 344038, г. Ростов-на-Дону, ул. Нансена, 130Список литературы
- Антенно-волноводные устройства многодиапазонных зеркальных антенн / А.Е. Коровкин [и др.] // Антенны. 2011. Вып. 12 (175). С. 38–41. URL: https://www.elibrary.ru/item.asp?id=17764070
- Бойчук С.И., Коровкин А.Е, Раздоркин Д.Я. Антенно-волноводные устройства с единым рупором для многодиапазонных антенных систем // Радиотехника. 2019. Т. 83, № 7 (9). С. 202–208. URL: https://www.elibrary.ru/item.asp?id=41117354
- A C/X/Ku-band dual polarized Cassegrain antenna system / M. Beadle [et al.] // IEEE Antennas and Propagation Society International Symposium. 1999 Digest. Held in conjunction with: USNC/URSI National Radio Science Meeting. 1999. Vol. 1. P. 692–695. DOI: https://doi.org/10.1109/APS.1999.789232
- Granet C., Kot J.S. Design of a receive-only simultaneous X/Ka feed system for F/D=0.8 offset parabolic reflectors // 2020 4th Australian Microwave Symposium (AMS). 2020. P. 1–2. DOI: https://doi.org/10.1109/AMS48904.2020.9059548
- C band self diplexed Tx/Rx feed system for telecom / R. Ravanelli [et al.] // 2020 14th European Conference on Antennas and Propagation (EuCAP). 2020. P. 1–4. DOI: https://doi.org/10.23919/EuCAP48036.2020.9135295s
- Carkaci M.E., Secmen M. Design and prototype manufacturing of a feed system for Ku-band satellite communication by using 3D FDM/PLA printing and conductive paint technology // International Journal of RF and Microwave Computer-Aided Engineering. 2019. Vol. 30, no. 4. P. e22062. DOI: https://doi.org/10.1002/mmce.22062
- Design of an X-band feed system for the Auckland University of Technology 30m diameter warkworth radio telescope / C. Granet [et al.] // 2017 11th European Conference on Antennas and Propagation (EUCAP). 2017. P. 3621–3625. DOI: https://doi.org/10.23919/EuCAP.2017.7928103
- Simultaneous X/Ka-band feed system for large earth station SATCOM antennas / C. Granet [et al.] // 2014 Military Communications and Information Systems Conference (MilCIS). 2014. P. 1–5. DOI: https://doi.org/10.1109/MilCIS.2014.7002726
Дополнительные файлы






