Phase transitions, structure and properties of solid solutions V2 – ΔME0,02O3
- Autores: Kuznetsova Y.V.1, Lyakh O.V.2
-
Afiliações:
- Surgut State University
- Omsk State Technical University
- Edição: Volume 19, Nº 3 (2023)
- Páginas: 157-165
- Seção: New materials and technology
- URL: https://journal-vniispk.ru/1816-9228/article/view/253744
- DOI: https://doi.org/10.18822/byusu202303157-165
- ID: 253744
Citar
Texto integral
Resumo
Subject of research: the article presents studies of the properties of solid solutions V2–δMe0,02O3 in the metal–dielectric phase transition region.
Purpose of research: to obtain temperature dependences of physical parameters (heat capacity, electrical resistance, magnetic susceptibility) of samples of the composition V2–δMe0,02O3 in the range of 60-400 K; to determine the effect of vanadium concentration and the type of alloying element on the parameters of the phase transition and the parameters of the energy spectrum of the crystal lattice.
Methods and objects of research: the objects of research were solid solutions based on vanadium oxide V2O3, alloyed with aluminum, iron, chromium. Doping was used to regulate and stabilize the parameters of the V2O3 phase transition. The temperature of the phase transition was determined by measuring the temperature dependences of heat capacity, electrical resistance and magnetic susceptibility.
Main results of research: in the course of experimental studies, it was found that the temperatures of metal–dielectric phase transitions determined by different methods are close in their values. The dependences of the phase transition temperature on the parameters of the crystal lattice, changes in magnetic susceptibility for pure and doped vanadium oxide, as well as the dependence of the transition temperature and the electrical resistivity jump on the Debye temperature are obtained. The influence of alloying metals and vanadium concentration on the properties of the studied samples in the phase transition region was determined by the temperature dependences of magnetic susceptibility, electrical resistance and heat capacity.
Texto integral
Введение
Твёрдые растворы на основе оксида ванадия V2O3 испытывают фазовый переход металл – диэлектрик (ФПМД) при температурах, близких к 340 К. Поскольку технология получения материалов относительно проста, а температура перехода Тмп лежит в области удобной для практического применения, данные соединения широко используются в технических устройствах (ограничители тока, термисторы, тепловые реле и устройства автоматического управления), а также в качестве датчиков температуры в каротажных автономных акустических приборах, предназначенных для геофизического исследования нефтяных скважин [1]. На основе оксидов ванадия возможен синтез тонкопленочного интерферометра, используемого как обратимая среда для записи голограмм, и модулятора инфракрасного излучения, что представляет собой определённый практический интерес.
Для стабилизации свойств данных соединений, которые зависят от ряда физико-химических и технологических факторов, проводят легирование V2O3 переходными металлами.
Были проведены углубленные исследования физических свойств оксида ванадия с составом, близким к стехиометрическому, и некоторых соединений состава V2-δMeδO3. Таким образом, данные материалы являются наиболее «простыми» объектами, имеющими фазовый переход металл – полупроводник, и их комплексное исследование наиболее целесообразно с научной и практической точки зрения.
В настоящее время, несмотря на большое количество исследований по этой тематике, обсуждается вопрос о моделях, адекватно описывающих природу фазового перехода в V2O3, т. к. имеющиеся материалы результатов исследований свойств твердых растворов на основе V2O3 дают противоречивые сведения. Например, температура ФПМД может различаться на несколько градусов, несмотря на то, что исследования проводились для образцов, одинаковых по своему составу. Модели Мотта или Пайерлса наиболее часто используются для описания ФПМД [2, 3].
Результаты и обсуждение
Растворяя в пятиокиси ванадия необходимые навески железа, алюминия или хрома, получали материалы первоначального состава V1,98Me0,02O5, из которого методом [4] синтезировались образцы системы V2-δMe0,02O3, где Ме – это Fe, Cr, Al. Температура синтеза варьировалась от 970 до 1320 К, время синтеза 4–6 часов, давление водорода поддерживалось близким к атмосферному (~ 105 Па). Фазовый, элементный состав и рентгеноструктурный анализ определялся на дифрактометрах марки Shimadzu Maxima_Х XRD-7000 и ДРОН 4М.
Температуры ФПМД определялись по данным измерений температурных зависимостей теплоемкости, электросопротивления и магнитной восприимчивости и представлены в таблице 1 [5]. Как видно, ТМД для одного состава, определённые по разным зависимостям, несколько отличаются друг от друга и зависят от концентрации ванадия и легирующего элемента в образце.
Таблица 1. Температуры фазового перехода металл-диэлектрик, определенные по данным теплоемкости (Тс), электросопротивления (Тρ) и магнитной восприимчивости (Тχ)
Соединение V2-δ Me0,02 O3 | Температура фазового перехода ТМД, К | ||
ТС | Тρ | Тχ | |
V1,973 Fe0,02 O3 | 164,2 | 165 | 164 |
V1,954 Fe0,02 O3 | 161,8 | 163 | 162 |
V1,929 Fe0,02 O3 | 161,0 | 162 | 162 |
V1,973 Cr0,02 O3 | 164,9 | 165 | 162 |
V1,954 Cr0,02 O3 | 164,1 | 165 | 166 |
V1,929 Cr0,02 O3 | 163,2 | 164 | 165 |
V1,973 Al0,02 O3 | 174,1 | 174 | 175 |
V1,9954 Al0,02 O3 | 168,2 | 169 | 170 |
V1,929 Al0,02 O3 | 166,1 | 168 | 169 |
Разница в значениях температур фазового перехода ТС, Тρ и Тχ, объясняется, в первую очередь, неоднородностью материала по составу и выбором способов определения указанных температур.
Причину изменения температуры фазового перехода ТМД с изменением состава материала можно объяснить следующим образом. При температурах ниже температуры перехода кристаллическая решётка является моноклинной. При температурах выше ТМД кристаллическая решётка – гексагональная, т. е. изменяется симметрия кристаллической решетки. При изотермическом процессе внутренняя энергия решетки не изменяется, но внутренние силы, силы межмолекулярного (межатомного) взаимодействия, совершают работу. Изменения в размере взаимодействия влияют на работу, выполняемую внутренними силами во время фазового перехода, тем самым влияя на температуру перехода.
При изменении концентрации ванадия в материале наблюдаются искажения кристаллической решетки, что аналогично увеличению внешнего давления, и, следовательно, приводит к уменьшению температуры ТМД [5]. О влиянии внешнего давления на температуру ФПМД говорится в [1] и подтверждается нашими исследованиями. В зависимости от атомных радиусов легирующих элементов, температура перехода может как уменьшаться, так и увеличиваться. Температура перехода в чистой трёхокиси ванадия V2O3 с изменением концентрации ванадия уменьшается. Легирование железом понижает ТМД [6]. Таким образом, чем меньше концентрация ванадия, тем ниже ТМД.
Температура фазового перехода для соединений V2-хCrхO3 стехиометрического состава, согласно [5], возрастает с увеличением х. Однако в ходе наших исследований материалов этой системы температура перехода уменьшается. Объясняется это тем, что изученные нами материалы существенно нестехиометричны. Данное наблюдение характерно и для материалов, легированных железом.
Заметный рост ТМД свойственен легированному алюминием V2O3, о чём свидетельствуют экспериментальные данные (таблица 1). Температура перехода уменьшается с увеличением отклонения состава материала от стехиометрического.
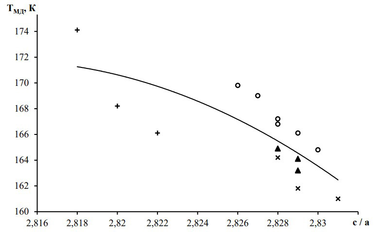
Легирование материалов приводит к изменению параметров кристаллической решетки [7]. На рисунке 1 представлены зависимости температуры фазового перехода от параметров решётки исследуемых образцов (от соотношения «с/а»). Хорошим подтверждением справедливости модели Мотта [2] для образцов системы V2-δMe0,02O3 служит тот факт, что температура фазового перехода понижается с увеличением отношения «с/а».
Рисунок 1 – Зависимость температуры фазового перехода от параметров кристаллической решётки для соединений V2±δ O3 (o), V2-δ Al0,02 O3 (+), V2-δFe0,02O3 (x), V2-δ Cr0,02O3 (▲)
Легирование V2O3 ведёт к изменению параметров, определяющих магнитные свойства материала. Измерение магнитной восприимчивости проводилось методом Фарадея в диапазоне температур 80–300 К. За эталон принималась чистая платина [8]. Погрешность измерений не превышала 6%.
Зависимость температуры ТМД от изменения магнитной восприимчивости ∆χ для чистого и легированного V2O3 представлена на рисунке 2. Для всех изученных материалов на температурной зависимости магнитной восприимчивости в области фазового перехода наблюдается скачок ∆χ, что связано с плотностью электронных состояний вблизи уровня Ферми [5].
Рисунок 2 – Зависимость температуры фазового перехода от изменения магнитной восприимчивости Δχ для соединений V2±δ O3 (o), V2-δ Al0,02 O3 (+), V2-δFe0,02O3 (x), V2-δ Cr0,02O3 (▲)
Температурная зависимость теплоемкости исследуемых соединений определялась с помощью вакуумного адиабатического калориметра типа Стрелкова. Градуировка установки проводилась путем сравнения измеряемых значений теплоемкости с эталоном (медь электролитическая). Основная погрешность измерения связана с возможными нарушениями адиабатического режима эксперимента и не превышала 1% [9].
Экспериментальные данные по теплоемкости для всех соединений показывают, что теплоемкость растет с увеличением температуры. Для соединения стехиометрического состава при соответствующих температурах теплоёмкость принимает наименьшие значения. Стоит отметить, что чем больше отклонение от стехиометрического состава, тем больше возрастает теплоемкость [5]. В пределах области стехиометрического состава (V2,000O3) образец обладает наибольшей температурой фазового перехода ФПМД – 169,8 К. Изменение содержания ванадия в образцах приводит к уменьшению ТМД. Например, для V1,949O3 температура перехода 164,8 К.
При введении в состав образца легирующих элементов значения теплоемкостей при температурах ниже ТМД могут отличаться друг от друга в пределах от 0 до ~ 20%, но с повышением температуры разница в теплоемкостях нивелируется [9].
Для образцов V1,973Fe0,02O3 и V1,973Cr0,02O3 температура фазового перехода 164,2 К и 169,4 К соответственно, т. е. легирование Fe и Cr понижает температуру фазового перехода. Для образцов, содержащих алюминий ТМД, наоборот, повышается (для V1,973Al0,02O3 ТМД ~ 174,1 К). Уменьшение температуры фазового перехода свойственно для всех серий V2 – δ Me0,02 O3.
Из экспериментальных данных по теплоемкости получены дополнительные сведения о параметрах электронного и фононного спектров (таблица 2).
Таблица 2. Температура Дебая QД, изменение энтропии ∆S, коэффициент электронной теплоемкости γ, скачок электросопротивления ∆lg(R/R0) для соединений V2 – δMe0,02 O3
Соединение V2 – δ Me0,02 O3 | QД, К | ∆S, Дж/(моль·К) | γ, 10-4 Дж/(моль·К2) | ∆lg(R/R0) |
V1,973 Fe0,02 O3 | 590 | 10,0 | 122 | 4,2 |
V1,954 Fe0,02 O3 | 580 | 9,8 | 121 | 3,8 |
V1,929 Fe0,02 O3 | 570 | 9,6 | 120 | 3,4 |
V1,973 Cr0,02 O3 | 610 | 9,8 | 119 | 5,0 |
V1,954 Cr0,02 O3 | 600 | 11,0 | 133 | 4,4 |
V1,929 Cr0,02 O3 | 590 | 10,5 | 129 | 3,8 |
V1,973 Al0,02 O3 | 620 | 9,7 | 111 | 4,4 |
V1,9954 Al0,02 O3 | 610 | 9,5 | 113 | 4,0 |
V1,929 Al0,02 O3 | 610 | 9,5 | 114 | 3,8 |
По изменению энтропии фазового перехода определён коэффициент электронной теплоёмкости γ [10], который принимает достаточно высокие значения. Таким образом, плотности состояний имеют узкие и высокие пики в d-зоне. Таким образом, для соединений V2-δMe0,02O3 характерно сильное электрон-фононное взаимодействие [11]. Но для исследуемых соединений V2O3 и V2-δ Me0,02O3 не удаётся установить общие закономерности для температуры ТМД и плотности электронных состояний вблизи уровня Ферми.
Для исследуемых образцов температура фазового перехода увеличивается с увеличением температуры Дебая (рис. 3).
Рисунок 3 – Зависимость температуры фазового перехода от температуры Дебая (QД) для соединений V2±δ O3 (o), V2-δ Al0,02 O3 (+), V2-δ Fe0,02O3 (x), V2-δ Cr0,02O3 (▲)
Температура Дебая QД рассчитывается по формуле:
ћω0 = k·QД,
где ω0 – максимальная граничная частота фононного спектра в модели Дебая. Таким образом, вышесказанное подтверждает возможность привлечения модели Пайерлса [3] к описанию фазового перехода металл – диэлектрик в соединениях V2-δMe0,02O3.
Исследование электросопротивления проводилось на образцах, изготовленных в виде прессованных таблеток [5, 7]. То есть о надежном определении абсолютных значений электросопротивления R говорить не приходится. В этом случае для сравнительного анализа оптимально использовать относительные значения электросопротивления R/R0, где R0 – сопротивление материала при температуре Т0 = 273 К.
Значения температуры фазового перехода ТМД, в области которого для исследуемых материалов на зависимостях R/R0(Т) наблюдается скачок, зависят от глубины вакуума в измерительной ячейке. Ширина интервала фазового перехода ∆Т/ в значительной степени зависит от способа синтеза материала. Для составов, близких к стехиометрическому составу, ширина перехода порядка 6–8 К. При отклонении от стехиометрии ∆Т/ увеличивается.
Исследуемые образцы представляют собой совокупность множества мельчайших частиц с конечными геометрическими размерами, в ходе синтеза которых атомы кислорода в первую очередь взаимодействуют с поверхностью частиц, и лишь потом проникают вглубь материала. То есть отдельная частица – это не однородное по составу образование, что приводит к размытию фазового перехода. Вследствие этого были выбраны правила определения ТМД из данных по электропроводности, как температуры, соответствующей значению температуры на середине температурного интервала ∆Т/. Погрешность определения температуры не превышала 3 К.
Образец стехиометрического состава V2O3 имеет величину скачка сопротивления около 9 порядков, температура фазового перехода ~171 K. С изменением содержания ванадия в оксиде ТМД уменьшается. Для образцов, легированных Fe и Cr, температура перехода уменьшается до 162 К, а для легированных алюминием – увеличивает до 174 К.
При фазовом переходе металл – диэлектрик на величину скачка электросопротивления ∆lg(R/R0) соединений ванадия значительно влияет легирование атомами переходных металлов. В таблице 2 приведены полученные экспериментально значения скачка электросопротивления ∆lg(R/R0) для соединений V2-δMe0,02O3. Зависимости ∆lg(R/R0) от содержания ванадия в исследуемых материалах (рис. 4) являются линейными и описываются следующими уравнениями:
- для V2-δFe0,02O3: ∆lg(R/R0) = 4,7 – 18,2·δ,
- для V2-δAl0,02O3: ∆lg(R/R0) = 4,8 – 13,6·δ,
- для V2-δCr0,02O3: ∆lg(R/R0) = 5,7 – 27,3·δ.
Рисунок 4 – Зависимость скачка электрического сопротивления от содержания ванадия в материале для соединений: V2-δFe0,02O3 (x), V2-δAl0,02O3 (+), V2-δCr0,02O3 (▲)
Для всех серий растворов V2-δMe0,02O3 с ростом температуры Дебая характерно увеличение скачка электросопротивления ∆lg(R/R0) (рис. 5). Полученные экспериментальные результаты не позволяют сделать более детальное количественное описание закономерности, но можно говорить об использовании модели Пайерлса для описания ФПМД и в легированных системах трехокиси.
Рисунок 5 – Зависимость скачка электрического сопротивления от температуры Дебая в материале для соединений: V2 – δFe0,02O3 (x), V2 – δAl0,02O3 (+), V2 – δCr0,02O3 (▲)
Заключение и выводы
В ходе исследования свойств оксида ванадия с составом, близким к стехиометрическому, и соединений с составом V2-δMeδO3 установлено, что температуры фазовых переходов металл – диэлектрик, определённые по данным измерений теплоёмкости, электросопротивления и магнитной восприимчивости, близки по своим значениям. Максимальная температура перехода у соединения V1,973Al0,02O3. Уменьшение концентрации ванадия в образцах приводит к снижению ТМД.
Для чистой трёхокиси ванадия параметры кристаллической решётки «а» и «с» уменьшаются с ростом дефицита ванадия. Материалы с незначительным отклонением от стехиометрического состава представляют исключение. Для материалов, легированных Fe, Cr и Al, оба параметра с ростом дефицита ванадия увеличиваются. Также температура фазового перехода зависит от параметров кристаллической решётки и уменьшается с ростом отношения «с/а».
По температурным зависимостям магнитной восприимчивости χ(Т) можно сделать вывод, что увеличение и уменьшение содержания ванадия приводят к уменьшению χ, что говорит о снижении Кюри-Вейссовского вклада в магнитную восприимчивость. Резкое возрастание магнитного момента «среднего» атома соответствует значительному дефициту ванадия в образцах. При легировании трехокиси ванадия наблюдается некоторое увеличение χ. Для каждой серии материалов V2-δ Me0,02 O3 величина скачка ∆χ уменьшается с уменьшением содержания ванадия.
Для материалов V2-δMe0,02O3 с максимальным содержанием ванадия в области фазового перехода величина скачка электросопротивления наибольшая. Дефицит ванадия приводит к снижению ТМД. Для каждой из исследуемых систем V2-δMe0,02O3 наблюдается хорошее согласование изменения ∆lg(R/R0) с изменениями параметров электронного спектра (скачка магнитной восприимчивости при фазовом переходе) и фононного спектра (характеристической температуры Дебая).
Температуры ФПМД, определенные по данным теплоемкости, изменяются с изменением состава материала аналогично установленным по данным электросопротивления. При этом абсолютные значения ТМД, определенные этими методами, отличаются, что связано с температурным размытием фазового перехода по данным электросопротивления.
Экспериментальные данные позволяют сделать вывод об адекватности применения моделей Мотта и Пайерлса для описания фазовых переходов в образцах на основе V2O3.
Sobre autores
Yuliya Kuznetsova
Surgut State University
Email: kuznecova_yv@surgu.ru
Сandidate of Technical Sciences, Associate Professor of the Life Safety Department
Rússia, SurgutOlga Lyakh
Omsk State Technical University
Autor responsável pela correspondência
Email: ljach@mail.ru
Сandidate of Technical Sciences, Associate Professor of the Department of Physics
Rússia, OmskBibliografia
- Применение диоксида ванадия в приборах акустического каротажа / Н. А. Семенюк, Ю. В. Кузнецова, В. И. Суриков [и др.] – Текст : непосредственный // Омский научный вестник. – 2018. – № 4(160). – С. 151-155. – doi: 10.25206/1813-8225-2018-160-151-155.
- Мотт, Н. Ф. Переходы металл-изолятор / Н. Ф. Мотт. – М.:Наука, 1979. – 344 с. – Текст : непосредственный.
- Бyлаевский Л.Н. Структурный (пайерлсовский) переход в квазиодномерных кристаллах – Текст : непосредственный // УФН. – 1975. – Т. 115, № 2. – С. 263-269.
- Данилов, С. В. Теплоемкость трехокиси ванадия при гелиевых температурах / С. В. Данилов и др. – Текст : непосредственный // Ж. физика твердого тела. – 1983. – Т. 25, № 9. – С. 2772-2773.
- Временная деградация некоторых оксидов ванадия. Структура и свойства / В. И. Суриков, О. В. Лях, В. И. Суриков [и др.]. – Москва : ООО Издательская фирма «Физико-математическая литература», 2014. – 91 с. – ISBN 978-5-9221-1560-5. – Текст : непосредственный.
- Низкотемпературная теплоемкость соединений переходных металлов / В. И. Суриков, В. И. Суриков, О. В. Лях [и др.]. – Омск : Омский государственный технический университет, 2015. – 100 с. – ISBN 978-5-8149-2131-4. – Текст : непосредственный.
- Оксид ванадия (III). Структура, электрические, магнитные свойства и теплоемкость / В. И. Суриков, О. В. Лях, В. И. Суриков, Ю. В. Кузнецова. – Омск : федеральное государственное бюджетное образовательное учреждение высшего профессионального образования «Омский государственный технический университет», 2012. – 116 с. – ISBN 978-5-8149-1318-0. – Текст : непосредственный.
- Магнитная восприимчивость ортованадатов железа, хрома, никеля и кобальта при гелиевых температурах / В. И. Суриков, В. И. Суриков, Ю. В. Кузнецова [и др.] – Текст : непосредственный // Динамика систем, механизмов и машин. – 2012. – № 2. – С. 425-427.
- Лях, О. В. Влияние легирующих элементов на структуру, свойства и параметры фазового перехода металл – диэлектрик в оксиде ванадия (III) : специальность 05.16.09 «Материаловедение (по отраслям)» : диссертация на соискание ученой степени кандидата технических наук / Лях Ольга Владимировна. – Омск, 2012. – 139 с. – Текст : непосредственный.
- Electronic Specific Heat of Vanadium Compounds at Low Temperatures / V. I. Surikov, N. A. Semenyuk, O. V. Lyakh [et al.] – Text : immediate // Russian Physics Journal. – 2021. – Vol. 64, No. 3. – P. 376-380. – doi: 10.1007/s11182-021-02340-3.
- Заварицкий, Н. В. Электрон-фононное взаимодействие и характеристики электронов металлов / Н. В. Заварицкий – Текст : непосредственный // Успехи физических наук. – 1972. – Т. 108, № 2. – С. 241-272.
Arquivos suplementares







