Telematics and diagnosis system for autonomous cargo vehicle
- Authors: Orlov S.P.1, Kosareva E.A.1
-
Affiliations:
- Samara State Technical University
- Issue: Vol 31, No 3 (2023)
- Pages: 55-68
- Section: Information Technology and Communications
- URL: https://journal-vniispk.ru/1991-8542/article/view/253766
- DOI: https://doi.org/10.14498/tech.2023.3.4
- ID: 253766
Cite item
Full Text
Abstract
The article deals with the problem of managing the operation and maintenance of autonomous trucks KAMAZ using a telematics and diagnostics system. The functions and composition of the onboard module of a robotic vehicle are described. The main controlled values are determined. The presence of a developed system for monitoring the state of units and assemblies provides a solution to the problem of controlling the modes of the car operation. The structure of the telematics and diagnostics system has been developed and implemented. The main blocks of the proposed system are shown. The main diagnostic and forecasting functions are performed on a workstation with an analytical module. It is proposed to use an approach based on previous conditions matrixes. An example of matrix analysis for a car engine cooling system is given. Modeling of the engine cooling system was carried out and graphs of transient processes were obtained. The analytical module is designed using artificial neural networks to analyze time series of car parameter values. To conduct virtual tests of a car in various operating modes, a simulation model was developed on a stochastic time colored Petri net. The model simulates both the movement of the vehicle to the point of production operations and the change in the technical condition of the car. The model makes it possible to describe and study the influence of random factors on the time of execution of production tasks, to take into account the probabilistic characteristics of failure events or defects in vehicle components and assemblies. The use of an artificial neural network in the analytical module of the diagnostic system workstation makes it possible to predict the technical condition of vehicle components and systems in real time, followed by verification of the dynamics of processes on a simulation model on a Petri net.
Full Text
Введение
Обеспечение высокого уровня работоспособности и надежности автономных транспортных средств требует постоянного мониторинга их технического состояния, контроля механических и электронных элементов. Единый анализ этих данных при возникновении скрытых неисправностей позволяет вовремя предотвратить ошибки, сбои в электронных и механических блоках транспортного средства.
В статье рассмотрены вопросы организации системы телематики и диагностирования технического состояния автономных автомобилей. Исследования проводились в рамках проекта ФЦП РФ по созданию роботизированных автомобилей КАМАЗ агротехнического назначения [1–3]. В пп. 1 и 2 приводятся общие сведения об организации управления, мониторинга и контроля технического состояния системы беспилотных грузовых автомобилей КАМАЗ для сельскохозяйственных работ. В п. 3 описывается разработанная авторами рабочая станция с аналитическим модулем в составе системы диагностики.
1. Бортовая система контроля автомобиля
Современные автомобили оснащены большим числом измерительных устройств и средствами передачи данных на следующий уровень иерархии управления. Для организации процессов сбора, накопления и анализа эксплуатационных данных необходимо использовать специализированное программное обеспечение [4].
Первичная обработка и хранение данных включают в себя первоначальную обработку технических и эксплуатационных параметров автомобиля, которые контролируются бортовой системой транспортного средства. Первичная обработка нацелена на упорядочивание данных с помощью кластеризации и оптимизации. Для считывания накопленной информации о неисправностях и дефектах элементов автомобиля необходимо реализовать структуру хранения и обработки информации. Такая структура представлена в виде программно-аппаратного комплекса, который включает в себя сервер хранения данных и систему управления базой данных СУБД [1].
Разработанная бортовая система контроля включает в себя блоки сбора и передачи информации, предназначенные для оповещения водителя или оператора о поломках, нарушениях работы устройств автомобиля или повреждении его основных функциональных компонентов.
Преимущество данной системы контроля состоит в том, что во время управления автомобилем имеется возможность проверить в реальном времени основные параметры транспортного средства и определить возможные проблемы в случае выхода из строя агрегатов.
На рис. 1 представлена схема, описывающая информационные потоки в бортовом модуле.
Бортовая система связи при помощи средств связи Wi-Fi, Bluetooth, GPRS и шины CAN отправляет накопленную информацию об устройствах автомобиля на блок управления. Переданная информация используется для достоверной оценки работоспособности и безопасности автомобиля, его отдельных узлов, а также позволяет спрогнозировать его незапланированное техническое обслуживание.
Рис. 1. Передача данных в бортовой системе контроля роботизированного автомобиля КАМАЗ
Разработка и внедрение бортового модуля (контроллера) увеличивает эксплуатационную готовность и надежность автомобилей, позволяет выявить предотказные состояния для контролируемых узлов и агрегатов автомобиля и сокращает издержки, связанные с внезапными отказами и авариями на маршруте.
2. Телематика и диагностика
Система связи автономных транспортных средств функционирует в едином информационном пространстве, где происходит обмен и передача данных между автомобилями и диспетчерским пунктом. Дистанционный мониторинг и манипулирование информационными данными и устройствами автомобиля основывается на телематике технического состояния автомобиля.
На рис. 2 изображена структурная схема телематики и диагностики для роботизированного автомобиля.
В автомобиль устанавливаются устройства слежения за параметрами агрегатов и необходимое оборудование. С помощью телематических данных фиксируются местоположение, время простоя, расход топлива, поломки автомобиля и многое другое. При анализе конкретных событий и шаблонов эти сведения используются для подробной информации обо всем парке.
С помощью данных средств автоматизации можно повысить продуктивность технического средства за счет:
- – увеличения времени полезного использования техники;
- – оптимизации маршрутов и транспортных задач;
- – управления парком автомобилей в режиме реального времени;
- – снижения затрат на обслуживание и ремонт техники;
- – минимизации рисков возникновения незапланированных простоев из-за поломок и ДТП.
Рис. 2. Структурная схема системы телематики и диагностики
3. Рабочая станция с аналитическим модулем
Для прогнозирования отказов и выявления технического состояния автомобиля авторами была разработана рабочая станция с аналитическим модулем (на рис. 2 выделена жирной рамкой). В процессе разработки аналитического модуля были использованы следующие методики:
- – применение матриц предотказных состояний;
- – прогнозирование технических состояний на основе искусственных нейронных сетей;
- – имитационное моделирование процессов отказов узлов и агрегатов.
Наличие большого объема данных о технических и эксплуатационных параметрах автомобиля, а также внешних проявлениях отказов или деградационных изменениях в узлах и агрегатах автомобиля требует повышения качества мониторинга и использования глубокого анализа информации о транспортном средстве.
Матрицы предотказных состояний.
Современные системы диагностики технического состояния грузовых автомобилей основаны на стандартах ISO 22901-1 (ODX) и ISO 13209 (OTX). Одной из основных целей стандарта ISO 22901-1 (ODX) является реализация эффективного взаимодействия на всех стадиях жизненного цикла автомобиля между всеми участниками этого цикла (производителями автомобилей, сервисными организациями, производителями электронных систем). В большинстве случаев основным фактором, влияющим на решение о проведении технического обслуживания и ремонтных мероприятий, являются данные производителя автомобиля о нормативных сроках и пробеге. На основе этих данных даются рекомендации проводить те или иные мероприятия обслуживания или ремонта. Обычно такие рекомендации базируются на статистике работы узлов и агрегатов, а также на результатах стендовых или натурных испытаний в нормальных условиях эксплуатации.
На практике нормативный пробег и срок службы автомобилей могут быть изменены в зависимости от условий эксплуатации, стиля вождения, нагрузок на автомобиль, общего срока службы и времени наработки агрегата или сборки, метеорологических и климатических условий, условий эксплуатации, а также видов и разновидностей дорожных покрытий, преодолеваемых в процессе эксплуатации. Такие решения могут быть приняты только на основе экспертной оценки или опыта эксплуатации таких транспортных средств в сопоставимых условиях. При этом зачастую решения о проведении ремонта принимаются даже при внешних проявлениях перед отказами или деградационными изменениями в узлах и агрегатах (неустойчивое функционирование, динамические отклонения параметров вектора состояния в ответ на управляющие и возмущающие воздействия, шум, вибрацию).
В данной статье рассматривается пример использования матрицы предотказных состояний для анализа системы охлаждения двигателя. Наиболее существенными неисправностями (помимо легко диагностируемого снижения уровня антифриза) являются:
- – отказ системы водяного насоса;
- – выход из строя термостата;
- – выход из строя муфты вентилятора.
При разработке роботизированного автомобиля КАМАЗ на шасси 65119 рассматривались следующие условия в соответствии с нормами «Классификация условий эксплуатации автомобилей» [5]: категория V – автомобильные дороги местного назначения, за пределами пригородной зоны (более 50 км от границы города); дорожное покрытие Д6; типы рельефа – Р1 (равнинный) и Р2 (слабохолмистый).
Для составления матрицы предотказных состояний необходимо определить показатели наработки на отказ, установленные производителями элементов. Далее выявить факторы, которые влияют на износ элементов, используя при этом значения параметров коэффициента сложности операций при эксплуатации в соответствии с экспертной оценкой (первоначальная оценка при первоначальной настройке системы мониторинга и прогнозирования системы) [6].
На примере системы охлаждения двигателя рассмотрим данные экспертных оценок [6], которые приведены в табл. 1 и табл. 2. Под термином «коэффициент сложности операции» понимается количественная оценка влияния условий эксплуатации на надежность элементов системы, которая определяется группой экспертов.
При оценке коэффициентов сложности операций были использованы стандартные значения основных параметров элементов системы охлаждения, приведенные в табл. 1. Полученные экспертные оценки показаны в табл. 2.
В табл. 3 в качестве примера приведены экспертные оценки предельных отклонений параметров двух переходных процессов в системе охлаждения автомобиля, характеризующие предотказные состояния элементов.
Таблица 1.
Значения основных параметров элементов системы охлаждения
Элемент системы охлаждения | Эксплуатационный параметр | ||
Стандартный пробег до отказа, тыс. км | Стандартное время работы до отказа, тыс. часов | Стандартное количество рабочих циклов до отказа, тыс. единиц | |
Водяной насос | 120 | 25 | – |
Термостат | 120 | 30 | – |
Муфта вентилятора | – | – | 10 |
Таблица 2.
Значения коэффициентов сложности операции (экспертная оценка)
Фактор | Коэффициент сложности операции для элемента системы охлаждения | ||
Водяной насос | Термостат | Муфта вентилятора | |
Низкая частота вращения коленчатого вала | 1,17 | 1 | 1,03 |
Работа при низких температурах | 1,05 | 1,03 | 1,06 |
Работа при высоких температурах | 1 | 1,09 | 1,12 |
Эксплуатация в запыленных / засоленных условиях | 1,08 | 1,11 | 1,22 |
Работа при низком атмосферном давлении | 1 | 1,07 | 1 |
Для наглядности был проведен анализ диагностики термостата на основе первичных данных, полученных в рамках моделирования систем двигателя шасси КАМАЗ.
Табл. 1–3 используются при построении матриц предотказных состояний элементов системы охлаждения агрегатов автомобиля КАМАЗ. Размер матриц предотказных состояний в целом очень большой, и они не приводятся в данной статье из-за ограниченности объема публикации. Матрицы предотказных состояний, построенные с привлечением экспертов, далее используются для разметки обучающих датасетов диагностических нейронных сетей.
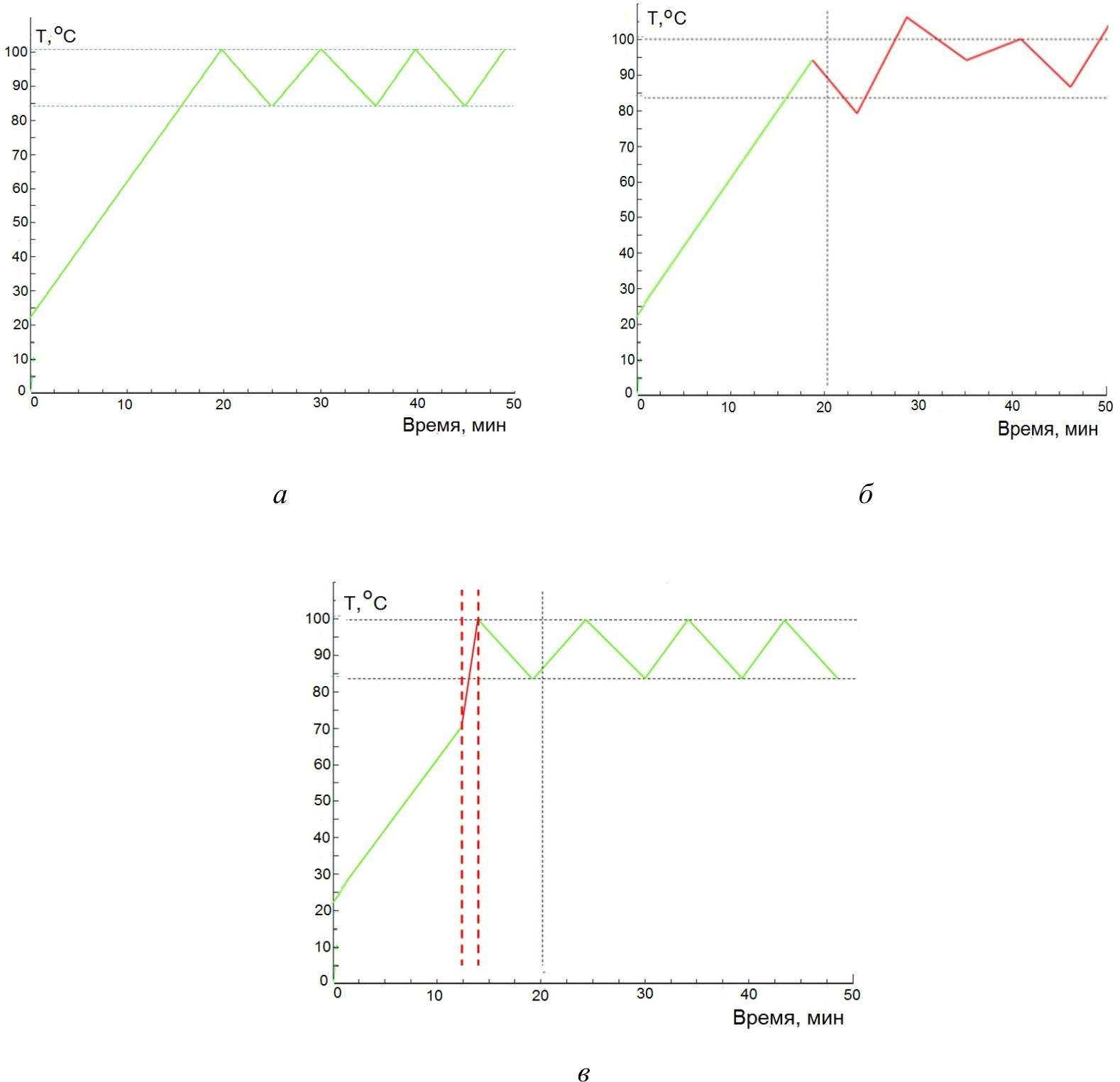
Был проведен анализ возможности диагностики термостата на основе первичных данных, полученных в рамках моделирования систем двигателя шасси КАМАЗ. На рис. 3, а показано нормальное функционирование системы охлаждения для режима «прогрев без движения». На рис. 3, б и рис. 3, в приведены графики температуры охлаждающей жидкости (антифриза) при нештатных ситуациях.
Для исследования была взята фактическая характеристика прогрева двигателя Cummins, установленного на автомобилях КАМАЗ различных модификаций. Вид переходного процесса рис. 3, а показывает, что данный объект управления может быть описан как апериодическое звено. На этом двигателе термостат представляет собой релейный контроллер, нижним пределом регулирования которого является температура 70 °C (температура термостата для открытия антифриза в «большом круге охлаждения»), а верхним пределом является температура 107 °C, при которой включается вентилятор, чтобы заставить антифриз остыть до достижения температуры 85–87 °C. Основными неисправностями термостата являются: а) заклинивание термостата (в открытом и закрытом состоянии);
б) ухудшение свойств антифриза. На основе этого были смоделированы типичные условия работы термостата до выхода из строя, включая:
- – частичное открытие термостата на начальной фазе прогрева двигателя;
- – критическое ухудшение свойств антифриза при измерении температуры;
- – неправильное срабатывание клапана, открывающего «большой» круг охлаждения.
Таблица 3.
Матрица отклонений параметров переходных процессов для идентификации предотказных состояний элементов системы охлаждения
Характеристики системного процесса | Системный процесс в агрегате или элементе | |
Повышение температуры двигателя во время прогрева | Снижение температуры масла в коробке передач при охлаждении | |
Цель управления | Ограничение температуры двигателя | Ограничение температуры масла |
Управляемый параметр | Температура двигателя | Температура масла |
Возмущающие воздействия | Температура, давление и влажность воздуха в окружающей среде, давление топлива | Температура, давление и влажность воздуха в окружающей среде, давление топлива, температура охлаждающей |
Тип переходного процесса | Апериодический | Колебательный |
Ошибка при достижении целевого значения управляемого параметра, заданного для нормального функционирования, % | ±20 | ±8 |
Изменение длительности переходного процесса, с | 120 | 10 |
Изменение показателя колебательности, % | 0 | 13 |
Предположим, имеется автомобиль КАМАЗ с пробегом 90 тыс. км, эксплуатируемый на сельскохозяйственном предприятии на юге Российской Федерации, при этом наработка во времени составила 24 тыс. часов (количество циклов эксплуатации неизвестно, поскольку оно подсчитывается без использования специальных программных и аппаратных средств мониторинга). Тогда для термостата основными факторами износа являются эксплуатация в условиях высоких температур и эксплуатация в условиях запыленности. Используя значения коэффициентов сложности операций эксплуатации, приведенные в табл. 2, получаем, что фактическое время наработки в виде пробега составляет около 110 тыс. км, а в пересчете на время наработки имеем более 29 тыс. часов, что почти соответствует стандартному пробегу до начала эксплуатации.
В этих условиях следует использовать специальные средства для контроля температуры охлаждающей жидкости во время нагрева, чтобы составить динамическую характеристику и сравнить ее с модельными характеристиками, соответствующими условиям до отказа (например, как показано на рис. 3). Моделирование проводилось в программной среде LMS Imagine.Lab AMESim фирмы Siemens, в которой существует множество различных математических моделей двигателя и других агрегатов грузовых автомобилей.
Рис. 3. Моделирование переходных режимов системы охлаждения при температуре внешней среды в диапазоне от +15 до + 25 °C:
а – нормальное функционирование системы охлаждения; б – режим работы в случае ухудшения свойства антифриза; в – режим работы при неправильной работе клапана при измерении температуры
При подтверждении соответствия процесса перехода одному из шаблонов для условий, предшествующих отказу, следует принять меры по замене термостата, а в случае нормальной работы продлить срок службы и принять меры по мониторингу переходных параметров в системе охлаждения до получения «портрета» состояния, предшествующего отказу.
Искусственные нейронные сети для прогноза технического обслуживания.
Известные системы управления в большинстве случаев ориентированы на регистрацию ограниченного числа параметров. Для проведения оценки технического состояния автомобиля используется система дистанционного управления, получающая всю информацию об измерениях параметров беспилотного транспортного средства. Это приводит к задержке реагирования на нештатные ситуации и аварийные режимы.
Для того чтобы построить качественную диагностическую систему роботизированного автомобиля, целесообразно использовать искусственные нейронные сети (ИНС), которые помогут выполнить указанный анализ.
Нейронная сеть ИНС используется для экстраполяции данных о тепловом поведении устройства во времени, когда внешние влияющие факторы изменяются так, что это приводит к отказу устройства. Это позволяет в режиме реального времени во время работы агрегата делать прогноз о его работоспособности.
Использование ИНС на рабочей станции с аналитическим модулем обеспечивает точность классификации технического состояния не менее чем 97 % ,[7, 8].
Преимущества такого подхода заключаются в следующем:
- – использование глубоких сверточных нейронных сетей ориентировано на обработку изображений и их классификацию с высокой степенью точности [9];
- – использование дополнительных измеряемых сигналов для диагностики приводит к упрощению структуры ИНС, что позволяет использовать сети типа персептрон.
Также возможно использование гибридной нейронной сети, где дополнительной функцией будет анализ временных рядов измеренных параметров, что позволит прогнозировать развитие аварийных состояний [2].
Важнейшим фактором успешной эксплуатации нейронных сетей является подготовка репрезентативной обучающей выборки. На основании ранее полученных данных о состоянии и отказах агрегатов автомобиля возможно формирование данных как при нормальной эксплуатации, так и при стендовых испытаниях.
Имитационные модели эксплуатации для выбора стратегии ТОиР на сетях Петри.
Своевременное определение сроков технического обслуживания поможет сократить потери времени на изъятие и замену транспортных средств. С помощью разработанных имитационных моделей можно определить оптимальный состав резервных машин в соответствии с графиком выполнения задач и порядком обслуживания, что в свою очередь снижает эксплуатационные расходы. Постоянный мониторинг автономных автомобилей и их коррекция на основе имитационных моделей положены в основу системы прогнозного технического обслуживания. Кроме того, имитационные модели используются при виртуальных испытаниях в процессе проектирования роботизированных автомобилей [10, 11].
В настоящей статье описывается новая имитационная модель эксплуатации автомобиля, построенная на основе стохастической временной раскрашенной сети Петри. Эта модель предназначена для организации технического обслуживания на основе отдельных характеристик потоков отказов, а также для оценки состояния износа отдельных агрегатов автомобиля. Особое внимание в данном случае уделено имитационным моделям узлов и агрегатов автомобилей, работающих в едином комплексе с «цифровыми двойниками» [12, 13].
В раскрашенных сетях Петри исследуемые объекты описываются цветными маркерами в виде мультимножеств. На рис. 4 представлена имитационная модель на временной сети Петри для анализа процессов технического обслуживания и ремонта роботизированного автомобиля при выполнении определенного набора Z производственных задач. Модель построена с использованием программного средства CPN Tools [14].
Две группы переходов и позиций в сети имитируют случайные события:
а) возникновение неисправностей (Failure); б) возникновение заявок на обслуживание (Maintenance) в соответствии с прогнозными оценками состояния узлов и агрегатов. В модели на рис. 4 отказы происходят по закону Пуассона (переход tF), а запросы на обслуживание имитируются генератором случайных событий с равномерным распределением в заданном интервале времени (переход tQ).
Рис. 4. Имитационная модель работы автомобиля КАМАЗ с заданными случайными законами параметров
Предложенная имитационная модель отличается от известных моделей [12, 13] на сетях Петри тем, что описывает совместно производственный процесс и динамику технического состояния роботизированного автомобиля.
Положение транспортного средства на маршруте и выполнение им производственных операций определяются техническим состоянием автономного транспортного средства, позволяющим ему выполнять задачи. В случае появления заявки на техническое обслуживание или отказа автомобиль выводится из эксплуатации и заменяется резервным автомобилем.
Моделирование проводилось методом статистических испытаний, что позволяет определить условия, необходимые для минимизации задержек выполнения работ, связанных с ремонтом или техническим обслуживанием. На основе анализа матриц предотказных состояний в системе CPN Tools можно установить такие законы распределения случайных величин, как Вейбулла, равномерное распределение, Пуассона, Эрланга, Стьюдента, Бернулли и др. Заданные распределения случайных событий обеспечивают моделирование износа, деградации и дефектов в узлах автомобиля.
Использование предложенной модели на сетях Петри на рабочей станции с аналитическим модулем позволяет рассматривать стрессовые воздействия (температура, вибрация узлов, ударные нагрузки). Преимущество такого подхода состоит в том, что все данные мониторинга заранее будут проверяться на имитационной модели, прежде чем агрегаты или узлы выйдут из строя и поступят на станции технического обслуживания.
Заключение
В статье представлены результаты работ по созданию системы телематики и диагностики роботизированного автомобиля сельскохозяйственного назначения. К новым научным результатам можно отнести разработку структуры и функций рабочей станции с аналитическим модулем, а также создание новой имитационной модели роботизированного автомобиля, построенной на стохастической сети Петри. Использование матриц предотказных состояний, искусственных нейронных сетей и имитационных моделей в составе рабочей станции позволит распознать потерю работоспособности транспортного средства на ранних стадиях и сообщить об этом участникам производственного процесса. Это увеличивает шансы принять верное решение относительно допустимости использования всего ресурса автомобиля и обеспечивает необходимый уровень безопасности и надежности эксплуатации.
При интерпретации данных на рабочей станции можно спрогнозировать наиболее вероятные предаварийные состояния, своевременно провести техническое обслуживание и исправить обнаруженные ошибки, обеспечить чрезвычайно высокую надежность и производительность работы отдельных узлов, систем и агрегатов автомобилей с учетом всех возмущений внешней среды и процессов движения. Применение искусственной нейронной сети в аналитическом модуле рабочей станции системы диагностирования дает возможность осуществлять прогнозирование технического состояния узлов и систем автомобилей в режиме реального времени с последующей верификацией динамики процессов на имитационной модели на сети Петри.
About the authors
Sergey P. Orlov
Samara State Technical University
Email: orlovsp1946@gmail.com
ORCID iD: 0000-0002-0009-9456
(Dr. Sci. (Techn.)), Professor
Russian Federation, 244, Molodogvardeyskaya st., Samara, 443100Ekaterina A. Kosareva
Samara State Technical University
Author for correspondence.
Email: katena_kosareva@inbox.ru
Postgraduate Student
Russian Federation, 244, Molodogvardeyskaya st., Samara, 443100References
- Susarev S.V., Sidorenko K.V., Morev A.S., Gashenko Iu.V. Printsipy postroeniia sistem upravleniia robotizirovannykh transportnykh sredstv s avtonomnym i distantsionnym rezhimom upravleniia [Principles of constructing control systems for robotic vehicles with autonomous and remote control modes] // Problemy upravleniia i modelirovaniia v slozhnykh sistemakh: trudy XXI Mezhdunarodnoi nauchno-tekhnicheskoi konferentsii. Samara: Ofort, 2019. Pp. 107–110. (In Russian).
- Gubanov N.G., Mikheev Iu.V., Odintsov V.P., Akhtiamov R.N., Morev A.S. Arkhitektura sistemy diagnostiki i prognozirovaniia tekhnicheskogo sostoianiia robotizirovannogo transportnogo sredstva [Architecture of a system for diagnosing and predicting the technical condition of a robotic vehicle] // Problemy upravleniia i modelirovaniia v slozhnykh sistemakh: trudy XXI Mezhdunarodnoi nauchno-tekhnicheskoi konferentsii. Samara: Ofort, 2019. Pp. 171–174. (In Russian).
- Orlov S.P., Susarev S.V., Pugachev A.I. Intellektualnaia sistema diagnostiki agregatov robotizirovannogo avtomobilia KAMAZ [Intelligent diagnostic system for units of a robotic KAMAZ vehicle] // Problemy upravleniia i modelirovaniia v slozhnykh sistemakh: trudy XXI Mezhdunarodnoi nauchno-tekhnicheskoi konferentsii. Samara: Ofort, 2019. Pp. 92–95. (In Russian).
- Karpychev V.Iu. Informatsionnye tekhnologii v ekonomicheskikh issledovaniiakh [Information technology in economic research] // Ekonomicheskii analiz: teoriia i praktika. 2013. № 20 (323). Pp. 1–10. (In Russian).
- Vremennye normy ekspluatatsionnogo probega shin avtotransportnykh sredstv [Temporary standards for the operational mileage of vehicle tires]. RD 3112199-1085-02. (In Russian).
- Susarev S.V., Orlov S.P., Gashenko Ju.V., Morev A.S., Alistarova N.V. Use of Previous Conditions Matrixes for the Vehicle on the Basis of Operational Information and Dynamic Models of Systems, Nodes and Units // Proceedings of 2019 International Multi-Conference on Engineering, Computer and Information Sciences (SIBIRCON). IEEE Xplore. 2019. Pp. 0514–0519.
- Girin R.V. Iskusstvennaia neironnaia set dlia diagnostiki obieektov po termogrammam [Artificial neural network for diagnosing objects using thermograms] // Perspektivnye informatsionnye tekhnologii (PIT 2018): trudy mezhdunarodnoi nauchno-tekhnicheskoi konferentsii. Samara: Izd. Samarskogo nauchnogo tsentra RAN. 2018. Pp. 434–437. (In Russian).
- Poroshin I.E., Titov M.A. Ispolzovanie iskusstvennykh neironnykh setei dlia parametricheskoi identifikatsii obieektov [Using artificial neural networks for parametric identification of objects] // Molodoi uchenyi. 2020. № 26. Pp. 39–42. (In Russian).
- Nikolenko S.I., Kadurin A.A., Arkhangelskaia E.O. Glubokoe obuchenie. Pogruzhenie v mir neironnykh setei [Deep learning. Dive into the world of neural networks]. SPb.: Piter, 2022. 480 p. (In Russian).
- Shcherbakov M.V., Sai Van.K. Arkhitektura sistemy predskazatelnogo tekhnicheskogo obsluzhivaniia slozhnykh mnogoobieektnykh sistem v kontseptsii Industrii 4.0 [Architecture of a predictive maintenance system for complex multi-object systems in the Industry 4.0 concept] // Programmnye produkty i sistemy. 2020. № 2. Pp. 186–194. (In Russian).
- Novak P., Kadera P., Wimmer M. Model-based engineering and virtual commissioning of cyber-physical manufacturing systems – Transportation system case study // 22nd IEEE International Conference on Emerging Technologies and Factory Automation (ETFA), Limassol. 2017. Pp. 1–4.
- Orlov S.P., Susarev S.V. Imitatsionnye modeli na setiakh Petri dlia analiza protsessov obsluzhivaniia i remonta slozhnykh tekhnicheskikh system [Simulation models on Petri nets for analyzing maintenance and repair processes of complex technical systems] // Vestnik Samarskogo gosudarstvennogo tekhnicheskogo universiteta. Seriia: Tekhnicheskie nauki, 2022. № 30 (4). Pp. 49–75. (In Russian).
- Susarev S.V., Orlov S.P., Biziukova E.E., Uchaikin R.A. Primenenie modelei na setiakh Petri pri organizatsii tekhnicheskogo obsluzhivaniia avtonomnykh agrotekhnicheskikh transportnykh sredstv [Application of models on Petri nets in organizing the maintenance of autonomous agricultural vehicles] // Izvestiia SPbGTI (TU). 2021. № 58 (84). Pp. 98–104. (In Russian).
- CPN Tools. Modeling with Coloured Petri Nets. URL: http://cpntools.org/2018/01/16/getting-started (accessed 01.05.2023).
Supplementary files






