Исследование коэффициентов взаимного влияния в двухполяризационных антенных решетках
- Авторы: Бажанова О.В.1, Кононов А.А.1, Смусева К.В.1, Степкин В.А.1, Усков Г.К.1
-
Учреждения:
- Воронежский государственный университет
- Выпуск: Том 26, № 4 (2023)
- Страницы: 78-87
- Раздел: Статьи
- URL: https://journal-vniispk.ru/1810-3189/article/view/253829
- DOI: https://doi.org/10.18469/1810-3189.2023.26.4.78-87
- ID: 253829
Цитировать
Полный текст
Аннотация
Обоснование. Антенные решетки находят широкое применение в различных областях радиотехники, например в радио- и телекоммуникациях, спутниковых системах связи, и др. Одной из важных характеристик антенной решетки является ее диаграмма направленности. Оценку матриц импеданса, матриц рассеяния, а также парциальных диаграмм направленности обычно производят по результатам численного электродинамического моделирования. В случае большого числа антенных элементов, такое моделирование и оптимизация решетки требует значительного времени.
Цель. Исследование взаимного влияния между двухполяризационными антенными элементами, входящими в состав линейной антенной решетки.
Методы. Моделирование антенных решеток на базе кросс-дипольных элементов проводилось с использованием методов пакетов электродинамического моделирования. Исследование взаимного влияния антенных элементов в составе антенной решетки и верификация разработанной математической модели проводились численными методами.
Результаты. Дана физическая интерпретация тому, что взаимодействие между элементами, работающими в ортогональных поляризациях практически отсутствует, а коэффициенты взаимного влияния убывают с увеличением расстояния между антенными элементами. Предложена упрощенная модель взаимного влияния, позволяющая сократить расчетную сложность задачи определения матриц взаимного влияния.
Заключение. Разработан математический аппарат, позволяющий производить расчет характеристик антенных решеток с большим количеством антенных элементов, проводя при этом электродинамическое моделирование только изолированного антенного элемента и двухэлементной решетки.
Полный текст
Введение
Антенные решетки (АР) находят широкое применение в различных областях радиотехники, например в радио- и телекоммуникациях, системах радиолокации, спутниковых системах связи, беспроводных сетях, радиотелескопах и др. Одной из важных характеристик антенной решетки является ее диаграмма направленности (ДН). Параметры и форма ДН АР могут оказывать существенное влияние на характеристики разрабатываемых радиосистем [1]. Так, например, для повышения пропускной способности MIMO систем связи увеличивают число используемых поляризаций и уменьшают расстояние между антенными элементами решетки, однако при этом начинает проявляться их взаимное влияние [2]. Считается, что в результате этого диаграмма направленности изолированного антенного элемента будет отличаться от ДН того же элемента в составе антенной решетки (парциальной диаграммы направленности) [3]. Причем связь между этими диаграммами направленности описывается с помощью матриц взаимного влияния С [4]. Существует несколько подходов для их определения, например, расчет с помощью матриц импеданса (Z-матрица) или матриц рассеяния (S-матрица) [5–7], либо расчет на основе анализа парциальных диаграмм направленности и диаграмм направленности изолированного антенного элемента [4].
Оценку матриц импеданса, матриц рассеяния, а также парциальных ДН обычно производят по результатам численного электродинамического моделирования. В случае большого числа антенных элементов, такое моделирование требует значительного времени, а оптимизация AP потребует проведения большого числа симуляций.
Таким образом, целью работы являлось исследование взаимного влияния между двухполяризационными антенными элементами, входящими в состав линейной антенной решетки. Предложена модель взаимного влияния АЭ, позволяющая оценить матрицу С и прогнозировать искажения ДН по результатам моделирования изолированного элемента и двухэлементной АР.
1. Исследование взаимного влияния двухполяризационных элементов антенной решетки
Для анализа взаимного влияния в среде электродинамического моделирования была построена модель антенной решетки, состоящей из двух кросс-диполей, поляризации которых были ориентированы горизонтально и вертикально (рис. 1). Длина одного диполя была равна половине рабочей длины волны.
Рис. 1. Антенная решетка, состоящая из двух кросс-дипольных элементов с вертикальной и горизонтальной поляризациями (цифрами указана нумерация портов)
Fig. 1. Antenna array consisting of two cross-dipole elements with vertical and horizontal polarization (numbers indicate port numbering)
В результате моделирования были получены диаграммы направленности изолированных элементов и элементов в составе решетки (парциальные) (рис. 2), соответствующие каждому из четырех портов (в обозначениях рис. 1). Под диаграммой направленности изолированного элемента понимается диаграмма одного антенного элемента в отсутствии других элементов решетки и обозначается где i = 1, 2, …, N (N – число портов, в данном случае равно четырем). Парциальной диаграммой направленности (обозначим, как где j = 1, 2, …, N) называют ДН элемента, находящегося в составе антенной решетки при условии, что остальные антенные элементы этой же решетки нагружены на 50 Ом.
Рис. 2. Диаграммы направленности в горизонтальной плоскости изолированного антенного элемента (пунктирная линия) и элемента в составе решетки (сплошная линия
Fig. 2. Radiation patterns in the horizontal plane of an isolated antenna element (dashed line) and an element in the array (solid line)
Видно, что указанные диаграммы отличаются как по форме, так и параметрам: ширине главного лепестка и максимуму коэффициента усиления. В работе [8] говорится о том, что искажение парциальной ДН за счет взаимного влияния элементов в антенной решетке связано с рассеянием электромагнитных волн ближнего поля на соседних АЭ. При этом результирующая парциальная ДН любого из АЭ может быть представлена в виде суперпозиции изолированных ДН элементов (расположенных в координатах АР). Тогда, связь между этими диаграммами можно записать следующим образом:
(1)
где – коэффициенты взаимного влияния. Здесь через обозначен й набор угловых координат что позволило представить комбинации всех значений углов в виде одномерного массива. В рассматриваемом случае, и тогда размер массива составляет элементов. Таким образом, можно сказать, что физический смысл коэффициентов взаимного влияния заключается в том, что они характеризуют амплитуду и фазу поля, переизлучаемого i-м антенным элементом АР, если запитывается только j-й элемент.
В матричной форме коэффициенты взаимного влияния, парциальные и изолированные ДН имеют вид:
Тогда (1) приобретает следующий вид:
(2)
где С – матрица взаимного влияния.
Для определения матрицы С необходимо умножить обе части выражения (2) на матрицу, обратную В общем случае можно применять операцию псевдообращения, так как она дает возможность получения приближенного решения с минимальной среднеквадратичной ошибкой в случае, когда строгое решение невозможно [7]. Тогда
(3)
где символ «+» обозначает псевдообратную матрицу Мура – Пенроуза.
Для исследуемой решетки, приведенной на рис. 1, был проведен анализ значений элементов матрицы взаимного влияния. Пример вычисленных значений для расстояния между АЭ равного 0,5 длины волны представлены в табл. 1.
Таблица 1. Вычисленных значений для расстояния между АЭ равного 0,5 длины волны
Table 1. Calculated values for a distance between AEs equal to 0,5 wavelengths
1 | 2 | 3 | 4 | |
1 | ||||
2 | ||||
3 | ||||
4 |
Как видно из таблицы, элементы C12, С21, С14, С41, С23, С32, С34, С43 значительно меньше остальных элементов матрицы. Вероятно, это объясняется тем, что указанные элементы выражают связь между АЭ, работающими в разной (причем, ортогональной) поляризации. В исследуемой конфигурации АР, такие АЭ практически не оказывают влияние друг на друга. Для проверки этого предположения были рассчитаны матрицы взаимной связи в отдельности для двух антенных решеток, каждая из которых состояла из двух антенных элементов одинаковой поляризации: два вертикальных диполя и два горизонтальных. Результаты расчета представлены в табл. 2. Для удобства сравнения нумерация портов была сохранена. Как видно, элементы матриц взаимного влияния, рассчитанные для однополяризационных решеток, практически совпали с соответствующими им элементами матрицы для двухполяризационной решетки, что подтвердило предположение о пренебрежимо малом взаимодействии антенных элементов, работающих в разной поляризации.
Таблица 2. Результаты расчета
Table 2. Calculation results
1 | 3 | 2 | 4 | ||
1 | 2 | ||||
3 | 4 |
Далее, в работе было проведено исследование взаимного влияния АЭ в зависимости от расстояния между ними (dX). Оно варьировалось от половины до полутора рабочих длин волн. Для каждого значения расстояния вычислялась матрица взаимного влияния. Графики зависимостей элементов матрицы С, представленные на рис. 3, подтверждают, что с увеличением расстояния между АЭ решетки приводит к значительному уменьшению взаимного влияния. В дальнейшем эти зависимости понадобятся для верификации результатов расчетов с применением предложенной модели.
Рис. 3. Графики зависимостей элементов матрицы С от расстояния между АЭ решетки
Fig. 3. Graphs of the dependences of matrix elements C on the distance between the array AEs
2. Модель взаимного влияния антенных элементов в составе антенной решетки
В работе [9] авторы рассматривают взаимное влияние АЭ в АР следующим образом: антенные элементы, окружающие активный элемент, на который подается мощность, поглощают часть излученной им мощности и затем переизлучают ее, таким образом, являясь вторичными источниками электромагнитных волн. Тогда поле, формируемое этим активным элементом антенной решетки, является суперпозицией полей всех излучателей с учетом переизлученной ими мощности, что проиллюстрировано на рис. 4.
Рис. 4. К модели взаимного влияния антенных элементов в составе линейной антенной решетки
Fig. 4. To the model of mutual influence of antenna elements in a linear antenna array
Рассмотрим применение этого подхода на примере антенной решетки, изображенной на рис. 1. Взаимодействие можно представить как бесконечную последовательность процессов излучения, поглощения и дальнейшего переизлучения мощности антенными элементами рассматриваемой решетки.
В данной работе предложено каждый антенный элемент решетки рассматривать как изолированный, то есть с неискаженной диаграммой направленности. Тогда, если все АЭ в решетке одинаковые, предложенный подход позволяет провести электродинамическое моделирование только один раз для одного элемента. Это значительно уменьшает расчетную сложность задачи. Тогда парциальную диаграмму направленности после первого переизлучения мощности портом 3 можно записать следующим образом: где q – коэффициент, учитывающий коэффициент усиления первой антенны в направлении третьей и условия распространения электромагнитной волны, а также зависящий от расстояния между антенными элементами. После второго переизлучения части энергии, излученной 3 портом, итоговая парциальная диаграмма направленности 1 порта примет вид: И так далее, давая выражение:
(5)
С другой стороны, ранее было показано, что взаимное влияние элементов, работающих в ортогональных поляризациях, практически отсутствует. В связи с этим, сначала рассмотрим взаимное влияние 1 и 3 портов. Пусть мощность подается на порт 1, тогда его парциальную диаграмму в соответствии с (1) можно представить в виде:
, (6)
где коэффициенты взаимного влияния (С11 и С31) характеризуют долю излученной мощности каждым элементом с учетом их взаимодействия.
Сравнивая (5) и (6), получаем:
(7)
(8)
Так как |q| < 1, оба коэффициента представляют собой суммы всех членов убывающих геометрических прогрессий. Тогда:
(9)
(10)
Для нахождения q в работе использовалась полученная на этапе моделирования зависимость (рис. 3). Исходя из формулы (10), расчет q производился путем минимизации среднего отклонения
по всем значениям r. Благодаря предположению об идентичности антенных элементов решетки, для уменьшения погрешности вместо использовалось среднее арифметическое
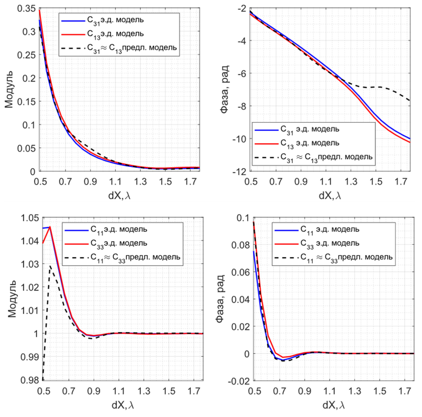
Проверка правильности рассчитанных значений q производилась подстановкой их в формулу (9) и сравнением с зависимостью, полученной для коэффициентов при электродинамическом моделировании (рис. 3). На рис. 5 приведены зависимости коэффициентов C11, C13, C31, и C33 от расстояния между элементами, рассчитанные по приведенной модели и полученные в электродинамическом моделировании.
Рис. 5. Зависимости коэффициентов C11, C13, C31 и C33, рассчитанных с помощью предложенной модели и полученных в результате электродинамического моделирования, от расстояния между элементами
Fig. 5. Dependences of the coefficients C11, C13, C31, and C33, calculated using the proposed model and obtained as a result of electrodynamic modeling, on the distance between the elements
Заметим, что на этом этапе последовательность применения формул (9) и (10) не имеет значения.
Аналогично для 2-го и 4-го портов:
(11)
(12)
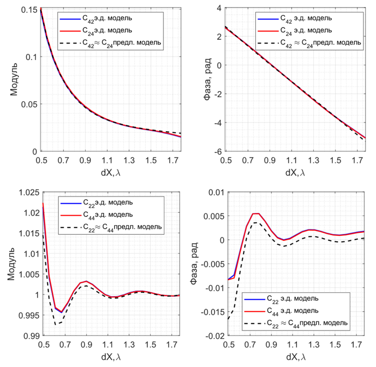
Стоит отметить, что значения q для этих портов, отличаются от полученных для 1 и 3 портов. Рассчитанные зависимости для коэффициентов C22, C24, C42, и C44 и результаты электродинамического моделирования приведены на рис. 6.
Рис. 6. Зависимости модуля и фазы коэффициентов C22, C24, C42 и C44, рассчитанных с помощью предложенной модели и полученных в результате электродинамического моделирования, от расстояния между АР в решетке
Fig. 6. Dependences of the modulus and phase of the coefficients C22, C24, C42, and C44, calculated using the proposed model and obtained as a result of electrodynamic modeling, on the distance between the ARs in the lattice
Приведенные на рис. 5 и 6 зависимости показывают хорошее совпадение, что говорит о возможности применения предложенной модели и метода расчета коэффициентов взаимного влияния
Расчет матрицы взаимного влияния антенной решетки с большим числом элементов может быть выполнен итеративно. Для этого, зная аппроксимацию коэффициента q от расстояния, следует учитывать комбинации переотражений от соседних антенных элементов.
Заключение
В работе проведено исследование взаимного влияния антенных элементов двухполяризационной антенной решетки. Показано, что взаимодействие между элементами, работающими в ортогональных поляризациях практически отсутствует, а коэффициенты взаимного влияния убывают с увеличением расстояния между антенными элементами. Это позволило разработать модель, основанную на представлении антенной решетки в виде изолированных элементов, взаимодействующих друг с другом посредством поглощения и переизлучения мощности соседними элементами.
Предложенный подход дал возможность аппроксимировать матрицы взаимного влияния элементов антенных решеток, состоящих из большого числа элементов. Для оценки парциальных диаграмм направленности реализуются следующие этапы: электродинамическое моделирование для определения характеристик изолированного АЭ, а также моделирование решетки, состоящей из двух АЭ; расчет матрицы взаимного влияния для смоделированной двухэлементной антенны; оценка коэффициентов, учитывающих условия распространения электромагнитной волны от одного АЭ к другому и переизлучения; расчет матрицы взаимного влияния антенной решетки заданного размера.
Результаты работы могут быть использованы при разработке многоэлементных антенных решеток для систем радиосвязи и радиолокации.
Об авторах
Ольга Владимировна Бажанова
Воронежский государственный университет
Автор, ответственный за переписку.
Email: bazhanova_phys@bk.ru
ORCID iD: 0009-0008-8721-6774
SPIN-код: 6337-4390
Scopus Author ID: 1218098
аспирант, преподаватель кафедры электроники физического факультета
Россия, Воронеж, Университетская пл. 1, 394018Александр Андреевич Кононов
Воронежский государственный университет
Email: kononov@phys.vsu.ru
ORCID iD: 0000-0003-1770-9000
студент магистратуры кафедры электроники
Россия, Воронеж, Университетская пл. 1, 394018Ксения Владимировна Смусева
Воронежский государственный университет
Email: smusevaz@gmail.com
ORCID iD: 0000-0002-8515-2841
SPIN-код: 6428-9273
Scopus Author ID: 1038558
аспирант, преподаватель кафедры электроники физического факультета
Россия, Воронеж, Университетская пл. 1, 394018Владислав Андреевич Степкин
Воронежский государственный университет
Email: Stepkin.vladislav@yandex.ru
ORCID iD: 0000-0002-3616-3974
SPIN-код: 6233-4030
Scopus Author ID: 611879
кандидат физико-математических наук, доцент кафедры электроники физического факультета
Россия, Воронеж, Университетская пл. 1, 394018Григорий Константинович Усков
Воронежский государственный университет
Email: uskov@phys.vsu.ru
ORCID iD: 0000-0001-8250-2511
Scopus Author ID: 528904
ResearcherId: 8126-6222
доктор физико-математических наук, заведующий кафедрой электроники физического факультета
Россия, Воронеж, Университетская пл. 1, 394018Список литературы
- Active reconfigurable MIMO communications: Capacity maximization pattern design / H. Wang [et al.] // 2022 IEEE 12th Sensor Array and Multichannel Signal Processing Workshop (SAM). 2022. P. 271–275. DOI: https://doi.org/10.1109/SAM53842.2022.9827894
- Грачев М.В., Паршин Ю.Н. Анализ пропускной способности MIMO системы связи с учетом взаимного влияния каналов приемного тракта // Радиолокация, навигация, связь. Сборник трудов XXV Международной научно-технической конференции, посвященной 160-летию со дня рождения А.С. Попова: в 6-ти томах. Том 5. 2019. С. 242–248.
- Su T., Ling H. On modeling mutual coupling in antenna arrays using the coupling matrix // Microwave and Optical Technology Letters. 2001. Vol. 28, no. 4. P. 231–237. DOI: https://doi.org/10.1002/1098-2760(20010220)28:4<231::AID-MOP1004>3.0.CO;2-P
- Jiang P., Huang Q., Shi X. Calibration of mutual coupling for adaptive array via element pattern construction method // 2019 International Conference on Microwave and Millimeter Wave Technology (ICMMT). 2019. P. 1–3. DOI: https://doi.org/10.1109/ICMMT45702.2019.8992174
- Vendik O.G., Kozlov D.S. A novel method for the mutual coupling calculation between antenna array radiators: Analysis of the radiation pattern of a single radiator in the antenna array // IEEE Antennas and Propagation Magazine. 2015. Vol. 57, no. 6. P. 16–21. DOI: https://doi.org/10.1109/MAP.2015.2481818
- Su T., Ling H. On modeling mutual coupling in antenna arrays using the coupling matrix // Microwave and Optical Technology Letters. 2001. Vol. 28, no. 4. P. 231–237. DOI: https://doi.org/10.1002/1098-2760(20010220)28:4<231::aid-mop1004>3.0.co;2-p
- Henault S., Antar Y. Unifying the theory of mutual coupling compensation in antenna arrays // IEEE Antennas and Propagation Magazine. 2015. Vol. 57, no. 2. P. 104–122. DOI: https://doi.org/10.1109/MAP.2015.2414514
- Aumann H.M., Fenn A.J., Willwerth F.G. Phased array antenna calibration and pattern prediction using mutual coupling measurements // IEEE Transactions on Antennas and Propagation. 1989. Vol. 37, no. 7. P. 844–850. DOI: https://doi.org/10.1109/8.29378
- Steyskal H., Herd J.S. Mutual coupling compensation in small array antennas // IEEE Transactions on Antennas and Propagation. 1990. Vol. 38, no. 12. P. 1971–1975. DOI: https://doi.org/10.1109/8.60990
Дополнительные файлы








