Реализация метода структурно-параметрической оптимизации графовых моделей организационно-технических систем
- Авторы: Попов А.В.1
-
Учреждения:
- ФГКОУ ВО «Воронежский институт МВД России»
- Выпуск: Том 19, № 3 (2023)
- Страницы: 35-45
- Раздел: Математическое моделирование и информационные технологии
- URL: https://journal-vniispk.ru/1816-9228/article/view/253731
- DOI: https://doi.org/10.18822/byusu20230335-45
- ID: 253731
Цитировать
Полный текст
Аннотация
Предмет исследования: возможность реализации структурно-параметрического перехода между различными состояниями организационно-технических систем с учетом свойств и особенностей реализуемых в них процессов.
Цель исследования: необходимость разработки и реализации методов, направленных на решение оптимизационных задач, которые связаны со структурными преобразованиями моделей организационно-технических систем, и позволяющих учитывать их промежуточные состояния при переходе из исходного состояния в требуемое.
Объекты исследования: математические модели организационно-технических систем, представленные в виде знаковых взвешенных ориентированных графов с выделением типов отношений между элементами с точки зрения теории конфликтов.
Методы исследования: используется метод системного анализа, сопряженный с выделением типов отношений между элементами исследуемых систем с точки зрения теории конфликтов, а также формализации решения оптимизационных задач на основе структурно-параметрического представления объектов исследования.
Основные результаты исследования: приведены модели организационно-технических систем в структурно-параметрическом отношении с учетом выделенных типов отношений между их элементами с точки зрения теории конфликтов; разработан метод, который основан на формировании кортежей операций, необходимых для структурного преобразования исследуемых систем, и позволяющий учитывать пути опосредованного перехода из исходного состояния системы в требуемое (оптимальное); разработан вспомогательный алгоритм, основанный на использовании базы данных, содержащей в себе множество кортежей дополнительных операций, необходимых для переходов в промежуточные состояния. Приведен пример реализации предложенного метода на модели сети связи, из которого видно, каким образом может осуществляться структурно-параметрическая оптимизация организационно-технических систем.
Ключевые слова
Полный текст
Введение
Деятельность органов внутренних дел сопряжена с непрерывной эксплуатацией технических средств различного назначения. Таким образом, процессы, направленные на повышение эффективности деятельности подразделений территориальных органов МВД России, связанной с охраной общественного порядка и обеспечением общественной безопасности, требуют разработки новых методов и подходов к исследованию свойств и решению оптимизационных задач по поддержанию надежного и бесперебойного функционирования систем «человек-техника». Как правило, такие системы рассматривает теория организационно-технических (эргатических) систем [1–3]. Она позволяет формировать системное представление о структурных особенностях и принципах функционирования организационно-технических систем (ОТС) в различных условиях. Под такими условиями будем понимать совокупность воздействий (реализуемых процессов) элементов системы друг на друга, характер которых определяет дальнейшую динамику развития системы, т. е. способствует как повышению, так и снижению эффективности функционирования ОТС. В общем случае можно выделить два класса процессов: процессы, реализуемые организационным элементом (р1 – проектирование; р2 – модернизация; р3 – эксплуатация; р4 – управление; р5 – мониторинг качества оказываемых услуг; р6 – техническое обслуживание; р7 – ремонт; р8 – хранение; р9 – транспортирование) и процессы, реализуемые техническим элементом (р10 – формирование; р11 – прием; р12– обработка; р13 – хранение; р14 – передача сообщений электросвязи).
Характер возникающих воздействий в зависимости от природы реализуемых процессов в рассматриваемой предметной области способствует возникновению отношений между элементами, которые обосновываются с точки зрения концептуально-понятийного аппарата теории конфликтов [4–6]. Так, при реализации некоторого процесса элементом по отношению к элементу в зависимости от взаимодостижимости их индивидуальных целей может быть выделено одно из трех базовых типов отношений: конфликт (), сотрудничество () или безразличие ().
Выделение типов отношений между элементами обуславливает тот факт, что при моделировании ОТС с точки зрения теории конфликтов нашли свое применение знаковые ориентированные взвешенные графы [7], в которых элементам системы соответствуют вершины , а отношениям между каждым -м и -м элементами – дуги . Таким образом, модель некоторого состояния исследуемой системы , в состав которой входит множество элементов , множество воздействий элементов друг на друга , а также множество функций полезности элементов , на основе которых выделяются типы отношений, будет представлена в виде графа , где – множество вершин графа (), – множество дуг графа (), – множество весовых коэффициентов влияний, присваиваемых дугам, где ; – множество знаков дуг графа, задаваемых на основе выделенных типов отношений в соответствии со следующими условиями:
Таким образом, является моделью состояния системы в структурно-параметрическом представлении. Поскольку на некотором интервале времени не всегда может признаваться оптимальным, ввиду наличия в ее структуре совокупности процессов, способствующих снижению эффективности функционирования такой ОТС, возникает необходимость ее модернизации. Проводимые исследования [8, 9] выявили зависимость между структурно-параметрическими свойствами моделей показателями эффективности ОТС. Наряду с этим, повышение эффективности функционирования сопряжено, в том числе, со структурными изменениями ее модели .
Так, если исходное состояние было признано неэффективным, задача структурно-параметрической оптимизации сводится к поиску пути перехода из в , где – структура состояния , которое является эталонным (оптимальным).
Работы авторов [10–14] сопряжены с исследованием и разработкой различных алгоритмов и операций на графовых моделях систем различного назначения в целях решения оптимизационных задач. Так, например, в исследовании [10] – графовые модели технической, информационной части объекта управления, а также обобщенная модель объекта и реализуемые в них переходы из одного состояния в другое рассмотрены, основываясь на методах, реализованных в теории автоматов; в [11] исследован случайный процесс распространения огня по ребрам двух видов конфигурационных графов со случайными степенями вершин, а также оценены оптимальные значения распределений параметров степеней вершин. В работе [12] предлагаются математические методы декомпозиции графовых моделей информационных систем (ИС), позволяющие снизить вычислительную сложность задач нахождения временных оценок ИС, а в [14] представлено обобщенное представление сложной системы в виде ее формализации в форме графа с вероятностными значениями его вершин, определяющими конкретное исследуемое свойство структурных элементов изучаемой системы.
Однако в работах не рассмотрены вопросы, связанные с необходимостью структурных преобразований графовых моделей исследуемых систем, а также определения минимального перечня операций на графе, необходимых для требуемого преобразования. Отметим, что процесс перехода из исходного состояния системы в требуемое должен осуществляться с учетом интерпретации реализуемых мероприятий в предметной области.
Постановка цели и задачи исследования
Целью исследования является разработка и реализация метода и алгоритма, направленных на решение оптимизационных задач, которые связаны со структурными преобразованиями моделей организационно-технических систем, и позволяющих учитывать их промежуточные состояния при переходе из исходного состояния в требуемое.
Результаты и обсуждение
В наиболее простом представлении метод структурно-параметрической оптимизации [155] заключается в формировании кортежа на основе графа , определяемого выражением
(1)
где – структура исходного состояния, требующего модернизации; – оператор симметрической разности.
Кортеж операций на графе , необходимых для перехода , будет называться кортежем прямого перехода, задаваться как
и включать в себя семь основных операций: – добавление вершины ; – удаление вершины ; – добавление положительной дуги ; – добавление отрицательной дуги; – удаление дуги; – изменение знака дуги; – изменение веса дуги.
Таким образом, если и – матрицы смежности графов и соответственно, и , то формирование и пополнение кортежа будет осуществляться следующим образом:
1) если и , (2)
то выполняется проверка условий
(3)
где – оператор включения элемента в множество.
2) если , (4)
то изначально выполнить операцию:
после чего выполнить проверку условий (3) .
3) если , (5)
то выполнить
после чего аналогичным образом выполнить проверку условий (3) .
В результате будет сформирован кортеж реализуемых операций для перехода из в , например, . Как правило, учитывая свойства реализуемых процессов в реальных ОТС, в большинстве случаев является невозможным осуществить структурно-параметрический переход из исходного состояния в оптимальное, используя только тот перечень операций, который содержит кортеж прямого перехода . Возникает это по причине того, что, например, целенаправленное удаление дуги или вершины в графе (операции и соответственно) интерпретируется как подавление некоторого процесса в системе, либо нейтрализация элемента . Зачастую выполнение таких процедур сопровождается дополнительными структурными преобразованиями, сопровождающимися включением сторонних элементов и (или) процессов, позволяющих решить оптимизационную задачу предметной области.
Таким образом, для адаптации ранее разработанного метода [15] возникает необходимость пополнения кортежа дополнительными операциями для учета промежуточных структурно-параметрических состояний графовых моделей и адекватного отражения свойств реализуемых процессов в ОТС.
Рассмотрим произвольный кортеж операций перехода из в . Положим, что выполнение операции добавления вершины без перехода в промежуточное состояние невозможно, исходя из свойств системы и структуры . Пусть для выполнения операции нужно предварительно добавить в структуру дополнительную вершину и положительную дугу , где . Тогда кортеж операций, необходимых для перехода в промежуточное состояние , примет вид:
,
где – порядковый номер элемента в кортеже .
Определим, что из структуры может быть осуществлен прямой переход в , тогда кортеж операций для прямого структурного перехода будет преобразован в кортеж опосредованного перехода :
,
где – кортеж операций для структурного перехода из в и включающее в себя процедуры удаления ранее добавленного элемента и дуги . Отметим, что если для структурного перехода из в требуется большее количество промежуточных состояний, соответственно, будут формироваться дополнительные кортежи , и т. д.
В случае, когда включает в себя более одного элемента, то формализация решения задачи сводится к формированию кортежей для каждого -го элемента кортежа . В результате формирование кортежа операций опосредованного перехода из в будет осуществляться следующим образом:
, (6)
где (n – 1), (m – 1) – количество промежуточных состояний необходимых для выполнения каждой -й операции, принадлежащей .
При формировании с использованием (6) необходимо учитывать два дополнительных условия:
- если выполнение операций возможно без перехода в промежуточное состояние, то , т. е. и будут состоять только из одного элемента;
- если некоторая операция одновременно принадлежит нескольким кортежам опосредованного перехода, т. е. , то она исключается из при условии, что .
Для того, чтобы сократить временные ресурсы при формирования можно предложить использование базы данных, которая будет содержать информацию о необходимых дополнительных структурных преобразованиях графовых моделей (промежуточных состояниях) для перехода из в при явном определении и оценке каждого процесса , который может быть реализован элементами системы. Такая база данных будет содержать кортежи , требуемые для выполнения операций , и при необходимости может пополняться. Для этого предложим вспомогательный алгоритм, осуществляющий инициализацию всех имеющихся в системе процессов и позволяющий определять состав кортежей для каждой операции , входящей в состав исходного кортежа операций прямого перехода из в . Блок-схема такого алгоритма представлена на рисунке 1.
Рисунок 1 – Блок-схема алгоритма определения кортежей
Представленный на рисунке 1 алгоритм может быть модернизирован путем включения в состав множества операций временных ресурсов, затрачиваемых на их реализацию, а также добавления блоков оценки эффективности выбранного решения и сравнения с другими решениями, имеющимися в базе.
В таком случае для каждого для каждого -го элемента кортежа может формироваться не одно, а несколько альтернативных вариантов кортежей опосредованного перехода для каждого -го промежуточного состояния (при их наличии). С учетом временных характеристик операций кортеж может быть представлен в следующем виде:
(7)
где – время реализации некоторой операции .
Такой подход позволяет осуществить поиск кратчайшего пути перехода из в при помощи выбора пути с наименьшими временными затратами. Так, если и , где – один из альтернативных кортежей для , то будет осуществляться проверка условия
(8)
где и рассчитываются по формулам:
(9)
(10)
Если (8) выполняется, то , в противном случае – .
Апробация разработанного метода
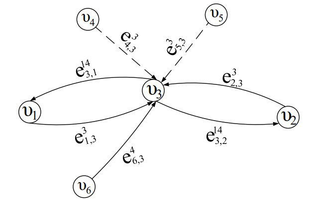
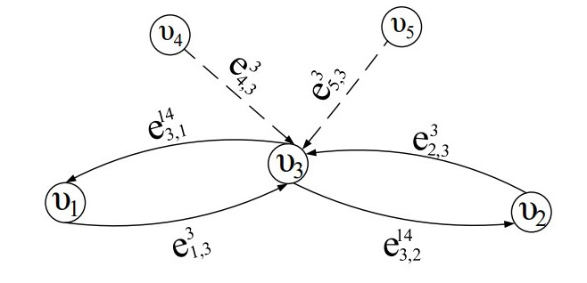
Было рассмотрено некоторое состояние организационно-технической системы на примере сети связи, такое что где – пользователи сети связи; – сетевое устройство (коммутатор); – нарушители; ; . Анализируя свойства реализуемых процессов в таком состоянии сети, можно прийти к выводу о том, что процессы по эксплуатации сетевого устройства ,, реализуемые нарушителями, снижают эффективность функционирования сети связи и, соответственно, приводят к убыванию функции полезности элемента , на который направлено их воздействие (т. е. находятся с ним в состоянии системного конфликта). Логичным является вывод о неэффективности такого состояния системы и необходимости структурного перехода в состояние , обладающее требуемой эффективностью. Как правило, такое состояние системы включает в себя только пользователей и процессы, направленные на эксплуатацию сетевого устройства и передачу данных. Таким образом, модели состояний и представим на рисунках 2 и 3 в виде графов и соответственно.
Рисунок 2 – Граф
Рисунок 3 – Граф
Применяя разработанный метод, было получено, что кортеж прямого перехода из в включает в себя операции удаления дуг и , поскольку для такого структурно-параметрического перехода в соответствии с (4), выполнение двух операций и является необходимым и достаточным. В таком случае подразумевается то, что удаление дуг и происходит автоматически при удалении смежных с ними вершин и . Тогда переход в оптимальное состояние осуществляется с использованием операций, являющихся элементами кортежа .
Исходя из свойств данной ОТС, необходимо отметить, что для нейтрализации конфликтного воздействия со стороны нарушителей на сетевое устройство возникает необходимость включения в состав системы дополнительного элемента – инженера, реализующего процесс управления коммутатором , подразумевающего отключение портов коммутатора, либо ограничение их пропускной способности в целях нейтрализации вредоносной деятельности элементов и в сегменте сети связи. Такое обоснование позволило разработать модели и промежуточных состояний для перехода из в для каждого элемента . В силу эквивалентности природы элементов и , реализуемых ими процессов , и выполняемых операций и , был сформулирован вывод о том, что графы и соответствуют друг другу (см. рисунок 4).
Рисунок 4 – Граф
Таким образом, если , то
Исходя из условий формирования кортежей операций (3), было получено, что
;
;
.
Поскольку , то из второго дополнительного условия формирования следует, что
Тогда .
После того как кортеж был сформирован, целесообразно перейти к интерпретации его элементов в предметной области и внесению решения в базу данных, если до этого оно отсутствовало.
Заключение и выводы
Разработанный метод структурно-параметрической оптимизации моделей организационно-технических систем и его реализация позволяют определять перечень операций, необходимых для структурного преобразования моделей ОТС. Благодаря разработанному методу можно оценивать длину как прямого, так и опосредованного пути перехода из исходного состояния в требуемое, обусловленного свойствами процессов, реализуемых в конкретной ОТС.
Учет временных интервалов выполнения каждой операции на графе для структурно-параметрического перехода позволит оценивать и прогнозировать продолжительность реализации комплекса мероприятий по оптимизации любой ОТС и, соответственно, оценивать различные пути решения поставленных задач.
Программная реализация разработанного метода позволит определять перечень мероприятий, направленных на модернизацию и оптимизацию ОТС в целях повышения эффективности ее процессов функционирования, а также существенно сократить временные затраты на поиск оптимальных решений.
1 Если , то размерность матриц смежности выбирается для
Об авторах
Алексей Вячеславович Попов
ФГКОУ ВО «Воронежский институт МВД России»
Автор, ответственный за переписку.
Email: Alex_std_ex@mail.ru
ORCID iD: 0000-0002-9949-0286
преподаватель кафедры инфокоммуникационных систем и технологий
Россия, ВоронежСписок литературы
- Белов, М. В. Управление жизненными циклами организационно-технических систем / М. В. Белов, Д. А. Новиков. – Москва : Ленанд, 2020. – 384 с. – Текст : непосредственный.
- Компьютерная поддержка сложных организационно-технических систем / В. В. Борисов [и др.]. – Москва : Горячая линия – Телеком, 2002. – 154 с. – Текст : непосредственный.
- Мистров, Л. Е. Метод структуризации конфликтного взаимодействия организационно-технических систем / Л. Е. Мистров, Д. А. Первухин, Ю. В. Ильюшин. – Текст : непосредственный // Записки Горного института. – 2014. – Т. 208. – С. 263–266.
- Дружинин, В. В. Введение в теорию конфликта / В. В. Дружинин, Д. С. Конторов, М. Д. Конторов. – Москва : Радио и связь, 1989. – 288 с. – Текст : непосредственный.
- Сысоев, В. В. Конфликт. Сотрудничество. Независимость. Системное взаимодействие в структурно-параметрическом представлении / В. В. Сысоев. – Москва : Московская академия экономики и права, 1999. – 151 с.– Текст : непосредственный
- Светлов, В. А. Управление конфликтом. Новые технологии принятия решений в конфликтных ситуациях : учебное пособие / В. А. Светлов. – Саратов : Ай Пи Эр Медиа, 2019. – 136 c. – Текст : непосредственный.
- Кристофидес, Н. Теория графов. Алгоритмический подход / Н. Кристофидес. – Москва : Мир, 1978. – 427 с. – Текст : непосредственный.
- Попов, А. В. Условия и порядок проведения натурного эксперимента на сегменте сети связи специального назначения / А. В. Попов. – Текст : непосредственный // Актуальные вопросы эксплуатации систем охраны и защищенных телекоммуникационных систем : сб. мат. конф., Воронеж, 09 июня 2022 года. – Воронеж : ВИ МВД России, 2022. – С. 80–82.
- Попов, А. В. Исследование взаимосвязи между конфликтными свойствами и показателями эффективности организационно-технических систем на примере сети связи специального назначения / А. В. Попов, О. В. Пьянков. – Текст : непосредственный // Вестник Новосибирского государственного университета. Серия: Информационные технологии. – 2022. – Т. 20. – № 4. – С. 39–60.
- Кобзев, В. В. Разработка обобщенной модели объекта управления и действий оператора на основе графа переходов / В. В. Кобзев, А. П. Чернев. – Текст : непосредственный // Морской вестник. – 2018. – № 3(67). – С. 96–98.
- Лери, М. М. Пожар на конфигурационном графе со случайными переходами огня по ребрам / М. М. Лери. – Текст : непосредственный // Информатика и ее применения. – 2015. – Т. 9, № 3. – С. 65-71.
- Меньших, В. В. Декомпозиция графовых моделей информационных систем / В. В. Меньших, Е. Ю. Никулина. – Текст : непосредственный // Вестник Воронежского института МВД России. – 2009. – № 4. – С. 126-131.
- Цветков, А. Ю. Использование формулы Мейсона для преобразования структурных схем и ориентированных графов / А. Ю. Цветков, И. Р. Федоров. – Текст : непосредственный // Инновации. Наука. Образование. – 2021. – № 34. – С. 1175-1180.
- Структурный графовый подход к математическому моделированию исследований динамики сложных информационных систем / А. С. Дубровин, Т. И. Касаткина, В. А. Павлов, С. Ю. Болотова. – Текст : непосредственный // Вестник Воронежского института ФСИН России. – 2017. – № 4. – С. 36-47.
- Пьянков, О. В. Метод синергетической модификации эргатических систем предметного назначения / О. В. Пьянков, А. В. Попов. – Текст : непосредственный // Вестник Воронежского института МВД России. – 2019. – № 4. – С. 64–72.
Дополнительные файлы






