Исследование оптических свойств фоточувствительных структур пониженной размерности на основе кремния
- Авторы: Полуэктова Н.А.1, Шишкина Д.А.1, Базанов А.Н.1, Перебалин Р.А.1, Шишкин И.А.1, Латухина Н.В.1
-
Учреждения:
- Самарский национальный исследовательский университет имени академика С.П. Королева
- Выпуск: Том 25, № 3 (2022)
- Страницы: 16-23
- Раздел: Статьи
- URL: https://journal-vniispk.ru/1810-3189/article/view/143687
- DOI: https://doi.org/10.18469/1810-3189.2022.25.3.16-23
- ID: 143687
Цитировать
Полный текст
Аннотация
В данной работе предлагается метод снижения потерь энергии фоточувствительных структур на основе нанокристаллического кремния с применением пассивирующих покрытий из фторида диспрозия. Поскольку данный материал обладает хорошими оптическими и фотоэлектрическими свойствами, то при получении структур Si/DyF3 диэлектрическая пленка позволяет снизить количество рекомбинационных центров и увеличить поглощение света. Показаны методики создания и исследования фоточувствительных структур с покрытиями. Описана методика определения толщины фторида диспрозия покрытия за счет интерференции света. Приведены результаты исследования спектров фоточувствительности и коэффициента отражения полученных фоточувствительных структур. Показано положительное влияние наноструктур кремния, а также пленок фторида диспрозия на спектры фоточувствительности структур. С помощью полученных данных планируется улучшение имеющейся технологии создания фоточувствительных структур на основе пористого кремния с целью большего повышения их выходных характеристик.
Ключевые слова
Полный текст
Введение
В настоящее время кремний и арсенид галлия чаще всего применяются для изготовления фотоэлектрических преобразователей (ФЭП). Не смотря на более высокие эксплуатационные характеристики арсенид-галлиевых ФЭП, кремний остается фаворитом в выборе сырья для производства, что объясняется широким распространением кремниевого сырья, а также наличием качественно разработанной технологии создания самого материала и приборов на его основе. Вследствие этого, кремниевые ФЭП выгоднее в производстве за счет своей дешевизны, по сравнению с арсенид-галлиевыми.
Характеристики кремниевых ФЭП с нанокристаллическим кремнием существенно выше, КПД структур на его основе может составлять 25–27 %. Это возможно в связи с реализацией квантово-размерных эффектов, увеличиващих поглощение вблизи ультрафиолетовой части диапазона. В качестве нанокристаллического материала может использоваться пористый кремний, по причине того, что стенки его пор представляют собой хаотичную систему наноразмерных кристаллов. Кроме реализации квантово-размерных эффектов, сравнительно большое количество пор позволяет увеличить площадь поглощающей поверхности ФЭП.
Одной из проблем ФЭП являются потери, связанные с отражением света, падающего на его поверхность. Решить эту проблему помогают разного рода просветляющие покрытия, благодаря им увеличивается поглощение солнечного элемента и, следовательно, уменьшаются отражение и потери [1–2].
В просветляющих покрытиях для солнечных элементов уменьшение отражения происходит вследствие интерференции лучей, отраженных от границ пленка-воздух и пленка-подложка. Для нормального падения показатель преломления просветляющей пленки n2 должен быть равен квадратному корню из произведения значений показателей преломления n3 и n1 двух сред, граничащих с пленкой (подложка и покровный материал) n2 = (n3n1)1/2. Далее для уменьшения отражения необходимо подобрать правильную толщину пленки. Разность хода лучей Δ при нормальном падении света на плоскую поверхность равняется удвоенной оптической толщине пленки: Δ = 2n2h2, где h2 – геометрическая толщина пленки. Взаимное уничтожение интенсивности отраженных лучей при нормальном падении возможно, если: Δ = 2n2h2 = l/2, отсюда n2h2 = l/4, где l – длина волны излучения, для которого выполняется условие минимального отражения.
В работах [3–5] в качестве антиотражающих пленок для кремниевых ФЭП применяются алмазоподобные покрытия, пленки из оксидов кремния и гафния и слои наноструктурированного кремния. В работе [6] авторы используют пористый кремний в качестве рабочего слоя солнечного элемента, что увеличивает его эффективность. При этом возникает новая проблема, связанная с появлением дополнительных центров рекомбинации. Для блокировки этих центров пористый кремний можно стабилизировать использованием специальных пассивирующих покрытий.
Подобрать оптимальную толщину слоя для шероховатой поверхности пористого кремния ранее не представлялось возможным, поскольку физика нанесения покрытия работает только для планарных структур, а в случае сложных поверхностей появляются неточности в расчетах оптимальной толщины покрытия.
В качестве стабилизирующих покрытий предлагается применять пленки фторида диспрозия, поскольку он обладает наиболее подходящими значениями показателя преломления и коэффициента прозрачности [7].
В данной работе приведены результаты исследования характеристик фоточувствительных структур с пористым слоем и покрытием фторида диспрозия различной толщины.
Методика эксперимента
Основой фоточувствительных структур были пластины монокристаллического кремния с текстурированной поверхностью и готовым p-n переходом (рис. 1):
Рис. 1. Текстурированная поверхность (вид сбоку)
Fig. 1. Textured surface (side view)
Далее методом анодного электрохимического травления на n-типе был сформирован пористый слой на всех образцах [8]. Травление проводилось в растворе плавиковой кислоты и этилового спирта в соотношении 1:1. Плотность тока составляла 10 мА/см2. Толщина пористого слоя на каждой пластине составляла 10 мкм.
Алюминиевые контакты были нанесены методом термического испарения в вакууме с двух сторон: на p-сторону был нанесен сплошной контакт, на n-сторону – контакт в виде гребенки. Покрытие также наносилось методом термического испарения порошкоообразного фторида диспрозия.
Методика определения толщины покрытия
Для определения толщины покрытия фторида диспрозия использовался цветовой метод [9]. Данный метод используется для экспресс-контроля толщины пленок SiO2 и Si3N4 до 1,5 и 0,33 мкм соответственно. Точность определения толщины пленки данным методом 100–200 А.
Вычисление толщины пленки фторида диспрозия осуществлялось по формуле:
(1)
где SDyF3 – толщина пленки фторида диспрозия, SSiO2 – толщина пленки оксида кремния. Соотношение показателей преломления DyF3 и SiO2 составляет 1,08 (Показатель преломления фторида диспрозия и оксида кремния составляют 1,6 и 1,48, соответственно [9]).
Таблица. Масса и толщина пленки DyF3
Table. DyF3 film weight and thickness
№ образца | Масса DyF3, г | Толщина пленки DyF3, мкм |
1 | 0,1 | 0,37 |
2 | 0,09 | 0,29 |
3 | 0,08 | 0,27 |
4 | 0,07 | 0,17 |
5 | 0,06 | 0,11 |
6 | 0,05 | 0,096 |
7 | 0,04 | 0,089 |
8 | 0,03 | 0,06 |
9 | 0,02 | 0,025 |
10 | – | – |
11 | 0,01 | 0,019 |
12 | – | – |
13 | – | – |
14 | 0,05 | 0,1 |
Методика исследования
Для исследования характеристик полученных образцов были проведены измерения спектров фоточувствительности и спектров коэффициента отражения.
Измерения спектров фоточувствительности проводились с помощью монохроматора МДР-3. Источником служила ксеноновая дуговая лампа марки ДКСЭЛ-100.
Для вычисления фоточувствительности применялась формула:
(2)
Измерения спектров отражения проводились на спектрофотометре Shimadzu UV-2450 в диапазоне от 190 до 1000 нм с шагом 0,5 нм.
Результаты
Далее представлены РЭМ (рис. 2) и схематическое изображение структуры с пленкой фторида диспрозия (рис. 3).
Рис. 2. РЭМ поперечного зеркального скола структуры возле стыка пирамид с пленкой фторида диспрозия
Fig. 2. SEM of a transverse mirror cleavage of the structure near the junction of pyramids with a film of dysprosium fluoride
Рис. 3. Схематическое изображение структуры
Fig. 3. Schematic representation of the structure
Поскольку покрытия из фторида диспрозия обладают пассивирующим эффектом, для тонких пленок может быть достаточно много открытых центров рекомбинации, что приводит к уменьшению фоточувствительности до значений образцов без покрытий (рис. 6).
Покрытие фторида диспрозия было нанесено равномерно по всей поверхности пирамиды. Однако очень тонкие пленки могут обладать дефектами и «рваться» о вершины пирамид, нарушая равномерность и влияя на свойства полученных структур.
На рис. 4 приведены спектры фоточувствительности образцов 2–15.
Рис. 4. Спектры фоточувствительности образцов 2–15
Fig. 4. Spectra of photosensitivity of samples 2–15
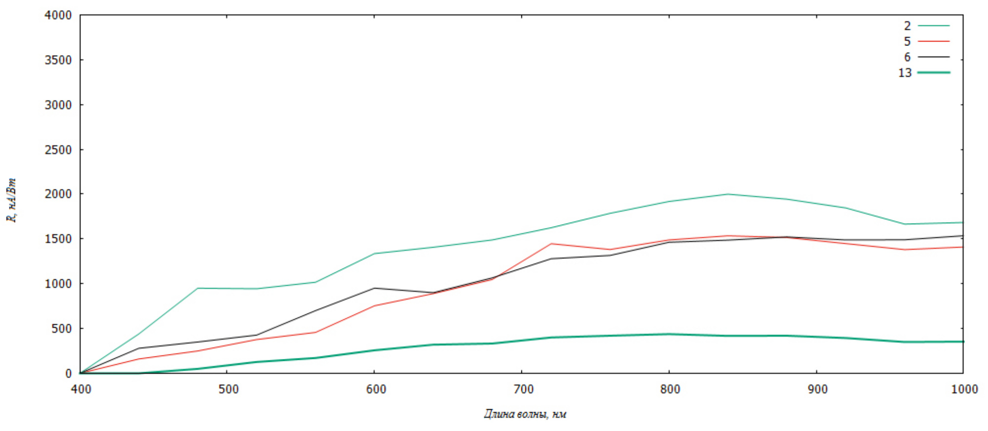
Из анализа графиков видно, что фоточувствительность структур сильно зависит от покрытия. Большинство образцов с покрытием (№ 1–9, 11, 14) имеют более высокую фоточувствительность, чем образцы без покрытия (№ 10, 12, 13, 15). Наилучшими характеристиками обладают образцы со средней толщиной покрытия - порядка 0,096–0,29 мкм (образцы № 2, 5, 6). Данные образцы обладают и малыми коэффициентами отражения (рис. 5). Образцы с меньшей толщиной покрытия (менее 0,1 мкм) обладают меньшей фоточувствительностью. Следует отметить положительное влияние пористого слоя на фоточувствительность. Образцы с пористым слоем (№ 12 и 13) обладают более высокими характеристиками, чем образец без пористого слоя (№ 15). Для более корректного сравнения на рис. 5 показаны спектры фоточувствительности образцов 2, 5 и 6 (0,29 мкм, 0,11 мкм и 0,089 мкм) в сравнении с 13.
Рис. 5. Спектры фоточувствительности образцов 2, 5, 6 и 13
Fig. 5. Photosensitivity spectra of samples 2, 5, 6, and 13
Рис. 6. Спектры фоточувствительности образцов 3, 4, 7–9, 11 и 13
Fig. 6. Photosensitivity spectra of samples 3, 4, 7–9, 11, and 13
Наиболее эффективной оказалась толщина пленки 0,1 мкм, позволившая значительно увеличить фоточувствительность образца. Наибольшей фоточувствительностью обладает образец № 14, превышающий другие образцы в более чем в десятки раз (20 000 нА/Вт от 700 до 850 нм).
На рис. 7 показаны спектры коэффициента отражения образцов 1–15 в диапазоне длин волн 250–1000 нм.
Рис. 7. Спектральные характеристики коэффициента отражения образцов 1–15
Fig. 7. Spectral characteristics of the reflection coefficient of samples 1–15
Все структуры с покрытием имеют меньшее отражение (1–9, 11), чем образцы без покрытия (10, 12, 13). С уменьшением толщины покрытия уменьшается коэффициент отражения. Имеются пики в коротковолновой части спектра, что может быть связано с интерференционными эффектами покрытия на пирамидальной поверхности (рис. 1). Различные коэффициенты отражения при одинаковых толщинах пористого слоя структур можно объяснить влиянием неконтролируемых факторов, возникающих при изготовлении пористого кремния [10].
На рис. 8 показаны спектры коэффициента отражения образцов 8, 9, 11 и 14 в сравнении с 13.
Рис. 8. Спектры коэффициента отражения образцов 8, 9, 11, 14 и 13
Fig. 8. Reflectance spectra of samples 8, 9, 11, 14, and 13
Анализ графиков показывает, что пленки фторида диспрозия в целом снижают коэффициент отражения из-за уменьшения эффекта рассеяния. Образцы 2 и 4 с толщинами пленок 0,29 мкм и 0,17 мкм соответственно показывают наиболее равномерное снижение коэффициента отражения во всем исследуемом спектре. А образцы 8, 9, 11 и 14 (толщины пленок равны 0,06 мкм, 0,025 мкм, 0,019 мкм и 0,055 мкм) наоборот, показывают повышение коэффициента отражения в коротковолновой части спектра и приближение характеристик этих образцов к характеристикам образца с пористым слоем. Это говорит о том, что уменьшение толщины пленок (менее 0,1 мкм) негативно сказывается на характеристиках структур.
Заключение
Таким образом, в работе выявлено значительное влияние пленок фторида диспрозия на спектральные характеристики фоточувствительных структур. Исследование показало, что существует оптимальный диапазон толщин покрытия (0,1–0,29 мкм), позволяющих заметно повысить фоточувствительность структур. Одновременно с этим для ряда образцов наблюдается небольшое повышение отражения в коротковолновой области (порядка 0,2 %) и снижения коэффициента отражения структур в длинноволновой области. Из серии образцов наилучшими характеристиками обладает образец № 14 с толщиной пленки 0,11 мкм.
Об авторах
Наталья Алексеевна Полуэктова
Самарский национальный исследовательский университет имени академика С.П. Королева
Email: natapolivekt37@gmail.com
ORCID iD: 0000-0003-4189-6192
аспирант
Россия, 443086, г. Самара, Московское шоссе, 34Дарья Александровна Шишкина
Самарский национальный исследовательский университет имени академика С.П. Королева
Автор, ответственный за переписку.
Email: daria.lizunkova@yandex.ru
ORCID iD: 0000-0003-4118-1429
кандидат физико-математических наук, старший преподаватель кафедры наноинженерии
Россия, 443086, г. Самара, Московское шоссе, 34Александр Николаевич Базанов
Самарский национальный исследовательский университет имени академика С.П. Королева
Email: vosovsky@list.ru
магистрант
Россия, 443086, г. Самара, Московское шоссе, 34Роман Андреевич Перебалин
Самарский национальный исследовательский университет имени академика С.П. Королева
Email: gsamylifemanager@gmail.com
магистрант
Россия, 443086, г. Самара, Московское шоссе, 34Иван Александрович Шишкин
Самарский национальный исследовательский университет имени академика С.П. Королева
Email: shishkinivan9@gmail.com
ORCID iD: 0000-0002-8413-9661
аспирант
Россия, 443086, г. Самара, Московское шоссе, 34Наталья Виленовна Латухина
Самарский национальный исследовательский университет имени академика С.П. Королева
Email: natalat@yandex.ru
ORCID iD: 0000-0003-2651-0562
доцент кафедры физики твердого тела и неравновесных систем
Россия, 443086, г. Самара, Московское шоссе, 34Список литературы
- Upconversion in solar cells / W.G. Van Sark [et al.] // Nanoscale Research Letters. 2013. Vol. 8, no. 1. P. 81. DOI: https://doi.org/10.1186/1556-276X-8-81
- Enhancing silicon solar cell efficiency by modifying the solar spectrum / C. Strumpel [et al.] // 2006 IEEE 4th World Conference on Photovoltaic Energy Conference. 2006. P. 87–90. DOI: https://doi.org/10.1109/WCPEC.2006.279370
- Тонкие просветляющие покрытия для солнечных элементов / А.М. Назаров [и др.] // Взаимодействие излучений с твердым телом (ВИТТ-2017): мат. 12-й Международной конференции. 2017. С. 466–468.
- Изучение пленок оксида кремния и оксида гафния для создания просветляющих покрытий / Н.Р. Чарыкулыева [и др.] // Молодежь в науке – 2016: сб. мат. Международной конференции молодых ученых. 2017. С. 355–359.
- Фотоэлектрические свойства структур на базе пористого кремния с одно- и двухслойными покрытиями / А.В. Дрондин [и др.] // Физика волновых процессов и радиотехнические системы. 2017. Т. 20, №. 4. С. 50–54. URL: https://journals.ssau.ru/pwp/article/view/7074
- Многослойные фоточувствительные структуры на основе пористого кремния и соединений редкоземельных элементов: исследования спектральных характеристик / Н.Ю. Кирсанов [и др.] // Физика и техника полупроводников. 2017. Т. 51, № 3. С. 367–371. DOI: https://doi.org/10.21883/FTP.2017.03.44209.8377
- Рожков В.А., Петров А.И., Шалимова М.Б. Просветляющие покрытия из фторидов лантана, самария и диспрозия для кремниевых фотоэлектрических приборов // Известия вузов. Физика. 1994. № 4. С. 7–10.
- Shishkin I.A., Lizunkova D.A., Latukhina N.V. The process of pore formation on a textured silicon substrate during electrochemical etching: 3D model // Journal of Physics: Conference Series. 2021. Vol. 1745, no. 1. P. 012004. DOI: https://doi.org/10.1088/1742-6596/1745/1/012004
- Шалимова М.Б. Эффект переключения проводимости с памятью и фотоэлектрические явления в слоистых структурах на основе пленочных фторидов РЗЭ: автореф. дис. … канд. физ.-мат. наук. Самара, 1997. 19 с.
- Влияние неконтролируемых факторов на свойства пористого кремния / Н.В. Латухина [и др.] // Актуальные проблемы физики твердого тела. 2018. Т. 3. С. 63–65.
Дополнительные файлы









