Relationship between the dynamics of landslide process in the Vorkuta River valley and the main climatic parameters
- Authors: Vikhot A.N.1, Lyutoev V.A.1
-
Affiliations:
- Institute of Geology named after Academician N. P. Yushkin, Komi Science Centre of the Ural Branch of the Russian Academy of Sciences
- Issue: No 3 (2024): Науки о Земле
- Pages: 106-115
- Section: Articles
- URL: https://journal-vniispk.ru/1994-5655/article/view/260433
- DOI: https://doi.org/10.19110/1994-5655-2024-3-106-115
- ID: 260433
Cite item
Full Text
Abstract
Erosion due to frozen and hygrogenic creep and flooding of the slope with surface waters are the reasons for the landslide revival in residential areas of Vorkuta. We have evaluated the interlink between landslide dynamics, seasonal frost depth and main climatic parameters affecting the above indexes as snow accumulation, mean air temperature of cold year period, number of cold days and amount of liquid precipitation for 2010–2020. Frost depths for technogenic grounds and semi-rocks have been calculated by two methods based: 1 – on the thermal properties of soils and rocks and some climatic parameters, 2 – on the heat conductance of a three-layer medium (snow cover, frozen and thawed soils) and its heat balance. The mean difference between the calculated and some observed frost depths in technogenic grounds is 30 %. The correlation coefficient Kcor was 0.86 and 0.62. According to the Grey correlation analysis, the mean air tem-perature for the cold year period is an important parameter affecting the reference sequence, i.e. landslide dynamics. Cold period length and air temperature best affected the frost depth. Liquid precipitation amount is found to be another significant parameter for both reference sequences.
Full Text
Введение
В регионах, где преобладает холодный климат и среднемесячная температура воздуха за холодный период ниже 0 °C, происходят циклы промерзания–оттаивания в грунтах. По некоторым данным [1, 2], примерно 50 % суши в мире подвержено вышеуказанным циклическим процессам, одновременно с которыми изменение климатических показателей по территории происходит неравномерно. В связи с этим меняются структурная целостность, физические и механические свойства горных пород. Температура воздуха, влажность, теплопроводность почвы и грунта, осадки и скорость ветра эффективно воздействуют на глубину сезонных промерзаний и оттаиваний грунта. Считается, что наиболее значимым фактором, влияющим на тепловой баланс геологической среды, является температура воздуха, в частности и на Восточно-Европейской равнине [3]. Формула Стефана – одна из первых, созданных для оценки глубины промерзания почвы и грунтов [4]. Позже различными методами многократно была доказана взаимосвязь между температурой воздуха и глубиной промерзания грунтов [5–9]. Также многолетние наблюдения за значениями глубины промерзания и оттаивания показали, что термический режим грунтов прямо пропорционально зависит от высоты снежного покрова, его плотности, теплопроводности и структуры, что оценено методами статистического анализа [3, 10–12]. В целом грунты территорий с наибольшим накоплением снега имеют более высокую температуру и промерзают на меньшую глубину. Более полувека назад В. А. Кудрявцев предложил уравнение для расчета глубины промерзания грунта, объединив попеременное отепляющее и охлаждающее действие снежного покрова на грунт в зависимости от режима снегонакопления и амплитуды годовых колебаний температуры воздуха [13]. В настоящее время на практике такие исследования широко проводятся в строительной климатологии, при проектировании, строительстве и эксплуатации инженерных сооружений [14], автомобильных и железных дорог, в сельском хозяйстве [15] и экологии [16]. Дополнительно стоит отметить, что в области распространения многолетнемерзлых толщ состояние криолитозоны отмечается как неустойчивое [17, 18], и поэтому там ускорено протекание экзогенных геологических процессов и явлений, таких как криогенное выветривание, оползни, обвалы и т. д.
В районе исследований г. Воркуты (67°30′ с. ш. 64°02′ в. д.) особого внимания заслуживает оползневый процесс на территории жилой застройки на ул. Шахтерская набережная. По результатам проведенного анализа параметров смещения точек бровки оползневого уступа за 2013–2019 гг. центральная часть оползневого склона имеет преобладающе обвально-осыпной механизм; южную и северную части можно отнести к группе оползней скольжения с нечастыми обвалами [19]. В период 2013–2018 гг. центральная и южная части проходили активную стадию оползания, далее перешли в состояние затухания, что соответствует началу пассивного периода, или нового цикла. До 2017–2018 гг. северная часть пребывала на подготовительном этапе, по окончании которого был отмечен рост трендов с невысоким ускорением. В годы наблюдений отмечалось незначительное повышение среднегодовой температуры воздуха за счет более теплых месяцев с отрицательной температурой воздуха. Наиболее тесная взаимосвязь динамики движения оползня и климатических параметров выявлена со средним значением температуры воздуха месяцев с положительными значениями, коэффициент корреляции Ккор составил 0,58. По данным Государственного казенного учреждения Республики Коми «Геокриологическая служба Республики Коми» (ГКУ РК «Геокриологическая служба»), природными причинами активизации оползневого процесса являются эрозия вследствие мерзлотного и гигрогенного крипов и обводнение склона поверхностными водами.
В связи с этим цель данной работы – оценка глубины сезонного промерзания горных пород на оползневом склоне в долине р. Воркуты и определение взаимосвязи динамики движения оползня, глубины сезонного промерзания грунтов и иных основных климатических параметров, влияющих на перечисленные показатели.
Климат и геологические условия
Город Воркута расположен в северной части Республики Коми, в южной тундре, где распространена голоценовая и голоценово-плейстоценовая криолитозона, представленная прерывистым массивно-островным распространением многолетнемерзлых пород (10–50 % покрытия) [20]. Ее подошва залегает на глубине 100 м и чуть более [21]. Климат территории – субарктический. По состоянию на 2023 г. за 76 лет среднегодовая температура воздуха составила -5.3 °C, среднегодовое количество осадков – 540 мм. Снежный покров окончательно формируется в середине октября и разрушается в конце мая. Средняя продолжительность периода со снежным покровом – 232 дня. Средняя высота покрова – 0.75 м, максимальная – 1.8 м.
Среднегодовая температура воздуха по метеостанции г. Воркуты за период исследований составила -3.88 °C, среднее значение отрицательных среднесуточных температур воздуха равно -10.99 °C, положительных – +9.16 °C, среднегодовое количество осадков – 549 мм. За период исследований в 2016 г. отмечены минимальные годовое количество осадков (424 мм) и высота снежного покрова (0.43 м) [19].
Рельеф оползневого склона – денудационный, представлющий собой эрозионный склон современной речной долины. Схема оползневого склона показана на рис. 1. Вдоль бровки оползня построен геоэлектрический разрез (рис. 2). По материалам [22], в верхней части разреза залегают техногенные образования (tH) неоднородного состава мощностью 0.4–1.5 м: щебень, дресва, галька и гравий, встречаются включения суглинка. До глубины 3.0 м состав насыпных грунтов может быть несколько иной: гравий, галька, включения песка и суглинка. Содержание крупных фракций (d > 2 мм) – около 20 %. Такая неоднородность подтверждается большим диапазоном значений удельного электрического сопротивления горизонта – 280–970 Ом·м. Далее до глубины 4.0–6.8 м следуют среднечетвертичные отложения, представленные ледниково-морскими суглинками (gmE–lrg) с увеличением содержания гравия и гальки к подошве и возможными прослоями песков и супесей, среднее содержание – от 5–10 до 20–25 % [23, 24]. Ниже (до 13–14 м) залегают полускальные пермские отложения (P1-2lv2) и представляют элювий коренных пород: переслаивание сильно выветрелых, трещиноватых, глыбо–щебенистых песчаников, алевролитов, аргиллитов, углистых аргиллитов и углей. Также они могут переслаиваться со скальными прочными и средней прочности породами. Скальный горизонт выделяется как слой удельного электрического сопротивления 275–460 Ом·м. В районе исследований находится пермский подмерзлотный водоносный комплекс терригенных отложений.
Рисунок 1. Схема района исследований: 1 – оползневый участок, 2 – бровка оползневого срыва, 3 – геодезический репер, 4 – пикет вертикального электрического зондирования, 5 – термометрическая скважина, 6 – абсолютная высота
Figure 1. Research area scheme: 1 – landslide area, 2 – landslide margin, 3 – bench mark, 4 – picket of vertical electrical sounding, 5 – temperature-recording hole, 6 – absolute height
Рисунок 2. Геоэлектрический разрез у бровки оползневого срыва: 1 – насыпные грунты, 2 – суглинки с включениями гравия и гальки, 3 – трещиноватые полускальные отложения, 4 – скальные породы, 5 – пикет вертикального электрического зондирования, 6 – термометрическая скважина, 7 – удельное электрическое сопротивление, Ом·м
Figure 2. Geoelectrical cross-section of the landslide margin: 1 – fill-up grounds, 2 – loams with included gravel and pebble, 3 – crumbling semi-rocky deposits, 4 – hard-rocks, 5 – picket of vertical electrical sounding, 6 – temperature-recording hole, 7 – electrical resistivity, Ohm·m
Материалы и методы
В данном исследовании глубина промерзания грунта рассчитана двумя эмпирическими методами. Затем с помощью корреляционного анализа Грея определили основные параметры, влияющие на глубину промерзания грунтов и динамику движения оползня. Метод основан на оценке геометрического сходства между главной (эталонной) последовательностью и последовательностями параметров влияния для определения тесноты связи [25]. Эталонными последовательностями в анализе выступали глубина промерзания грунтов и динамика движения оползня.
Уравнение Стефана для определения глубины промерзания горных пород при наличии снежного покрова выглядит следующим образом:
,
где λм – коэффициент теплопроводности мерзлой породы, Вт/м·°С; tn – средняя температура воздуха, °С; τ – продолжительность промерзания на конец месяца холодного периода, ч; Qф – теплота фазового перехода, Вт·ч/м3; Сом – объемная теплоемкость мерзлых пород, Вт·ч/м·°С; hm – условная мощность слоя теплоизоляции (снежного покрова), м.
Расчеты глубины промерзания осуществляли на основе задачи теплопроводности трехслойной среды (снег, мерзлые и талые породы) с фазовым переходом на границе мерзлого и талого грунтов по [26]. В расчетах принято, что температура в каждой из сред изменяется линейно. Уравнение теплового баланса, лежащее в основе расчетов, включает энергию фазового перехода, приток тепла из немерзлого грунта и отток в мерзлый грунт и атмосферу.
,
где F1 – отток тепла через замерзший грунт и снежный покров от фронта промерзания в атмосферу, Вт/м2; L – энергия фазового перехода, 335 кДж/кг; V – скорость движения фронта промерзания, см/с; F2 – отток тепла на охлаждение талого грунта перед фронтом промерзания, Вт/м2.
Тепловой поток выражается по закону Фурье через градиент температуры и теплопроводность и может быть рассчитан:
,
где Tвозд – средняя температура воздуха, °С; hc и hмг – толщина снежного покрова и глубина промерзания горной породы, м; λс и λмг – теплопроводность снега и мерзлого грунта, Вт/м·°С.
Отток тепла на охлаждение талого грунта перед фронтом промерзания определяется по формуле:
,
где λтг – теплопроводность талого грунта, Вт/м·°С; Т0 – температура отложений на глубине нулевых годовых колебаний. По данному методу принято считать, что глубина нулевых годовых колебаний температуры грунтов – 10 м со значением 2 °С, на начало холодного периода толщина мерзлого грунта принималась 0.005 м.
Результаты и их обсуждение
Необходимые основные климатические параметры, влияющие на глубину замерзания горных пород: средняя температура воздуха холодного периода, количество жидких осадков, количество холодных дней, высота снежного покрова – были предсталены метеостанцией г. Воркуты. Годовые данные 2010–2020 гг. – в табл. 1. В указанный период наблюдений отмечаются незначительные повышения средней температуры воздуха для холодного периода и средней высоты снежного покрова с небольшими флуктуациями (коэффициенты линейной регрессии положительны, коэффициенты детерминации R2=0.2 и 0.6 соответственно), при этом коэффициент корреляции данных параметров равен 0.6. По средним значениям отрицательных температур воздуха самым теплым оказался период 2019–2020 гг., самым холодным – 2010–2011 гг. Самому теплому периоду соответствует одна из многоснежных зим, средняя высота снежного покрова составила 0.55 м. 2020 год отмечен и высоким количеством жидких осадков – 292.8 мм. Максимальное значение – 302 мм в 2019 г. Самый холодный период был скуден на осадки: характеризуется относительно низким значением мощности снежного покрова (0.35 м) и количеством жидких осадков (201.5 мм).
Таблица 1. Климатические параметры города Воркуты
Table 1. Climatic parameters, Vorkuta city
Период | tсрвоздуха, °С | Количество холодных дней | Количество жидких осадков, мм | hср снежного покрова, м |
2010–2011 | -13.2 | 214 | 201.5 | 0.35 |
2011–2012 | -9.5 | 203 | 280.3 | 0.32 |
2012–2013 | -11.4 | 210 | 220.5 | 0.30 |
2013–2014 | -11.6 | 240 | 268.3 | 0.45 |
2014–2015 | -12.1 | 242 | 241.9 | 0.37 |
2015–2016 | -9.2 | 218 | 231.8 | 0.51 |
2016–2017 | -12.8 | 227 | 192.1 | 0.37 |
2017–2018 | -11.6 | 232 | 292.4 | 0.44 |
2018–2019 | -9.7 | 214 | 302.0 | 0.68 |
2019–2020 | -8.8 | 203 | 292.8 | 0.55 |
По результатам анализа ежемесячных показателей климатических параметров можно сказать, что в октябре наступают условия для устойчивого сезонного промерзания верхнего слоя горных пород. Средняя температура воздуха составляет -3 °С при разбросе -0.2...-6.7 °С.
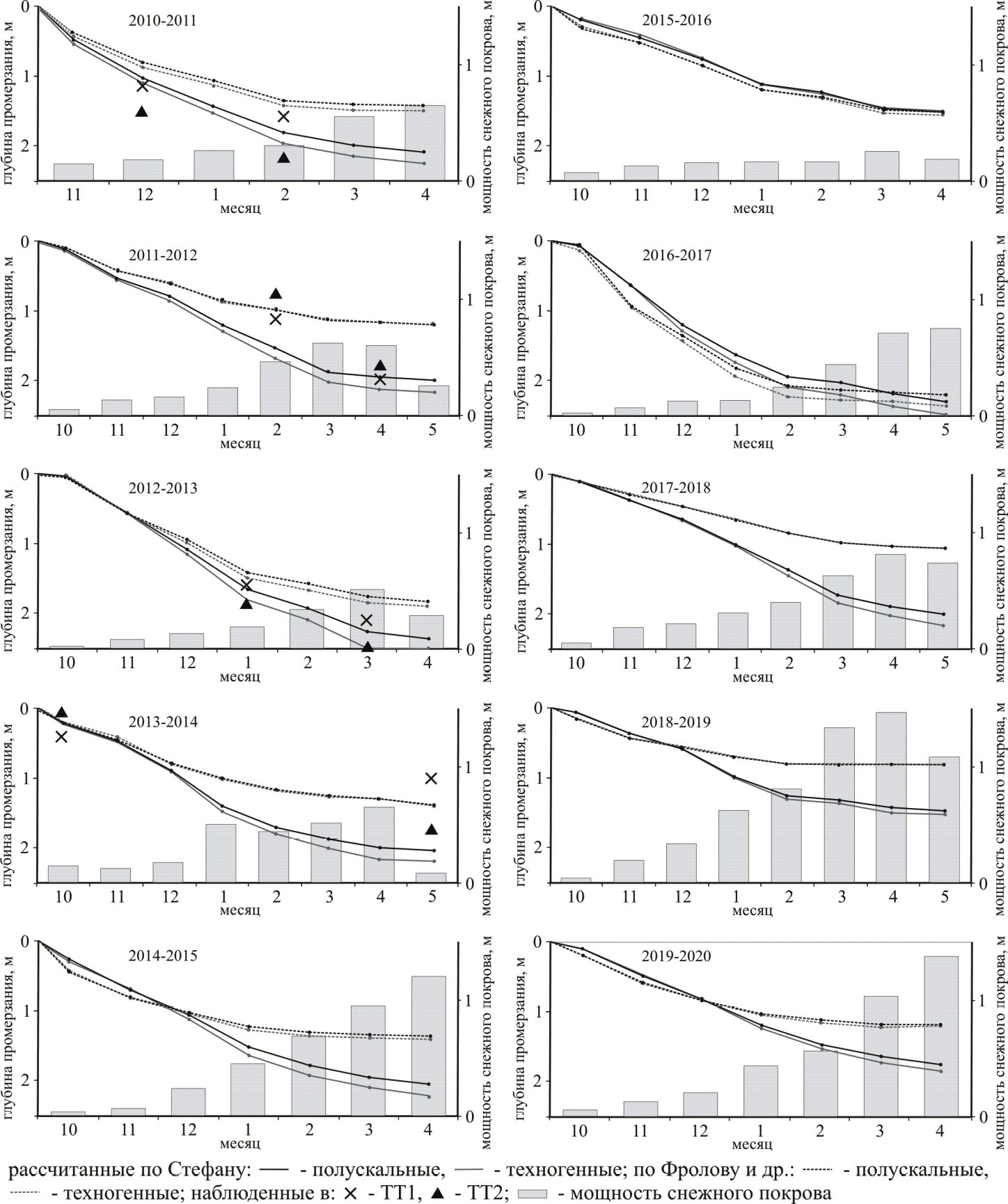
При расчетах глубины промерзания для повышения точности получаемых результатов учитывались данные о теплоемкости мерзлых и талых грунтов. По методу Стефана предполагалось, что скрытая теплота влаги в грунтах является единственной теплотой, которая отводится при замерзании. Тепловая энергия, удерживаемая в объемном виде, выделяемая при условии, когда температура почвы и грунтов падает до точки замерзания и ниже, не учитывалась. Расчетная схема, предложенная Фроловым и др. [26, 27], построена на основе перехода теплового потока в трехслойной среде: снежный покров, мерзлый и талый грунты. Для начальных условий толщина мерзлого слоя сверху была принята 0.005 м. При изменении температуры воздуха и снега в снеге варьируется содержание кристаллической, жидкой и парообразной фаз воды, поэтому в течение холодного периода плотность снега и его теплопроводность меняются. По данным ГКУ РК «Геокриологическая служба», плотность снега в районе исследований варьирует в диапазоне 180–600 кг/м3, поэтому для расчетов принята плотность 450 кг/м3. Ей соответствует коэффициент теплопроводности снега λс=0.49 Вт/м·°С. Режим промерзания грунтов определялся для верхней части оползневого склона в районе размещения термометрических скважин № 1 и 2 (рис. 2), где в верхней части разреза до глубины 3 м находятся техногенные грунты, и для склоновой части, где обнажены полускальные горные породы. Результаты расчетов и их сравнение между собой и с некоторыми наблюдаемыми данными отображены на рис. 3 и 4. Среднее расхождение расчетных и наблюденных глубин промерзания техногенного грунта составляет 30 % при значительных и сильных коэффициентах корреляции 0.67–0.92. Расчетные данные по схеме, предложенной Фроловым и др., несколько ниже фактически измеренных, но в целом они воспроизводят динамику процесса промерзания, как и значения, полученные по методу Стефана (рис. 3). В разные годы различия в глубине промерзания составляли около 50 %. Основное промерзание грунта происходит к декабрю–январю – до 90 % от всего сезонного промерзания (рис. 3). Небольшой снежный покров и низкие температуры воздуха в начале холодного периода способствуют такому стремительному промерзанию. С января при установлении большей мощности снежного покрова графики динамики промерзания становятся пологими и имеют рост от 0.02 до 0.3 м/мес. Коэффициенты корреляции мощности снежного покрова и расчетных глубин промерзания, определенные по методам Стефана и Фролова и др., составили 0.86 и 0.62 соответственно.
Рисунок 3. Рассчитанные и наблюденные глубины промерзания и мощности снежного покрова
Figure 3. Calculated and observed frost and snow depths
Рисунок 4. Распределение рассчитанной глубины промерзания
Figure 4. Distribution of calculated frost depths
Результаты корреляционного анализа Грея динамики движения оползня (табл. 2), глубины промерзания грунтов на оползневом склоне и климатические параметры влияния (мощность снежного покрова, средняя температура воздуха холодного периода, количество холодных дней, количество жидких осадков) представлены в табл. 3. Коэффициент корреляции Грея рассчитан по уравнению:
,
где x0=(x0(1), x0(2),…, x0(k)) – главная последовательность, xi=(xi(1), xi(2),…, xi(k)) – последовательности сравнения и ρ – коэффициент разложения [0;1], обычно принимаемый 0.5.
Таблица 2. Абсолютные смещения оползневых точек, мм
Table 2. Absolute displacements of landslide points, mm
Точка наблюдений | Год наблюдений | |||||
2014 | 2015 | 2016 | 2017 | 2018 | 2019 | |
1 | 8.2 | 15.1 | 14.6 | 17.6 | 7.8 | 8 |
2 | 5.6 | 6.57 | 6.9 | 9.3 | 4.2 | 3.3 |
3 | 1.1 | 0.1 | 0.1 | 0.0 | 0.0 | 0.5 |
4 | 0.4 | 0.5 | 0.3 | 0.2 | 0.0 | 0.2 |
5 | 2.5 | 2.5 | 0.7 | 0.1 | 0.1 | 0.4 |
6 | 1.0 | 0.4 | 0.4 | 0.3 | 0.3 | 0.1 |
7 | 2.2 | 0.1 | 0.2 | 0.3 | 1.7 | 1.6 |
8 | 1.3 | 0.1 | 0.0 | 0.1 | 0.2 | 0.2 |
9 | 0.4 | 0.8 | 1.6 | 1.2 | 2.5 | 0.4 |
10 | 3.2 | 1.3 | 3.4 | 5.2 | 7.25 | 6 |
11 | 16.5 | 13.3 | 201.6 | 128.0 | 59.7 | 50.2 |
12 | 21.7 | 11.3 | 199.5 | 139.5 | 46.8 | 56.2 |
13 | 49.3 | 16.7 | 57.2 | 202.8 | 114.3 | 232.9 |
14 | 6.8 | 9.5 | 251.4 | 241.9 | 3.0 | 9.6 |
15 | 0.7 | 1.0 | 0.4 | 0.1 | 0.9 | 2.6 |
16 | 0.4 | 0.2 | 4.9 | 4.6 | 0.0 | 0.1 |
17 | 0.4 | 1.0 | 1.7 | 4.1 | 4.7 | 0.0 |
18 | 0.0 | 0.0 | 1.7 | 1.3 | 0.6 | 2.0 |
19 | 0.0 | 0.4 | 1.1 | 1.4 | 0.3 | 0.1 |
Таблица 3. Результаты корреляционного анализа Грея
Table 3. Results of the Grey correlation analysis
Степень корреляции смещения оползневых точек | ||||
Глубина промерзания горных пород по методу Стефана (Стhпр) | Глубина промерзания горных пород по методу Фролова и др. (Фрhпр) | tср | hср снежного покрова | Количество жидких осадков |
0.72 | 0.63 | 0.85 | 0.72 | 0.79 |
Степень корреляции глубины промерзания горных пород | ||||
Количество холодных дней | tср | hср снежного покрова | Количество жидких осадков | |
По методу Стефана | 0.95 | 0.89 | 0.73 | 0.86 |
По методу Фролова и др. | 0.95 | 0.89 | 0.59 | 0.86 |
Степень корреляции Грея определена по формуле:
.
Последовательности корреляции Грея выглядят следующим образом: смещение оползневых точек > средняя температура воздуха холодного периода > количество жидких осадков > мощность снежного покрова > глубина промерзания горных пород; глубина промерзания > количество холодных дней > средняя температура воздуха холодного периода > количество жидких осадков > мощность снежного покрова. Наиболее определяющее влияние на глубину промерзания грунтов оказывают длительность холодного периода и температура воздуха. При изучении динамики движения оползня по методу Грея важным параметром влияния явилась средняя температура воздуха холодного периода. В то же время в обеих последовательностях существенным влияющим параметром оказалось количество жидких осадков, иными словами, влажность грунтов – еще один необходимый наблюдаемый параметр. Для более точного анализа в аналогичных исследованиях важно было бы измерять уровень грунтовых вод и глубину проникновения поверхностных вод.
В инженерной геологии существует параметр «индекс промерзания поверхности» – искусственная величина, которая зависит от температуры воздуха и продолжительности холодного периода. На рис. 4 рассчитанные глубины промерзания сопоставлены с индексами промерзания поверхности (табл. 4) при среднегодовых температурах. Глубина промерзания в целом имеет тенденцию роста с увеличением индекса промерзания поверхности по обоим расчетным методам, что подтверждает последовательности корреляции Грея, полученные выше. При одинаковых индексах промерзания глубина промерзания более выветрелых пород выше, чем у техногенных грунтов. Это связано с тем, что полускальные породы обладают большей теплопроводностью, чем песчаные отложения с гравием и галькой, и более выветрелые полускальные породы имеют более высокую влагоемкость ввиду трещиноватости, чем техногенные грунты. Минимальные значения индексов промерзания наблюдались в самый теплый год и многоснежный холодный период 2019–2020 гг. Максимальные значения, соответственно, зафиксированы в период, когда среднегодовая температура воздуха была минимальной, однако мощность снежного покрова в холодный период 2013–2014 гг. имела среднее значение 0.45 м и максимальное – 0.65 м.
Таблица 4. Параметры замерзания поверхности
Table 4. Surface freezing parameters
Период | 2010–2011 | 2011–2012 | 2012–2013 | 2013–2014 | 2014–2015 | 2015–2016 | 2016–2017 | 2017–2018 | 2018–2019 | 2019–2020 |
tср воздуха, °С | -3.2 | -3.2 | -4.7 | -5.9 | -3.5 | -1.9 | -3.1 | -4.2 | -4.2 | -1.2 |
Индекс промерзания воздуха | 684.8 | 649.6 | 987.0 | 1416.0 | 847,0 | 414.2 | 703.7 | 974.4 | 898.8 | 243.6 |
Индекс промерзания поверхности | 616.3 | 584.6 | 888.3 | 1274.4 | 762.3 | 372.8 | 633.3 | 877.0 | 808.9 | 219.2 |
Заключение
В ходе исследований была осуществлена оценка глубины сезонного промерзания горных пород на оползневом склоне в криолитозоне в долине р. Воркуты. Для этого использовались методы Стефана и предложенный Фроловым и др. Расчетные данные частично сопоставлены с наблюденными и также сопоставлены с индексами промерзания поверхности. Кроме этого, с помощью корреляционного анализа Грея оценено геометрическое сходство между главной (эталонной) последовательностью динамики движения оползня, глубины сезонного промерзания грунтов и последовательностями параметров влияния: количества холодных дней в году, средней температуры воздуха холодного периода, количества жидких осадков и мощности снежного покрова. По результатам комплексного анализа можно сделать следующие выводы:
– в октябре наступают климатические условия для устойчивого сезонного промерзания верхнего слоя горных пород, тогда же начинает формироваться устойчивый снежный покров, средняя температура воздуха октября за период исследований составляет -3 °С;
– основное промерзание грунта и горных пород происходит к концу декабря–января – до 90 % от всего сезонного промерзания;
– глубина промерзания, определенная по методу Стефана, который основан на термических свойствах грунтов и горных пород, температуре поверхности, воздуха и других климатических параметрах, имеет значения несколько выше, чем по методу, основанному на теплопроводности трехслойной среды (снежный покров, мерзлый и талый грунты) и их тепловом балансе (по Фролову и др.), однако динамика промерзания – идентичная;
– среднее расхождение расчетных и наблюденных глубин промерзания техногенного грунта составляет 30 %, коэффициент корреляции наблюденных данных в термометрических скважинах № 1 и 2 и рассчитанных по методу Стефана составляет 0.76 и 0.92 и по методу Фролова и др. – 0.67 и 0.9 соответственно;
– в наибольшей степени определяющее влияние на глубину промерзания отложений оказывают длительность холодного периода и температура воздуха, для динамики движения оползня важное значение имеет средняя температура воздуха холодного периода, что подтверждает выводы сорокалетних наблюдений о том, что на Восточно-Европейской равнине на территории России наблюдаются значимые коэффициенты корреляции температуры почвогрунтов на глубинах от 0.9 до 3.2 м с температурой воздуха, особенно эта взаимосвязь существенна в районах с островной и прерывистой мерзлотой [3];
– режим снегонакопления в данных исследованиях имеет значительную степень корреляции Грея с динамикой движения оползня и глубиной промерзания;
– немаловажным влияющим параметром оказалось и количество жидких осадков (степень корреляции глубины промерзания и смещения оползневых точек – 0.79 и 0.86 соответственно), поэтому важно измерять уровень грунтовых вод на оползневом склоне, глубину проникновения поверхностных вод и осуществлять контроль за поверхностным стоком на ул. Шахтерская набережная;
– с целью стабилизации оползневого склона на ул. Шахтерская набережная в г. Воркуте в связи с результатами проведенных исследований предлагаются рекомендации по установке теплоизоляционных экранов на глубину сезонного промерзания грунтов и обустройству дренажных колодцев в теле оползня и выше по склону в грунтах, в настоящее время не вовлеченных в оползневый процесс.
Авторы заявляют об отсутствии конфликта интересов.
About the authors
Anna N. Vikhot
Institute of Geology named after Academician N. P. Yushkin, Komi Science Centre of the Ural Branch of the Russian Academy of Sciences
Author for correspondence.
Email: vikhot.anna@mail.ru
Scopus Author ID: 57469531700
Candidate of Sciences (Geology and Mineralogy), Researcher
Russian Federation, SyktyvkarVladimir A. Lyutoev
Institute of Geology named after Academician N. P. Yushkin, Komi Science Centre of the Ural Branch of the Russian Academy of Sciences
Email: vikhot.anna@mail.ru
Candidate of Sciences (Geology and Mineralogy)
Russian Federation, SyktyvkarReferences
- Hugh, A. L. Henry. Climate change and soil freezing dynamics : historical trends and projected changes / A. L. Henry Hugh // Climatic Change. – 2008. – Vol. 87. – P. 421–434. – doi: 10.1007/s10584-007-9322-8.
- Tian, S. Cyclic behaviour of coarse-grained materials exposed to freeze-thaw cycles : experimental evidence and evolution model / S. Tian, T. Liang, L. Xianzhang, X. Kong, S. Li [et al.] // Cold Regions Science and Technology. – 2019. – Vol. 167. – 167:102815. doi: 10.1016/j.coldregions.2019.102815.
- Sherstyukov, A. B. Korrelyatsiya temperatury pochvogruntov s temperaturoy vozdukha i vysotoy snezhnogo pokrova na territorii Rossii [Correlation of soil temperature with air temperature and snow cover depth in Russia] / A. B. Sherstyukov // Kriosfera Zemli [The Earth’s Cryosphere]. – 2008. – Vol. XII. – № 1. – P. 79–87.
- Stefan, J. Ueber die Theorie der Eisbildung, insbesondere über die Eisbildung im Polarmeere / J. Stefan // Annalen der Physik. – 1890. – Vol. 278. – Iss. 2. – 18:965.
- Volkova, N. G. Klimaticheskiye kharakteristiki promerzaniya zemli na territorii RF [Climatic characteristics of soil freezing on the territory of the Russian Federation] / N. G. Volkova // Vestnik MGSU [Bulletin of the Moscow State University]. – 2011. – № 3. – P. 235–241.
- Jumikis, A. R. Thermal Geotechnics / A. R. Jumikis. – New Brunswick : Rutgers University Press, 1977. – 375 p.
- Steurer, P. M. Probability distributions used in 100-year return period of air-freezing index / P. M. Steurer // Journal of Cold Regions Engineering. – 1996. – Vol. 10. – Iss. 1. – P. 25–35.
- Erlingsson, S. Correlating air freezing index and frost penetration depth – a case study for Sweden / S. Erlingsson, D. Saliko // Proceedings of the 9th International Conference on Maintenance and Rehabilitation of Pavements. – Mairepav9. – 2020. – Vol. 76. – P. 847–857.
- Zhou, J. Practical prediction method on frost heave of soft clay in artificial ground freezing with field experiment / J. Zhou, W. Zhao, Y. Tang // Tunnelling and Underground Space Technology. – 2021. – Vol. 107 (C) : 103647. doi: 10.1016/j.tust.2020.103647.
- Zabolotnik, S. I. O roli snezhnogo pokrova v formirovanii temperaturnogo rezhima mnogoletnikh nemerzlykh porod [On the role of snow cover in the formation of the temperature regime of permafrost] / S. I. Zabolotnik // Nauka i tekhnika v Yakutii [Science and technology in Yakutia]. – 2019. – № 2 (37). – P. 3–7. - doi: 10.24411/1728- 516Х-2019-10030.
- Osokin, N. I. Koeffitsiyent teploprovodnosti snega i ego izmenchivost’ [Effective thermal conductivity of snow and its variations] / N. I. Osokin, A. V. Sosnovskiy, R. A. Chernov // Kriosfera Zemli [The Earth’s Cryosphere]. – 2017. – Vol. XXI. – № 3. – P. 60–68. - doi: 10.21782/KZ1560-7496-2017- 3(60-68).
- Pavlov, A. V. Teploperenos v kompleksakh Severa Rossii [Heat–transfer in landscape complexes of Northern Russia] / A. V. Pavlov // Kriosfera Zemli [The Earth’s Cryosphere]. – 2000. – Vol. IV. – № 4. – P. 22–31.
- Kudryavtsev, V. A. Temperatura verhnih gorizontov vechnomerzloy tolshchiny v predelah SSSR [Temperature of upper permafrost horizons within the USSR] / V. A. Kudryavtsev. – Moscow : Publishing House of the USSR AS, 1954. – 183 p.
- Yedek, S. A study on determination of the frost depths for building foundations in the Central Anatolia Region of Turkey / Seda Yedek, Muge Elif Orakoglu Fırat, Murat Bikce // Arabian Journal of Geosciences. – 2021. – 14 (14): 1941. DOI : 10.1007/s12517-021-08282-x.
- Kahimba, F. Modeling soil temperature, frost depth, and soil moisture redistribution in seasonally frozen agricultural soils / Frederick Kahimba, Ramanathan Sri Ranjan, Danny D. Mann // Applied Engineering in Agriculture. – 2009. – Vol. 25. – Iss. 6. – P. 871–882. DOI : 10.13031/2013.29237.
- Kurochkina, V. A. Moroznoye pucheniye gruntov kak faktor geoekologicheskogo riska v usloviyakh goroda Moskvy [Frost heave soils as a geoecological risk factor in the conditions of Moscow] / V. A. Kurochkina, I. Y. Yakovleva // Geoekologiya. Inzhenernaya geologiya. Gidrogeologiya. Geokriologiya [Geoecology. Engineering Geology. Hydrogeology. Geocryology]. – 2020. – № 1. – P. 86–92. - doi: 10.31857/S0869780920010081.
- Ananicheva, M. D. Metody otsenki posledstviy izmeneniya klimata dlya fizicheskikh i biologicheskikh sistem [Assessment methods of the climate change effects for physical and biological systems] / M. D. Ananicheva, Yu. A. Anokhin, M. V. Bolgov [et al.]. – Moscow : Planet, 2012. – 511 p.
- Vasilyev, A. A. Degradatsiya merzloty : rezul’taty mnogoletnego geokriologicheskogo monitoringa v zapadnom sektore Rossiyskoy Arktiki [Permafrost degradation : results of the long–term geocryological monitoring in the Western Sector of Russian Arctic] / A. A. Vasil’yev, A. G. Gravis, A. A. Gubarkov [et al.] // Kriosfera Zemli [The Earth’s Cryosphere]. – 2020. – Vol. XXIV. – № 2. – P. 15–30. - doi: 10.21782/KZ1560-7496-2020-2(15-30).
- Vikhot, A. N. Issledovaniye opolznevogo protsessa v usloviyakh sezonnomerzlykh gruntov (opolznevyy sklon doliny r. Vorkuty) [Study on the landslide process in conditions of seasonally-frozen grounds (landslide slope of the Vorkuta River valley)] / A. N. Vikhot // Vestnik MGSU [Bulletin of the Moscow State University]. – 2024. – Vol. 19. – № 4. – P. 606–617. - doi: 10.22227/1997- 0935.2024.4.606-617.
- Westerveld, L. Arctic permafrost atlas / L. Westerveld, T. Kurvits, T. Schoolmester [et al.]. – Arendal : GRID–Arendal, 2023. – 175 p.
- Oberman, N. G. Ekogeologiya Respubliki Komi i vostochnoy chasti Nenetskogo Avtonomnogo okruga [Ecogeology of the Komi Republic and the eastern part of Nenets Autonomous Okrug] / N. G. Oberman, I. G. Shesler, A. I. Rubtsov. – Syktyvkar : Prolog Polyus, 2004. – 256 p.
- Gosudarstvennaya geologicheskaya karta Rossiyskoy Federatsii. Izdaniye vtoroye. Masshtab : 1:200 000, seriya : Polyarno-Uralskaya. Q-41-V, VI (Vorkuta). Objasnitelnaya zapiska [State geological map of the Russian Federation. Second edition. Scale 1:200 000, the Polar–Ural series. Q-41-V, VI (Vorkuta). Explanatory note] / ed. by A. I. Vodolazskiy. – Syktyvkar : ZAO MIREKO State Company, 2005.
- Andreicheva, L. N. Pleystotsen Yevropeyskogo Severo-Vostoka [Pleistocene in the European North-East] / L. N. Andreicheva. – Ekaterinburg : UB RAS, 2002. – 323 p.
- Andreicheva, L. N. Prirodnaya sreda neopleystotsena i golotsena na Yevropeyskom Severo-Vostoke Rossii [Neopleistocene and Holocene natural environment in the European North-East of Russia] / L. N. Andreicheva, T. I. Marchenko-Vagapova, M. N. Buravskaya, Yu. V. Golubeva. – Moscow : GEOS, 2015. – 224 p.
- Deng, J. L. Introduction to Grey system theory / J. L. Deng // Journal of Grey System. – 1989. – Vol. 1. – Iss. 1. – P. 1–24.
- Frolov, D. M. Calculation of ground freezing depth under bare and snow-covered ground surface on the site of the meteorological observatory of the Lomonosov Moscow State University for winter seasons of 2011/12–2017/18 / D. M. Frolov // Environmental Dynamics and Global Climate Change. – 2019. – Vol. 10. – Iss. 2. – P. 86–90. DOI : 10.17816/edgcc21203.
- Golubev, V. N. Otsenka glubiny promerzaniya grunta na severe YETR na osnove dannykh o termicheskikh usloviyakh zimnikh sezonov i rezhime snegonakopleniya [Evaluation of ground-freezing depth in the north of ETR using the data on thermal conditions of winter seasons and snow accumulation regime] / V. N. Golubev, G. A. Rzhanitsin, D. M. Frolov // Aktualnye problemy geokriologii [Actual Problems of Geocryology] : Collection of Reports of the Extended Meeting of the Scientific Council on the Earth’s Cryology RAS with the participation of Russian and foreign scientists, engineers and specialists]. – 2018. – Vol. 2. – P. 193–199.
Supplementary files





