Substantiation of the concept of a communication system in the range of medium waves in underground quasi-one-dimensional structures
- Авторлар: Fedosov D.V.1, Kolesnikov A.V.1
-
Мекемелер:
- RPSLL «HF-Communication»
- Шығарылым: Том 26, № 3 (2023)
- Беттер: 89-97
- Бөлім: Articles
- URL: https://journal-vniispk.ru/1810-3189/article/view/254033
- DOI: https://doi.org/10.18469/1810-3189.2023.26.3.89-97
- ID: 254033
Дәйексөз келтіру
Толық мәтін
Аннотация
Background. The modern development of the mining industry is characterized by the search for new mining technologies, increasing the complexity, depth, scale of workings and the danger of work, which leads to the search for approaches in building information and communication systems with increased functionality, namely, with the possibility of combining into a single system of mining automation tools, sensors, tunneling equipment, communication equipment, navigation, controls, equipment operating in an emergency situation. Since most underground facilities can be considered quasi-one-dimensional (mines, subways, sewers), transmission lines laid along tunnels can be effectively used to organize data transmission in them.
Aim. Consider the physical side of the operation of the information and communication system in the medium and high frequency ranges.
Methods. The dependence of the field strength in a tunnel with single-wire and bifilar lines laid in the tunnel was obtained using electrodynamic modeling by the finite element method.
Results. The values of attenuation in workings with different medium parameters and attenuation dependences obtained experimentally in a coal mine are given. On average, the signal attenuation is 15 dB per 1 km.
Conclusion. A digital medium-wave system based on bifilar lines has significant advantages when deployed over VHF communication systems. It can be used as a base, and if necessary, supplemented with VHF technologies (Bluetooth, Wi–Fi), for example, for personnel using an explosion-proof smartphone, and in areas where increased throughput is required, in places of active mining operations in mines and concentration of technological equipment and personnel.
Негізгі сөздер
Толық мәтін
Постановка проблемы
Под квазиодномерными (КПС) понимаются подземные сооружения, такие как рудники и шахты, туннели метро, коллекторы и подобные, длина которых много больше поперечных размеров.
Организация связи и навигации в КПС требует выбора наиболее приемлемого решения по ряду параметров:
Для работы предприятия в штатном режиме на рынке представлено несколько продуктов – систем связи УКВ-диапазона. Они строятся на основе беспроводных приемопередатчиков у подвижных абонентов, интегрированных в систему либо с использованием проложенного вдоль туннеля излучающего кабеля, либо через базовые станции (БС) [1; 2]. Взаимодействие БС друг с другом ведется по кабельным линиям. Дорожно-транспортные происшествия, взрывы метана, обрушение породы, обрывы кабельной инфраструктуры и другие чрезвычайные происшествия несут риски для предприятия и персонала и часто выводят из строя штатные системы связи.
При проведении аварийно-спасательных операций используются проводные средства связи и беспроводная связь диапазона средних волн (СВ). Для связи горноспасательных отрядов в России (отряды военизированных горноспасательных частей) используется голосовой канал связи и система кодовых сообщений, включающая около 30 команд. Это может быть реализовано с помощью проводной голосовой связи, а при использовании дыхательного аппарата при проведении спасательных работ, возможно подача телеграфных сигналов из длинных и коротких нажатий на тангенту. Более расширенный функционал может обеспечить радиостанция FERRA, работающая на частоте 1 МГц с шириной полосы 2500 кГц и с перестройкой резонансной частоты от 950 кГц до 1050 кГц [1]. Она предоставляет возможность общения голосом, а также – пересылку более 40 озвучиваемых и выводящихся на экран кодовых сообщений, в том числе и с цифровой информацией (концентрация газов, расстояние и т. п.). При этом для передачи сигналов не требуется гальванического соединения с телефонным кабелем, т. к. используется возбуждение направляющих линий.
Направляющие линии (НЛ) – это протяженные металлические проводники (провода, трубы, троллейные линии, кабели с металлической оболочкой), проложенные вдоль горных выработок. Физический процесс распространения радиоволн диапазона СВ вдоль однопроводных НЛ (ОНЛ) в сухих рудниках с низкой проводимостью породы близок к известному процессу распространения УКВ электромагнитных волн вдоль однопроводных линий (линии Зоммерфельда, Губо – Хармса). Данный эффект был использован при создании аппаратуры аварийной или дополнительной связи и позволяет организовывать радиоканалы на несколько километров вдоль НЛ [1; 3; 4]. Для этого используется непосредственное подключение радиостанции к линии, либо возбуждение бегущей волны ОНЛ в зоне индукции электрически малой антенной радиостанции.
Проложенная в выработке НЛ может быть использована в качестве среды распространения сигнала для перспективных систем связи диапазона СВ. Отличительной особенностью каналов связи с НЛ является сохранение работоспособности в случае обрыва НЛ из-за обвала, взрыва, чрезвычайного происшествия. Длина волны в свободном пространстве на частоте 1 МГц составляет 300 м, в полупроводящей породе с диэлектрической проницаемостью м. За счет индукционной связи электромагнитные поля могут проникать сквозь даже достаточно протяженный, до нескольких метров, слой породы, что позволяет связываться абонентам по обе стороны обрыва. Последний эффект крайне важен, т. к. это позволяет сохранить связь с горнорабочими, оказавшимися отрезанными завалом.
Поскольку передача энергии в ОНЛ антенной производится с большими потерями, лучший КПД передачи может быть достигнут с помощью согласующих устройств, таких как [5], с КПД передачи около 10 %.
На рис. 1 приведены графики принимаемой напряженности поля на расстояниях от передатчика 200 и 400 м соответственно для рамочной антенны с площадью витков 1 м2 в активных зонах угольных шахт и верхняя граница уровня шума, полученные в работе [4]. Заметен рост шума на низких частотах и снижение напряженности поля на более высоких.
Рис. 1. Зависимости напряженности поля и уровня шумов от частоты для угольных пластов Питтсбурга, Покахонтаса и Херрина (США) на расстоянии (а) 200 м и (б) 400 м [4]
Fig. 1. Dependence of field strength and noise level on frequency for coal seams of Pittsburgh, Pocahontas and Herrin (USA) at a distance of (a) 200 m and (b) 400 m [4]
На рис. 2 показаны данные из [4], полученные в трех шахтах возле проводников, которые иллюстрируют, что существуют оптимальные частоты около 1000 кГц для передачи сигналов. Более высокая частота приводит к большему затуханию сигналов вдоль линии из-за снижения длины волны, на более низких частотах возрастает уровень шума, снижающий отношение сигнал/шум. Стоит отметить, что качество электроэнергии – один из важных факторов для работы систем связи, и включает не только вопрос фильтрации шума в радиооборудовании, но и стабильность работы систем вторичного электропитания [6].
Рис. 2. Частотная зависимость дальности связи вдоль направляющих линий с помощью СВ-радиостанций с магнитными антеннами [4]
Fig. 2. Frequency dependence of the communication range along guide lines using MW radio stations with magnetic antennas [4]
Для расширения функциональных возможностей средств связи для повседневной работы могут быть спроектированы системы передачи информации и навигации, основой которых в диапазоне СВ являются направляющие линии.
Сравнение одно- и двухпроводных НЛ
На рис. 3 приведены картины напряженности электрического (а) и магнитного (б) поля в сечении туннеля с ОНЛ, полученные моделированием методом конечных элементов (МКЭ) [7] при следующих параметрах модели:
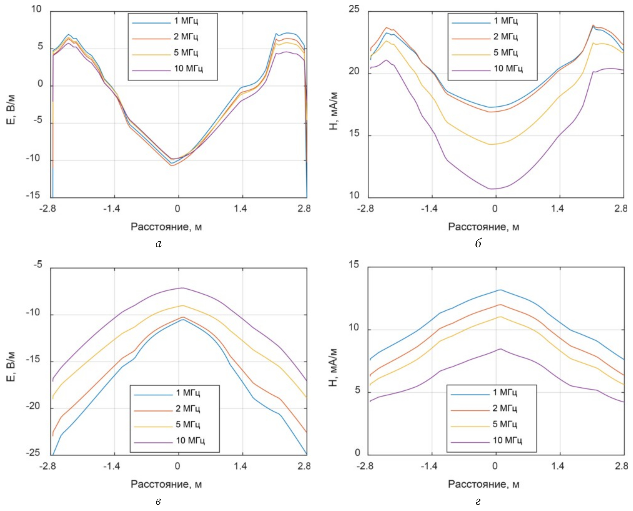
На рис. 4 приведены характерные картины напряженности электрического (а) и магнитного (б) поля в сечении туннеля с двухпроводной НЛ (ДНЛ) при тех же параметрах модели и расстоянием от проводников до породы 80 мм, а на рис. 5 – зависимости напряженности электрической и магнитной компонент поля на различных частотах для ОНЛ и ДНЛ.
Рис. 3. Визуализация картины поля в туннеле полуцилиндрической формы с радиусом 2 м на частоте 1 МГц для однопроводной НЛ: а – электрическое поле; б – магнитное поле
Fig. 3. Visualization of the field pattern in a semi-cylindrical tunnel with a radius of 2 m at a frequency of 1 MHz for a single-wire GL: a – electric field; b – magnetic field
Рис. 4. Визуализация картины поля в туннеле полуцилиндрической формы с радиусом 2 м на частоте 1 МГц для ДНЛ: а – электрическое поле; б – магнитное поле
Fig. 4. Visualization of the field pattern in a semi-cylindrical tunnel with a radius of 2 m at a frequency of 1 MHz for a two-wire GL: a – electric field; b – magnetic field
Рис. 5. Зависимость напряженности поля на высоте 1 м на разных частотах для двухпроводной линии (а, б), для однопроводной линии (в, г)
Fig. 5. Dependence of field strength at a height of 1 m at different frequencies for a two-wire line (a, b), for a single-wire line (c, d)
С инженерной позиции возможно стабильное согласование аппаратуры с ДНЛ, а в сечении КПС поле между противоположными проводниками ДНЛ достаточно равномерно (в сравнении с ОНЛ). Последнее позволяет организовать устойчивую связь с подвижным персоналом и транспортно-технологическим оборудованием.
В таблице приведены значения коэффициента передачи K12 (без учета рассогласования) участка ДПЛ для разных частот, полученные моделированием МКЭ:
где S11, S22 – S-параметры отражения первого и второго источников (портов), и S12 – S-параметр передачи, выраженные в разах. Значительный рост затухания при повышении частоты вдоль ДПЛ обусловлен ростом погонного затухания, обусловленного кратным увеличением электрических размеров ДПЛ и затухания в среде. Высокие значения затухания соответствуют наихудшим сценариям: сильно обводненным средам с повышенной диэлектрической проницаемостью породы [8].
Таблица. Значения коэффициента передачи K12 (без учета рассогласования)
Table. K12 gain values (without mismatch)
Частота, МГц | Коэффициент передачи K12, дБ | ||
ε = 10, σ = 0.01 См/м | ε = 20, σ = 0.01 См/м | ε = 25, σ = 0.1 См/м | |
1 | –11,3 | –12,8 | –21 |
2 | –46 | –50 | –55 |
3 | –90 | –98 | –89 |
На рис. 6 приведены относительные зависимости нормированного уровня сигнала, измеренные в угольной шахте им. Рубана (Кемеровская область) специалистами НПООО «КВ-СВЯЗЬ» совместно с ВГСЧ МЧС России. Использовалась станция Ferra L1 Ex, согласованная с двухпроводной линией, проложенной вдоль горной выработки в угольном пласте, на частоте 1 МГц в полосе 2,5 кГц. При этом измерения вдоль выработки проводились портативной радиостанцией с мобильной антенной магнитного типа без подключения к линии у левого, правого края выработки и по центру. Измерения проводились весной при высокой влажности породы. В среднем, затухание сигнала составляет 15 дБ на 1 км, что соответствует модели. Таким образом, использование более высоких частот для систем связи с использованием НС не целесообразно.
Рис. 6. Зависимости затухания сигнала в угольной шахте
Fig. 6. Signal attenuation in a coal mine
Выбор частотного диапазона системы связи обусловлен несколькими факторами:
Анализируя полученные данные и работы [1–4; 8–10], стоит констатировать, что оптимальный диапазон для СВ связи вдоль ДНЛ в большинстве шахт находится около 1 МГц, а наилучшим вариантом для построения систем связи являются ДНЛ. Варианты таких систем связи защищены патентами [11; 12].
Структурная схема системы
Структурная схема системы связи с ДНЛ в КПС представлена на рис. 7. Все БС связаны между собой через ДНЛ и связаны с центром (диспетчерской). Подвижный абонент (ПА) перемещается вдоль подземного сооружения, находясь в СВ поле ДНЛ. Связь с ПА обеспечивает персональная малогабаритная приемопередающая СВ радиостанция (абонентский терминал). Технологическая машина (ТМ) и другое дополнительное оборудование (датчики систем освещения, состава воздуха, вентиляции и пр.) могут быть связана с БС с помощью СВ канала. Опрос датчиков технологического оборудования абонентским терминалом может быть осуществлен с помощью Bluetooth. Потенциально, возможно совмещение с различными датчиками и расширение до локальных сенсорных сетей, ключевой проблемой при этом будет учет влияния окружающей среды на эффективность работы аппаратуры [13].
Рис. 7. Участок системы связи с ДНЛ: Д – диспетчерская, БС – базовая станция, ПА – подвижный абонент, ТМ – технологическая машина
Fig. 7. Section of the communication system with a two-wire GL: D – control room, BS – base station, PA – mobile subscriber, TM – technological machine
Особенностью функционирования физического уровня такой системы является повышенная стойкость к аварийным ситуациям. В частности, данная система может сохранять работоспособность даже при обрыве ДНЛ. Экспериментально установлено, что разрыв одного проводника ДНЛ приводит к потере в коэффициенте передачи K12 около 3 дБ, а двух проводников – от 15 до 30 дБ в зависимости от размеров области разрыва. Такая система может быть совместима с цифровым оборудованием горноспасательных отрядов, что значительно облегчает проведение аварийно-спасательных мероприятий.
В дальнейшем авторы планируют провести анализ модели ДНЛ при различных условиях эксплуатации, неоднородностях, нерегулярности линии (переменном сечении), разветвлении и при возникновении обрывов. Также – будут подробно раскрыты канальный и системный уровни функционирования системы связи, интегрирование с технологией Bluetooth.
Заключение
В статье рассмотрены основные особенности физического уровня технологий передачи данных, связи и навигации в подземных сооружениях в диапазоне СВ. Показано, что система на основе двухпроводных линий имеет существенные преимущества при развертывании. Такая цифровая средневолновая система связи может быть использована в качестве базовой, а при необходимости – дополнена УКВ-технологиями (Bluetooth, Wi-Fi) в тех областях, где требуется повышенная пропускная способность, например, в местах активного ведения горных работ в шахтах и концентрации технологического оборудования и персонала.
Авторлар туралы
Dmitry Fedosov
RPSLL «HF-Communication»
Хат алмасуға жауапты Автор.
Email: xferra@mail.ru
ORCID iD: 0000-0002-5904-2710
Candidate of Technical Sciences, general director HF-Communication
Ресей, 32, Akademika Koroleva Avenue, Omsk, 644012Andrey Kolesnikov
RPSLL «HF-Communication»
Email: kolesnikov.radio@yandex.ru
ORCID iD: 0000-0001-9048-2899
antenna equipment engineer
Ресей, 32, Akademika Koroleva Avenue, Omsk, 644012Әдебиет тізімі
- D. V. Fedosov et al., “Review of methods for organizing underground communications and prospects for using the medium wave range in mines,” Trudy NIIR, no. 1, pp. 19–36, 2022, doi: https://doi.org/10.34832/NIIR.2022.8.1.003. (In Russ.)
- E. Forooshani et al., “A survey of wireless communications and propagation modeling in underground mines,” IEEE Communications Surveys & Tutorials, vol. 15, no. 4, pp. 1524–1545, 2013, doi: https://doi.org/10.1109/SURV.2013.031413.00130
- Yu. A. Korchagin, V. P. Salomatov, and A. A. Chernov, Radio Communication in Conductive Media. Novosibirsk: Nauka, 1990. (In Russ.)
- H. K. Sacks and R. L. Chufo, “Medium-frequency propagation in coal mines,” in Proceedings of the Fourth WVU Conference on Coal Mine Electrotechnology, 1978, pp. 1–12, url: https://www.cdc.gov/niosh/mining/works/coversheet225.html.
- D. V. Fedosov and R. A. Bekishev, “Multi-band connection device for inductive coupling,” RU Patent 191121 U1, Jul. 25, 2019. (In Russ.)
- V. F. Dmitrikov and D. V. Shushpanov, “The main scientific problems of constructing domestic aggregated (complex) devices and distributed secondary power supply systems and the reasons for the lag of their characteristics from modern foreign analogues,” Physics of Wave Processes and Radio Systems, vol. 21, no. 3, pp. 7–11, 2018, url: https://journals.ssau.ru/pwp/article/view/7011. (In Russ.)
- V. V. Chebyshev, Antenna System Design Fundamentals. Moscow: Goryachaya liniya – Telekom, 2018. (In Russ.)
- V. Kolesnikov, D. V. Fedosov, and A. V. Nikolaev, “Influence of climatic and geophysical factors on the characteristics of an underground wireless communication channel through rock,” Elektromagnitnye volny i elektronnye sistemy, no. 4, pp. 5–13, 2022, url: http://radiotec.ru/ru/journal/Electromagnetic_Waves_and_Electronic_Systems/number/2022-4/article/22926. (In Russ.)
- H. H. Dobroski and L. G. Stolarczyk, “A whole-mine medium-frequency radio communication system,” in Proceedings of the Sixth WVU Conference on Coal Mine Electrotechnology, 1982, pp. 1–13, url: https://www.cdc.gov/niosh/mining/works/coversheet1525.html.
- R. L. Lagace, A. G. Emslie, and M. A. Grossman, Modeling and Data Analysis of 50 to 5000 kHz Radio Wave Propagation in Coal Mines. Cambridge: Arthur D. Little, Inc., 1980, url: https://www.cdc.gov/niosh/mining/works/coversheet179.html.
- D. V. Fedosov, “Mobile communication method and system for extended objects,” RU Patent 2642845 C1, Jan. 29, 2018. (In Russ.)
- S. E. Lapin, A. G. Babenko, and D. V. Fedosov, “Communication system for underground structures,” RU Patent 2672273 C1, Nov. 13, 2018. (In Russ.)
- V. I. Parfenov and V. D. Le, “Analysis of the influence of the environment on the efficiency of information processing algorithms in wireless sensor networks,” Physics of Wave Processes and Radio Systems, vol. 23, no. 2, pp. 49–54, 2020, doi: https://doi.org/10.18469/1810-3189.2020.23.2.49-54. (In Russ.)
Қосымша файлдар









