The structure of ichthyofauna in the More-Yu River basin (the Khaipudyrskaya Bay basin, the Barents Sea)
- Authors: Ponomarev V.I.1
-
Affiliations:
- Institute of Biology, Federal Research Center Komi Science Center of the Ural Branch of the Russian Academy of Sciences
- Issue: No 6 (2023): Экспериментальная биология и экология
- Pages: 37-46
- Section: Articles
- URL: https://journal-vniispk.ru/1994-5655/article/view/255987
- DOI: https://doi.org/10.19110/1994-5655-2023-6-37-46
- ID: 255987
Cite item
Full Text
Abstract
By the obtained results, the local ichthyofauna includes 17 species of fish from 12 families. Fish population of the More-Yu River basin has 14 fish species and differs significantly in different parts of its middle and lower courses. Nine species have been found in different-type lakes in the More-Yu River basin. Among them, peled is a dominating fish species in the majority of lakes. Also popular are broad whitefish, grayling and pike (recorded in five of six lakes studied). The surveyed lakes and river parts differ by the relative fish density and diversity level. Strange is the absence of ide, roach, and perch in the More-Yu River basin. This situation seems to be related not to the climatic conditions but to the glacial history and the presence of watersheds with adjacent river basins.
Full Text
В междуречье Печоры и Кары располагается большое количество водотоков Большеземельской тундры, напрямую впадающих в Баренцево и Карское моря и их губы. Среди них немало рек, относящихся к категории средних по величине (длина от 100 до 500 км): реки Нерута (длина 107 км, площадь водосбора 1250 км2), Хылчую (соответственно 139 км и 1200 км2), Черная (308 и 7290), Наульяха (104 и 853), Море-Ю (272 и 4530), Коротаиха (199 и 12 700), Табъю (121 и 1970), Сопчаю (144 и 1860) и Сибирчата-Яха (257 км и 2280 км2) [1].
В связи с исключительной удаленностью и труднодоступностью ихтиофауна водоемов и водотоков этого обширнейшего региона практически не изучена. Исследованиям рыбного населения, промысла и биологии наиболее ценных видов рыб посвящено лишь несколько работ [2–12].
В рамках проведения в 2001–2004 гг. международных проектов «Устойчивое развитие печорского региона в меняющихся условиях природы и общества (SPICE)» и «Глобальные последствия арктических климатических процессов и откликов (GLIMPSE)» нами впервые получены материалы, характеризующие состав местной ихтиофауны и рыбное население бассейна р. Море-Ю. Впоследствии, в ходе целенаправленных полевых ихтиофаунистических исследований Института биологии Коми НЦ УрО РАН, предпринятых в 2017 и 2022 гг., эти материалы были дополнены новыми данными.
Река Море-Ю (прежние названия Хайпудыра, Хэйбидя-Пэдар) берет начало из безымянного озера, расположенного в 6 км северо-западнее северной оконечности оз. Ямбото из системы Вашуткиных озер (бассейн р. Адзьва, правого притока р. Печоры II порядка). Географические координаты истока р. Море-Ю 68°07´ 47´´ с.ш., 61°13´ 27´´ в.д. Река первоначально течет на юго-запад и юг, постепенно поворачивая на запад, а после впадения левого притока р. Сямаю придерживается общего северного направления стока (рис. 1). Море-Ю впадает в Хайпудырскую губу Баренцева моря, образуя перед этим обширную дельту общей площадью около 180 км2.
Рисунок 1. Локализация бассейна реки Море-Ю. На водосборе показаны границы заказника «Море-Ю».
Figure 1. The More-Yu River basin on map with boundaries of the More-Yu Reserve.
Водосборная площадь водотока включает около 100 притоков длиной менее 10 км и 3650 озер общей площадью 209 км2 [1]. Из более крупных и имеющих географическое название рек в р. Море-Ю впадают Яраншор (длина 15 км), Селатывис (16), Пяйю (33), Вэснию (52), Сябую (78), Нядэйю (24), Сямаю (85), Утыяха (63), Порцатывис (39), Харючейяха (17), Яйяха (29), Хутыенкосё (12 км) и др.
Из озер на площади водосбора наиболее крупными являются Гачесьты, Яранты, Косхасырейты, Ханипчеты, Селаты, Пелядьты, Малые и Большие Сиднейты, Иван-Хасырейты, Хараянгты, Сяматы, Ярэйты, Дияты, Понцаты, Порцаты (крупнейшее в бассейне Море-Ю), Хутыто, Юпуюрто, Сэхэто, Хутыюнкото, Чираты, Яйто. Крупные озерно-речные системы образуют притоки Сябую (здесь располагается 471 озеро общей площадью 31.1 км2) и Сямаю (соответственно 741 озеро суммарной площадью 46.8 км2) [1].
С северо-востока и востока бассейн р. Море-Ю последовательно граничит с относящимися к водосбору р. Коротаихи бассейнами рек Пуучияха, Серембойяха, Пэяха, Нятрейяха, а также водосборными площадями озер Ямбото, Крежаты и Сэрататы бассейна р. Адзьвы и рядом малых правых притоков последней.
С южной стороны к бассейну Море-Ю примыкают бассейны рек Адзьвы (включая озера Ватьярты, Большие Сармикты, Большие Нгосавейты, Кебесаты, Лангутаты) и Колвы (с истоками р. Нерчейю и оз. Хасырей-Балбанты).
На западе от водосбора располагаются многочисленные безымянные реки и озера на водосборе р. Колвавис и ее левого притока Турунесьтывис, далее на север – водосбор р. Колвы: озера Турунесьты, Пиянты, озерно-речная система р. Пиян, озера Сядгейты, Сэръерты, Лыаэсьты, Малые Лыаэсьты, Большие и Малые Изъяты, Яракото, истоки р. Лапкосё, оз. Ямбото. Кроме того, пограничными с Море-Ю являются водосборы ряда притоков р. Седъяха и бассейн р. Ханавэйяха.
В 1999 г. в бассейне среднего течения водотока учрежден государственный природный заказник регионального значения «Море-Ю», целью которого является сохранение и изучение флоры и фауны Большеземельской тундры, в частности, реликтового «лесного острова» и археологических памятников. Общая площадь заказника составляет 54 765 га, что соответствует около 12 % территории водосбора р. Море-Ю.
Сбор материалов осуществлен в соответствии с общепринятыми методами ихтиологических исследований [13]. Для отлова рыбы использованы ставные жаберные сети (стандартный ряд финских сетей длиной 30 м, высотой 1.8 м и ячеями 10, 20, 30, 40, 50 и 60 мм) и крючковые орудия лова.
Определение характера дна и глубины озер осуществлено с помощью эхолота «Wide 3D View» (Techsonic industries INC., США). Измерения глубины участков русла рек проведены с использованием эхосаундера «Echotest LCD Digital» (Plastimo, Япония). Ориентирование на местности и фиксация географических координат точек отбора проб для проведения в дальнейшем долговременного мониторинга выполнены при помощи приемника GPS-12 («Garmin», США).
Измерения температуры, рН и электропроводности воды осуществлены при помощи портативного полевого многоканального измерителя Cond 330i/SET (WTW, Германия), величины окислительно-восстановительного потенциала – прибором ORP (HANNA instruments, Германия), мутности – с использованием портативного турбидиметра 2100Р (HACH, США).
В каждом конкретном случае отмечены вид рыболовных снастей, дата, время, географические координаты, расположение орудий лова (в случае установки жаберных сетей), величина и состав уловов, а также следующие показатели рыб: длина по Смитту, промысловая длина, общая масса тела, пол и стадия зрелости. Относительная численность рыб охарактеризована при помощи показателя индексной оценки плотности рыб из расчета среднего количества отловленных за единицу времени и на единицу рыболовного усилия экземпляров (экз./ус. час).
Определение возраста рыб произведено по чешуе. Для оценки уровня видового разнообразия использованы следующие индексы: вероятность межвидовых встреч PIE=1-*p2(i), модифицированный индекс Симпсона S=(*[p2(i)]-1, индекс Животовского Sg=[**p(i)]2, информационная мера Шеннона H= - *p(i)logp(i), индекс Шелдона SH=exp(H) [14]. Всего в эксперименте использованы 1017 экз. рыб.
В работе обследованы четыре участка среднего и нижнего течений русла р. Море-Ю и шесть разнотипных озер. Их локализация в бассейне представлена на рис. 2, общая характеристика дана в табл. 1 и 2.
Рисунок 2. Карта-схема бассейна реки Море-Ю: 1р–4р – обследованные участки русла; озера 1–5 – условные обозначения безымянных озер.
Figure 2. Sketch-map of the More-Yu River basin: 1р–4р – surveyed river parts; Lakes 1-5 - no-name lakes.
Таблица 1. Общая характеристика обследованных участков реки Море-Ю
Table 1. Total characteristics of the surveyed More-Yu River parts
№ п/п | Широта, с.ш. | Долгота, в.д. | Ширина реки, м | Максимальная скорость течения, м | Максимальная глубина, м | Высота над уровнем моря, м | Характер дна |
1р | 67°50´ 01´´ | 60° 00´ 02´´ | 70 | 1.0 | 3 | 15 | Песчано-галечниковое, с валунами |
2р | 67°53´ 14´´ | 59° 41´ 32´´ | 110 | 0.5 | 4 | 13.1 | Песчано-гравийное, местами глинистое |
3р | 68°17´ 17´´ | 59° 53´ 06´´ | 180 | 0.1 | 2.5 | 1.5 | Песок |
4р | 68°18´ 20´´ | 59° 40´ 56´´ | 300-400 | Прилив-отлив | 4 | 1 | Песчано-илистое |
Таблица 2. Общая характеристика озер бассейна реки Море-Ю
Table 2. Total characteristics of the More-Yu River basin lakes
№ п/п | Географическое название или условная нумерация | Широта, с.ш. | Долгота, в.д. | Высота над уровнем моря, м | Площадь, га | Максимальная глубина, м |
1 | Бол. Сиднейты | 67°42´ 03´´ | 60° 03´ 49´´ | 92.4 | 213 | 16 |
2 | Озеро 2 | 67°53´ 12´´ | 59° 44´ 01´´ | 22.9 | 26 | 3.5 |
3 | Озеро 4 | 67°53´ 49´´ | 59° 40´ 21´´ | 19 | 36 | 14 |
4 | Озеро 1 | 67°58´ 52´´ | 59° 45´ 37´´ | 13.5 | 46 | 8.5 |
5 | Озеро 5 | 68°14´ 17´´ | 60° 03´ 05´´ | 4 | 64 | 2 |
6 | Озеро 3 | 68°16´ 42´´ | 59° 52´ 44´´ | 3 | 43 | 2.5 |
Как видно из таблиц, в работе в разные сезоны года охарактеризовано рыбное население достаточно контрастных участков русла реки и разнотипных озер, расположенных в различных районах водосбора реки. Изучены ее равнинные участки в среднем и нижнем течениях (за исключением верхнего течения, имеющего выраженный полугорный характер). Протяженность исследованного участка р. Море-Ю составила около 100 км, от реликтового «лесного острова», располагающегося на протяжении более 10 км выше по течению устья р. Сямаю, до места впадения водотока в Хайпудырскую губу Баренцева моря. Изучение рыбного населения русла водотока выполнено преимущественно в июле 2004 г., в процессе сплава по реке на надувных лодках от точки 1р (см. рис. 2) до дельты и устья. В сентябре 2017 г. повторно проведены сборы в районе устья р. Сямаю.
Обследованные участки реки отличаются по местоположению, ширине русла, скорости течения, характеру берегов и грунтов и электропроводности (табл. 3), и близки по рН, насыщенности воды кислородом и повышенной мутности. Лишь на точке 4р сказывается влияние приливно-отливных явлений.
Таблица 3. Основные параметры воды в бассейне реки Море-Ю
Table 3. Main water parameters in the More-Yu River basin
Условное обозначение участка реки или озера | Дата | Температура, 0С | рН | Окислительно-восстановительный потенциал, mV | Электропроводность, mS/cm | Кислород, % | Мутность, NTU |
Участки русла | |||||||
1р | 2.07.2004 | 17.3 | 7.97 | 26 | 0.086 | 86 | 26.4 |
2р | 3.07.2004 | 23.2 | 7.89 | 51 | 0.098 | 87.2 | 18.7 |
3р | 7.07.2004 | 22.8 | 7.96 | 46 | 0.095 | 86.4 | 18.1 |
4р | 10.07.2004 | 17.8 | 7.99 | -71 | 0.149 | 85.1 | 20.9 |
Озера | |||||||
оз.2 | 8.07.2001 | 8.8 | 6.30 | - | 0.018 | - | - |
оз.4 | 9.07.2001 | 9.2 | 6.84 | - | 0.030 | - | - |
оз.1 | 4.07.2004 | 20.4 | 7.51 | 47 | 0.026 | 98.1 | 1.04 |
оз.5 | 6.07.2004 | 24.3 | 8.64 | 53 | 0.050 | 99.5 | 4.4 |
оз.3 | 8.07.2004 | 23.5 | 7.50 | -27 | 0.379 | 73.2 | 12.2 |
География обследованных в работе озер несколько шире, чем в случае с руслом р. Море-Ю: кроме водоемов, приуроченных к водотоку и изученных в разные годы и сезоны, охарактеризовано рыбное население оз. Большие Сиднейты, расположенного на водосборе другого левого притока Море-Ю, р. Сябую. Исследованные озера различаются не только по локализации, но и по высоте над уровнем моря, площади, глубинам, степени развития водной растительности, рН и электропроводности (см. табл. 3). В то же время их объединяет высокая насыщенность кислородом, низкая мутность (даже в мелководных озерах) и то обстоятельство, что, несмотря на наличие или отсутствие особо охраняемого режима (из обследованных водоемов только озера 2 и 4 входят в территорию заказника «Море-Ю»), все они в той или иной степени используются рыболовством.
Ключевой и общей чертой всех изученных в работе участков русла и озер является чрезвычайно высокая ценность ихтиофауны р. Море-Ю: доля лососеобразных рыб (семейства лососевые, сиговые, хариусовые и корюшковые) составляет более 47 % ее впервые выявленного в данной работе состава:
Семейство | Вид |
SALMONIDAE – лососевые | Горбуша Oncorhynchus gorbuscha (Walbaum, 1792) |
COREGONIDAE – сиговые | Обыкновенный сиг Coregonus lavaretus (Linnaeus, 1758) |
Чир Coregonus nasus (Pallas, 1776) | |
Пелядь Coregonus peled (Gmelin, 1789) | |
Сибирская ряпушка Coregonus sardinella (Valenciennes, 1848) | |
Нельма Stenodus leucichthys (Guldenstadt, 1772) | |
THYMALLIDAE – хариусовые | Европейский хариус Thymallus thymallus (Linnaeus, 1758) |
OSMERIDAE – корюшковые | Азиатская корюшка Osmerus mordax (Mitchill, 1815) |
ESOCIDAE – щуковые | Обыкновенная щука Esox lucius (Linnaeus, 1758) |
CYPRINIDAE – карповые | Обыкновенный гольян Phoxinus phoxinus (Linnaeus, 1758) |
BALITORIDAE – балиториевые | Усатый голец Barbatula barbatula (Linnaeus, 1758) |
GADIFIRMES – трескообразные | Навага Eleginus nawaga (Koelreuter, 1770) |
LOTIDAE – налимовые | Налим Lota lota (Linnaeus, 1758) |
CASTEROSTEIDAE – колюшковые | Колюшка девятииглая Pungitius pungitius (Linnaeus, 1758) |
PERCIDAE – окуневые | Обыкновенный ерш Gimnocephalus cernuus (Linnaeus, 1758) |
PLEURONECTIDAE – камбаловые | Полярная камбала Liopsetta glacialis (Pallas, 1776) |
Звездчатая камбала Platichthys stellatus (Pallas, 1787) |
Всего зарегистрировано 17 видов рыб из 12 семейств. И в самом водотоке, и в озерах на площади его водосбора обитают восемь видов: сиг, пелядь, чир, нельма, хариус, щука, налим и ерш. Только в озерах встречена ряпушка, тогда как исключительно в реке обнаружены семь видов: горбуша, корюшка, усатый голец, обыкновенный гольян, колюшка, навага, полярная и звездчатая камбалы.
Большинство видов рыб бассейна р. Море-Ю относится к арктическому пресноводному ихтиофаунистическому комплексу (семь видов) [15]: сиг, чир, пелядь, нельма, ряпушка, корюшка и налим. Вторым по представительству (четыре вида) оказался бореальный предгорный комплекс: горбуша, хариус, гольян и усатый голец. Арктический морской комплекс представлен двумя видами – полярной и звездчатой камбалами, равно как и бореальный равнинный (щука, ерш). По одному виду включают бореальный атлантический (навага) и понтокаспийский пресноводный (девятииглая колюшка) ихтиофаунистические комплексы.
Следует ожидать, что в ходе дальнейших исследований фауны рыб бассейна р. Море-Ю в ее составе могут быть зарегистрированы и другие проходные виды: атлантический лосось, арктический голец, омуль, а также речная камбала и другие виды рыбообразных и рыб.
В настоящее время установлено, что рыбное население русла р. Море-Ю включает 14 видов рыб (рис. 3). Из них практически на всех обследованных участках водотока встречаются сиг, пелядь, хариус и щука. При этом по мере продвижения от участков среднего течения к низовьям реки состав населения рыб существенно изменяется, особенно в районе устья: из состава ихтиофауны выпадают речной гольян, усатый голец, налим и ерш, в то же время появляются навага, полярная и звездчатая камбалы. Отсутствие в сборах из предустьевого участка реки корюшки, чира и нельмы можно объяснить только кратковременностью полевых работ и проведением их в летний период. Последнее обстоятельство особо актуально в отношении анадромных видов рыб, в частности, горбуши, атлантического лосося, сига и омуля.
Рисунок 3. Состав рыбного населения в русле реки Море-Ю.
Figure 3. Fish population composition in the More-Yu River course.
На участках среднего течения реки в летнее время доминировала пелядь, а хариус был отмечен как субдоминант. В районе устья треть уловов составил сиг, при этом значительная роль принадлежала морским видам рыб. Наиболее богатым видовой состав рыбного населения оказался в районе «лесного острова» р. Море-Ю и вблизи места впадения водотока в Хайпудырскую губу (по семь видов).
Пелядь занимала доминирующую позицию в составе рыбного населения большинства озер (рис. 4), за исключением озер 5 (здесь ведущую роль играл чир) и 3 (где преобладал хариус). Среди наиболее обычных для озер видов оказались чир, хариус и щука (отмечены в пяти из шести изученных озер), а также ерш, который зарегистрирован в трех озерах. Только в одном из озер встречены ряпушка, нельма, корюшка и девятииглая колюшка. Максимальное число видов (по шесть) выявлено в оз. Большие Сиднейты, а также в водоемах, условно обозначенных, как озера 3 и 4. Таким образом, существенных различий в ихтиофауне озер среднего течения р. Море-Ю и ее предустьевого участка не обнаружено.
Рисунок 4. Состав рыбного населения в озерах бассейна реки Море-Ю.
Figure 4. Fish population composition in the More-Yu River basin lakes.
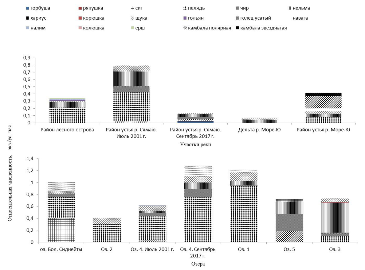
Относительная плотность наиболее массовых видов рыб в реке заметно превосходила таковую в озерах (рис. 5). Максимальные значения показателя в четырех из шести населенных ею озерах, равно как и на двух участках речного русла продемонстрировала пелядь. В оз. 3 наиболее многочисленным видом оказался чир, в оз. Большие Сиднейты – сиг. Также сравнительно высокие показатели численности выявлены у хариуса на местах летнего нагула в среднем течении р. Море-Ю и особенно мелководных озерах 3 и 5. Аналогичная с хариусом ситуация сложилась в отношении чира в оз. 1 и ерша в озерах 4 и Большие Сиднейты. Плотность щуки в целом соответствовала статусу хищника.
Рисунок 5. Относительная плотность рыб в русле и озерах реки Море-Ю.
Figure 5. Relative fish density in the More-Yu River course and lakes.
Наиболее высокий для водоемов Севера уровень разнообразия рыбного населения, рассчитанный с использованием ряда стандартных индексов биоразнообразия, выявлен на самом нижнем участке р. Море-Ю и среди водоемов для оз. 5 (рис. 6).
Рисунок 6. Величина индексов разнообразия рыбного населения в русле и озерах реки Море-Ю.
Figure 6. Values of the fish population diversity indexes n the More-Yu River course and lakes.
Минимальные значения индексов, выявленные для дельтового участка русла р. Море-Ю, обусловлены тем, что в состав контрольных уловов здесь входили только два вида рыб – хариус и щука. Сходным образом низкий уровень разнообразия рыбной части водных сообществ продемонстрирован для озер 2 (здесь обитают два вида рыб, пелядь и щука) и 5 (чир, хариус и девятииглая колюшка).
Наиболее массовые виды рыб бассейна р. Море-Ю, а именно пелядь, сиг, хариус и щука, представлены в наших сборах широким спектром возрастных групп (рис. 7). При этом их количество в озерах, как правило, превосходит таковое в магистральном русле водотока.
Рисунок 7. Возрастная структура уловов некоторых видов рыб русла и озер на водосборе реки Море-Ю: А – пелядь; Б – сиг; В – чир; Г – хариус.
Figure 7. Age structure of caught fish species n the More-Yu River course and lakes: A - peled; Б – whitefish; В – broad whitefish; Г – grayling.
Возрастная структура рыбного населения бассейна р. Море-Ю в отношении сига и щуки аналогична выявленной во второй половине 60-х гг. прошлого столетия в трех крупных озерных системах Большеземельской тундры [5]. В то же время количество зарегистрированных возрастных групп пеляди и чира в бассейне р. Море-Ю существенно выше, чем в Вашуткиных, Харбейских и Падимейских озерах.
Представляют интерес предельные размерно-весовые параметры, выявленные у рыб различных видов. Так, максимальная длина пеляди, отмеченная в русле водотока на участке в районе «лесного острова» в 2001 г., составила 410 мм при массе 986 г. Возраст этой особи достиг 9+ лет. Аналогичные показатели сига составили 410 мм и 950 г (12+ лет), чира – 625 мм и 3500 г (8+ лет), хариуса – 500 мм и 1510 г (12+ лет), щуки – 975 мм и 7590 г (15+ лет).
На примере пеляди показаны имеющиеся существенные различия в темпе ее роста в различных озерах бассейна р. Море-Ю и ее русле (табл. 4). Даже с учетом существующих межгодовых особенностей роста рыб можно указать на его более значительную вариабельность у одновозрастной (6+ лет) пеляди на водосборе р. Море-Ю по сравнению с Вашуткиными, Харбейскими и Падимейскими озерами [5]. Эта особенность хорошо согласуется с тем обстоятельством, что нередко в озерах одновременно обитает и нормально растущая форма пеляди, и тугорослая, карликовая [16].
Таблица 4. Биологические показатели пеляди бассейна реки Море-Ю в возрасте 6+ лет
Table 4. Biological indexes of peled from the More-Yu River basin at the age of 6+
Озеро или участок русла, месяц/год | Число рыб, экз. | Длина (FL), мм | Масса, г | Доля половозрелых особей, % | Соотношение самцы:самки, % |
Озеро 2. Июль 2001 г. | 8 | 277.4±6.1 260-311 | 271.4±20.3 221-374 | 87.5 | 25:75 |
Озеро 4. Сентябрь 2017 г. | 47 | 302.6±2.3 273-375 | 344,5±12.8 33-744 | 36.2 | 43:57 |
Река Море-Ю, среднее течение. Июль 2001 г. | 17 | 291.1±9.6 226-361 | 315.8±36.4 134-704 | 100 | 89:11 |
Река Море-Ю, среднее течение. Июль 2004 г. | 7 | 358.6±4.0 342-376 | 600.1±36.4 505-799 | 100 | 20:80 |
Озеро Бол. Сиднейты. Сентябрь 2022 г. | 13 | 325.4±3.2 310-347 | 481.8±22.6 353-640 | 69.2 | 23:77 |
Примечание. Над чертой – среднее значение и его ошибка, под чертой – пределы варьирования показателя.
Note. Аbove the line - mean value and its error, under the line - variation limits.
Судя по накопленным в настоящее время материалам, в бассейне р. Море-Ю имеется и озерная, и озерно-речная формы пеляди, причем как быстро (как в случае с обнаруженной в среднем течении водотока группировкой) и нормально растущие, так и карликовая, населяющая оз. 2 [17].
Следует особо указать, что обследованные озера, несмотря на достаточно общий и рекогносцировочный характер проведенной работы, имеют в отношении рыбного населения очевидную функциональную взаимосвязь в рамках всей экосистемы бассейна р. Море-Ю. Действительно, мелководные озера дельты служат местом нагула молоди многих видов рыб, в том числе и полупроходных. Глубокие озера, связанные с вышерасположенными участками реки, аналогичным образом являются местами нагула разновозрастных группировок чира, нерестящего в водотоках [18, 19]. Действительно, крупные половозрелые особи чира, как правило, можно обнаружить в озерах только в летний период; осенью готовые к икрометанию производители мигрируют в реки.
В некоторых глубоководных озерах бассейна р. Море-Ю хариус представлен полным спектром возрастных групп (см. рис. 7), по-видимому, проводя здесь весь жизненный цикл, аналогично щуке и озерной форме пеляди. В то же время в оз. Большие Сиднейты обнаружены только старшевозрастные группы хариуса в возрасте 6+...13+ лет (причем особи 5+...7+ встречались единично), что свидетельствует об их использовании акватории этого водоема лишь в качестве нагульного.
Сиг, обнаруженный только в оз. Большие Сиднейты и в русле р. Море-Ю, очевидно, нерестится в этом озере; о чем может свидетельствовать наличие здесь практически всех возрастных групп от 1+ до 12+ лет и состояние в середине сентября гонад у половозрелых рыб, близких к функциональной половой зрелости. Вопрос о заходе в реку полупроходной формы сига все еще остается открытым. То же самое касается атлантического лосося, арктического гольца, омуля и, возможно, других видов рыб.
Таким образом, в результате впервые предпринятого изучения состава ихтиофауны и структуры рыбного населения бассейна р. Море-Ю составлен список населяющих ее рыб, включающий 17 видов из 12 семейств, в большинстве своем из арктического пресноводного ихтиофаунистического комплекса. Выявлена высокая хозяйственная ценность фауны, в которой преобладают лососеобразные рыбы из семейств лососевых, сиговых, хариусовых и корюшковых. Рыбное население русла р. Море-Ю включает как минимум 14 видов рыб и существенно различается на разных участках ее среднего и нижнего течений. В озерах обнаружено девять видов, из которых в составе рыбного населения большинства озер доминирует пелядь. Среди наиболее обычных для озер видов – чир, хариус и щука (отмечены в пяти из шести изученных озер). Обследованные озера и участки русла р. Море-Ю различаются по относительной плотности рыб и уровню разнообразия. Выявлена функциональная дифференциация различных озер и участков русла при прохождении рыбами различных этапов жизни.
Обращает особенное внимание выявленное в работе отсутствие в бассейне р. Море-Ю язя, плотвы и окуня, ранее отмеченных в Вашуткиных озерах, служащих истоком сопредельного по отношению к бассейну р. Море-Ю водосбора р. Адзьвы, притока II порядка р. Печоры [5]. Судя по соседнему географическому положению можно предположить, что это обстоятельство связано не столько с климатическими условиями, сколько с ледниковой историей [20, 21]. Действительно, плейстоценовые покровные оледенения целиком и неоднократно занимали территорию бассейна р. Море-Ю и лишь частично соседние водные системы рек Адзьвы и Колвы, разделенные между собой водораздельными барьерами. Последующие исследования позволят приблизиться к пониманию путей формирования пресноводной ихтиофауны бассейна р. Море-Ю, которые, на что указывают отсутствие карповых и окуневых рыб, с большой вероятностью были направлены с северо-запада и, частично, обитание здесь пеляди, чира и ряпушки, с северо-востока.
About the authors
Vasily I. Ponomarev
Institute of Biology, Federal Research Center Komi Science Center of the Ural Branch of the Russian Academy of Sciences
Author for correspondence.
Email: ponomarev@ib.komisc.ru
ORCID iD: 0000-0002-0863-736X
Candidate of Sciences (Biology), Head of the Animal Ecology Department
Russian Federation, SyktyvkarReferences
- Ресурсы поверхностных вод СССР. Гидрологическая изученность. Т. 3. Северный край / под ред. Н. М. Жила. – Ленинград : Гидрометеоиздат, 1965. – 612 с.
- Друккер, Г. Ф. Рыбный промысел Большеземельской тундры / Г. Ф. Друккер // Труды Института по изучению Севера. – 1927. – Вып. 38. – С. 5–21.
- Световидов, А. Н. Сиг рек Кары и Сибири (Coregonus lavaretus pidschian natio bergiellus) / А. Н. Световидов // Труды ЗИН АН СССР. – 1936. – Т. 4, вып. 2. – С. 389–424.
- Шеломов, В. Н. К биологии нельмы Stenodus leucichthys nelma (Pallas) реки Коротаихи / В. Н. Шеломов // Ученые записки Пермского госуниверситета. – 1937. – Т. 3, вып. 1. – С. 125–161.
- Сидоров, Г. П. Рыбные ресурсы Большеземельской тундры / Г. П. Сидоров. – Ленинград : Наука, 1974. – 164 с.
- Биологическая характеристика водоемов в бассейне р. Коротаихи / Г. П. Сидоров, Т. А. Власова, В. К. Барановская [и др.] // Тезисы докладов III Всесоюзного съезда гидробиологического общества. Т. 2. – Рига, 1976. – С. 238–241.
- Пономарёв, В. И. Некоторые популяционные характеристики рыб разнотипных озер северной части Большеземельской тундры / В. И. Пономарёв // Некоторые подходы к организации экологического мониторинга природных экосистем в условиях Севера. – Сыктывкар, 1996. – С. 139–151. – (Труды Коми НЦ УрО РАН; № 147).
- Пономарёв, В. И. Население рыб горных и тундровых водоемов Европейского северо-востока и тенденции его изменений / В. И. Пономарёв // Экологические проблемы северных регионов и пути их решения : тезисы докладов VII Всероссийской научной конференции с международным участием, посвященной 30-летию Института проблем промышленной экологии Севера ФИЦ КНЦ РАН и 75-летию со дня рождения доктора биологических наук, профессора В. В. Никонова. – Апатиты : Издательство ФИЦ КНЦ РАН, 2019. – С. 149–151.
- Шубин, Ю. П. Рыбохозяйственная характеристика некоторых озер северной части Большеземельской тундры / Ю. П. Шубин, Г. П. Сидоров // Некоторые подходы к организации экологического мониторинга в районах разведки, добычи и транспортировки нефти и газа. – Сыктывкар, 1996. – С. 152–160. – (Труды Коми НЦ УрО РАН; № 147).
- Ponomarev, V. The Moreyu river shallow lakes aquatic communities (the Barents Sea basin) / V. Ponomarev, O.A. Loskutova // Shallow Lakes 2005 : Book of Abstracts. – Dalfsen, 2005. – P. 98.
- Walker, T. R. Young multiple indicators of human impacts on the environment in the Pechora Basin, north-eastern European Russia / T. R. Walker, P. D. Crittenden, V. Dauvalter [et al.] // Ecological indicators. – 2009. – Vol. 9, Iss. 4. – P. 765–779.
- Козьмин, А. К. Рыбохозяйственная оценка озер Ненецкого автономного округа / А. К. Козьмин, И. В. Булатова // Рыбохозяйственные водоемы России: фундаментальные и прикладные исследования: материалы II Всероссийской научной конференции с международным участием. – Санкт-Петербург, 2018. – С. 204–211.
- Правдин, И. Ф. Руководство по изучению рыб / И. Ф. Правдин. – Москва : Пищевая промышленность, 1966. – 376 с.
- Терещенко, В. Г. Оценка различных индексов для выражения биологического разнообразия сообщества / В. Г. Терещенко, Л. И. Терещенко, М. М. Сметанин // Биоразнообразие. Степень таксономической изученности. – Москва: Наука, 1994. – С. 86–98.
- Никольский, Г. В. Структура вида и закономерности изменчивости рыб / Г. В. Никольский. – Москва : Пищевая промышленность, 1980. – 184 с.
- Сидоров, Г. П. Лососеобразные рыбы водоемов Европейского северо-востока / Г. П. Сидоров, Ю. С. Решетников. – Москва : Товарищество научных изданий КМК, 2014. – 346 с.
- Пелядь Coregonus peled (Gmelin, 1789) / под ред. Ю. С. Решетникова. – Москва : Наука, 1989. – 302 с.
- Богданов, В. Д. Особенности воспроизводства сиговых рыб / В. Д. Богданов, Ю. С. Решетников // Биология, биотехника разведения и состояние запасов сиговых рыб. – Тюмень : Госрыбцентр, 2010. – С. 78–82.
- Решетников, Ю. С. Особенности воспроизводства сиговых рыб / Ю. С. Решетников, В. Д. Богданов // Вопросы ихтиологии. – 2011. – Т. 51, № 4. – С. 502–525.
- Mangerud, J. The chronology of a large ice-dammed lake and the Barents–Kara Ice Sheet advances, Northern Russia / J. Mangerud, V. I. Astakhov, A. Murray, J. I. Svendsen // Global and Planetary Change. – 2001. – № 31. – P. 321–336.
- Mangerud, J. Ice-dammed lakes and rerouting of the drainage of northern Eurasia during the Last Glaciation / J. Mangerud, M. Jakobsson, H. Alexanderson [et al.] // Quaternary Science Reviews. – 2004. – № 23. – P. 1313–1332.
Supplementary files








