Machine learning in building cadet maladaptation forecasts
- Authors: Yusupov V.V.1, Fishchenko D.E.2, Yatmanov A.N.1, Grigoriev S.G.1
- 
							Affiliations: 
							- Kirov Military Medical Academy
- St. Petersburg State Pediatric Medical University
 
- Issue: No 4 (2023)
- Pages: 90-96
- Section: Социально-психологические проблемы
- URL: https://journal-vniispk.ru/1995-4441/article/view/271197
- DOI: https://doi.org/10.25016/2541-7487-2023-0-4-90-96
- ID: 271197
Cite item
Full Text
Abstract
Relevance. Machine learning methods allow for high-accuracy classification and prediction of various conditions and outcomes in humans. The choice of the most optimal method is critical for researchers.
The objectiveis to evaluate the effectiveness of machine learning methods in predicting cadet maladaptation.
Methods. The investigators examined 1822 cadets aged 18 to 27 years studying at the Federal State Higher Military Educational Institution “The Military Educational and Scientific Centre of the Navy “The Naval Academy named alter Admiral of the Fleet of the Soviet Union N.G. Kuznetsov”. The subjects were divided into 2 groups: normal (n = 1507) and maladaptation (n = 315). The examination was carried out using the Multifactorial Score for Adaptability Evaluation and the KR-3-85 intellectual development test. Statistical processing was carried out using the Stat Soft Statistica 10.0 software package. The normality of indicators was verified using the Kolmogorov–Smirnov test. Comparative analysis of indicators with normal distribution was assessed by Student’s t-test. Spearman rank correlation analysis was performed to assess multicollinearity of data. Mathematical modeling was carried out using neural networks, discriminant analysis, and the Bayesian algorithm. The effectiveness of the models was assessed by sensitivity and specificity parameters.
Results and discussion. Neural networks and Bayesian algorithm are powerful classification tools, allowing to reliably classify cadets with socio-psychological maladjustment. At the same time, the Bayesian algorithm is characterized by high sensitivity, whereas neural networks show by high specificity. Loss of data is a well-known disadvantage of discriminant analysis modeling. This, discriminant analysis failed to classify cadets with social and psychological maladjustment.
Conclusion. The use of machine learning will increase the efficiency of medical and psychological support for cadets. Neural networks are the optimal method to predict maladaptation.
Full Text
Введение
Количество публикаций на тему медико- психологического сопровождения военнослужащих с применением технологии машинного обучения имеет тенденцию к увеличению, указывая на растущий интерес исследователей к данной проблеме [1, 4].
При проведении сопровождения военнослужащих иностранных государств наиболее стабильно учеными применяются методы дискриминантного анализа, нейронные сети и дерево решений [3, 4]. На данный момент бóльший интерес у исследователей вызывает применение метода Байесовского алгоритма [2, 5].
Цель – оценить эффективность методов машинного обучения в прогнозировании дезадаптации курсантов.
Материал и методы
Обследованы 1822 курсанта Военного учебно-научного центра Военно-морского флота «Военно-морская академия имени Адмирала Флота Советского Союза Н.Г. Кузнецова» в возрасте от 18 до 27 лет, которых разделили на 2 группы: «норма» (n = 1507) и «дезадаптация» (n = 315). Обследование провели с применением многофакторного личностного опросника (МЛО) «Адаптивность» и методики диагностики интеллектуального развития КР-3-85.
Статистическую обработку проводили с применением пакета программ Statistica 10.0. Результаты проверили на нормальность показателей с помощью критерия Колмогорова– Смирнова. Сравнительный анализ показателей с нормальным распределением оценивали при помощи t-критерия Стьюдента. Анализ ранговой корреляции Спирмена с целью проверки данных на зависимости между предикторами (мультиколлинеарность), которая затрудняет оценку и анализ общего результата, может стать причиной переобучаемости модели, что приведет к неверному результату и увеличит сложность модели машинного обучения. Математическое моделирование осуществляли с использованием нейронных сетей, дискриминантного анализа, Байесовского алгоритма.
Эффективность моделей оценивали по уровню чувствительности, специфичности и точности прогноза. Чувствительность (истинно положительная пропорция) отражает долю положительных результатов, которые правильно идентифицированы как таковые. Специфичность (истинно отрицательная пропорция) отражает долю отрицательных результатов, которые правильно идентифицированы как таковые. Точность отражает какой процент положительных объектов правильно классифицирован.
Результаты и их анализ
При анализе результатов обследования выявлено, что курсанты 2-й группы (с дезадаптацией) характеризуются более низкими показателями личностного адаптационного потенциала, моральной нормативности, результатов тестов: память на фигуры, установление закономерности (табл. 1).
Таблица 1
Показатели обследованных курсантов, (М ± SD) балл
| Показатель | Дезадаптация | Норма | p < | 
| МЛО «Адаптивность» | |||
| Личностный адаптационный потенциал (ЛАП) | 6,2 ± 1,7 | 6,7 ± 1,5 | 0,05 | 
| Нервно-психическая устойчивость (НПУ) | 6,2 ± 1,7 | 6,6 ± 1,7 | 
 | 
| Коммуникативный потенциал (КП) | 6,6 ± 1,7 | 6,9 ± 1,7 | 
 | 
| Моральная нормативность (МН) | 6,6 ± 1,8 | 7,2 ± 1,7 | 0,05 | 
| Методика КР-3-85 | |||
| Аналогии (А) | 6,2 ± 1,7 | 6,4 ± 1,8 | 
 | 
| Числовые ряды (ЧР) | 6,1 ± 1,9 | 6,5 ± 1,8 | 
 | 
| Память на фигуры (ПФ) | 6,0 ± 1,7 | 6,5 ± 1,8 | 0,05 | 
| «Узоры» (У) | 6,7 ± 1,7 | 6,7 ± 1,7 | 
 | 
| Арифметический счет (АС) | 6,1 ± 2,1 | 6,6 ± 2,0 | 
 | 
| Вербальная память (ВП) | 6,4 ± 2,1 | 6,7 ± 1,7 | 
 | 
| Установление закономерности (УЗ) | 6,9 ± 1,8 | 6,4 ± 1,8 | 0,05 | 
| Силлогизмы (С) | 6,7 ± 1,6 | 6,4 ± 1,6 | 
 | 
| Исключение слова (ИС) | 6,4 ± 2,0 | 6,6 ± 1,8 | 
 | 
| «Кубы» (К) | 6,2 ± 1,9 | 6,5 ± 2,0 | 
 | 
| Общее интеллектуальное развитие (ОИР) | 6,3 ± 1,2 | 6,6 ± 1,2 | 
 | 
При проверке данных на наличие линейной зависимости между предикторами выявлено, что показатели личностного адаптационного потенциала по методике МЛО «Адаптивность» и общего интеллектуального развития по методике КР-3-85 являются интегральными и имеют высокий коэффициент корреляции с другими показателями (от 0,65 до 0,87 при р < 0,01). Таким образом, при обучении моделей данные показатели не применяем.
Проведено обучение нейронной сети с помощью метода многократных подвыборок. Обследованные курсанты случайным образом разделены на подвыборки: 70 % – обучающая, 15 % – контрольная и 15 % – тестовая. Тип сети: многослойный персептрон и радиальная базисная функция. Согласно теореме Колмогорова–Арнольда–Хехта–Нильсена [6], количество скрытых нейронов – в пределах от 20 до 148. Обучение проводили с участием 20, 100 и 148 скрытых нейронов.
Программой были сгенерированы более 70 сетей типа «двухслойный персептрон», из них выбраны сети под номерами 7, 14, 17 и 51, обладающие наилучшими прогностическими способностями. Характеристики сетей приведены в табл 2.
Таблица 2
Характеристики нейронных сетей при классификации курсантов с дезадаптацией
| Архитектура | Исследовательские выборки | Алгоритм обучения | Функция ошибки | Функция активации нейронов | |||
| обучающая | контрольная | тестовая | скрытых | выходных | |||
| 7.MLP 13-20-2 | 84,09 | 84,61 | 80,58 | BFGS 31 | Энтропия | Гиперболическая | Софтмакс | 
| 14.MLP 13-20-2 | 84,71 | 78,75 | 81,31 | BFGS 38 | Энтропия | Логистическая | Софтмакс | 
| 17.MLP 13-20-2 | 83,46 | 84,61 | 81,31 | BFGS 29 | Энтропия | Логистическая | Софтмакс | 
| 51.MLP 13-148-2 | 83,62 | 80,58 | 84,98 | BFGS 35 | Энтропия | Логистическая | Софтмакс | 
Топология сети отображена в первом столбце – архитектура. В первой строке имеем: 7.MLP 13-20-2: 7 – номер сети, MLP – многослойный персептрон, архитектура представлена следующими тремя цифрами, первое число (13) указывает на количество входящих переменных в модели сети, второе (20) – количество скрытых нейронов, третье (2) – число выходных нейронов, количество прогнозируемых качеств. В трех последующих столбцах таблицы отображены производительности сетей – процент правильно классифицированных сетью объектов в обучающей, тестовой и контрольной выборке (см. табл. 2). При построении сети был использован алгоритм обучения Broyden Fletcher-Goldfarb-Shanno (BFGS). Цифра рядом с наименованием алгоритма обучения (для сети 7–31) указывает на количество итераций, за которые сеть была обучена.
Для выбора более эффективной сети провели анализ матрицы ошибок классификации, включающей все подвыборки (табл. 3).
Таблица 3
Матрица ошибок классификации выбранных моделей
| Сеть | Показатель | Дезадаптация | Норма | Общая группа | 
| 7.MLP 13-20-2 | Все | 315 | 1507 | 1822 | 
| 
 | Правильно | 38 | 1486 | 1524 | 
| 
 | Неправильно | 277 | 21 | 298 | 
| 
 | Правильно (%) | 12,1 | 98,6 | 83,6 | 
| 
 | Неправильно (%) | 87,9 | 1,4 | 16,4 | 
| 14.MLP 13-20-2 | Все | 315 | 1507 | 1822 | 
| 
 | Правильно | 15 | 1503 | 1518 | 
| 
 | Неправильно | 300 | 4 | 304 | 
| 
 | Правильно (%) | 4,8 | 99,7 | 83,3 | 
| 
 | Неправильно (%) | 95,2 | 0,, | 16,7 | 
| 17.MLP 13-20-2 | Все | 315 | 1507 | 1822 | 
| 
 | Правильно | 23 | 1495 | 1518 | 
| 
 | Неправильно | 292 | 12 | 304 | 
| 
 | Правильно (%) | 7,3 | 99,2 | 83,3 | 
| 
 | Неправильно (%) | 92,7 | 0,8 | 16,7 | 
| 51.MLP 13-148-2 | Все | 315 | 1507 | 1822 | 
| 
 | Правильно | 26 | 1493 | 1519 | 
| 
 | Неправильно | 289 | 14 | 303 | 
| 
 | Правильно (%) | 8,3 | 99,1 | 83,4 | 
| 
 | Неправильно (%) | 91,7 | 0,9 | 16,6 | 
Выявлено, что сеть 7 имеет более высокую прогностическую способность – 83,6 %, а также площадь под ROC-кривой – 0,65 (табл. 4).
Таблица 4
Площади под ROC-кривыми и пороги ROC-кривых нейронных сетей
| Показатель | 7.MLP13-20-2 | 14. MLP 13-20-2 | 17. MLP 13-20-2 | 51. MLP 13-148-2 | 
| Площадь Порог | 0,646 0,156 | 0,624 0,161 | 0,619 0,170 | 0,632 0,146 | 
Таким образом, нейронная сеть MLP 13-20-2 является наиболее эффективной в диагностике социальной дезадаптации курсантов среди других сетей.
Ведущими показателями, определяющими модель 7.MLP 13-20-2, являются: «кубы», арифметический счет, моральная нормативность, коммуникативный потенциал, узоры, аналогии и память на фигуры (табл. 5). Чувствительность модели равна 0,12, специфичность – 0,98, точность – 0,64.
Таблица 5
Вклад показателей модели 7.MLP 13-20-2
| Модель | Показатель по психологическим методикам обследования курсантов | ||||||||||||
| К | АС | МН | КП | ВП | ЧР | С | УЗ | У | А | ИС | НПУ | ПФ | |
| 7.MLP 13-20-2 | 1,06 | 1,06 | 1,05 | 1,03 | 1,02 | 1,02 | 1,02 | 1,03 | 1,02 | 1,03 | 1,01 | 1,02 | 1,03 | 
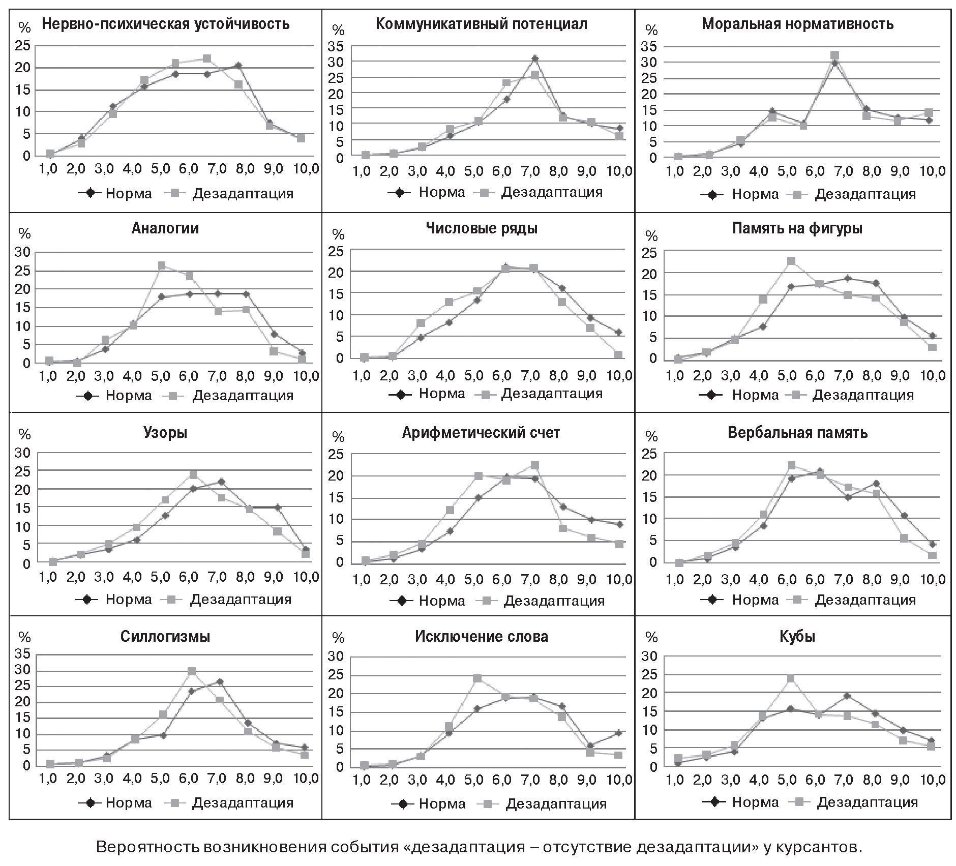
Проведено моделирование с применением Байесовского алгоритма. Байесовский алгоритм – это алгоритм классификации, основанный на теореме Байеса с допущением о независимости признаков. При его проведении каждый показатель рассматривается как совокупность вероятностей возникновения события «дезадаптация – отсутствие дезадаптации» при всех вариантах стенов (рисунок) или других размерных показателях.
Вероятность возникновения события «дезадаптация – отсутствие дезадаптации» у курсантов.
Например, при получении курсантом 8 стен по шкале нервно-психическая устойчивость с вероятностью 0,162 он будет отнесен к группе дезадаптация и с вероятностью 0,206 – к норме. Определяют большее среднее значение вероятности отнесения курсанта к одной из групп, которая и является искомой для данного курсанта.
Результаты классификации курсантов представлены в табл. 6. Прогностическая способность Байесовского алгоритма составила 45,2 %. Чувствительность модели равна 0,68, специфичность – 0,41, точность – 0,20.
Таблица 6
Результаты классификации курсантов с применением Байесовского алгоритма, n (%)
| Показатель | Классификация | Всего | ||
| дезадаптация | норма | |||
| Статус | дезадаптация норма | 215 (68,3) 886 (58,8) 1101 (60,4) | 100 (31,7) 621 (41,2) 721 (39,6) | 315 (100,0) 1507 (100,0) 1822 (100,0) | 
| Всего | ||||
При проведении дискриминантного анализа при F-включении = 2 получена достоверная модель – лямбда Уилкса: 0,986 прибл. F (5,182) = 5,197, p < 0,001. Предикторами прогноза дезадаптации курсантов являются результаты обследования по психологическим методикам (стены): память на фигуры, моральная нормативность, исключение слова, «Узоры», установление закономерности (табл. 7).
Таблица 7
Предикторы прогноза дезадаптации курсантов
| Показатель по психологическим методикам | Уилкса, лямбда | Частная, лямбда | F-исключения 1,1816 | p | Толерантность | 1-толерантность (R2) | 
| Память на фигуры | 0,990 | 0,995 | 8,252 | 0,004 | 0,873 | 0,127 | 
| Моральная нормативность | 0,988 | 0,998 | 3,986 | 0,046 | 0,969 | 0,031 | 
| Исключение слова | 0,988 | 0,998 | 3,152 | 0,076 | 0,827 | 0,173 | 
| «Узоры» | 0,988 | 0,998 | 3,575 | 0,059 | 0,751 | 0,249 | 
| Установление закономерности | 0,987 | 0,999 | 2,218 | 0,137 | 0,722 | 0,278 | 
Линейные классификационные функции (ЛКФ) имеют вид:
ЛКФ1 (норма) = –18,49 + 0,97 ∙ х1 + 1,95 ∙ х2 + 0,91 ∙ х3 + 0,81 ∙ х4 + 0,75 ∙ х5;
ЛКФ2 (дезадаптация) = –18,59 + 0,87 ∙ х1 + 1,88 ∙ х2 + 0,85 ∙ х3 + 0,88 ∙ х4 + 0,69 ∙ х5,
где х1 – память на фигуры по методике КР-3-85, стены;
x2 – моральная нормативность по ЛМО «Адаптивность», стены;
х3 – исключение слова по методике КР-3-85, стены;
х4 – «узоры» по методике КР-3-85, стены;
х5 – установление закономерностей по методике КР-3-85, стены.
К сожалению, при использовании дискриминантого анализа классифицировать курсантов с дезадаптацией не смогли, например, при ЛКФ все курсанты были отнесены к группе «норма». Прогностическая способность составила 82,7 % за счет отнесения всех обследованных курсантов к группе «норма». Чувствительность модели равна 0, специфичность – 1, точность – 0.
Выводы
- Нейронная сеть и Байесовский алгоритм являются мощными инструментами классификации. Они позволяют достоверно классифицировать курсантов с социально- психологической дезадаптацией. При этом Байесовский алгоритм характеризуется высокой чувствительностью, а нейронная сеть – специфичностью и точностью.
- Известным недостатком моделирования с применением дискриминантного анализа является потеря данных. Дискриминантным анализом не смогли классифицировать курсантов с дезадаптацией.
- Применение машинного обучения повысит эффективность мероприятий медико- психологического сопровождения курсантов. Нейронные сети являются оптимальным методом в прогнозировании дезадаптации.
About the authors
Vladislav V. Yusupov
Kirov Military Medical Academy
														Email: elizavetayusupova@mail.ru
				                					                																			                								
Dr. Med. Sci. Prof., head of research institute (medical and psychological support) Scientific Research Center
Russian Federation, 6, Academica Lebedeva Str., St. Petersburg, 194044Daria E. Fishchenko
St. Petersburg State Pediatric Medical University
														Email: fidaev@mail.ru
				                					                																			                								
student
Russian Federation, 2, Litovskaya Str., St. Petersburg, 194100Alexey N. Yatmanov
Kirov Military Medical Academy
							Author for correspondence.
							Email: yan20220@mail.ru
				                					                																			                								
PhD Med. Sci., doctoral student
Russian Federation, 6, Academica Lebedeva Str., St. Petersburg, 194044Stepan G. Grigoriev
Kirov Military Medical Academy
														Email: GSG_rj@mail.ru
				                					                																			                								
Dr. Med. Sci. Prof., Senior Researcher
Russian Federation, 6, Academica Lebedeva Str., St. Petersburg, 194044References
- Borisov D.N., Koluzov A.V., Serezhkin I.A. Vozmozhnosti razvitiya iskusstvennogo intellekta i bol’shih dannyh v oblasti zdorov’ya voennosluzhashchih [Possibilities for the development of artificial intelligence and big data in the field of military health]. Sostoyanie i perspektivy razvitiya sovremennoj nauki po napravleniyu “ASU, informacionno-telekommunikacionnye sistemy“ [State and prospects for the development of modern science in the direction of “ACS, information and telecommunication systems”: Scientific. Conf. Proceedings]. Anapa. 2020; 3:177–183. (In Russ.)
- Degtyarenko K.A. Iskusstvennyj intellekt v medicine. Obzor 21 mezhdunarodnoj konferencii po iskusstvennomu intellektu v medicine [Artificial intelligence in medicine. review of the 21st international conference on artificial intelligence in medicine]. Aziya, Amerika i Afrika: istoriya i sovremennost’ [Asia, America and Africa: history and modernity]. 2023; 2(3):27–42. (In Russ.)
- Lysova M.E., Kuznecov M.E. Nejronnye seti v medicine. Avtomatizaciya pri pomoshchi iskusstvennogo intellekta [Neural networks in medicine. Automation using artificial intelligence]. Dostizheniya nauki i tekhnologij – DNiT-11-2023 [Achievements of science and technology – DNiT-11-2023 : Scientific. Conf. Proceedings]. Krasnoyarsk. 2023:581–586. (In Russ.)
- Lipskij D.L., Gura M.S., Luchkin I.V., YUsupov V.V., YAtmanov A.N. Primenenie mashinnogo obucheniya v mediko- psihologicheskom soprovozhdenii voennosluzhashchih inostrannyh gosudarstv [Application of machine learning in medical and psychological support of military personnel of foreign states]. Zhivaja psihologija [Living psychology]. 2023; 10(4):15–24. (In Russ.)
- Mel’nikova E.V. Glubokoe mashinnoe obuchenie v optimizacii nauchno-issledovatel’skoj deyatel’nosti [Deep machine learning in optimization of research activities]. Nauchno-tekhnicheskaya informaciya. Seriya 1: Organizaciya i metodika informacionnoj raboty [Scientific and technical information. Series 1: Organization and methodology of information work]. 2023; (2):8–13. (In Russ.)
- Yasnickij L.N. Intellektual’nye sistemy [Intelligent systems]. Moscow. 2016. 221 p. (In Russ.) Received 28.10.2023
Supplementary files
 
				
			 
					 
						 
						 
						 
						 
				
 
  
  
  Email this article
			Email this article 


