Electromagnetic TE- and TM-waves propagation in a plane waveguide covered with graphene characterized by nonlinear conductivity
- Authors: Smirnov Y.G.1, Tikhov S.V.1
-
Affiliations:
- Penza State University
- Issue: Vol 26, No 4 (2023)
- Pages: 68-77
- Section: Articles
- URL: https://journal-vniispk.ru/1810-3189/article/view/253828
- DOI: https://doi.org/10.18469/1810-3189.2023.26.4.68-77
- ID: 253828
Cite item
Full Text
Abstract
Background. Guiding properties of waveguiding structures with graphene are of great importance for various applications and have been studied in many papers. In all such studies, graphene was characterized, as a rule, by linear surface conductivity. However, if the intensity of an electromagnetic wave is large enough, the interaction of graphene with the electromagnetic wave becomes nonlinear; in this case, it is more correct to describe graphene by nonlinear conductivity.
Aim. This work is aimed at studying the influence of cubic nonlinearity of graphene, corresponding to the so-called self-action effects (not affecting the frequency of the incident wave), on the propagation of TE- and TM-polarized waves in the structure, which is a plain dielectric layer covered on one side by graphene.
Methods. In this study, the guiding properties of the waveguide are studied using primarily an analytical approach. Thus, from Maxwell's equations, material equations and boundary conditions, a couple of dispersion equations for TE-and TM-polarized waves is derived and then its solvability is studied. In addition, some numerical experiments are carried out in the study.
Results. The dispersion equations of the studied waveguiding structure for TE- and TM-polarized waves are derived in explicit form. Studying analytically obtained equations, conditions for waveguide parameters are found, providing the existence of a given number of waveguide modes. In addition, some numerical results are obtained in the paper, which give an idea of the influence of nonlinear effects on the electromagnetic waves propagating in the structure.
Conclusion. The results obtained in this paper reveal two effects related to the cubic nonlinearity of graphene. Firstly, in a plain dielectric layer with graphene coating in the strong nonlinear regime TE-waves with longer wavelength and TM-waves with shorter wavelength propagate compared to electromagnetic waves that propagate in the same structure in the linear regime. Secondly, the strong cubic nonlinearity leads to a greater localization of the electromagnetic wave within the waveguiding structure.
Full Text
Введение
В настоящее время большое внимание уделяется изучению двумерных материалов и двумерных электронных компонентов. Среди прочих двумерных материалов особое место занимает графен, полученный экспериментально в 2004 г. Геймом и Новоселовым [1]. Графен представляет собой слой атомов углерода, образующих гексагональную решетку. Благодаря своей особой структуре графен обладает рядом уникальных электрических, тепловых, механических и оптических свойств, которые делают его весьма перспективным для различных применений [2]. Так, в фотонике и оптоэлектронике активно изучаются волноведущие структуры с графеном самых разных форм, начиная от простых прямоугольных и круглых цилиндрических волноводов и заканчивая волноводами весьма экзотических конфигураций, которые могут служить эффективными фотодетекторами, модуляторами, поляризаторами, сенсорами и т. д. [3].
Одним из наиболее важных свойств графена является его способность взаимодействовать с электромагнитными волнами в широком диапазоне частот, в частности, в диапазоне частот от 0,1 до 10 ТГц. Как известно, терагерцовые технологии находят широкое применение в различных областях науки и техники. Так, например, они используются для химического и биологического зондирования, формирования изображений в ближней зоне, спектроскопии, телекоммуникации и т. д. Однако разработка эффективных электрических компонентов, способных обрабатывать и передавать ТГц-волны, до сих пор остается серьезной проблемой, тормозящей развитие ТГц-технологий. Считается, что графен, обладающий почти чисто мнимой поверхностной проводимостью в этом диапазоне частот, может быть полезен для решения указанной проблемы [4; 5].
В работах [6; 7] впервые было теоретически предсказано, что графен должен обладать сильной кубической нелинейностью, обусловленной взаимодействием носителей заряда в графене с электромагнитным полем. С тех пор множество исследований выявили различные нелинейные свойства графена, включая насыщающееся поглощение и нелинейное преломление, генерацию высших гармоник и генерацию комбинационных гармоник. В частности, на технологически важных ТГц-частотах экспериментально было обнаружено насыщение поглощения в легированном графене [8] и генерация третьей гармоники [9].
В данной работе исследуется распространение монохроматических терагерцовых ТЕ- и ТМ-поляризованных волн в плоском диэлектрическом слое, покрытым с одной стороны слоем графена. Как известно, волноводные свойства графен-интегрированных структур имеют большое значение для различных приложений и исследовались многими авторами [10–16]. Так, в работах [10–12] изучалась возможность распространения ТЕ- и ТМ-поляризованных волн, локализованных на слое графена, с дисперсией в терагерцовом диапазоне электромагнитного излучения. Распространение электромагнитных волн, локализованных в плоской структуре, образованной двумя графеновыми слоями и разделяющим их тонким слоем диэлектрика, рассматривалось в работах [13–15]. В работе [16] авторы исследуют распространение электромагнитных волн в структуре, состоящей из набора чередующихся слоев диэлектрика и графена.
Настоящая работа имеет следующую важную особенность. Мы учитываем нелинейное взаимодействие графена с электромагнитной волной. Точнее, мы предполагаем, что проводимость графена представляет собой сумму двух членов: первый - константа, а второй зависит от квадрата модуля тангенциальной составляющей электрического поля. Такая нелинейность отвечает так называемым эффектам самовоздействия в графене. Другие нелинейные эффекты, такие как генерация высших гармоник, в нашем исследовании не рассматриваются. В работе получено дисперсионное уравнение, позволяющее для волновода с заданными характеристиками определить его постоянные распространения. Следует отметить, что для получения дисперсионного уравнения в явном виде мы вынуждены наложить некоторые ограничения на проводимость графена, которые более подробно обсуждаются ниже. Тем не менее дисперсионное уравнение, записанное в явном виде, является важным результатом. Исследуя это уравнение численно или аналитически, можно определить важные свойства рассматриваемой волноведущей структуры.
1. Электродинамическая постановка задачи
Рассмотрим монохроматические ТЕ- и ТМ-поляризованные электромагнитные волны
(1)
где есть круговая частота; – волновое число (постоянная распространения), и есть комплексные амплитуды, причем компоненты векторов зависят лишь от одной (поперечной) пространственной координаты x, распространяющиеся в плоском диэлектрическом волноводе расположенном между двумя полупространствами и На границе волновода находится слой графена.
Волновод заполнен однородной изотропной средой, характеризующейся постоянной диэлектрической проницаемостью Полупространства и заполнены однородными изотропными средами, которые характеризуются постоянными диэлектрическими проницаемостями и соответственно, причем Всюду магнитная проницаемость где есть магнитная постоянная.
Комплексные амплитуды удовлетворяет уравнениям Максвелла
(2)
где есть диэлектрическая постоянная и
Амплитуды удовлетворяют условию затухания на бесконечности. Касательная составляющая вектора непрерывна на обеих границах волновода. Касательная составляющая вектора непрерывна на границе но терпит разрыв на границе с графеном так, что справедлива формула
где скобка обозначает векторное произведение, есть единичный вектор нормали, направленный вдоль оси x, величины и есть значения магнитного поля соответственно над и под поверхностью величина есть поверхностная проводимость графена, есть касательная составляющая электрического поля.
Проводимость графена описывается формулой
где и есть некоторые постоянные [6; 7].
Линейная часть проводимости графена определяется по формуле
(3)
и вычисляется по формуле
где есть заряд электрона; – постоянная Больцмана, есть приведенная постоянная Планка; – химический потенциал; есть температура и – время релаксации носителей заряда в графене [17; 18]. Подчеркнем, что используемая нами формула для линейной проводимости графена является «приближенной». Во-первых, она не содержит слагаемого, отвечающего межзонной проводимости в графене. Это оправдано при энергиях фотонов поскольку межзонные переходы в этом случае заблокированы в силу принципа запрета Паули [19]. Указанное неравенство, как правило, выполняется в терагерцовом диапазоне частот. Во-вторых, мы пренебрегаем действительной частью внутризонной проводимости графена или, другими словами, не учитываем поглощения в графене. Это допустимо в терагерцовом диапазоне частот, где графен обладает сильным плазмонным откликом и гораздо меньшими потерями. Кроме того, отметим, что мнимая часть внутризонной проводимости положительна в терагерцовом диапозоне частот.
Для вычисления нелинейного коэффициента предлагаются разные формулы [6; 7; 20]. В данном исследовании мы будем пспользовать формулу, представленную в работе [7]. В соответсвие с ней
(4)
где есть скорость Ферми в графене, а есть скорость света в вакууме.
Задача заключается в нахождении таких значений волнового числа при которых существует электромагнитное поле (1), удовлетворяющее системе уравнениям Максвелла (2), условию затухания на бесконечности и всем приведенным выше условиям сопряжениям. Числа называются постоянными распространения волновода. Знание полного набора постоянных распространения необходимо при проектировании волноведущих структур.
Ниже будем использовать следующие обозначения
(5)
где
(6)
2. ТЕ-волны
Пусть электромагитные волны (1) ТЕ-поляризованы, т. е. комлексные амлпитуды и имеют вид
В этом случае задача о распространении электромагнитных волн сводится к задаче которая заключается в нахождении таких, что существует решение дифференциального уравнения
где удовлетворяющее краевым условиям
(7)
где и определены в (5) и (6), соответственно.
Кроме того, мы вводим дополнительное условие для нахождения дискретного набора решений задачи, что соответствует физическому процессу распространения волн в волноведущих структурах. В качестве такого условия выберем
где есть некоторая постоянная.
Задачу можно отнести к специальному классу задач на собственные значения с некоторым дополнительным условием. Число являющееся решением задачи будем называть собственным значением задачи а функцию будем называть собственной функцией задачи
Поскольку условие (7) содержит кубический член то задача является нелинейной. Она представляет новый класс нелиненейных задач с нелинейными граничными условиями.
Если в (7) положить то задача вырождается в линейную задачу. Назовем ее задачей Подчеркнем, что условие (7) в линейной задаче не требуется и потому может быть опущено.
Задача также, как и задача описывает распространение монохроматической ТЕ-поляризованной волны в плоском диэлектрическом волноводе, покрытом слоем графена, который харакетризуется линейной поверхностной проводимостью.
Решая представленное выше уравнения и используя краевые условия, получаем для задачи дисперсионное уравнение вида
(8)
где определена в (3), а определяются как
здесь где есть значение касательной компоненты вектора на границе Дисперсионное уравнение (8) позволяет для ТЕ-волны заданной частоты и волновода заданной толщины определить постоянные распространения волновода (прочие параметры также считаются фиксированными).
Касательная компонента электрического поля определяется по формуле
Задача исследована в работе [21], где получено дисперсионное уравнение, аналогичное уравнению (8). Однако, в работе [21] дисперсионное уравнение записано несколько в ином виде, а именно, используя величины, нормированные на см. формулу (6), что может быть неудобно для таких расчетов, в которых фиксирована толщина волновода и изменяется частота электромагнитной волны. Уравнение (8) этого недостатка не имеет.
Исследуя уравнение (8), можно получить достаточные условия для параметров волновода, при которых в нем могут распространяться монохроматические ТЕ-поляризованные электромагнитные волны. Следующие два утверждения дают такие условия.
Утверждение 1. Пусть есть некоторое целое число. Если параметры волновода удовлетворяют условиям
то существует по-крайней мере постоянных распространения отвечающих собственным модам волновода
Утверждение 2. Пусть есть некоторое целое число. Если параметры волновода удовлетворяют условиям
то существует по-крайней мере постоянных распространения отвечающих собственным модам волновода
Стоит отметить, что второе условие в последней формуле можно заменить более грубым, но в то же время и более простым неравенством вида
3. ТМ-волны
Пусть электромагитные волны (1) ТМ-поляризованы, т. е. комлексные амлпитуды и имеют вид
В этом случае задача о распространении электромагнитных волн сводится к задаче которая заключается в нахождении таких, что существуют функции удовлетворяющие системе уравнений
где и краевым условиям
(9)
где и определены выше.
Кроме того, мы вводим дополнительное условие для нахождения дискретного набора решений задачи, что соответствует физическому процессу распространения волн в волноведущих структурах. В качестве такого условия выберем
где есть некоторая постоянная.
Задачу также как и задачу можно отнести к специальному классу задач на собственные значения, где вводится некоторое дополнительное условие. Число будем называть собственным значением задачи а функции – собственными функциями задачи
Если в (9) положить то задача вырождается в линейную задачу, которую назовем задачей Заметим, что условие (9) в линейной задаче не требуется и потому может быть опущено.
Задача также как и задача описывает распространение монохроматической ТМ-поляризованной волны в плоском диэлектрическом волноводе, покрытом слоем графена, который харакетризуется линейной поверхностной проводимостью.
Решая указанную выше систему уравнений и используя краевые условия, получаем для задачи дисперсионное уравнение вида
(10)
где определяются как
здесь и – значение нормальной составляющей слева от границы другие величины определены выше.
Компоненты электрического поля и определяются по формулам
Исследуя уравнение (10), можно получить достаточные условия для параметров волновода, при которых в нем могут распространяться монохроматические ТМ-поляризованные электромагнитные волны. Действительно, имеют место утверждения 3 и 4.
Утверждение 3. Пусть есть некоторое целое число. Если параметры волновода удовлетворяют условиям
то существует не менее постоянных распространения отвечающих собственным модам волновода
Утверждение 4. Пусть есть некоторое целое число Если параметры волновода удовлетворяют условиям
то существует по-крайней мере постоянных распространения отвечающих собственным модам волновода
4. Численные результаты
Ниже представлены некоторые численные результаты.
В вычислениях мы использовали следующие значения для диэлектрических проницаемостей: , Проницаемостью обладает кремний а проницаемостью обладает диоксид кремния [22; 23].
Для нахождения и соответственно по формулам (3) и (4) использовались следующие параметры: ps. Время релаксации носителей заряда в графене выбрано в соответствие с [24].
На рис. 1–4 представлены дисперсионные кривые для рассматриваемого плоского волновода с графеновым покрытием. Как известно, дисперсионные кривые строятся как зависимость волнового числа (постоянной распространения) либо от частоты волны либо от толщины волновода h. Мы построили обе этих зависимости. На рис. 1 и 2 представлена зависимость при фиксированной толщине волновода, а на рис. 3 и 4 представлена зависимость при фиксированной частоте электромагнитной волны.
Вертикальная прямая на рис. 1, 2 отвечает соответственно ТЕ- и ТМ-поляризованным волнам с частотой 4 ТГц. Вертикальная прямая мкм на рис. 3, 4 соответствует волноводу толщиной 20 мкм. Точки пересечения дисперсионных кривых с этими прямыми, обозначенные на рисунках ромбами, являются постоянными распространения волновода.
Рис. 1. Дисперсионные кривые задач (синие) и (красные) для волновода толщиной мкм. Ромбами обозначены постоянные распространения (в нелинейном режиме) и (в линейном режиме) волновода
Fig. 1. Dispersion curves of problems (blue) and (red) for a waveguide of thickness Diamonds denote propagation constants (in the nonlinear regime) and (in the linear one) of the waveguide
Рис. 2. Дисперсионные кривые задач (синие) и (красные) для волновода толщиной мкм. Ромбами обозначены постоянные распространения (в нелинейном режиме) и (в линейном режиме) волновода
Fig. 2. Dispersion curves of problems (blue) and (red) for a waveguide of thickness Diamonds denote propagation constants (in the nonlinear regime) and (in the linear one) of the waveguide
Рис. 3. Дисперсионные кривые задач (синие) и (красные) для электромагнитной волны с частотой ТГц. Ромбами обозначены постоянные распространения (в нелинейном режиме) и (в линейном режиме) волновода
Fig. 3. Dispersion curves of problems (blue) and (red) for an electromagnetic wave with frequency THz. Diamonds denote propagation constants (in the nonlinear regime) and (in the linear one) of the waveguide
Рис. 4. Дисперсионные кривые задач (синие) и (красные) для электромагнитной волны с частотой ТГц. Ромбами обозначены постоянные распространения (в нелинейном режиме) и (в линейном режиме) волновода
Fig. 4. Dispersion curves of problems (blue) and (red) for an electromagnetic wave with frequency THz. Diamonds denote propagation constants (in the nonlinear regime) and (in the linear one) of the waveguide
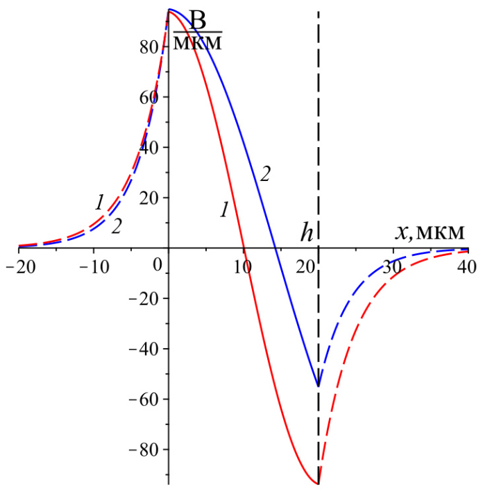
На рис 5–7 представлены компоненты электрического поля – функция в случае ТЕ-поляризации и в случае ТМ-поляризации – для постоянных распространения, отмеченных на рис. 1–4 ромбами.
Рис. 5. Касательная компонента электрического поля для постоянной распространения (синяя кривая) в нелинейном режиме (задача и постоянной распространения (красная кривая) в линейном режиме (задача которые отмечены на рис. 1, 3 синим и красным ромбами
Fig. 5. Tangential component of electric field for propagation constant (blue curve) in the nonlinear regime (problem and propagation constant (red curve) in the linear regime (problem which are denoted in figs. 1, 3 by blue and red diamonds
Рис. 6. Компонента электрического поля для постоянной распространения (синяя кривая) в нелинейном режиме (задача и постоянной распространения (красная кривая) в линейном режиме (задача которые отмечены на рис. 2, 4 синим и красным ромбами
Fig. 6. Component of the electric field for propagation constant (blue curve) in the nonlinear regime (problem and propagation constant (red curve) in the linear regime (problem which are denoted in figs. 2, 4 by blue and red diamonds
Рис. 7. Компонента электрического поля для постоянной распространения (синяя кривая) в нелинейном режиме (задача и постоянной распространения (красная кривая) в линейном режиме (задача которые отмечены на рис. 2, 4 синим и красным ромбами
Fig. 7. Component of the electric field for propagation constant (blue curve) in the nonlinear regime (problem and propagation constant (red curve) in the linear regime (problem which are denoted in figs. 2, 4 by blue and red diamonds
Заключение
В данной работе, используя аналитический подход, исследовано распространение монохроматических ТЕ- и ТМ-поляризованных электромагнитных волн в плоском диэлектрическом слое, покрытом графеном. Важной особенностью данного исследования является учет кубической нелинейности графена, отвечающей так называемым эффектам самовоздействия, которые не влияют на частоту падающей электромагнитной волны.
В работе получены в явном виде пара дисперсионных уравнений (для ТЕ- и ТМ-волн), вполне описывающих волноводные свойства рассматриваемой структуры. Исследуя эти уравнения аналитически, найдены условия на параметры волновода, обеспечивающие существование заданного числа волноводных мод.
Численные результаты, представленные в данной работе, дают некоторое представление о том, как нелинейность графена влияет на электромагнитные волны, распространяющие в структуре. Например, на рис. 1, 3 видно, что синие дисперсионные кривые задачи расположены ниже, чем красные дисперсионные кривые задачи На рис. 2, 4 видно, что синие дисперсионные кривые задачи расположены выше, чем красные дисперсионные кривые задачи Принимая во внимание связь между волновым числом и длиной волны, получается, что в плоском диэлектрическом волноводе с графеновым покрытием в сильном нелинейном режиме распространяются ТЕ-волны с большей длиной волны и ТМ-волны с меньшей длиной волны по сравнению с ТЕ- и ТМ-волнами, распространяющимися в том же волноводе в линейном режиме. Кроме того, сильная нелинейность графена приводит к большей локализации электромагнитного поля внутри волновода, см. рис. 5–7.
About the authors
Yury G. Smirnov
Penza State University
Author for correspondence.
Email: smirnovyug@mail.ru
ORCID iD: 0000-0001-9040-628X
SPIN-code: 1415-9378
Scopus Author ID: 8341
Doctor of Physical and Mathematical Sciences, professor of the Department of Mathematics and Supercomputing
Russian Federation, Penza, Krasnay Street 40, 440026Stanislav V. Tikhov
Penza State University
Email: Tik.Stanislav2015@yandex.ru
ORCID iD: 0000-0002-8495-0569
SPIN-code: 7767-2367
Scopus Author ID: 1052340
PhD student of the Department of Mathematics and Supercomputing
Russian Federation, Penza, Krasnay Street 40, 440026References
- K. Geim and K. S. Novoselov, “The rise of graphene,” Nature Materials, vol. 6, no. 6, pp. 183–191, 2007, doi: https://doi.org/10.1038/nmat1849.
- H. Castro Neto et al., “The electronic properties of graphene,” Reviews of Modern Physics, vol. 81, no. 1, pp. 109–162, 2009, doi: https://doi.org/10.1103/RevModPhys.81.109.
- K. Chang et al., “Graphene-integrated waveguides: Properties, preparation, and applications,” Nano Research, vol. 15, no. 11, pp. 9704–9726, 2022, doi: https://doi.org/10.1007/s12274-022-4539-4.
- X. He et al., “Ultralow loss graphene-based hybrid plasmonic waveguide with deep-subwavelength confinement,” Optics Express, vol. 26, no. 8, pp. 10109–10118, 2018, doi: https://doi.org/10.1364/OE.26.010109.
- Huang and C. Huang, “Terahertz waveguides by coupling plasmon polaritons of cylindrical metal wires and a graphene-embedded slot waveguide,” Advanced Photonics Research, vol. 4, no. 3, p. 2200287, 2023, doi: https://doi.org/10.1002/adpr.202200287.
- S. A. Mikhailov, “Non-linear electromagnetic response of graphene,” Europhysics Letters, vol. 79, no. 2, p. 27002, 2007, doi: https://doi.org/10.1209/0295-5075/79/27002.
- S. A. Mikhailov and K. Ziegler, “Nonlinear electromagnetic response of graphene: frequency multiplication and self-consistent field effects,” Journal of Physics: Condensed Matter, vol. 20, no. 38, p. 384204, 2008, doi: https://doi.org/10.1088/0953-8984/20/38/384204.
- M. J. Paul et al., “High-field terahertz response of graphene,” New Journal of Physics, vol. 15, no. 8, p. 085019, 2013, doi: https://doi.org/10.1088/1367-2630/15/8/085019.
- H. A. Hafez et al., “Extremely efficient terahertz high-harmonic generation in graphene by hot Dirac fermions,” Nature, vol. 561, no. 7724, pp. 507–511, 2018, doi: https://doi.org/10.1038/s41586-018-0508-1.
- L. Huawei et al., “Graphene surface plasmon polaritons with opposite in-plane electron oscillations along its two surfaces,” Applied Physics Letter, vol. 107, no. 9, p. 091602, 2015, doi: https://doi.org/10.1063/1.4929886.
- G. Choon How, C. Hong Son, and L. Er Ping, “Synthesis of highly confined surface plasmon modes with doped graphene sheets in the midinfrared and terahertz frequencies,” Physical Review B, vol. 85, no. 12, p. 125431, 2012, doi: https://doi.org/10.1103/PhysRevB.85.125431.
- Zhu et al., “Nanoscale dielectric-graphene-dielectric tunable infrared waveguide with ultrahigh refractive indices,” Optics Express, vol. 21, no. 14, pp. 17089–17096, 2013, doi: https://doi.org/10.1364/OE.21.017089.
- Svintsov et al., “Voltage-controlled surface plasmon-polaritons in double graphene layer structures,” Journal of Applied Physics, vol. 113, no. 5, p. 053701, 2013, doi: https://doi.org/10.1063/1.4789818.
- M. B. Belonenko, N. G. Lebedev, and N. N. Yanyushkina, “Solitons in a system of coupled graphene waveguides,” Physics of the Solid State, vol. 54, no. 1, pp. 174–177, 2012, doi: https://doi.org/10.1134/S1063783412010052.
- P. I. Buslaev et al., “Plasmons in waveguide structures formed by two graphene layers,” JETP Letters, vol. 97, no. 9, pp. 535–539, 2013, doi: https://doi.org/10.1134/S0021364013090063.
- A. Evseev, S. V. Eliseeva, and D. I. Sementsov, “Waves in a plane graphene - dielectric waveguide structure,” The European Physical Journal Applied Physics, vol. 80, no. 1, p. 10501, 2017, doi: https://doi.org/10.1051/epjap/2017170167.
- W. Hanson, “Dyadic Green’s functions and guided surface waves for a surface conductivity model of graphene,” Journal of Applied Physics, vol. 103, no. 6, p. 064302, 2008, doi: https://doi.org/10.1063/1.2891452.
- L. A. Falkovsky, “Optical properties of graphene,” Journal of Physics: Conference Series, vol. 129, no. 1, p. 012004, 2008, doi: https://doi.org/10.1088/1742-6596/129/1/012004.
- S. Winnerl et al., “Carrier relaxation in epitaxial graphene photoexcited near the Dirac point,” Physical Review Letters, vol. 107, no. 23, p. 237401, 2011, doi: https://doi.org/10.1103/PhysRevLett.107.237401.
- J. L. Cheng, N. Vermeulen, and J. E. Sipe, “Third order optical nonlinearity of graphene,” New Journal of Physics, vol. 16, no. 5, p. 053014, 2014, doi: https://doi.org/10.1088/1367-2630/16/5/053014.
- Y. Smirnov and S. Tikhov, “The nonlinear eigenvalue problem of electromagnetic wave propagation in a dielectric layer covered with graphene,” Photonics, vol. 10, no. 5, p. 523, 2023, doi: https://doi.org/10.3390/photonics10050523.
- Ronne et al., “Investigation of the temperature dependence of dielectric relaxation in liquid water by THz reflection spectroscopy and molecular dynamics simulation,” The Journal of Chemical Physics, vol. 107, no. 14, pp. 5319–5331, 1997, doi: https://doi.org/10.1063/1.474242.
- L. Davies et al., “Temperature-dependent refractive index of quartz at terahertz frequencies,” Journal of Infrared, Millimeter, and Terahertz Waves, vol. 39, no. 12, pp. 1236–1248, 2018, doi: https://doi.org/10.1007/s10762-018-0538-7.
- T. Otsuji et al., “Graphene-based devices in terahertz science and technology,” Journal of Physics D: Applied Physics, vol. 45, no. 30, p. 303001, 2012, doi: https://doi.org/10.1088/0022-3727/45/30/303001.
Supplementary files









