Approaches to mathematical modeling of coatings that protect against electromagnetic radiation in the soft X-ray range
- Autores: Belov Y.G.1, Biryukov V.V.1, Malakhov V.A.1, Malakhova I.V.1, Nechaeva M.S.1,2, Raevskaya Y.V.1, Raevsky A.S.1, Sedakov A.Y.2, Titarenko A.A.1
-
Afiliações:
- Nizhny Novgorod State Technical University named after R.E. Alekseev
- Branch of FSUE RFNC-VNIIEF «NIIIS named after Yu.E. Sedakov»
- Edição: Volume 25, Nº 4 (2022)
- Páginas: 9-26
- Seção: Articles
- URL: https://journal-vniispk.ru/1810-3189/article/view/143696
- DOI: https://doi.org/10.18469/1810-3189.2022.25.4.9-26
- ID: 143696
Citar
Texto integral
Resumo
The objects of study are composite structures that protect agaist electromagnetic radiation in the soft X-ray range. The purpose of this work is to propose approaches to the mathematical modeling of coatings based on these structures, to calculate the reflection and transmission characteristics of a homogeneous plane wave incident at different angles on such coatings. Research methods - electrodynamic modeling, graph theory, three-dimensional electromagnetic modeling in CAD. Mathematical models of multilayer structures obtained on the basis of the electrodynamic approach and using graph theory, the results of calculations of the reflection and transmission characteristics of a homogeneous plane wave incident at different angles on such structures are presented. The prospects for the use of film coatings with air holes are considered. The results obtained in the course of the work may be used to create coatings that protect electronic equipment from the effects of X-rays.
Palavras-chave
Texto integral
Введение
Защита узлов радиоаппаратуры от электромагнитного излучения является крайне важной, особенно в случае специальных применений [1–5]. Данная задача в основном решена для низкочастотных радиодиапазонов, СВЧ- и КВЧ-диапазонов, но для рентгеновского диапазона исследования находятся в начальной стадии. Трудности защиты от рентгеновского излучения обусловлены малой длиной волны и, следовательно, высокой энергией кванта.
Для решения задачи защиты от излучения с высокоэнергетическими фотонами существует необходимость создания композитных структур, состоящих из обычных или искусственных материалов. Принцип действия данных структур должен быть основан на частичном отражении и сильном поглощении энергии падающей на них электромагнитной волны.
Статья посвящена рассмотрению методов расчета характеристик различных вариантов защитных покрытий и обсуждению результатов расчетов с помощью программ, составленных на основе алгоритмов, разработанных с использованием этих методов.
Постановка задачи о прохождении плоской волны через многослойную плоскопараллельную структуру на основе электродинамической модели
Многослойная структура состоит из нескольких плоскопараллельных диэлектрических слоев.
Расчет коэффициентов прохождения и отражения волн в многослойных структурах осуществляется на основе строгого метода двусторонних граничных условий [6], когда диэлектрический слой рассматривается как слой конечной толщины с комплексной диэлектрической проницаемостью. Поскольку электромагнитное поле в диэлектрическом слое можно представить в виде суперпозиции парциальных волн, к рассмотрению вопроса о записи граничных условий на верхней и нижней границах диэлектрического слоя II можно подойти с позиции задачи о прохождении плоской волны через диэлектрический слой, для которой применяются законы геометрической оптики.
Рассмотрим плоскопараллельный диэлектрический слой II, рис. 1, разделяющий две области, характеризуемые параметрами и Диэлектрическую и магнитную проницаемости области II полагаем равными В области над центральным диэлектрическим слоем две волны (прямая – 1 и отраженная – 2), внутри слоя II также две волны (прошедшая через верхнюю границу волна 3 и волна 4, отраженная от нижней границы В области III – одна прошедшая волна 5.
Рис. 1. Падение плоской электромагнитной волны на плоскопараллельный слой
Fig. 1. Incident of a plane electromagnetic wave on a plane-parallel layer
Полагая комплексные амплитуды электрического поля указанных волн в плоскостях (x, z) и (y, z) равными, соответственно, (для p-поляризации) и (для s-поляризации), выражаем через них компоненты напряженностей электрического и магнитного полей [6] и подставляем в граничные условия при
(1)
и при
(2)
Полученные при этом уравнения образуют систему относительно восьми неизвестных: Амплитудные коэффициенты падающей волны и полагаем заданными.
По заданным коэффициентам и находим остальные неизвестные коэффициенты. Используя найденные амплитудные коэффициенты, рассчитываем компоненты напряженностей электрического и магнитного полей. По рассчитанным напряженностям прошедшей и отраженной волн находим коэффициенты отражения и прохождения и плоской электромагнитной волны через слой толщины
(3)
На основе приведенного выше алгоритма строится алгоритм решения задачи о расчете коэффициентов отражения и прохождения плоской электромагнитной волны для многослойной структуры. Каждый слой представлялся в виде четырехполюсника с матрицей рассеяния:
. (4)
Матрица рассеяния переводилась в матрицу передачи по формуле
. (5)
Для получения матрицы передачи многослойной структуры производилось перемножение матриц передачи отдельных слоев:
(6)
Используя элементы общей матрицы передачи (1.9), вычислялись элементы общей матрицы рассеяния по формуле
(7)
где – общий коэффициент отражения; – общий коэффициент передачи многослойной структуры.
Постановка задачи о прохождении плоской волны через многослойную плоскопараллельную структуру на основе теории графов
Анализ и расчет цепей СВЧ- и электродинамических устройств значительно упрощается при использовании метода ориентированных графов. Наглядность графического изображения и быстрота получения конечного результата являются существенными преимуществами данного метода над другими. Анализ сложного устройства методом графов не требует решения граничной электродинамической задачи и составления системы алгебраических уравнений, а также позволяет избежать громоздких математических преобразований.
Линейный ориентированный граф изображает линейную зависимость между несколькими переменными. Он имеет вид цепи, состоящей из узлов, соединенных ветвями. Узлы характеризуются узловыми сигналами, например комплексной напряженностью поля волны в соответствующей точке системы. Ветви определяются коэффициентом передачи и направлением передачи. Совокупность ветвей, проходящих через каждый узел не более одного раза, называется путем, – передача j-го пути, равная произведению передач всех пройденных ветвей. Замкнутый путь называется контуром первого порядка, – передача j-го контура первого порядка. Контур n-го порядка – совокупность контуров первого порядка, у которых нет общих узлов; его передача определяется произведением передач входящих в него контуров первого порядка. Коэффициент передачи – отношение комплексных напряженностей поля волны, пришедшей в k-й узел, и волны от источника, находящегося в m-м узле. Если то представляет собой комплексный коэффициент отражения. Эти коэффициенты определяются с помощью правила Мэзона (правила некасающихся контуров) [7]:
(8)
где - передача j-го пути из узла в узел k; - передача i-го контура n-го порядка.
В знаменателе этой формулы суммирование выполняется по всем контурам, в числителе – только по контурам, не касающимся j-го пути.
Решение задачи о прохождении плоской волной плоскопараллельной пластины методом ориентированных графов позволяет учесть многократные отражения волны от границ слоя [8].
Особенностью рентгеновского излучения является то, что показатели преломления сред очень близки к единице. Поэтому коэффициент отражения по мощности от одиночного слоя составляет сотые доли процента. В случае многослойной периодической структуры образуется брэгговская решетка (разновидность дифракционной решетки). В этом случае между каждым слоем коэффициент отражения мал, однако при соответствующем расположении слоев электромагнитные волны интерферируют между собой так, что коэффициент отражения существенно увеличивается, несмотря на то что отличие в показателях преломления сред невелико.
Построим ориентированный граф прохождения электромагнитной волны через периодическую многослойную структуру, рис. 2.
Рис. 2. Ориентированный граф падения и отражения плоской волны с количеством слоев N
Fig. 2. Oriented graph of incidence and reflection of a plane wave with N layers
Падающая волна из среды 1 частично отражается с коэффициентом а частично проходит во вторую среду с коэффициентом Оба коэффициента определяются формулами Френеля [9]. Далее электромагнитная волна из среды 2 будет проходить в среду 3 с показателем преломления затем снова во вторую среду с показателем преломления и так далее. Таким образом обеспечивается многократное повторение слоев.
Получив матрицу рассеяния всей структуры, можно исследовать зависимости коэффициентов отражения и прохождения от длины волны, числа и толщин слоев.
Результаты решения задачи о прохождении плоской волны через многослойную плоскопараллельную структуру
Рассмотрим результаты расчета коэффициентов отражения и прохождения для многослойных структур, полученные с использованием описанных в пп. 1 и 2 алгоритмов. Для расчета характеристик многослойных плоскопараллельных структур с использованием приведенных алгоритмов были написаны программы расчета коэффициентов прохождения и отражения на языке C# в интегрированной среде разработки программного обеспечения MS Visual Studio. Программы позволяют рассчитать зависимости коэффициентов отражения и прохождения для многослойной структуры от длины волны для разных углов падения плоской электромагнитной волны.
В качестве исходных данных загружаются зависимости добавок к показателю преломления веществ от длины волны с помощью которых находятся показатели преломления слоев Относительная диэлектрическая проницаемость Зависимости в определенном диапазоне длин волн берутся на специализированном сайте [10]. Кроме того, задаются толщина слоев, количество слоев и угол падения, диэлектрические проницаемости внешней среды и подложки.
Сравнение результатов расчетов, полученных с использованием двух указанных методов, производилось для различного количества слоев многослойной структуры, углов падения в диапазоне длин волн от 10 до 20 нм. Отличие в результатах расчетов не превысило 5 %.
Многослойные плоскопараллельные структуры изготавливают из разных веществ: Mo – молибден, Si – кремний, B4C – карбонат бора, Co – кобальт, Ni – никель, Sb – сурьма, Sc – скандий и другие. Эти вещества используются в парах.
Наилучшие результаты по величине коэффициента отражения показывает пара Sb / B4C, которая обеспечивает отражение в диапазоне длин волн (8-13) нм порядка 10 % при нормальном падении излучения.
Для расчета была взята многослойная структура, состоящая из таких материалов, как сурьма Sb и карбонат бора B4C. Пара веществ подбирается таким образом [11], чтобы отражение от каждой границы раздела было максимальным, по этой причине различие между показателями преломления у соответствующих веществ должно быть как можно большим. Пары материалов, из которых формируется многослойная структура, не должны быть подвержены взаимному влиянию друг на друга и должны обеспечивать наилучший коэффициент отражения в рентгеновском диапазоне, то есть диффузия между выбранными веществами должна быть минимальна.
Для того чтобы слои были параллельны друг другу и не искривлялись, первичная поверхность подложки, на которую наносятся плоскопараллельные слои веществ, должна быть ровной, гладкой, без шероховатостей.
На рис. 3, а представлены зависимости добавок к показателю преломления для сурьмы, на рис. 3, б - для карбоната бора в диапазоне так называемого «мягкого» рентгеновского излучения. На рис. 3 сплошной линией показана зависимость добавки к действительной части показателя преломления от длины волны, пунктирной линией – мнимая часть показателя преломления
Рис. 3. Зависимость добавок к показателю преломления для: а – сурьмы (Sb) и б – карбоната бора (B4C) от длины волны
Fig. 3. Dependence of additives to the refractive index for: a – antimony (Sb) and b – boron carbonate (B4C) on the wavelength
Корректность работы алгоритма была проверена по выполнению баланса энергии для случая отсутствия потерь в материалах.
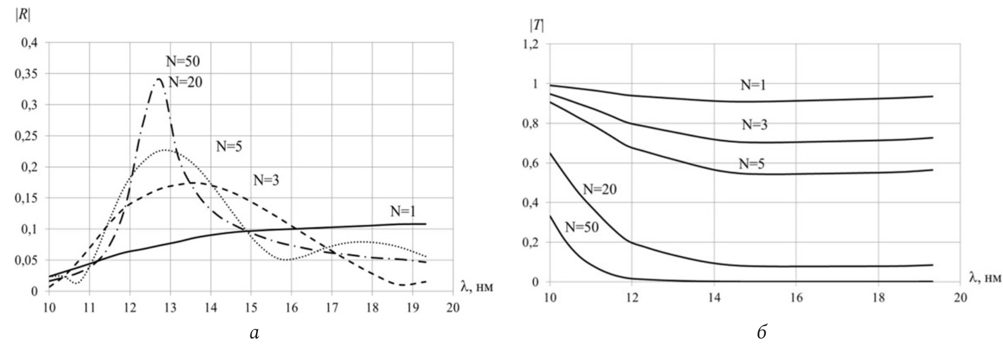
На рис. 4 приведены зависимости от длины волны модулей коэффициентов отражения и модулей коэффициентов прохождения при разном количестве слоев пары веществ сурьма/карбонат бора (Sb / B4C), толщина слоев нм, при нормальном угле падения.
Рис. 4. Зависимости: а – модулей коэффициентов отражения и б – прохождения от длины волны при разном количестве слоев пары веществ сурьма/карбонат бора (Sb / B4C)
Fig. 4. Dependences: a – modules of reflection coefficients and b – transmission from wavelength for different number of layers of a pair of substances antimony / boron carbonate (Sb / B4C)
Из рис. 4 видно, что с увеличением числа слоев многослойной структуры, состоящей из пары веществ сурьма/карбонат бора (Sb / B4C), появляется явно выраженный максимум. При числе слоев максимум коэффициента отражения равен 0,35, который приходится на длину волны 12,6 нм. При дальнейшем увеличении числа слоев величина коэффициента отражения не меняется. Положение максимума коэффициента отражения определяется периодом структуры.
Из рис. 4 также видно, что с увеличением числа слоев многослойной структуры, состоящей из пары веществ сурьма/карбонат бора (Sb / B4C), коэффициент прохождения уменьшается во всем рассматриваемом диапазоне длин волн, так как увеличивается поглощение в материалах слоев.
На рис. 5 приведены зависимости квадратов модулей коэффициентов отражения от длины волны для углов падения плоской электромагнитной волны 0°, 10°, 20°, 30°, 40° для структуры, состоящей из слоев пары сурьма/карбонат бора (Sb / B4C), количество пар периодов Sb / B4C 50, величина периода 6,6 нм (3,3 нм – Sb, 3,3 нм – B4C).
Рис. 5. Зависимости квадратов модулей коэффициентов отражения от длины волны (для углов падения плоской электромагнитной волны 0°, 10°, 20°, 30°, 40°) для структуры, состоящей из слоев пары сурьма/карбонат бора (Sb / B4C): а – s-поляризация; б – p-поляризация
Fig. 5. Dependences of the squares of the moduli of the reflection coefficients on the wavelength (for angles of incidence of a plane electromagnetic wave 0°, 10°, 20°, 30°, 40°) for a structure consisting of layers of an antimony/boron carbonate (Sb / B4C) pair: a – s-polarization; b – p-polarization
Из рис. 5 видно, что при увеличении угла падения максимумы квадрата модуля коэффициента отражения смещаются в длинноволновую область. Увеличение длины волны, на которую приходится максимум коэффициента отражения, связано с тем, что удлиняется оптический путь, который проходит луч в слоях, что эквивалентно росту толщины слоя.
На рис. 6 приведены зависимости квадратов модулей коэффициентов прохождения от длины волны для различных углов падения плоской электромагнитной волны для структуры, состоящей из слоев пары сурьма/карбонат бора (Sb / B4C), количество пар периодов Sb / B4C – 50, толщина периода 6,6 нм (3,3 нм – Sb, 3,3 нм –B4C).
Рис. 6. Зависимость квадратов модулей коэффициентов прохождения от длины волны для структуры, состоящей из слоев пары сурьма / карбонат бора (Sb / B4C) s-поляризация (a) и p-поляризация (б) для углов падения плоской электромагнитной волны: 1 – 0°, 2 – 20°, 3 – 40°, 4 – 50°, 5 – 60°, 6 – 65°
Fig. 6. Dependence of the squared moduli of the transmission coefficients on the wavelength for a structure consisting of layers of an antimony / boron carbonate (Sb / B4C) pair s-polarization (a) and p-polarization (b) for the angles of incidence of a plane electromagnetic wave: 1 – 0°, 2 – 20°, 3 – 40°, 4 – 50°, 5 – 60°, 6 – 65°
Очевидно, что при определенном значении угла падения должно выполниться условие полного отражения на границе воздух – многослойная структура. Это значение зависит от длины волны падающего излучения. Во всем рассматриваемом диапазоне длин волн полное отражение будет выполняться при углах падения больше Однако при значительно меньших значениях угла падения коэффициент прохождения волны через многослойную структуру начинает резко уменьшаться. Исследуем данный эффект более внимательно. Для этого рассмотрим структуру, состоящую из двух периодов Sb / B4C, величина периода 6,6 нм.
На рис. 7 приведена зависимость квадрата модуля коэффициента прохождения от угла падения на длине волны нм. При угле примерно наблюдается резкое уменьшение коэффициента прохождения для волн обеих поляризаций.
Рис. 7. Зависимость квадрата модуля коэффициента прохождения от угла падения плоской электромагнитной волны на длине волны 15 нм для двух периодов пар Sb / B4C: a – s-поляризация; б – p-поляризация
Fig. 7. Dependence of the square of the modulus of the transmission coefficient on the angle of incidence of a plane electromagnetic wave at a wavelength of 15 nm for two periods of Sb / B4C pairs: a – s-polarization; b – p-polarization
Чтобы разобраться в этом вопросе, рассмотрим условия возбуждения пленочных волн на основе модели, изображенной на рис. 8. Условием возбуждения пленочных волн является выполнение условий полного внутреннего отражения на верхней и нижней границах слоя с показателем преломления При этом должен быть меньше, чем
Рис. 8. К расчету угла падения волны на рассматриваемую структуру
Fig. 8. To the calculation of the probability of falling on the intended environment
При выборе материалов структуры, изображенной на рис. 8, принимались во внимание значения показателя преломления на выбранном интервале длин волн, положение границ поглощения, совместимость их с учетом химического взаимодействия. Сформулировать аналитический критерий, который указывал бы на пару веществ, оптимальную для решения поставленной задачи, не удается, поэтому подбор пар материалов осуществлялся, исходя из наличия у рассматриваемых материалов монотонной зависимости показателя преломления от длины волны и сохранения выполнения неравенства во всем рассматриваемом интервале длин волн.
В ходе выполнения работы были рассмотрены следующие материалы [10]: (фуллерен) - молекулярная форма углерода; (пропилен) - органическое вещество, ненасыщенный углеводород из класса алкенов; (нитрид кремния) - обладает полезными для многих применений механическими и физико-химическими свойствами; (золото) - один из самых инертных металлов, стоящий в ряду напряжений правее всех других металлов; (бромид серебра) - кристаллическое вещество, нерастворимое в воде, имеет ионное строение; (нитрид бора) - бинарное соединение бора и азота. В результате проведенного сравнения зависимостей модулей показателей преломления рассмотренных материалов от длины волны были выбраны следующие пары материалов для создания многослойной структуры, направляющей волны рентгеновского диапазона: и
Для того чтобы волна, падающая на рассматриваемую структуру, направлялась ее центральным слоем (и затухала в нем), на его поверхности должен выполняться закон полного внутреннего отражения. Определим угол падения волны из воздушного пространства на пленку, используя закон Снеллиуса где На рис. 9 представлены полученные в результате расчета зависимости углов падения на рассматриваемую структуру и на центральный слой этой структуры от длины волны, при которых волна становится направляемой.
Рис. 9. Зависимости углов падения на рассматриваемую структуру A2 и на центральный слой A1 рассматриваемой структуры от длины волны, при которых волна становится направляемой: а – C60 / C3H6; б – Si3N4 / Au; в – BN / AgBr
Fig. 9. Dependences of the angles of incidence on the considered structure A2 and on the central layer A1 of the considered structure on the wavelength at which the wave becomes guided: a – C60 / C3H6; b – Si3N4 / Au; c – BN / AgBr
Закон изменения амплитуды пленочной волны вдоль оси распространения в общем виде можно записать так:
(9)
где – амплитуда волны в точке –коэффициент затухания плоской волны в среде. Погонное затухание волны может быть рассчитано по формуле
(10)
где – амплитуда волны в точке м.
Результаты расчета погонного затухания пленочной волны для различных пар материалов, из которых состоит исследуемая структура, показаны на рис. 10.
Из рис. 10 видно, что наибольшее затухание в диапазоне длин волн (10–40) нм обеспечивает структура, состоящая из пары материалов Структуры и обеспечивают почти одинаковое затухание.
Рис. 10. Зависимости погонного затухания пленочной волны от длины волны: а – C60 / C3H6; б – Si3N4 / Au; в – BN / AgBr
Fig. 10. Dependences of the linear attenuation of a film wave on the wavelength: a – C60 / C3H6; b – Si3N4 / Au; c – BN / AgBr
В качестве одного из вариантов выполнения защитного покрытия можно рассмотреть однослойную структуру, выполненную из материала с большим атомным весом. На рис. 11 изображены зависимости квадрата коэффициента отражения и квадрата коэффициента прохождения от длины волны для одного слоя золота толщиной 330 нм в логарифмическом масштабе.
Рис. 11. Зависимости: а – квадрата модуля коэффициента отражения и б – квадрата модуля коэффициента прохождения от длины волны для одного слоя золота Au толщиной 330 нм в логарифмическом масштабе
Fig. 11. Dependences: a – of the square of the modulus of the reflection coefficient and b – of the square of the modulus of the transmission coefficient on the wavelength for one layer of Au gold 330 nm thick on a logarithmic scale
Таким образом, для защиты от электромагнитного излучения мягкого рентгеновского диапазона можно использовать как однослойные, так и многослойные структуры. При этом важно, что однослойные структуры изготавливать проще, чем многослойные.
Составление дисперсионного уравнения волн цилиндрического воздушного волновода, окруженного средой из редкоземельного элемента
Известно [10], что в рентгеновском диапазоне относительная диэлектрическая проницаемость материалов становится меньше единицы. В связи с этим воздушный канал в материале можно рассматривать как волновод, работающий на основе принципа полного внутреннего отражения. Как один из вариантов композитного материала можно рассмотреть пленку, выполненную из одного из редкоземельных элементов (они в рассматриваемом диапазоне длин волн обладают большим поглощением), имеющую в своей структуре воздушные каналы, изогнутые под прямым углом с радиусом изгиба, превышающим критический, при котором нарушается полное внутреннее отражение. В таких волноводах волны, как показали расчеты, имеют очень большое погонное затухание. Они будут возбуждаться на границе «защитное покрытие – воздух» и уносить с собой значительную часть энергии падающей волны в направлении, параллельном пленке. Чтобы оценить потери в таком волноводе, рассмотрим в качестве модели воздушный цилиндр I радиуса с диэлектрической проницаемостью окруженный однородной неограниченной средой II с диэлектрической проницаемостью
Краевая задача ставится на однородном уравнении Гельмгольца относительно продольных составляющих электрического и магнитного векторов Герца
(11)
Решения уравнения Гельмгольца для каждой из двух областей запишем в виде:
(12)
в области I,
(13)
в области II, где – поперечные волновые числа первой и второй областей, которые связаны с продольным волновым числом соотношением
(14)
– цилиндрические функции первого рода, – функции Ханкеля второго рода.
Диэлектрическая проницаемость первой области (воздух). Диэлектрическая проницаемость второй области, в качестве материала которой взят, например, иттербий (Yb), зависит от длины волны и рассчитывается по формуле
(15)
где и – параметры, зависящие от длины волны, взятые из [10].
Выражая через векторы Герца компоненты электрического и магнитного полей и подставляя их в граничные условия при получаем систему из четырех однородных уравнений относительно четырех неизвестных амплитудных коэффициентов. Для того чтобы система имела нетривиальные решения, необходимо, чтобы определитель системы был равен нулю. Таким образом, условие нетривиальности решения системы приводит к дисперсионному уравнению волн рассматриваемого волновода, которое решается на комплексной плоскости продольного волнового числа комбинированным методом поиска (совокупность метода Мюллера и метода вариации фазы) [12–14].
На основе описанного алгоритма были произведены расчеты характеристик дисперсии и затухания волн воздушного волновода, окруженного средой из иттербия. На рис. 12 приведена зависимость действительной и мнимой частей коэффициента преломления иттербия от длины волны.
Рис. 12. Зависимости: а – действительной и б – мнимой частей коэффициента преломления иттербия от длины волны
Fig. 12. Dependences: a – real and b – imaginary parts of the refractive index of ytterbium on the wavelength
На рис. 13 приведены а – дисперсионные характеристики и б – характеристики затухания первых трех гибридных волн электродинамической структуры (порядок функции Бесселя которая представляет собой воздушный цилиндр радиусом нм, окруженный иттербием. Цифрами обозначены дисперсионные характеристики волн и соответствующие им характеристики затухания.
Рис. 13. Характеристики: а – дисперсии и б – затухания первых трех волн воздушного цилиндрического волновода радиусом a = 30 нм, окруженного иттербием
Fig. 13. Characteristics: a – dispersion and b – attenuation of the first three waves of an air cylindrical waveguide with a radius a = 30 nm, surrounded by ytterbium
С увеличением радиуса воздушного цилиндра увеличивается число волн, распространяющихся в рассматриваемом диапазоне. На рис. 14 приведены зависимости затухания гибридных волн с азимутальным индексом при длине волновода 1 нм.
Рис. 14. Характеристики затухания семи волн воздушного волновода радиусом a = 50 нм, окруженного иттербием, при длине волновода 1 нм
Fig. 14. Attenuation characteristics of seven waves of an air waveguide with a radius a = 50 nm, surrounded by ytterbium, with a waveguide length of 1 nm
Расчет характеристик взаимодействия рентгеновского излучения с композитными материалами с использованием специализированных САПР
Для решения различных задач электродинамики мощным инструментом, позволяющим производить трехмерное моделирование электромагнитных процессов, являются современные системы автоматизированного проектирования (САПР). Рассмотрим возможность и эффективность применения САПР при проектировании композитных покрытий, предназначенных для защиты от электромагнитного излучения рентгеновского диапазона: многослойных пленочных покрытий и однослойных покрытий, имеющих двумерную периодическую «дырчатую» структуру.
САПР CST Studio не позволяет производить расчеты на частотах, соответствующих мягкому рентгеновскому диапазону, поэтому при моделировании применялся принцип электродинамического подобия: уменьшали частоту, увеличивая при этом геометрические размеры. При этом частотные зависимости параметров материалов брали из интересующего нас мягкого рентгеновского диапазона (значениям параметров на крайних расчетных частотах ставили в соответствие значения на крайних частотах рентгеновского диапазона и между крайними частотами воспроизводили частотные зависимости). Для моделирования структуры бесконечного размера с периодически повторяющимися фрагментами были использованы каналы Флоке [15]. Для выбранных размеров ячейки Флоке можно определить минимальное число мод - фундаментальные типы волн Флоке и что соответствует моделированию падающей на поверхность плоской волны. Направление падения плоской волны задается перпендикулярным поверхности многослойного покрытия.
Расчет показал наличие аномальных пиков в характеристиках, что говорит о недостаточной точности вычислений. Для их устранения приходится уменьшать размеры ячеек вычислительной сетки. Параметр точности определяется как количество ячеек разбиения на одну длину волны. Увеличение количества ячеек на одну длину волны производилось от 8 до 24. По-видимому, для расчета ослабления излучения при прохождении одно- и многослойных структур производить расчеты данной САПР нецелесообразно ввиду очень высоких временных затрат.
Рассмотрим применение указанной САПР для исследования прохождения излучения через материал с двумерно-периодической системой цилиндрических воздушных каналов, рис. 15. Метод анализа с граничными условиями в направлениях и Unit Cell позволяет анализировать структуру, бесконечно достраиваемую в этих направлениях.
Рис. 15. Модель защитного материала с отверстиями с выделенной единичной ячейкой Флоке
Fig. 15. Model of a protective material with holes with a selected single Floquet cell
Исследовались свойства слоя из редкоземельного материала – иттербия. Свойства материала были взяты в диапазоне длин волн (10–20) нм и перенесены по принципу электродинамического подобия в диапазон длин волн (1–2) мм. Отверстия в материале представляли собой цилиндры, расположенные перпендикулярно слою материала.
Размеры ячейки в направлении и мм. Радиус отверстия мм (в рентгеновском диапазоне с учетом коэффициента подобия это соответствует 6 нм) был подобран так, чтобы на меньшей из рассматриваемых частот 150 ГГц осуществлялся режим распространения основного типа волны в круглом волноводе. Толщина слоя мм.
На рис. 16 приведены сравнительные характеристики зависимостей потерь (в дБ/мм) мощности плоской волны при прохождении сплошного слоя и такого же слоя с отверстиями. Введение сплошных цилиндрических отверстий, перпендикулярных к поверхности слоя, приводит лишь к уменьшению потерь в материале. Следовательно, защитные свойства слоя в целом становятся ниже. Но знания о погонных потерях в подобных материалах можно использовать для более сложных структур, к примеру, в которых волноводы будут иметь загиб в материале на Такой вырез в материале позволит «увести» волну в нужном направлении. Возникает вопрос о том, каким должен быть критический радиус изгиба для подобного волновода.
Рис. 16. Погонные потери (в дБ/мм) для сплошного слоя и слоя с отверстиями
Fig. 16. Linear loss (in dB/mm) for a continuous layer and a layer with holes
В литературе [16] обсуждается, каким должен быть допустимый радиус кривизны изогнутых пленочных диэлектрических слоев. Радиус кривизны должен быть достаточно большим:
(16)
где d - толщина слоя, - угол падения, удовлетворяющий условию полного внутреннего отражения. При этом условии оба угла на верхней и нижней границах близки друг к другу.
Показатель преломления выбираем наименьшим в рассматриваемом диапазоне частот. Если то мм, что соответствует 29 нм в интересующем в данном исследовании диапазоне.
Заключение
Рассмотрены методы расчета некоторых возможных вариантов исполнения композитных покрытий, призванных защищать радиоэлектронную аппаратуру от воздействия электромагнитного излучения в мягком рентгеновском диапазоне. Показано, что для анализа прохождения плоской волны через многослойную плоскопараллельную структуру с одинаковой расчетной эффективностью и точностью можно использовать подходы на основе электродинамической модели и модели, составленной с использованием теории графов. Применять САПР для расчета таких структур нецелесообразно, ввиду того что при уменьшении размера ячейки Флоке по отношению к длине волны значительно увеличивается время счета.
Как один из вариантов композитного материала предлагается использовать пленку, выполненную из редкоземельного элемента, имеющую в своей структуре воздушные каналы, изогнутые под прямым углом с радиусом изгиба, превышающим критический. В таких волноводах волны, как показали расчеты, имеют очень большое погонное затухание. Они будут возбуждаться на границе «защитное покрытие – воздух» и уносить с собой значительную часть энергии падающей волны в направлении, параллельном пленке.
На основе электродинамической модели может быть рассмотрен одиночный воздушный волновод. При использовании САПР возможен расчет двумерно-периодической системы воздушных отверстий в материале. Однако существенным недостатком является то, что в САПР нельзя рассмотреть падение на структуру плоской волны под произвольным углом.
Sobre autores
Yury Belov
Nizhny Novgorod State Technical University named after R.E. Alekseev
Email: physics@nntu.ru
Doctor of Technical Sciences, professor of the Department of Physics and Technology of Optical Communications
Rússia, 24, Minin Street, Nizhny Novgorod, 603950Vladimir Biryukov
Nizhny Novgorod State Technical University named after R.E. Alekseev
Email: birukovvv@mail.ru
Doctor of Technical Sciences, professor of the Department of Physics and Technology of Optical Communications
Rússia, 24, Minin Street, Nizhny Novgorod, 603950Vasily Malakhov
Nizhny Novgorod State Technical University named after R.E. Alekseev
Email: mr.vasmal@mail.ru
Doctor of Technical Sciences, professor of the Department of Physics and Technology of Optical Communications
Rússia, 24, Minin Street, Nizhny Novgorod, 603950Irina Malakhova
Nizhny Novgorod State Technical University named after R.E. Alekseev
Email: physics@nntu.ru
master of the Department of Physics and Technology of Optical Communications
Rússia, 24, Minin Street, Nizhny Novgorod, 603950Maria Nechaeva
Nizhny Novgorod State Technical University named after R.E. Alekseev; Branch of FSUE RFNC-VNIIEF «NIIIS named after Yu.E. Sedakov»
Email: m_myakisheva@inbox.ru
post-graduate student of the Department of Physics and Technology of Optical Communications
Rússia, 24, Minin Street, Nizhny Novgorod, 603950; 47, Tropinin Street, Nizhny Novgorod, 603137Yuliya Raevskaya
Nizhny Novgorod State Technical University named after R.E. Alekseev
Email: physics@nntu.ru
Candidate of Technical Sciences, associate professor of the Department of Physics and Technology of Optical Communications
Rússia, 24, Minin Street, Nizhny Novgorod, 603950Aleksey Raevsky
Nizhny Novgorod State Technical University named after R.E. Alekseev
Email: raevsky_as@mail.ru
Doctor of Physical and Mathematical Sciences, head of the Department of Physics and Technology of Optical Communications
Rússia, 24, Minin Street, Nizhny Novgorod, 603950Andrey Sedakov
Branch of FSUE RFNC-VNIIEF «NIIIS named after Yu.E. Sedakov»
Email: physics@nntu.ru
first deputy director of FSUE RFNC-VNIIEF – Director of branch of FSUE RFNC-VNIIEF «NIIIS named after Yu.E. Sedakov», Doctor of Technical Sciences, professor of the Department of Physics and Technology of Optical Communications
Rússia, 47, Tropinin Street, Nizhny Novgorod, 603137Aleksey Titarenko
Nizhny Novgorod State Technical University named after R.E. Alekseev
Autor responsável pela correspondência
Email: physics@nntu.ru
Doctor of Technical Sciences, professor of the Department of Physics and Technology of Optical Communications
Rússia, 24, Minin Street, Nizhny Novgorod, 603950Bibliografia
- Sonsilphong A., Wongkasem N. Light-weight radiation protection by non-lead materials in X-ray regimes. 2014 International Conference on Electromagnetics in Advanced Applications (ICEAA), 2014, pp. 656–658. DOI: https://doi.org/10.1109/ICEAA.2014.6903939
- McCaffrey J.P. et al. Radiation attenuation by lead and nonlead materials used in radiation shielding garments. Med. Phys., 2007, vol. 34, no. 2, pp. 530–537. DOI: https://doi.org/10.1118/1.2426404
- Nambiar S., Yeow J.T.W. Polymer-composite materials for radiation protection. ACS Appl. Mater. Interfaces, 2012, vol. 4, no. 11, pp. 5717–5726. DOI: https://doi.org/10.1021/am300783d
- Prokhorenko E.M. et al. Radiation-protective properties of composition materials. East Eur. J. Phys., 2015, vol. 2, no. 1, pp. 41–45. DOI: https://doi.org/10.26565/2312-4334-2015-1-06
- Kohn V.G. On the theory of reflectivity by an XRay multilayer mirror. Phys. Status Solidi B, 1995, vol. 187, no. 1, pp. 61–70. DOI: https://doi.org/10.1002/pssb.2221870105
- Veselov G.I., Raevskiy S.B. Layered Metal-Dielectric Waveguides. Moscow: Radio i svyaz’, 1988, 248 p. (In Russ.)
- Silaev M.A. Bryantsev S.F. Application of Matrices and Graphs to the Analysis of Microwave Devices. Moscow: Sovetskoe radio, 1970, 248 p. (In Russ.)
- Semenov N.A. Technical Electrodynamics. Moscow: Svyaz’, 1973, 480 p. (In Russ.)
- Neganov V.A. et al. Electrodynamics and Propagation of Radio Waves. Moscow: Radiotekhnika, 2009, 744 p. (In Russ.)
- X-Ray Interactions with Matter / CXRO. URL: http://henke.lbl.gov/optical_constants/
- Vishnyakov E.A. et al. Aperiodic antimony-based multilayer normal-incidence mirrors for the spectral region 8–13 nm. Kvantovaya elektronika, 2011, vol. 41, no. 1, pp. 75–80. (In Russ.)
- Muller D.E. A method for solving algebraic equations using an automatic computer. Mathematical Tables and Other Aids to Computation, 1956, vol. 10, no. 10, pp. 208–215. DOI: https://doi.org/10.2307/2001916
- Britov I.E., Raevskiy A.S., Raevskiy S.B. Purposeful search for complex waves in guiding electrodynamic structures. Antenny, 2003, no. 5 (72), pp. 64–71. (In Russ.)
- Malakhov V.A., Raevskiy A.S., Raevskiy S.B. On the solution of dispersion equations for waves of guiding electrodynamic structures on the complex planes of wave numbers. Zhurnal vychislitel’noy matematiki i matematicheskoy fiziki, 2015, vol. 55, no. 6, pp. 1028–1038. DOI: https://doi.org/10.7868/S0044466915060095 (In Russ.)
- Kurushin A.A. Using Floquet channels to simulate a periodic nanostructure. Zhurnal radioelektroniki, 2010, no. 11, pp. 1–22. (In Russ.)
- Unger Kh.G. Planar And Fiber Optical Waveguides. Moscow: Mir, 1980, 656 p. (In Russ.)
Arquivos suplementares

















