Algorithm for the numerical investigation of cathode processes of zinc electroextraction
- Authors: Kashapov N.F.1,2, Chebakova V.Y.1, Chebakova E.V.3,1, Kormushin K.V.4
-
Affiliations:
- Kazan Federal University
- «Kazan Scientific Center of the Russian Academy of Sciences»
- Chemical Institute named after A. M. Butlerov
- Kazan National Research Technical University named after A.N. Tupolev – KAI
- Issue: Vol 20, No 1 (2024)
- Pages: 11-18
- Section: Mathematical modeling and information technology
- URL: https://journal-vniispk.ru/1816-9228/article/view/255091
- DOI: https://doi.org/10.18822/byusu20240111-18
- ID: 255091
Cite item
Full Text
Abstract
Subject of research: the paper presents a numerical algorithm for detecting the rate constants of heterogeneous processes for their further investigation.
Purpose of research: Digital prototyping of electrodeposition of zinc coating by leaching depleted zinc ore.
Methods of research: the algorithm is presented on the example of predicting the dezincification during parallel hydrogen release reaction in electrolysis of a sodium hydroxide solution, which contains sodium tetrahydroxozincate, and verified using full-scale experiments. So, in this article, there are detected the constants of cathode stepwise electrochemical reactions for zinc powder obtaining using direct search method. The kinetic equation system itself, which describes cathode stepwise reactions, is solved using classical Runge-Kutta method.
Main results of research: the modeling makes allowance for the presence of parallel process of hydrogen release and occurs in the approximation of porous film during the settling-out. The numerical algorithm, developed by the authors, make it also possible to predict the current yield of substance.
Full Text
ВВЕДЕНИЕ
Электрическое цинкование применяется для получения покрытий, обладающих антикоррозионными свойствами, в автомобилестроении и авторемонтном производстве. В работе [1] гальваническое цинкование из сернокислого электролита рассматривается как процесс получения антикоррозионных покрытий. В работе [2] предложено рациональное использование цинковых покрытий для защиты труб от коррозии, предположение выдвинуто на основе анализа различных способов нанесения покрытий. Однако, кроме защитных свойств, данные покрытия обладают достаточной твердостью и износостойкостью, что позволяет использовать электрическое цинкование для восстановления изношенных поверхностей деталей машин. Так, в [3] отмечено следующее преимущество электрического цинкования перед горячим: отсутствие термического воздействия на детали, приводящего к изменению структуры и физико-механических свойств, осаждение покрытия с заданной толщиной, что позволяет минимизировать последующую механическую обработку. При этом покрытие, нанесенное таким способом, по механическим свойствам подобно чистому цинку, т. е. является относительно мягким и более пористым. Также следует отметить, что гальванические не содержат интерметаллических соединений (фаз) и держатся на защищаемом материале только за счет адгезии, т. е. налипания, тогда как получаемые методом горячего цинкования представляют из себя систему железо-цинковых сплавов с постепенно уменьшающимся содержанием железа по мере приближения к внешней стороне покрытия [4]. В работе [5] предлагаются усовершенствования процесса осаждения цинка на восстанавливаемые детали в авторемонтном производстве, позволяющие повысить надежность и прочность сцепления цинка с основой. Также получают гальванические покрытия и из сплавов, содержащих цинк, так, в [6, 7] исследуют свойства цинк-никелевых покрытий, полученных как из щелочных, так и из кислых электролитов. Гальванические способы восстановления имеют несколько разновидностей, из них наиболее распространены: кислые (сульфатные), слабокислые (хлоридные и хлорамонийные) и щелочные (цианидные и цинкатные). От состава и типа электролита зависит качество получаемого осадка, его структура, физико-механические свойства, адгезия с подложкой, виды и скорость протекания электрохимических процессов. Так, в работе [8] обозначено более 20 факторов, влияющих на выбор электролита. Таким образом, подбор электролита, параметров и времени обработки является нетривиальной задачей, требующей большого количества экспериментов, а математическое моделирование процесса электровыделения цинка может существенно уменьшить их количество. Моделирование гетерогенных процессов представляет собой отдельный вид задач, где константа скорости определяется характеристиками моделируемой гетерогенной системой: площадью реагирующей поверхности, которая зависит от шероховатости поверхности электрода и его однородности, состава электролита, значения водородного показателя.
В данной работе авторами предложен метод, позволяющий находить константы скоростей стадийных процессов, а также прогнозировать выход вещества по имеющемуся небольшому количеству экспериментальных данных выхода. Данный метод формулируется, решается и верифицируется на примере получения порошка цинка при электролизе раствора гидроксида натрия, содержащего тетрагидроксоцинкат натрия.
РЕЗУЛЬТАТЫ И ОБСУЖДЕНИЕ
Постановка задачи
Выщелачивание руд, обедненных содержанием металлов, а также переработка отходов металлургической промышленности представляют собой один из альтернативных способов получения металла [9].
При выщелачивании руды, в зависимости от концентрации оксида натрия в растворе, цинк в электролите может содержаться как в качестве оксида цинка ZnO, так и в качестве соединения [Zn(OH)4]2-. В работе [10] показано, что 20 % концентрации раствора гидроксида натрия NaOH хватало, чтобы молярное отношение ионов гидроксильной группы OH– к содержащемуся цинку Zn было достаточным для существования [Zn(OH)4]2-, при этом, если концентрация ионов гидроксильной группы OH– мала, то соединение [Zn(OH)4]2- переходит в оксид цинка ZnO. Таким образом, процесс выщелачивания цинкосодержащей руды в 20 % растворе NaOH можно описать общей реакцией растворения вида
.
Непосредственно по поводу протекания приэлектродных реакций выделения цинка существуют различные мнения. Так, в обзоре [10], опирающемся на работу [11], приведено, что в процессе электроосаждения цинка соединение [Zn(OH)4]2- подвержено модификации в гидрированный Zn(OH)2, при этом гидроксид цинка является нерастворимым основанием и, как следствие этого, его присутствие должно отмечаться в полученном осадке, однако в большинстве работ этого не наблюдается.
Для построения математической модели, описывающей прикатодные процессы, сформулируем следующие предположения:
1) Na2[Zn(OH)4] в электролите полностью диссоциирует на ионы
.
Это справедливо при концентрации гидроксида натрия в растворе от 20 %.
2) Ионы натрия Na+ на электродах не разряжаются, накапливая с течением времени концентрацию в катодном пространстве и уменьшая ее в анодном.
3) На катоде происходит одновременное выделение водорода и цинка в следующих стадийных реакциях
, ,
, ,
, .
4) Несмотря на то, что данные конкурирующие реакции прямо не связаны между собой, скорости стадийных реакций
,
где A и B некоторые константы, i = 1,5 экспоненциально зависят от перенапряжения на электродах, которое в нашем случае на катоде будет:
.
5) Структура металлического осадка определяется рядом факторов, таких как: состав раствора, наличие в нем примесей, предварительной подготовки поверхности, плотности тока и т. д. В работах [12-14] отмечен губчатый и пористый характер покрытия из осажденного цинка. Поэтому для моделирования осаждения цинка используем приближение пористой пленки. В случае пористой пленки считается, что она не оказывает сопротивления реагентом, подходящим к поверхности раздела сред, и не влияет на скорость реакции. В случае непористой пленки сопротивлением пограничного слоя можно пренебречь, считая основным сопротивление слоя выделившегося продукта. При этом, если процесс контролируется диффузией через пограничный слой, то скорость процесса
,
где δ – толщина слоя продукта, S – площадь рабочего электрода. Толщину слоя продукта в приближении решения уравнения Яндера можно считать пропорциональной времени:
и .
6) Процесс ассоциации воды
в данной модели не учитывается, так как проведенные нами в работе [15] расчеты и анализ скоростей стадийных реакций при прогнозировании катодного выхода водорода при электролизе щелочного электролита показали очень мало отличимое от нуля значение константы скорости данного процесса.
Таким образом, математическая модель состоит из системы, описывающей электрохимические стадийные прикатодные реакции:
(1)
Здесь – это диффузия ионов через пористую пленку осадка, – концентрация данных ионов в объеме электролита. Данная запись кинетических уравнений, описываемых задачами Коши, подразумевает положительность констант скоростей реакций , i = 1,…,7, коэффициента пропорциональности K ≥ 0 и значений концентраций ,
j = { H20, Zn, H, Zn2+, CH+, H2, Zn(OH)2- }.
Расчет массы осажденного цинкового осадка рассчитывается исходя из концентрации цинка и объема пленки:
, (2)
где – T конечное время расчетов.
Начальное приближение скоростей реакций выбирается исходя из соотношения между скоростями стадийных реакций, стехиометрических чисел и скорости лимитирующей реакции. При этом в случае наличия двух конкурирующих цепочек прикатодных реакций, одна из которых протекает с выделением твердой фазы, отмечаются более сложные кинетические закономерности, и, следовательно, рассчитываемые таким образом начальные приближения для констант скоростей обладают большей погрешностью.
Начальные значения для концентраций заряженных частиц рассчитываются с учетом сделанных ранее предположений на момент состояния системы до подачи напряжения на электроды.
Решение задачи по поиску констант скоростей прикатодных электрохимических процессов и прогнозированию выхода строится на минимизации функционала:
.
Здесь l отвечает за суммирование по времени, v же отвечает за суммирование по веществам, концентрации которых известны из экспериментов на определенные моменты времени , l = 1,…,n.
В идеале желательно иметь данные как по водороду, так и по массе осаждаемого осадка, но, как правило, это – масса осаждаемого вещества в нескольких временных точках, и функционал приобретает вид:
(3)
Численный алгоритм исследования катодных процессов
В настоящей работе показано применение метода численной оптимизации к решению обратной задачи, возникающей при прогнозировании выхода вещества в твердой фазе по току, в случае наличия двух параллельных прикатодных реакций, прямо не связанных между собой, на примере осаждения цинка с сопутствующем выделением водорода. Предложенный алгоритм базируется на методе прямого поиска численной оптимизации, дополненного проверкой ограничений, и методе Рунге-Кутты, применяемого для решения кинетической системы уравнений, описывающей стадийные электрохимические реакции.
Данный алгоритм опирается на расчет значений функционала (3), от которого ищется минимум. Значение данного функционала вычисляется путем численного решения системы кинетических уравнений (1) методом Рунге-Кутта четвертого порядка и соотношения (2). Из семейства явных методов Рунге-Кутта четвертого порядка был выбран метод, называемый классическим методом Рунге-Кутта четвертого порядка. Точности четвертого порядка в целом достаточно для соответствия точности снятия экспериментальных данных. Для описания его реализации к данной задаче введем следующие обозначения:
,
,
Здесь – операция транспонирования, а функции
соответствуют правым частям системы (1):
,
,
;
;
Так, система (1) перепишется в векторном виде:
, где .
Здесь – максимальное значение времени, на котором было зафиксировано экспериментальное значение. Покроем отрезок времени сеткой
,
где . Значения в половинных узлах сетки будем обозначать как:
.
В узлах сетки введем сеточные функции и соответствующие численному решению разностной задачи:
.
Здесь
,
,
,
,
.
Сам алгоритм расчета минимума происходит итерационно по каждой из констант (которые далее в описании считаются независимыми координатами).
Первый шаг метода заключается в исследующем поиске вокруг базисной точки по вектору приращений , где – это шаг по координате , i = 1,…,7. Для осуществления данного этапа по каждой координате отдельно рассчитываются значения функционала (3) в трех точках: непосредственно в точке , и точках, отстоящих от нее на шаг по исследуемой координате. Затем точку, в которой функционал принимает минимальное значение, принимаем за новую базисную точку. Данные итерации продолжаются до тех пор, пока базисная точка не перестанет меняться. При этом в алгоритм расчета закладывается, что точка, в которой значение координаты или любой из концентраций при расчете становится меньше нуля, исключается из рассмотрения.
Например, для координаты, отвечающей за коэффициент пропорциональности K в точках
,
,
,
здесь вычисляется функционал (3). Далее за новое значение координаты K принимаем то из значений , , и , при котором значение функционала (3) принимает минимум. При этом, если , то данная точка убирается из рассмотрения. Пересчет продолжается до тех пор, пока значение координаты K не перестанет меняться, после чего осуществляется переход к следующей координате.
После расчета по последней координате получается новая точка , которая может как совпадать с первоначальной точкой , так и отличаться от нее .
Затем, если первоначальная базисная точка совпадает с вновь получившейся точкой , то уменьшаем значения компонент вектора покоординатных приращений и продолжаем поиск вокруг базисной точки. В противном случае, когда , осуществляется поиск по образцу. В нем за новую базисную точку берутся значения , , при которых, опять-таки, значение функционала (3) минимально. Условием выхода является ограничение на размер компонент вектора приращений H.
При расчете целевой функции использовался численный метод из семейства методов Рунге-Кутта четвертого порядка точности, т. е. его погрешность составляет , где t – шаг по времени. Для поиска целевой функции использовался метод Хука-Дживса, его точность определяется путем задания ограничения возможного уклонения расчетного значения параметров от значений параметров, определяющих минимум . Таким образом, погрешность метода представляет .
Результаты численных расчетов
Численный алгоритм, реализующий поставленную математическую постановку осаждения цинкового порошка, верифицирован на натурном эксперименте, описанном в [16]. В ней исследовалось влияние приложенного напряжения на приэлектродные процессы электроосаждения цинка в растворах гидроксида натрия на катоде из нержавеющей стали. Концентрация ионов цинка в приготовленном растворе составляет 10 г/л. Рабочий электрод сделан из нержавеющий стали и имеет площадь в 1 см2. Воспользуемся условиями эксперимента для вывода начальных условий:
1000 грамм/л раствора дает 80 %
дает 20 %
Таким образом,
250 грамм/л ≈ 6,25 моль/л.
Молярная масса цинка 65,38 г/моль, и концентрация в 10 г/л дает приблизительно 0,153 моль/л, и, следуя реакции растворения
будем иметь ≈ 0,153 моль/л.
При этом 0,153 моль/л цинка связывает всего ≈ 0,306 моль/л ионов гидроксильной группы, остальные 5,944 моль/л участвуют в реакции диссоциации , таким образом, ≈ 5,944 моль/л.
Напрямую начальная концентрация гидроксильного иона не участвует в выделенных нами прикатодных стадийных реакциях, но ионное произведение воды показывает, что при обычных условиях и ≈ 0,168-14 моль/л. Цинк связан гидроксидной группой, и значение ионной концентрации возьмем близким к «нулю», с учетом того, что осаждение металлов происходит вокруг зародышей, электрохимические процессы стадии образования зародышей (адатомов) отличаются от стадии их роста, которая нас фактически и интересует , концентрация же атомов цинка взята равной «нулю» .
Концентрацию воды возьмем
моль/л,
при обычных условиях в воде содержится Ммоль/л, далее возьмем , c учетом необходимого наличия зародышей.
В работе [16] показаны экспериментальные данные по выходу цинка в %, рассчитанных по приведенной в ней следующей формуле:
,
где – первоначальная масса катода в г, – масса катода с осажденным на нем цинком в i-й момент времени, показатели снимались через каждые 10 минут, I – сила тока в A, а t = 10 * i / 60. Так как в статье [16] не приведены данные по выходу водорода, то будем строить функционал только по известной массе осажденного цинка.
Результаты расчетов верифицировались путем сравнения с экспериментальными данными работы (16), результаты сравнения приведены в таблице 1. Расчеты показали наибольшее расхождение в начале процесса электролиза. Из этого можно заключить, что фаза образования зародышей оказывает влияние на начальной стадии, и с разрастанием кристаллов цинка ее влияние уменьшается. Таким образом, на начальной стадии разрастания кристаллов цинка водород выделяется как на электроде, так и на поверхности кристаллов цинка, что делает поверхность сильно неоднородной. И, соответственно, более точную информацию по развитию начальной стадии можно было бы получить при учете данных о выходе водорода.
Таблица 1. Диапазоны получаемой экспериментально массы Zn и расчетных значений при силе тока в 500 А по экспериментальным данным в t = 1 час.
T, min | Диапазон экспериментальных данных [16] | Расчетные значения |
10 | 0.4371-0.46 | 0.315 |
20 | 1.22-1.38 | 0.893 |
40 | 2.765-2.928 | 2.58 |
60 | 4.514-4.638 | 4.635 |
70 | 5.508-5.693 | 5.84 |
100 | 8.13-8.54 | 9.1 |
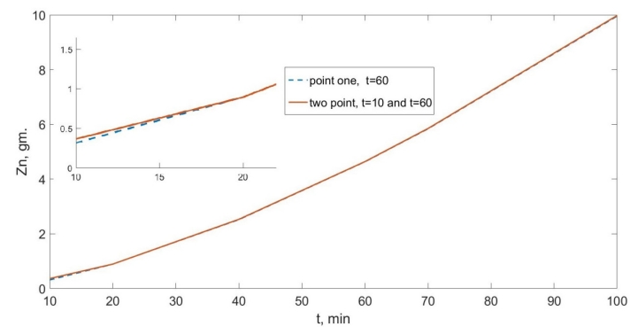
Также было проведено исследование влияния количества взятых точек и показано, что оно не оказывает решающего влияния на погрешность. В работе [15] этот вопрос исследовался для процессов выделения вещества в газовой фазе, когда применялось приближении неизменности и однородности площади электрода. Процесс отложения цинкового осадка на электрод показан на рисунке (1). На нем приведено сравнение рассчитываемых данных при силе тока 500А в двух случаях: расчеты приводились по одной точке t = 1 час, и по двум точкам (t = 1 час и t = 10 мин).
Рисунок 1. Расхождение результатов расчетов в зависимости от количества выбранных точек.
ЗАКЛЮЧЕНИЕ И ВЫВОДЫ
В работе представлен численный алгоритм нахождения констант скоростей гетерогенных процессов для последующего их исследования. Данный алгоритм верифицирован на задаче прогнозирования выделения цинка при параллельной реакции выхода водорода. Алгоритм расчетов верифицирован на экспериментальных данных по массе осажденного цинка, и показал хорошее согласие с экспериментальными данными. Расчеты показали, что на начальной стадии большое влияние имеет стадия разрастания зародышей и, соответственно, происходит различие в скорости образования водорода на поверхности стали, из которой сделан электрод, и поверхности кристалла цинка. В дальнейшем для развития модели представляет интерес исследование фазы появления зародышей (анатомов) и включение наиболее влияющих процессов зародышеобразования в математическую модель.
Так как константы скоростей зависят от факторов, свойственных непосредственно исследуемым системам, таких как неоднородность и шероховатость поверхности электрода, коэффициент переноса заряженных частиц, концентрации электролита, то представляется нецелесообразной верификация алгоритма путем сравнения скоростей процессов, определенных для других систем. При этом найденные константы скоростей могут быть использованы для расчетов по моделям большей размерности при вычислении пространственных характеристик электротехнической системы.
About the authors
Nail F. Kashapov
Kazan Federal University; «Kazan Scientific Center of the Russian Academy of Sciences»
Email: kashnail@gmail.com
ORCID iD: 0000-0002-1185-4605
Scopus Author ID: 6602262381
ResearcherId: P-6783-2015
Doctor of Engineering Science, Professor, Professor of the Department of Physics of Advanced Technologies and Materials Science, Kazan Federal University, Deputy Head of «Kazan Scientific Center of the Russian Academy of Sciences»
Russian Federation, KazanVioletta Y. Chebakova
Kazan Federal University
Email: vchebakova@mail.ru
ORCID iD: 0000-0002-0785-3861
Scopus Author ID: 56440242000
ResearcherId: B-1994-2016
Candidate of Science of Physics and Mathematics, Associate professor at the Department of Data Analysis and Programming Technologies
Russian Federation, KazanEvgenia V. Chebakova
Chemical Institute named after A. M. Butlerov; Kazan Federal University
Email: evgeneachebakova@mail.ru
Russian Federation, Kazan
Konstantin V. Kormushin
Kazan National Research Technical University named after A.N. Tupolev – KAI
Author for correspondence.
Email: KVKormushin@kai.ru
assistant at the Department of Material Science, Welding and Industrial Safety
Russian Federation, KazanReferences
- Манаков, Д. А. Актуальные вопросы защиты от коррозии / Д. А. Манаков, О. В. Немыкина. – Текст: непосредственный // Молодежный вестник ИрГТУ. – 2019. – Т. 9, № 2. – С. 88–91.
- Проскуркин, Е. В. Цинковые покрытия – основные современные системы защиты труб от коррозии / Е. В. Проскуркин, В. А. Геловани, А. Н. Сонк, И. В. Петров, И. П. Ярема, Д. А Сухомлин. – Текст: непосредственный // Сталь. – 2018. – № 6. – С. 32–37.
- Юдин, В. М. Исследование электролитического цинкования при высоких плотностях тока / В. М. Юдин, М. Н. Вихарев. – Текст: непосредственный // Труды ГОСНИТИ. – 2008. – Т. 102. – С. 162–164.
- Полькин, В. И. Цинк для защиты от коррозии / В. И. Полькин. – Текст: непосредственный // Гидротехника. – 2019. – № 1 (54). – С. 86–89.
- Захаров, Ю. А. Совершенствование технологического процесса гальванического цинкования деталей транспортно-технологических машин и комплексов / Ю. А. Захаров, И. А. Спицын, Е. В. Ремзин, Г. А. Мусатов. – Текст: непосредственный // Модели, системы, сети в экономике, технике, природе и обществе. – 2014. – № 4 (12). – C. 105–111.
- Бурляев, Д. В. Цинк-никелевые сплавные покрытия: кинетика электроосаждения, коррозия и селективное растворение. Обзор / Д. В. Бурляев, О. А. Козадеров, П. Волович. – Текст: непосредственный // Конденсированные среды и межфазные границы. – 2021. – Т. 23(1). – С. 3–15.
- Dutra, C. A. M. Corrosion Resistance of Zn and Zn-Ni Electrodeposits: Morphological Characterization and Phases Identification/ Conceição A. M. Dutra , José W. J. Silva , Roberto Z. Nakazato // Materials Sciences and Applications, – 2013. – vol. 4. – P. 644–648
- Захаров, Ю. А. Выбор, контроль и корректировка электролита цинкования восстанавливаемых поверхностей деталей автомобилей / Ю. А. Захаров, Г. А. Мусатов. – Текст: электронный // Инженерный вестник Дона. – 2015. – № 2. – URL: ivdon.ru/ru/magazine/archive/n2y2015/2861 (дата обращения: 08.08.2021).
- Петров, В. В. Технология переработки отходов твердосплавного инструмента / В. В. Петров, А. Е. Проценко, К. Р. Сапожник. – Текст: непосредственный // Cтроительные материалы и изделия. – 2022 – Т. 5, № 3. – С. 27–34.
- Zhang, Y. Leaching of zinc from calcined smithsonite using sodium hydroxide / Yucheng Zhang, Jinxia Deng, Jun Chen, Pando Yu, Xianran Xing // Hydromettallurgy. – 2013. – vol. 131. – P. 89–92.
- Brenner, A. Electrodeposition of alloys principles and practice / Brenner A. – New York: Academic Press, 1963, – vol. 1. – 402 p.
- Abdel-Aal, E. A. Kinetics of sulfuric acid leaching of low-grade zinc silicate ore / E. A. Abdel-Aal // Hydrometallurgy. – 2000. – Vol. 55. – P. 247–254.
- Leung, P. K. Zinc deposition and dissolution in methanesulfonic acid onto a carbon composite electrode as the negative electrode reactions in a hybrid redox flow battery / P. K. Leung, C. Ponce-De-León, C. T. J. Low, F. C. Walsh, // Electrochimica Acta . – 2011. – vol. 56(18). – P. 6536–6546.
- Gürmen, S. laboratory-scale investigation of alkaline zinc electrowinning/ S. Gürmen, M. A. Emre//Minerals Engineering. – 2003 – Vol. 16(6). – P. 559–562.
- Кашапов, Р. Н. Кинетика двухфазных газожидкостных сред в процессах электролиза / Р. Н. Кашапов, Л. Н. Кашапов, Н. Ф. Кашапов, В. Ю. Чебакова. – Текст: непосредственный // Теплофизика высоких температур. – 2021. – Т. 59, № 6. – С. 869–876.
- Zhang, Y. The Electrowinning of Zinc from Sodium Hydroxide Solutions/ Yucheng Zhang, Jinxia Deng, Jun Chen, Pando Yu, Xianran Xing. //Hydromettallurgy. – 2014. – vol. 146. – P. 59–63.
Supplementary files



