Options Time Risk-Profile
- Authors: Potapov A.I.1
-
Affiliations:
- National Research University Higher School of Economics
- Issue: Vol 28, No 1 (2024)
- Pages: 108-132
- Section: Статьи
- URL: https://journal-vniispk.ru/1813-8691/article/view/284680
- DOI: https://doi.org/10.17323/1813-8691-2024-28-1-108-132
- ID: 284680
Cite item
Full Text
Abstract
The risk assessment of options for margining purposes is determined on exchanges using sensitivity coefficients or fixed scenarios of changes in risk parameters. Such methods cannot accurately estimate risk because they do not consider the dependence of option risk on the time to exercise. This dependence should be taken into account in modeling due to the variability of sensitivity coefficients over time to maturity and the time-structure of risk factors. This paper evaluates the effect of time to maturity and time-dependent risk parameters on option risk: implied volatility, implied volatility structure, and volatility risk premium. It was proved that there is a significant trend for the increase of risk assessment as the option approaches the exercise date. Moreover, not only the average risk estimate increases, but also its variance. For options with a strike different from the value of the underlying asset, the trend becomes less explicit, and the accuracy of the estimate decreases with distance from the central strike. But when the strike and the value of the underlying asset are equal, the trend describes the risk dynamics almost completely. It was found that there is a dependence of option risk on the structure of implied volatility: relative volatility bias significantly reduces the level of risk at the central strike, while the distance of bias increases the level of risk. It is important to note that implied volatility, although describing the volatility of option value, does not affect the level of option risk. The volatility risk premium is a relevant factor in describing option risk, but only for the paired regression cases.
Full Text
1. Введение
Современные биржевые системы оценки риска производных финансовых инструментов строятся на двух основных методах: Монте-Карло с использованием коэффициентов чувствительности и квази-Монте-Карло с использованием фиксированных сценариев изменения риск-параметров. Первый предполагает оценку чувствительности инструментов к изменению стоимости базового актива (дельта) и подразумеваемой волатильности (вега). Помимо этого, он может учитывать структуру волатильности, корреляцию между ценами и волатильностью различных базовых активов, риск концентрации и риск дефолта [ISDA, 2023]. Второй метод, используемый на Чикагской и Московской биржах, подразумевает моделирование динамики основных риск-факторов: стоимость базового актива и подразумеваемая волатильность [CME Group, 2019; CCP NCC, 2020]. Предсказанные значения риск-факторов используются в модели ценообразования инструмента. Таким образом получается разница между рыночной и смоделированной ценами, являющаяся оценкой риска изменения стоимости инструмента.
Оба подхода учитывают текущие значения коэффициентов чувствительности или риск-параметров и историю изменений риск-параметров, при этом не учитывают тренды в риск-параметрах и существующие рыночные ожидания. Это значит, что при оценке риска рассматриваются в основном симметричные изменения риск-параметров: рост или снижение стоимости базового актива и/или подразумеваемой волатильности на одну величину. При этом, как будет показано далее, в риск-параметрах может существовать определенный тренд, например, подразумеваемая волатильность, в среднем, возрастает по мере приближения времени к дате исполнения опциона, следовательно, более точная оценка риска будет получена с учетом использования несимметричных сценариев изменения подразумеваемой волатильности. Как результат, в моменты повышенной волатильности или по мере приближения времени к дате исполнения опционов точность оценки риска снижается. Как было показано во многих исследованиях [Carr, Wu, 2016; Andersen et al., 2015; Yun, 2011], риск опционов значимо растет при уменьшении срока до исполнения вне зависимости от соотношения между стоимостью базового актива и страйком. Так, при разделении периода торгов опциона на два: более 30 дней до исполнения и менее 30 дней до исполнения, было доказано существование статистически значимой разницы в уровне риска для торгуемых на Московской бирже опционов [Потапов, Курбангалеев, 2023]. Под риском опционов здесь и далее подразумевается оценка потенциальных потерь стоимости контракта на 99-процентном доверительном интервале на горизонте в один день.
Для моделирования оценки риска вне зависимости от использованного метода вычисление тренда имеет существенное значение, так как усредненная структура риска опциона по времени может быть использована в качестве опорной кривой или с целью де-трендирования ряда, что позволит сделать данные стационарными и более точно оценить риск. Этот подход является более точным, так как теоретический анализ через коэффициенты чувствительности опционов не может дать однозначный результат ввиду:
- разнонаправленности коэффициентов чувствительности при уменьшении сроков до исполнения инструмента. Например, вега опциона снижается на всем сроке до исполнения при фиксированных параметрах, а дельта может как расти, так и падать в зависимости от соотношения страйка и цены базового актива;
- немонотонности коэффициентов чувствительности – «временной распад» стоимости опциона (тета) имеет переломы во времени при фиксировании других параметров;
- наличия временной структуры самих риск-факторов – дисперсия изменений подразумеваемой волатильности возрастает по мере приближения к дате исполнения опциона и имеет тренд. То есть, если взять весь набор опционов и для каждого момента времени до исполнения при каждом соотношении страйка и стоимости базового актива посчитать приращения подразумеваемой волатильности и для этих приращений вычислить дисперсию, то эта дисперсия будет иметь тренд на возрастание по всему множеству соотношений страйка к стоимости базового актива по мере приближения опциона к дате исполнения. Таким образом, возрастает не только значение риск-факторов, но и их изменчивость.
Целью работы является исследование изменения риска опционов по времени до исполнения, а именно оценивается влияние не только самого времени до исполнения, но и факторов, обладающих временной структурой: подразумеваемая волатильность и премия за волатильность. В работе используются теоретические цены опционов на покупку на различных страйках, торгующихся на Московской бирже.
В качестве используемых методов для исследования влияния различных факторов на риск опционов предлагается использовать метод максимального правдоподобия и регрессионный анализ. Для обоих методов зависимой переменной выступает фактическая оценка риска опционов.
При этом проверяются следующие гипотезы:
- риск опциона зависит от срока до исполнения – существует монотонный тренд на возрастание риска при уменьшении срока до исполнения;
- риск опциона зависит от структуры волатильности – наличие смещений минимального уровня волатильности с центрального страйка на более отдаленные и сила этих смещений повышают риск опционов;
- риск опциона зависит от премии за волатильность – чем больше разница между риск-нейтральной волатильностью и фактической волатильностью базового актива, тем выше риск опциона.
Далее рассмотрены актуальные исследования, определяющие свойства опционов и подразумеваемой волатильности.
2. Обзор литературы
Основной целью использования опционов является снижение риска инвестиционного портфеля. Положительный эффект диверсификации портфеля классических инструментов имеет свои пределы по причине того, что его системный риск практически не поддается контролю. Для снижения системного риска необходимым и достаточным является использование в портфеле опционов. Помимо этого, использование опционов может также повысить эффективность соотношения доходности и риска. При этом остается проблема наличия у опционов собственного риска. Корнем этой проблемы является нелинейная зависимость стоимости опциона от стоимости базового актива, которая переносит часть системного риска с активов на опционы [Pang et al., 2023].
Стоимость базового актива в значительной мере определяется двумя факторами: доходностью и волатильностью доходности. Также эти факторы определяют ценообразование опционов [Pan, 2002]. При этом цена опциона будет зависеть не только от них, но и от рыночных ожиданий относительно стоимости базового актива, которые, согласно методологии Московской биржи, определяют структуру волатильности [CCP NCC, 2019]. Согласно методологии Московской биржи, определение подразумеваемой волатильности происходит только на страйках, на которых были совершены сделки или существуют заявки на покупку и/или продажу. Для таких страйков происходит оптимизация функции подразумеваемой волатильности, т.е. определение таких ее значений, чтобы они максимально соответствовали ценам сделок или ценам заявок. Следовательно, например, если рынок ожидает рост цены базового актива (приобретаются опционы на покупку со страйком больше текущей цены базового актива), то на этих страйках будут проходить торги и существовать заявки, следовательно, кривая подразумеваемой волатильности будет вычислена исходя из этой информации и, вероятно, будет иметь минимальное значение в этой области страйков. Таким образом рыночные ожидания, отраженные в сделках, сформируют структуру подразумеваемой волатильности, а следовательно, цены опционов. В случае, если заявок нет ни на одном страйке, параметры кривой подразумеваемой волатильности используются с последнего момента торгов и корректируются на время между этим моментом и текущим.
Распространенными методами оценки риска опционов являются дельта и дельта-гамма аппроксимация. Вместе с симуляцией динамики цены базового актива они позволяют предсказать распределение потерь по позиции [Britten-Jones, Schaefer, 1999]. Но использование методов, опирающихся на коэффициенты чувствительности, имеет несколько недостатков: во-первых, многие меры риска не учитывают риск в хвостах распределения, так как линейная аппроксимация имеет большую ошибку. Во-вторых, коэффициенты чувствительности опциона сами меняются во времени, что приводит к снижению качества оценки риска по мере приближения опциона к дате исполнения [Andersen et al., 2015]. В-третьих, ввиду срочности производных финансовых инструментов сложно получить достаточный набор наблюдений для точной оценки коэффициентов модели. В-четвертых, использование малого числа коэффициентов чувствительности, например, только дельты и гаммы, приводит к нарушению паритета между опционами на покупку и продажу, следовательно, допускает арбитраж и делает полученную оценку неэффективной [Mitra, 2017].
Одним из методов улучшения качества оценки, полученной с помощью коэффициентов чувствительности, является учет структуры подразумеваемой волатильности (implied volatility). Профиль подразумеваемой волатильности зависит от текущих значений, параметров опциона, существующего тренда и волатильности базового актива, которые формируют рыночные ожидания. Учет этих факторов позволяет сделать оценку согласованной, т.е. отражающей рыночную структуру в каждый момент времени. Результаты исследований говорят о том, что изменения в поверхности подразумеваемой волатильности происходят скачкообразно на коротких сроках, а на длительных сроках плавнее и на меньшую величину [Carr, Wu, 2016]. Подобные явления приводят к «ухмылкам» волатильности – смещение минимальной подразумеваемой волатильности с центрального страйка. Центральным страйком называется страйк, максимально близкий к цене базового актива. Наличие «ухмылок» волатильности сигнализирует о наличии ожиданий больших скачков цен. Премия за риск опционов фактически оценивается с помощью их цен, при этом премия может существовать для опционов с любым соотношением страйка и цены базового актива [Bates, 2000]. Риск-премия, как относительная разница между рыночной и модельной ценой, увеличивается по мере отклонения от центрального страйка, приближения к дате исполнения, а также при расширении bid-ask спрэда [Bianconi et al., 2015].
Так, опционы могут содержать риск-премию за волатильность – разницу между волатильностью по риск-нейтральной мере и волатильностью по физической мере. Ненулевая премия за волатильность позволяет предсказывать доходность опционов [Bernales et al., 2017]. При ненулевой премии за волатильность зависимость доходности опциона от срока до исполнения объясняется динамикой премии за волатильность [Jacobs, Li, 2022]. При этом динамика премии за волатильность оказывает влияние на опционную позицию вне зависимости от наличия хеджирования и не оказывает влияния на будущую доходность базового актива [Bliss, Panigirtzoglou, 2004].
Модели так или иначе склонны систематически недооценивать (переоценивать) опционы с большой срочностью в дни высокой (низкой) волатильности, так как значимым фактором моделей является тренд или возвращение к среднему, которые отражают риск-нейтральную динамику. В период низкой волатильности роль риск-премии за скачки волатильности становится менее выраженной. Но если динамически переоценивать вероятность скачков, то это приводит к улучшению качества моделей как в периоды высокой, так и низкой волатильности [Yun, 2011].
Все полученные ранее результаты, при условии их подтверждения на российском биржевом рынке, могут быть экстраполированы на будущие опционы. Это возможно ввиду того, что опционы на один базовый актив в равные временные интервалы до исполнения обладают схожей динамикой риска. Следовательно, появляется возможность исследовать усредненную динамику среди множества опционов в разные моменты времени [Kiesel, Rahe, 2017]. Как результат, данные о взаимозависимости подразумеваемой волатильности, премии за волатильность, срока до исполнения и риска опциона могут быть использованы для построения временного риск-профиля опциона.
3. Данные
Для анализа динамики риска опционов используются данные торгов опционов Московской биржи и их базовых активов в период с 27.02.2009 г. по 29.12.2021 г. Начало указанного периода относится к дате, с которой началось маржирование опционов [MOEX, 2008]. То есть для таких опционов биржа проводит оценку риска и выставляет требования по обязательному покрытию потенциальных убытков по позиции. В случае недостаточности покрытия биржа закрывает сделку. Все опционы на Московской бирже до сих пор являются таковыми. Сказанное выше также относится и к премиальным опционам, которые начали торговаться на Московской бирже с 2022 г.: биржа выставляет требования по гарантийному обеспечению и поддерживающему обеспечению для всех инструментов срочного рынка вне зависимости от типа контракта. Более того, по таким инструментам также возможен дефолт участника торгов с последующей ликвидацией позиции ввиду отказа от пополнения маржинального счета. В случае маржируемых инструментов это может произойти при снижении стоимости инструмента, при котором отчисления вариационной маржи снизят размер маржинального счета ниже поддерживающего обеспечения, для премиальных инструментов это может произойти при росте стоимости инструмента: так как требования выражены в долях от стоимости инструмента, новое значение требуемого поддерживаемого обеспечения может превысить изначальное значение гарантийного обеспечения, в таких случаях участник также будет должен пополнить маржинальный счет. В исследуемый период менялись только методы оценки размера маржинальных требований или методика расчета риск-параметров, но не применяемая модель оценки стоимости маржируемых опционов на фьючерсы (модель Блэка [CCP NCC, 2022]). Так как премиальные опционы и опционы с базовыми активами, отличными от акций и индексов, не рассматриваются, модели Блэка – Шоулза – Мертона и Башелье также не рассматриваются при анализе и построении риск-параметров.
Выборка включает в себя опционы на фьючерсные контракты и сами фьючерсные контракты на 27 базовых активов (перечень базовых активов см. в Приложении, табл. П1). Из данной выборки исключены все опционы на фьючерсы, базовыми активами которых являются валюты и товары. Это сделано ввиду того, что для определения их стоимости может использоваться модель оценки Башелье, но при этом для вычисления подразумеваемой волатильности используется модель Блэка [CCP NCC, 2022], что может приводить к некорректным результатам.
Итого массив данных состоит из 73000 наблюдений (с учетом ограничения в 90 календарных дней) на конец торгового дня по 3018 опционам на покупку и продажу на 588 фьючерсов. Ограничение в 90 дней сделано ввиду того, что, во-первых, опционы торгуются одновременными сериями с длительностью, кратной 90 дням (три месяца, полгода, девять месяцев и т.д.). Во-вторых, при одновременных торгах опционами различной срочности на один базовый актив торги фактически будут проходить только на ближайшем к исполнению.
Каждое наблюдение по опционам состоит из:
- цен bid и ask опционов и по множеству страйков – лучшие цены по совершенным сделкам на покупку или продажу опционов, необходимые для вычисления подразумеваемой волатильности. Момент времени обозначим t, T – срок до исполнения опциона в долях от года;
- фактической цены базового актива на конец торгового дня (). Индекс для фьючерса также означает срок до исполнения в долях от года, но отличается от T опциона, так как на один фьючерс может торговаться несколько опционов разной срочности;
- безрисковой ставки на срок до исполнения опциона () – ставка Mosprime в момент времени t, интерполированная на срок до исполнения опциона T;
- подразумеваемой волатильности (), полученной из оптимизационной задачи Московской биржи. Оптимизационная задача включает в себя минимизацию суммы отклонений () теоретической цены опциона от рыночной (с индексом ) по всему множеству страйков, где для опционов на покупку используются страйки () больше цены фьючерса, а для опционов на продажу – меньше цены фьючерса. В качестве рыночной цены используется среднее значение между bid и ask опционов. Решением задачи являются значения параметров (), из которых можно вычислить значения подразумеваемой волатильности [CCP NCC, 2022].
(1)
(2)
(3)
Рис. 1. Средние значения подразумеваемой волатильности в зависимости от времени до исполнения
На рис. 1 отражена динамика подразумеваемой волатильности на различных уровнях moneyness (отношения страйка к цене базового актива) при изменении времени до исполнения (указано в долях от года) опциона. Как видно даже на усредненных данных, минимальное значение подразумеваемой волатильности смещено от центрального страйка, т.е., «ухмылка» волатильности является частым рыночным явлением и является своего рода предиктором растущего тренда цены базового актива, который подтверждается на исследуемом периоде наблюдений. Более того, если построить такой же график для дисперсии подразумеваемой волатильности, т.е. для каждой пары значений «время до исполнения опциона» и «отношение страйка к цене базового актива» вычислить дисперсию подразумеваемой волатильности по всем опционам на все базовые активы, то полученная фигура также будет иметь тренд на возрастание по мере приближения опционов к дате исполнения и смещение минимального значения с центрального страйка.
- Рассчитанной из параметров оптимизации стоимости опционов. Теоретическая оценка Московской биржи не используется, так как она обладает большей дискретностью чем цены bid и ask, отражающие фактическую стоимость ликвидации позиции, дискретными не являются. Имеется ввиду, что к теоретическим ценам помимо шага цены и лотности в целях маржирования применяются дополнительные ограничения, делающие значения теоретических цен менее изменчивыми, например, для опционов на покупку со страйком сильно выше стоимости базового актива и опционов на продажу со страйков сильно ниже стоимости базового актива, когда теоретическая стоимость опциона близка к нулю, Московская биржа вводит минимальный порог цены, чтобы оценка риска и маржинальные требования не были равны нулю;
(4)
(5)
где – кумулятивная вероятность нормального стандартного распределения;
(6)
(7)
- риск-премии за волатильность – разницы между физической дисперсией , т.е. дисперсией доходности базового актива опциона, наблюдаемой в период от t до T, и риск-нейтральной дисперсией . Риск-нейтральная дисперсия в данном случае представляет собой ожидания рынка, заложенные в цены опционов [Jacobs, Li, 2020];
(8)
(9)
(10)
где – средняя логарифмическая доходность базового актива в период от t до T;
Рис. 2. Риск-премия за волатильность и ее компоненты
На рис. 2 отражена динамика риск-премии за волатильность, риск-нейтральной волатильности и физической волатильности с течением времени до исполнения опциона. Стоит отметить, что риск-премия за волатильность не является постоянной во времени за счет риск-нейтральной волатильности, а не волатильности базового актива. Так риск-нейтральная волатильность сходится к нулю с уменьшением срока до исполнения, а физическая волатильность является константой. Ввиду этого риск-премия становится положительной на малых сроках до исполнения, т.е., волатильность опциона в модели Блэка не соответствует фактической.
На рис. 3 представлена динамика риска фьючерса в зависимости от срока до исполнения опциона. Этот рисунок подтверждает факт того, что риск фьючерса не зависит от времени до исполнения. Следовательно, динамика физической волатильности может рассматриваться как константа по времени до исполнения опциона, а динамика риск-премии за волатильность может быть оценена с помощью риск-нейтральной волатильности опциона, что позволяет упростить предложенную в работе [Jacobs, Li, 2020] методологию.
Рис. 3. Динамика риска фьючерсов по времени до исполнения опциона
4. Методология исследования
Так как риск и риск-параметры опциона могут зависеть от срока до исполнения, в данной работе предлагается сначала исследовать риск опциона отдельно как самостоятельную величину. Величина риска, с которым сталкивается центральный контрагент согласно международной методологии [CPSS – IOSCO, 2012], соответствует эмпирическому квантилю потерь на горизонте как минимум в один торговый день:
(11)
где – прибыль или убыток по позиции; M – уровень маржинальных требований, соответствующих оценке риска.
Для расчета используются наблюдения по всем опционам в момент времени до исполнения t. В каждый момент t множество опционов при фиксированном отношении страйка к стоимости базового актива за всю историю наблюдений образует распределение доходностей. Из полученного распределения рассчитывается эмпирический квантиль, что соответствует уровню риска опционов при определенном отношении страйка к стоимости базового актива в момент времени t. Повторяя вычисления для каждого t, формируется динамика риска стоимости опциона.
При наличии статистически значимой зависимости риска опциона от срока до исполнения должен существовать тренд, описывающий эту зависимость. В данном случае трендом является функция, описывающая динамику среднего значения риска. Помимо среднего значения риск имеет дисперсию, в которой также может существовать тренд на возрастание. Так как в работе фактически оптимизируется множество распределений, порожденных функциями, описывающими динамику среднего уровня риска и его дисперсии, для определения их параметров используется оценка максимального правдоподобия.
Далее для оценки влияния экзогенных факторов на риск опциона предлагается построение регрессионной модели с различными спецификациями. Сравнение моделей, например, с использованием структуры волатильности или риск-премии за волатильность и без них, позволит оценить влияние различных факторов на уровень риска.
4.1. Анализ тренда в уровне риска опционов
Сначала предлагается изучить риск опционов как самостоятельную величину, зависящую только от времени. Представленные на рис. 4 значения риска опционов во времени при различных отношениях страйка и базового актива могут быть описаны через тренд, отражающий зависимость риска от времени до исполнения, без использования дополнительных факторов. Можно отметить, что эта зависимость не одинакова для всех страйков опционов: для опционов на покупку со страйком сильно меньше цены базового актива график стремится к константе и повторяет динамику риска фьючерса (рис. 3). Для опционов на покупку со страйком около или сильно больше цены базового актива риск имеет тренд на возрастание по мере приближения опциона к исполнению. Помимо роста среднего уровня риска при отдалении цены базового актива от страйка в меньшую сторону также растет и волатильность оценки риска.
Рис. 4. Динамика доходности и риска опционов по времени до исполнения
Оценка риска в каждый момент времени до исполнения имеет следующее распределение:
(12)
где N – количество наблюдений прибылей и убытков опциона; – теоретическая оценка квантиля распределения доходности.
(13)
где – обратная функция нормального распределения x; – гауссовская ядерная оценка квантиля распределения доходности.
(14)
где – функция плотности стандартного нормального распределения; h – параметр сглаживания ядерной оценки.
Полученные из распределения оценки риска (12) среднее значение и стандартное отклонение позволяют сформировать распределение оценки риска в каждый момент времени, изображенное на рис. 4. Так, в каждый момент времени помимо самой оценки риска существует распределение оценок риска с определенными параметрами и . Эти параметры могут быть оценены в каждый момент времени до исполнения. Формула тренда для среднего значения и стандартного отклонения соответственно:
(15)
(16)
В формулах (15)–(16) не вводится константа, так как это частный случай, где и . Подобное следствие из формы оптимизационной задачи может привести к неэффективности полученных оценок.
Исходя из полученного распределения в каждый момент времени методом максимального правдоподобия можно оценить параметры распределения риска опционов:
(17)
где – вектор оптимизируемых параметров.
При ограничении:
(18)
Значимость полученного результата оценивается через t-тест для коэффициентов оптимизации . В таком случае дисперсией оценки параметров является главная диагональ обратной матрицы Гессе:
(19)
Таким образом, статистическая значимость параметров означает зависимость оценки уровня риска опционов от времени. Если подобный тренд является значимым, а остатки – случайными, то оценка риска на основе только лишь остаточного срока до исполнения допустима.
4.2. Оценка влияния риск-параметров на уровень риска
Далее проверяются дополнительные гипотезы: зависимость риска опционов от премии за волатильность и от структуры подразумеваемой волатильности. Для этого предлагается построение регрессионной модели с различными спецификациями.
К каждой экзогенной переменной X в каждый момент времени до исполнения (t) опциона применяется усреднение значений по опционам. Дополнительные корректировки (например, взвешивания) не встроены в расчет, поскольку набор данных покрывает период высокой ликвидности опционов, в силу чего при оценке риска опционов их ликвидность не принимается во внимание.
(20)
где u – количество опционных контрактов, торгуемых в момент времени до исполнения t.
Для оценки влияния структуры волатильности на риск опционов дополнительно вводятся два параметра: расстояние смещения минимального уровня подразумеваемой волатильности с центрального страйка в страйках и отношение между подразумеваемой волатильностью на центральном страйке и минимальным значением подразумеваемой волатильности. Оба этих фактора отражают, насколько структура кривой подразумеваемой волатильности отлична от ожидаемой формы. Под ожидаемой формой понимается нахождение минимального значения подразумеваемой волатильности на центральном страйке.
Расстояние смещения в страйках вычисляется как
(21)
где – страйк, на котором находится минимальное значение подразумеваемой волатильности; – центральный страйк; – шаг между двумя соседними страйками – параметр, устанавливаемый биржей в ходе торгов.
Относительный размер смещения равен
(22)
где – подразумеваемая волатильность на центральном страйке; – минимальное значение подразумеваемой волатильности.
На рис. 5 изображены вероятностные распределения и по времени до исполнения опционов. Заметно, что при большом сроке до исполнения распределение смещения в страйках очень широкое, что говорит о существенном отклонении фактических цен от рыночных ожиданий и совпадает с высокой риск-нейтральной волатильностью на рис. 2. При этом распределение относительного размера смещения волатильности, наоборот, становится более толстохвостым по мере приближения опционов к исполнению, что говорит о существенной разнице в подразумеваемой волатильности между рыночной ценой опциона и рыночными ожиданиями.
Рис. 5. Динамика смещений подразумеваемой волатильности по времени до исполнения
Далее рассмотрим корреляционную матрицу для приращений уровня риска и риск-параметров опциона при разных соотношениях страйка и цены базового актива. Уровень риска () здесь вычислен для логарифмической доходности стоимости опционов, потому что такая трансформация упрощает интерпретацию результатов: при использовании обычной доходности полученная в регрессии оценка может выходить за реально допустимые границы риска (–1 и 0).
Как было сказано ранее, все факторы имеют ту или иную форму зависимости от времени до исполнения опционов, следовательно, исследование в натуральных значениях может привести к ошибочному результату. Для всех переменных (за исключением и d) используются первые разности ввиду нестационарности, что подтверждается тестами ADF, KPSS, Phillips – Perron – на выборках до 100 наблюдений нет разницы между тестами на стационарность [Arltova, Fedorova, 2016]. Поэтому регрессии проводятся в первых разностях, которые являются стационарными, как для исследуемой переменной, так и для регрессоров.
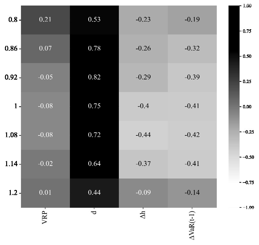
Было выявлено, что приращения уровня риска почти не коррелируют с приращениями подразумеваемой волатильности и смещений в страйках, что не в полной мере соответствует динамике риска, представленной на рис. 4 (чем выше волатильность, тем выше риск). При этом относительное смещение подразумеваемой волатильности ведет к снижению уровня риска, так как это означает позитивные рыночные ожидания, которые ведут к росту стоимости опционов на покупку. Также стоит отметить, что для оценки риска опционов, несмотря на взятие разностей, существует сильная автокорреляция.
Рис. 6. Корреляционная матрица для приращений и риск-параметров при различных соотношениях страйка и стоимости базового актива
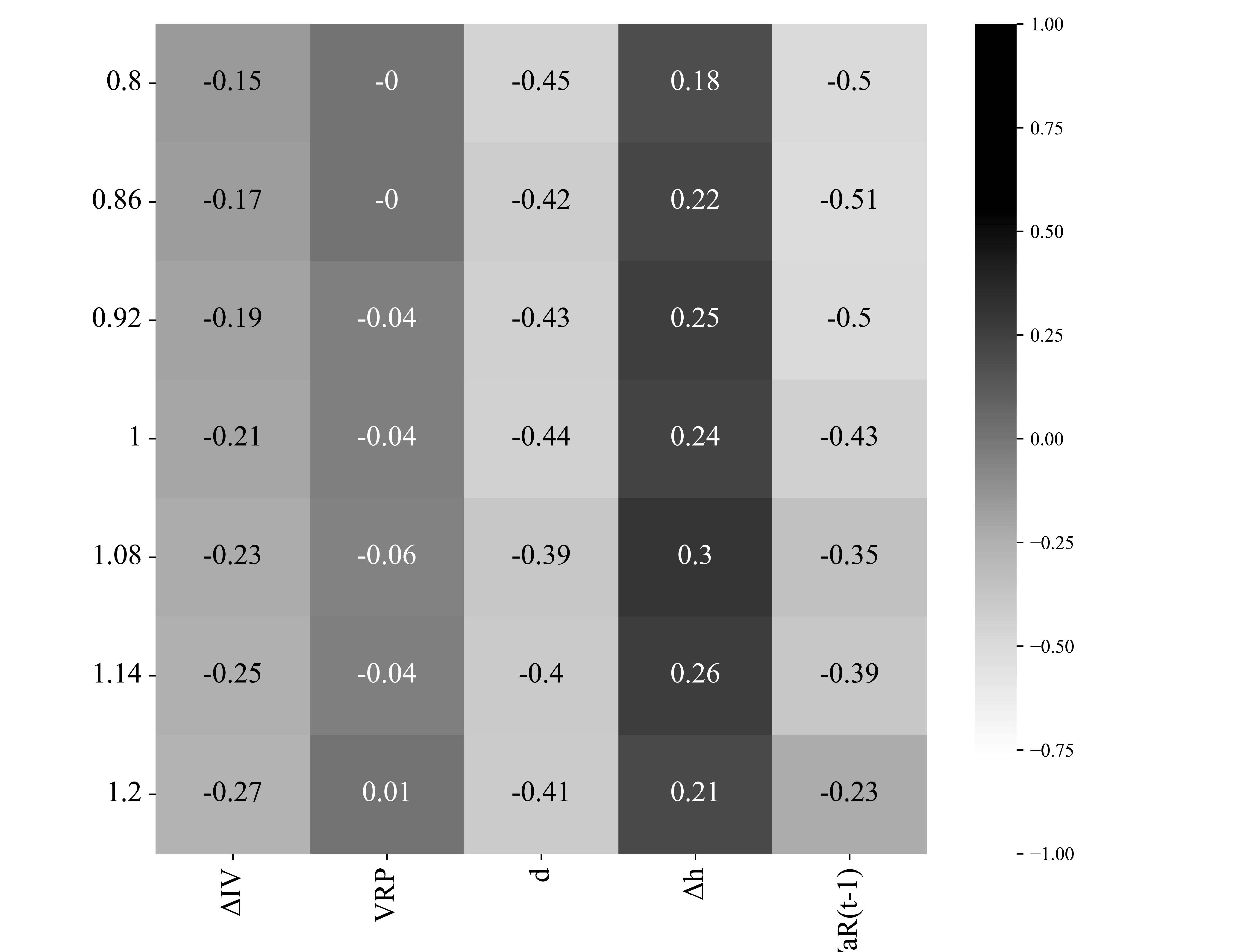
Ниже представлена корреляционная матрица для приращений подразумеваемой волатильности и риск-параметров опциона при разных соотношениях страйка и цены базового актива. Основным выводом является невозможность использовать в таком виде подразумеваемую волатильность и относительные смещения волатильности вместе ввиду высокой корреляции. При этом корреляция приращений подразумеваемой волатильности с приращениями смещений в страйках является не столь сильной, а с риск-премией за волатильность – почти отсутствует.
При этом значения корреляции между общими для всех страйков факторами являются невысокими: для и d; для и ; для d и .
Рис. 7. Корреляционная матрица для приращений подразумеваемой волатильности и риск-параметров при различных соотношениях страйка и стоимости базового актива
В модели, представленные ниже, не включается время до исполнения опционов (t), так как, во-первых, его влияние на риск опционов исследуется отдельно, во-вторых, его объясняющая сила для приращений оценок риска незначительна ( меньшее 0,1%). Для проверки гипотез рассматриваются следующие спецификации модели оценки влияния подразумеваемой волатильности (), риск-премии за волатильность () и структуры волатильности ( и ) на оценки риска логарифмической доходности ():
(23)
(24)
(25)
(26)
(27)
5. Результаты моделирования
Далее представлены результаты исследования: использование оценки максимального правдоподобия для вычисления тренда риска опционов и построение регрессионных моделей для установления зависимости риска опционов от риск-премии за волатильность, подразумеваемой волатильности и структуры волатильности.
На рис. 8 представлены оценки максимального правдоподобия (формула (17)) для четырех параметров, определяющих динамику риска опционов. Оценка риска здесь представлена для обычной доходности опционов и взята по модулю для удобства сравнения (рис. 9). Например, при отношении страйка к цене базового актива, равном 0,8, параметры и равны 0,2 и –2, следовательно, при t равном 1 дню до исполнения, среднее значение уровня риска будет составлять примерно 20% от стоимости инструмента (формула (15)). Так параметр выражает максимальное значение оценки риска, в то время как – это скорость схождения к ней.
Рис. 8. Результаты определения тренда риска опционов
Из полученных результатов оптимизации можно извлечь несколько важных особенностей того, как риск опциона меняется во времени.
- При любом соотношении страйка и стоимости базового актива существует значимый тренд на возрастание средней оценки риска по мере приближения опционов к дате исполнения.
- Скорость возрастания риска по мере увеличения стоимости базового актива немонотонна. Наибольшая разница в риске между 90-м и 1-м днями до исполнения составляет 55% (35% и 90% соответственно) для опционов, у которых страйк равен стоимости базового актива. Для опционов, где страйк в 1,2 раза больше стоимости базового актива – 39% (58% и 97%), где страйк в 0,8 раз меньше стоимости базового актива – 7% (13% и 20%).
- В крайних случаях, когда цена базового актива сильно выше/ниже страйка, динамика риска приближается к константе.
- Волатильность оценки риска так же, как и средняя оценка риска, имеет тренд на возрастание по мере приближения опциона к дате исполнения. При этом динамика волатильности схожа с динамикой среднего, т.е. волатильность также возрастает сильнее всего при страйке, равном стоимости базового актива.
- Разница между реальной динамикой риска опционов и ее трендом при всех соотношениях страйка и стоимости базового актива является случайной величиной.
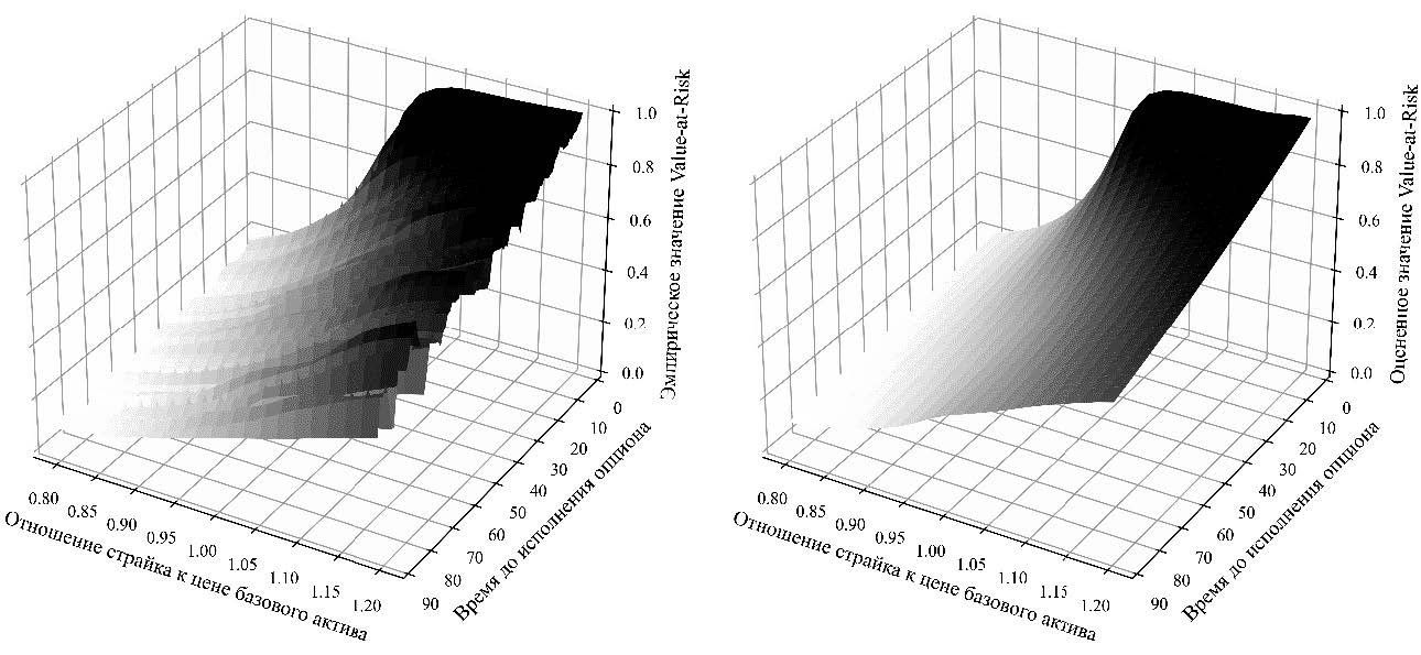
На рис. 9 приведено сравнение динамики фактической оценки риска опционов и тренда риска опционов. При страйке, равном стоимости базового актива, составляет 87%, но снижается в обе стороны: при росте цены базового актива до 36% и при ее снижении до 62%. Подобное снижение качества описательной модели связано с тем, что уровни риска обладают менее выраженными трендами по мере отдаления от центрального страйка, но сохраняют высокую волатильность (рис. 4).
Рис. 9. Оценка тренда риска опциона
Далее рассмотрим результаты регрессионных моделей (формулы (23)–(27)) для оценки влияния риск-параметров на уровень риска опционов. Оценка риска здесь представлена для логарифмической доходности опционов.
Регрессионный анализ дает следующие результаты.
- Риск-премия за волатильность не оказывает значимого влияния на риск опционов при использовании структуры волатильности (добавочный эффект к составляет порядка 1%). При этом риск-премия является более сильным фактором, чем приращения подразумеваемой волатильности.
- Структура волатильности является самым сильным фактором при описании риска (= 49%), а подразумеваемая волатильность – самым слабым (= 27,7%).
- Несмотря на то, что подразумеваемая волатильность отражает волатильность стоимости опционов, она не является значимым фактором и ее включение в модель не приводит к существенному росту объясняющей силы регрессии.
- Рост смещения волатильности в страйках ведет к росту уровня риска, а рост относительного смещения волатильности – к снижению риска. Это означает, что при снижении минимального уровня подразумеваемой волатильности в сторону большего страйка относительно центрального риск опциона растет, при этом чем больше подразумеваемая волатильность на центральном страйке, тем ниже риск опционов.
- Во всех случаях зависимость уровня риска от своего предыдущего значения отрицательная, т.е. снижение уровня риска в среднем приводит к его дальнейшему росту.
Таблица 1.
Результаты регрессий для оценки уровня риска опционов при страйке, равном стоимости базового актива
Форма модели | , % | F-тест | Тест | Критерий Дарбина – Уотсона | a | d | ||||
27,68 | 0,0*** | 0,0*** | 2,03 | 0,06 |
|
|
| –3,25 | –0,52 | |
36,98 | 0,0*** | 0,0*** | 2,36 | 0,18 | 32,79 |
|
| –1,41 | –0,56 | |
48,79 | 0,0*** | 0,01*** | 2,31 | 0,23 |
| –11,74 | 0,16 |
| –0,53 | |
36,50 | 0,0*** | 0,0*** | 2,26 | 0,19 | 35,02 |
|
|
| –0,56 | |
49,09 | 0,0*** | 0,01*** | 2,29 | 0,22 | –8,94 | –13,48 | 0,17 |
| –0,53 |
Примечания. Уровни значимости t–теста: «***» – p < 0,01; «**» – p < 0,05; «*» – p < 0,1; « » – p ≥ 0,1.
Источник: расчеты авторов на основании данных Московской биржи.
При рассмотрении модели, использующей структуру волатильности, на различных соотношениях страйка и стоимости базового актива стоит отметить, что влияние относительного смещения подразумеваемой волатильности является немонотонным. Так, коэффициент сначала растет до страйка, близкого к центральному, и потом снижается. Но в то же время коэффициент при смещении волатильности в страйках возрастает со снижением стоимости базового актива. Влияние предыдущего значения уровня риска при любой стоимости базового актива остается одинаковым.
Таблица 2.
Результаты регрессий для модели 25 при различных соотношениях страйка стоимости базового актива
Отношение страйка к стоимости базового актива | , % | F-тест | Тест | Критерий Дарбина – Уотсона | a | d | ||
0,8 | 32,96 | 0,0*** | 0,0*** | 2,32 | –0,05 | 0,52 | 0,04 | –0,55 |
0,84 | 34,09 | 0,0*** | 0,0*** | 2,34 | –0,04 | 0,62 | 0,05 | –0,56 |
0,88 | 36,48 | 0,0*** | 0,0*** | 2,36 | –0,03 | 0,79 | 0,07 | –0,56 |
0,92 | 34,61 | 0,0*** | 0,0*** | 2,38 | –0,03 | 0,7 | 0,09 | –0,53 |
0,96 | 30,9 | 0,0*** | 0,0*** | 2,36 | 0,07 | 1,17 | 0,1 | –0,51 |
1 | 48,79 | 0,0*** | 0,01*** | 2,31 | 0,23 | –11,74 | 0,16 | –0,53 |
1,04 | 47,8 | 0,0*** | 0,0*** | 2,31 | 0,34 | –20,92 | 0,21 | –0,51 |
1,08 | 37,7 | 0,0*** | 0,0*** | 2,23 | 0,35 | –17,22 | 0,27 | –0,48 |
1,12 | 35,78 | 0,0*** | 0,0*** | 2,26 | 0,32 | –14,36 | 0,26 | –0,55 |
1,16 | 39,39 | 0,0*** | 0,0*** | 2,18 | 0,42 | –25,85 | 0,43 | –0,55 |
1,2 | 44,35 | 0,0*** | 0,0*** | 2,15 | 0,68 | –39,74 | 0,56 | –0,53 |
Примечания. Уровни значимости t–теста: «***» – p < 0,01; «**» – p < 0,05; «*» – p < 0,1; « » – p ≥ 0,1.
Источник: расчеты авторов на основании данных Московской биржи.
6. Заключение
В работе была проведена проверка трех гипотез, описывающих зависимость риска опционов от их риск-параметров и рыночной ситуации, а именно: от срока до исполнения, структуры волатильности, премии за волатильность. В качестве базы для исследования были использованы данные срочной секции Московской биржи по опционам на 27 различных базовых активах за 2009–2021 гг. На их основе были вычислены оценки риска опционов, как исследуемая величина, и факторы ее описывающие: риск-премия за волатильность, подразумеваемая волатильность, относительное смещение волатильности и размер смещения волатильности в страйках. Для проверки вышеуказанных гипотез использовались метод максимального правдоподобия (для оценки тренда) и метод наименьших квадратов (для оценки влияния риск-параметров).
Для риска опционов было установлено, что при любом соотношении страйка и стоимости базового актива существует статистически значимый тренд на возрастание риска по мере приближения опциона к дате исполнения. И средняя оценка риска, и волатильность этой оценки имеют выраженный тренд на возрастание. Скорость возрастания риска по мере увеличения стоимости базового актива не монотонна: на исследуемом временном интервале опционов самая большая разница составляет 55% (от 35% до 90%). Таким образом, риск опциона значимо зависит от срока до исполнения. Эта зависимость является неоднородной при изменении стоимости базового актива, но описание трендом уровня риска составляет 62–87% для случаев, когда стоимость базового актива меньше страйка.
Также было выявлено, что существует зависимость риска опциона от структуры волатильности. Несмотря на то, что подразумеваемая волатильность и ее структура схожи по своей природе, они имеют разную динамику и их совместное использование невозможно ввиду высокой корреляции. Важно отметить, что несмотря на то, что подразумеваемая волатильность фактически описывает волатильность стоимости опционов, она не является значимым фактором. Риск-премия за волатильность является значимым фактором для описания риска опционов, но только при ее отдельном использовании.
Во всех случаях относительное смещение волатильности значимо снижает уровень риска на центральном страйке, расстояние смещения значимо повышает уровень риска. Структура волатильности вместе с этим оказывает значимое влияние на уровень риска, но относительное смещение и смещение в страйках противоположны по своему влиянию для опционов со стоимостью базового актива меньше страйка.
Помимо учета этих аспектов имеется потенциал для повышения чувствительности модели оценки риск-параметров в части опционов со страйком ниже стоимости базового актива, так как там при значимых коэффициентах регрессионных моделей и значимом тренде точность оказалась ниже, чем в других случаях.
Было выявлено существование тренда, описывающего уровень риска опционов по мере их приближения к исполнению, и структуры волатильности, имеющей объясняющую силу в оценке риска опционов. Данные эмпирически выявленные факторы, не учитываемые Московской биржей при назначении маржинальных требований, могут значимо повысить точность оценки риска имеющейся модели. Также существует возможность использования предложенных методов при анализе портфелей или опционных стратегий, что позволит уточнить полученный результат и расширить его на более сложные позиции. В дальнейшем представляет интерес модифицировать существующую модель оценки маржинальных требований с использованием предложенных методов.
Приложение
Таблица П1.
Расшифровка тикеров используемых опционов
Тикер опциона | Наименование базового актива фьючерса |
AFLT | Обыкновенные акции ПАО «Аэрофлот» |
ALRS | Обыкновенные акции ПАО «Алроса» |
CHMF | Обыкновенные акции ПАО «Северсталь» |
FEES | Обыкновенные акции ПАО «ФСК ЕЭС» |
GAZR | Обыкновенные акции ПАО «Газпром» |
GMKN | Обыкновенные акции ПАО «ГМК „Норильский никель“» |
HYDR | Обыкновенные акции ПАО «РусГидро» |
LKOH | Обыкновенные акции ПАО «ЛУКОЙЛ» |
MAGN | Обыкновенные акции ПАО «Магнитогорский металлургический комбинат» |
MGNT | Обыкновенные акции ПАО «Магнит» |
MIX | Индекс Московской биржи |
MOEX | Обыкновенные акции ПАО «Московская биржа» |
MTSI | Обыкновенные акции ПАО «МТС» |
MXI | Индекс Московской биржи (мини) |
NLMK | Обыкновенные акции ПАО «Группа НЛМК» |
NOTK | Обыкновенные акции ПАО «НОВАТЭК» |
PLZL | Обыкновенные акции ПАО «Полюс» |
ROSN | Обыкновенные акции ПАО «Нефтяная компания „Роснефть“» |
RTKM | Обыкновенные акции ПАО «Ростелеком» |
RTS | Индекс РТС |
SBPR | Привилегированные акции ПАО «Сбербанк» |
SBRF | Обыкновенные акции ПАО «Сбербанк» |
SNGP | Обыкновенные акции ПАО «Сургутнефтегаз» |
TATN | Обыкновенные акции ПАО «Татнефть» |
TRNF | Привилегированные акции ПАО «Транснефть» |
URKA | Обыкновенные акции ПАО «Уралкалий» |
VTBR | Обыкновенные акции ПАО «ВТБ» |
About the authors
Artyom I. Potapov
National Research University Higher School of Economics
Author for correspondence.
Email: aipotapov@hse.ru
магистр, аспирант, факультет экономических наук, базовая кафедра инфраструктуры финансовых рынков
Russian Federation, 11, Pokrovsky Blvd., Moscow, 109028References
- Andersen T.G., Fusari N., Todorov V. (2015) The Risk Premia Embedded in Index Options. Journal of Financial Economics, 117, 3, pp. 558–584.
- Arltova M., Fedorova D. (2016) Selection of Unit Root Test on the Basis of Length of the Time Series and Value of AR(1) Parameter. Statistica, 96, 3, pp. 47–64.
- Bank for International Settlements and International Organization of Securities Commissions. Committee on Payment and Settlement Systems. Technical Committee of the International Organization of Securities Commissions (2012) Principles for Financial Market Infrastructures.
- Bates D. (2000) Post-’87 Crash Fears in S&P 500 Futures Options. Journal of Econometrics, 94, pp. 181–238.
- Bernales A., Chen L., Valenzuela M. (2017) Learning and Forecasts about Option Returns through the Volatility Risk Premium. Journal of Economic Dynamics and Control, 82, pp. 312–330.
- Bianconi M., MacLachlan S., Sammon M. (2015) Implied Volatility and the Risk-Free Rate of Re-turn in Options Markets. The North American Journal of Economics and Finance, 31, pp. 1–26.
- Bliss R.R., Panigirtzoglou N. (2004) Option-Implied Risk Aversion Estimates. The Journal of Finance, 59, 1, pp. 407–446.
- Britten-Jones M., Schaefer S. (1999) Non-linear Value-at-Risk. Review of Finance, 2, 2, pp. 161–187.
- Carr P., Wu L. (2016) Analyzing Volatility Risk and Risk Premium in Option Contracts: A New Theory. Journal of Financial Economics, 120, 1, pp. 1–20.
- CCP NCC Management Board (2020) CCP NCC Margin Calculation Principles for Derivatives.
- CCP NCC Management Board (2019) CCP NCC Methodology for Risk Parameters of Moscow Ex-change Derivatives Market.
- CCP NCC Management Board (2022) Methodology for Calculating the Theoretical Price of the Option and the “delta” Coefficient.
- CCP NCC Management Board (2022) Procedure for Calculating Volatility Curves. CCP NCC Management Board.
- CME Group (2019) Chicago Mercantile Exchange. Standard Portfolio Analysis of Risk.
- International Swaps and Derivatives Association (2023) Standard Initial Margin Model.
- Jacobs K., Li B. (2022) Option Returns, Risk Premiums, and Demand Pressure in Energy Markets. Journal of Banking & Finance, 146, 2, pp. 1–58.
- Kiesel R., Rahe F. (2017) Option Pricing under Time-Varying Risk-Aversion with Applications to Risk Forecasting. Journal of Banking & Finance, 76, pp. 120–138.
- Mitra S. (2017) Efficient Option Risk Measurement with Reduced Model Risk. Insurance: Mathematics and Economics, 72, pp. 163–174.
- MOEX (2008) Specification of Margin Option on RTS Index Futures Contract.
- Pan J. (2002) The Jump-Risk Premia Implicit in Options: Evidence from An Integrated Time-Series Study. Journal of Financial Economics, 63, pp. 3–50.
- Pang X., Zhu S., Cui X., Ma J. (2023) Systemic Risk of Optioned Portfolios: Controllability and Optimization. Journal of Economic Dynamics and Control, 153, pp. 1–47.
- Potapov A.I., Kurbangaleev M.Z. (2023) Comparison of Central Counterparty Risk Assessment Approaches. HSE Economic Journal, 27, 2, pp. 196–219.
- Yun J. (2011) The Role of Time-Varying Jump Risk Premia in Pricing Stock Index Options. Journal of Empirical Finance, 18, pp. 833–846.
Supplementary files











