Proinflammatory cytokine genes and their polymorphic variants: clinical and laboratory profiles in the Federal Firefighting Service employees of the EMERCOM of Russia
- Authors: Neronova E.G.1, Bychkova N.V.1, Kalashnikova A.A.1, Makarova N.V.1
- 
							Affiliations: 
							- Nikiforov Russian Center of Emergency and Radiation Medicine of the EMERCOM of Russia
 
- Issue: No 4 (2024)
- Pages: 84-94
- Section: Биологические проблемы
- URL: https://journal-vniispk.ru/1995-4441/article/view/278865
- DOI: https://doi.org/10.25016/2541-7487-2024-0-4-84-94
- ID: 278865
Cite item
Full Text
Abstract
Relevance. Genetic determinants of multifactorial diseases are critical for assessing the risk of genetic diseases and their prevention, especially among the workforce exposed to industry-related dangerous and aggressive occupational factors. Firefighters perform combat service duties in extremely unfavorable industrial environments associated with occupational diseases. Respiratory diseases are among the pathologies with highest incidence rates in firefighters. In addition to environmental factors, the development of these diseases (especially bronchial asthma and chronic obstructive pulmonary disease) is largely driven by impaired immune system – one of the three critical regulatory systems involved in pathogenetic mechanisms of various diseases, including inflammatory diseases. Polymorphic gene variants of inflammatory mediators – in particular cytokine genes and their receptors – mediate the immune system activity and can impact its functionality, susceptibility, or resistance to disease development.
The objective is to analyze how interleukin 1β, 4, 6, 13, TNF and interleukin 6 receptor genes, as well as their polymorphic variants are associated with respiratory diseases and changes in the biomarker profiles showing immune response intensity in the employees of the Federal Firefighting Service of the EMERCOM of Russia.
Methodology. Molecular genetic profiling and immunology tests were performed in 70 employees of the Federal Firefighting Service of the EMERCOM of Russia to analyze proinflammatory cytokine genes and their polymorphic variants. Real-time PCR was used to analyze the interleukin 1β, 4, 6, 13, TNF and interleukin-6 receptor genes and their polymorphic variants. Immunological examination evaluated the blood monocyte subpopulations and relative count of type 2 T-helper cells; flow cytometry and immunochemiluminescence assays were used to evaluate immune response biomarkers in peripheral blood and total immunoglobulin E (IgE) respectively.
Results and discussion. The analysis provides evidence that minor alleles of most polymorphic cytokine genes are associated with a proinflammatory phenotype, which is especially apparent for genotypes comprising several minor alleles. Allele A at rs1 800 629 polymorphic TNF gene exposed a direct correlation with respiratory diseases, as well as with increased monocyte differentiation. Allele T of IL4 rs2243250 gene and allele A of IL1β rs16944 gene were associated with increased proinflammatory monocyte count. Elevated count of type 2 T-helper mediators of humoral response, especially of allergic origin, was observed in individuals with C/C IL6 rs1 800 795 and G/G IL1β rs16944 genotype.
Conclusion. The obtained results suggest that evaluation of cytokine gene polymorphic variants is a promising strategy to predict the risk of respiratory diseases in firefighters. Prompt assessment of genetic predisposition to a proinflammatory phenotype paves the way towards prevention and early detection of inflammatory diseases in this cohort of workers.
Keywords
Full Text
Введение
Известно, что наиболее распространенные и социально значимые заболевания органов дыхания, такие как астма, хроническая обструктивная болезнь легких, саркоидоз, являются многофакторными, т.е. развиваются у человека вследствие совокупности генетической предрасположенности и воздействия на организм различных факторов внешней среды инфекционного, экологического и другого характера. В случае многофакторных заболеваний наличие минорных полиморфных вариантов генов не приводит к развитию заболевания, однако, обусловливает повышенный риск его развития, который реализуется при определенных условиях. Поэтому информация о генетических детерминантах многофакторных заболеваний является крайне важной для определения риска заболеваний с целью профилактики их развития. Подобная информация особенно актуальна для лиц, имеющих профессиональные контакты с опасными, агрессивными факторами производственной деятельности, с целью предотвращения развития заболеваний и сохранения здоровья специалистов.
Для болезней органов дыхания, особенно бронхиальной астмы и хронической обструктивной болезни легких, большое значение имеет иммунная система, которая является одной из трех регуляторных систем организма и играет ведущую роль в патогенезе различных заболеваний, в том числе, воспалительного характера [5]. Полиморфные варианты генов, опосредующих деятельность иммунной системы, например, генов цитокинов и их рецепторов [7], могут оказывать влияние на функционирование иммунной системы и обуславливать чувствительность к развитию заболеваний.
Цитокины – несколько семейств белков с различными свойствами, участвующих в системном воспалении и регуляции деятельности иммунной системы. Несмотря на то, что плейотропность свойственна всем цитокинам, различают белки с преимущественно провоспалительным эффектом, инициирующие и поддерживающие иммунный ответ, такие как интерлейкин-1β (IL-1β), фактор некроза опухоли (tumor necrosis factor, TNF), интерлейкин-6 (IL-6), а также регуляторные цитокины, определяющие развитие клеточных или гуморальных реакций, такие как интерлейкины-4 (IL-4) и -13 (IL-13).
IL-1β – провоспалительный цитокин, один из основных факторов возникновения и развития воспаления, он играет важную роль при аллергических заболеваниях, таких как аллергический ринит, аллергическая астма и атопический дерматит [30]. Полиморфизм гена IL-1β rs16944 исследуется в основном при инфекционной патологии [22, 29], также выявлена его связь с наличием у пациентов аллергических заболеваний органов дыхания, сопровождающихся аспириновой триадой [14].
TNF высвобождается моноцитами/макрофагами и тучными клетками [11] при развитии аллергического воспаления и модулирует миграцию и функцию Т-цитотоксических лимфоцитов [18]. Было установлено, что полиморфизм гена TNF rs1800629 связан с риском развития бронхиальной астмы [8, 26].
IL-6 регулирует рост и дифференцировку клеток и играет важную роль в иммунном ответе [36]. Наличие минорного аллеля в гомозиготном состоянии полиморфизма rs1800795 связано с повышенным риском развития хронической обструктивной болезни легких [7].
Данные литературы свидетельствуют, что ген рецептора интерлейкина-6 (IL-6R) так же, как и ген его лиганда, может являться кандидатным для оценки предрасположенности к заболеваниям органов дыхания, например бронхиальной астмы [15].
IL-4 – центральный цитокин 2-го типа иммунного ответа. Он играет важную роль в переключении синтеза В-клеток иммуноглобулинов класса М на иммуноглобулины класса E, а также участвует в рекрутировании тучных клеток и базофилов [36]. В ряде работ была установлена связь наличия аллеля C rs2070874 гена IL-4 с повышенным риском развития астмы [37, 38].
IL-13 – цитокин 2-го типа иммунного ответа, имеющий структурное и функциональное сходство с IL-4 [9]. Было показано, что аллель А полиморфизма rs20541 гена IL-13 связан с развитием аллергических реакций, псориаза и астмы [12, 16, 23].
Цель – оценка взаимосвязи полиморфных вариантов генов интерлейкинов-1β, -4, -6, -13, TNF и рецептора к IL-6 с заболеваниями органов дыхания и изменениями лабораторных показателей напряженности иммунного ответа у сотрудников Государственной противопожарной службы (ГПС) МЧС России.
Материал и методы
Проведено молекулярно-генетическое и иммунологическое обследование 70 сотрудников Государственной противопожарной службы (ГПС) МЧС России. Средний возраст мужчин – 31 год (от 19 до 48 лет), стаж работы по специальности – от 1 года до 22 лет.
По результатам периодического медицинского обследования, включавшего осмотр специалистов и проведение лабораторных тестов, было установлено, что все сотрудники на момент прохождения осмотра не имели острых или обострения хронических заболеваний. У 16 человек в анамнезе были хронические заболевания верхних (в 80 % случаев) и нижних (в 20 % случаев) дыхательных путей. Среди заболеваний верхних дыхательных путей преобладали риниты, как хронические неаллергические, так и аллергической природы, также были диагностированы тонзиллиты и риносинуситы. Для заболеваний нижних дыхательных путей были характерны хронические бронхиты, бронхиальная астма и хроническая обструктивная болезнь легких.
Материалом для исследования являлась венозная кровь, которую отбирали в вакуумные пробирки с ЭДТА и активатором свертывания из локтевой вены.
Для молекулярно-генетического обследования выделение ДНК проводили с использованием набора фирмы ООО «ДНК-технологии» (Москва) согласно инструкции производителя. Тестирование полиморфизмов rs16944 (–511 G/A) гена IL-1β, rs1800795 (–174 G/C) гена IL-6, rs4129267 (С/Т) гена IL-6R, rs1800629 (–308
G/A) гена TNF, rs2243250 (–589 С/Т) гена IL-4, rs20541 (+2044 G/А) гена IL-13 (тест-системы производства «Национальный центр генетических исследований», Новосибирск) выполняли методом полимеразной цепной реакции с гибридизационно-флюоресцентной детекцией результатов в режиме реального времени на ДНК-амплификаторе CFX-1000 (βioRad).
Иммунологическое обследование включало оценку в периферической крови субпопуляций моноцитов, относительного количества Т-лимфоцитов 2-го типа иммунного ответа, концентрации общего иммуноглобулина E (IgE). Для определения субпопуляционного состава моноцитов методом проточной цитометрии использовали мононоклональные антитела анти-CD14PE, антиCD16PC5, анти-CD45APC-AF750 согласно инструкции фирмы-производителя, для лизиса эритроцитов – VersaLyse. Популяцию моноцитов определяли как CD45+SSCmodCD14+-клетки. В зависимости от экспрессии CD16 среди CD14+-моноцитов выделяли субпопуляции: классические (CD14+CD16–) и провоспалительные (CD14+CD16+), которые, в свою очередь, были разделены на переходные (CD14+brightCD16+) и неклассические (CD14+dimCD16+) (проточный цитометр Navios). Для оценки относительного количества Т-лимфоцитов 2-го типа методом проточной цитометрии использовали моноклональные антитела анти-CD3ECD и анти-CD294PE согласно инструкции фирмы-производителя, для лизиса эритроцитов использовали OptiLyse C. Субпопуляцию Т-лимфоцитов 2-го типа идентифицицировали как СD3+СD294+-клетки с оценкой их относительного количества от общего пула лимфоцитов (проточный цитометр Cytomics FC 500). Все реактивы и приборы – производства Beckman Coulter (США). В сыворотке периферической крови определяли концентрацию общего IgE (Immulite 2000 XPI, Siemens, Германия).
Статистическую обработку результатов проводили с помощью программного продукта Statistica 12.0 (StatSoft) с определением медианы, первого и третьего квартиля (Me [Q25; Q75]). Статистическую значимость различий в группах оценивали при помощи непараметрического теста Манна–Уитни и Краскела–Уоллиса для независимых переменных. Для выявления взаимосвязи изучаемых признаков использовали непараметрический корреляционный анализ по Спирмену. Частотный анализ проводили с использованием четырехпольных таблиц сопряженности на основании критерия χ2 Пирсона. Статистически значимыми различия сравниваемых показателей считали при p < 0,05.
Результаты и их анализ
В работе были оценены полиморфные варианты генов, продукты которых связаны с реакциями воспаления и развитием заболеваний органов дыхания: IL-1β, -4, -6, -13, TNF и IL-6R. В обследованной выборке проведена проверка соответствия распределения частот генотипов полиморфных вариантов генов равновесию Харди–Вайнберга. По всем исследованным полиморфизмам отклонения от равновесия Харди–Вайнберга не выявлены, что свидетельствует об отсутствии влияния тех или иных факторов, приводящих к его сдвигу.
Частота полиморфных вариантов исследованных генов соответствовала распределению генотипов в группах лиц европейского происхождения (табл. 1). Это распределение получено из публичного архива генетических вариаций, разработанного и размещенного Национальным центром биотехнологической информации в сотрудничестве с Национальным институтом исследований генома человека [28].
Таблица 1. Распределение частоты полиморфных вариантов исследованных генов
| Популяция | Объем выборки, n | Частота альтернативной аллели | Частота минорной аллели | 
| Ген TNF rs1800629 | |||
| Архивные данные Данные нашего исследования | 260274 70 | G = 0,85 G = 0,87 | A = 0,15 A = 0,13 | 
| Ген IL-1β rs16944 | |||
| Архивные данные Данные нашего исследования | 180234 70 | G = 0,64 G = 0,66 | A = 0,36 A = 0,34 | 
| Ген IL-6 rs1800795 | |||
| Архивные данные Данные нашего исследования | 18890 70 | С = 0,64 C = 0,51 | G = 0,36 G = 0,49 | 
| Ген IL-6R rs4129267 | |||
| Архивные данные Данные нашего исследования | 335706 70 | C = 0,61 C = 0,65 | T = 0,39 T = 0,35 | 
| Ген IL-4 rs2243250 | |||
| Архивные данные Данные нашего исследования | 171646 70 | C = 0,81 C = 0,83 | T = 0,19 T = 0,17 | 
| Ген IL-13 rs20541 | |||
| Архивные данные Данные нашего исследования | 367982 70 | G = 0,79 G = 0,74 | A = 0,21 A = 0,26 | 
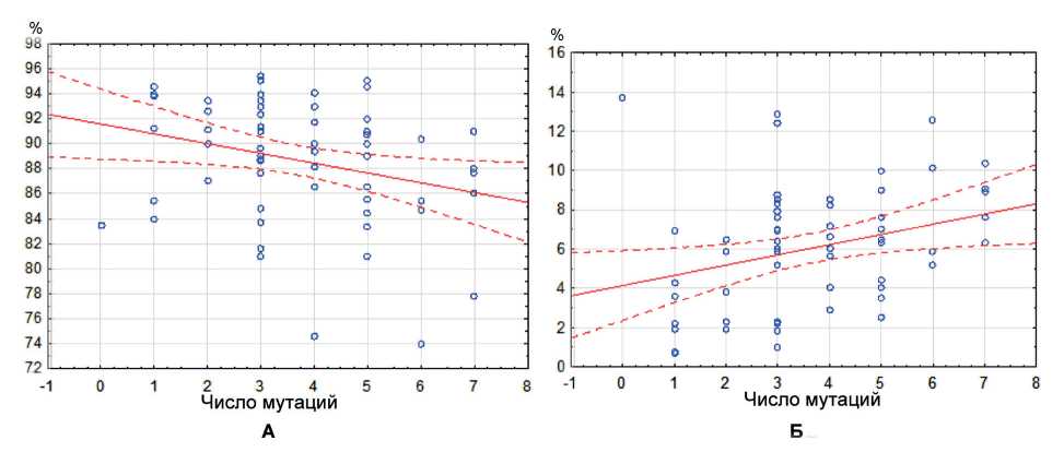
При анализе распределений аллелей было установлено, что практически у каждого обследованного был выявлен хотя бы один минорный вариант изученных генов. По данным литературы, эти генетические варианты могут быть связаны с измененными функциональными характеристиками их белковых продуктов, особенно при сочетании нескольких полиморфизмов в одном генотипе. Наличие генетических полиморфизмов может либо предрасполагать к воспалительным заболеваниям [8, 37], либо препятствовать [3] их проявлению. В группе обследованных нами лиц большинство пациентов (60 %) имели сочетания 3–5 минорных аллелей генов. 15,7 % пациентов имели генотипы с 6–7 сочетаниями практически всех минорных аллелей. Была выявлена корреляционная зависимость между числом минорных аллелей в генотипе и относительным количеством классических (CD14+CD16–) и неклассических (CD14+dimCD16+) моноцитов (рис. 1).
Рис. 1. Сопоставление результатов оценки наличия в генотипе минорных аллелей генов исследованных цитокинов и содержания в периферической крови классических (А) и неклассических (Б) субпопуляций моноцитов. Классические моноциты (CD14+CD16–) = 91,5–0,78 (количество мутаций), 95 % доверительный интервал. Неклассические моноциты (CD14+dimCD16+) = 4,14 + 0,52 (количество мутаций), 95 % доверительный интервал
Показано, что с увеличением количества минорных аллелей генов провоспалительных цитокинов в генотипе обследованных лиц популяция неклассических моноцитов в периферической крови возрастала, а классических, соответственно, – уменьшалась, что свидетельствовало об усилении воспалительных реакций. Согласно линейной модели развития клеток моноцитарно/макрофагального ростка, популяция неклассических моноцитов дифференцируется из классических под действием провоспалительных цитокинов [29]. Результаты нашей работы свидетельствуют о перераспределении субпопуляций моноцитов в периферической крови у пациентов с высоким количеством минорных аллелей. По-видимому, наличие генетической предрасположенности к гиперпродукции провоспалительных цитокинов способствует увеличению пула неклассических моноцитов в периферии. Известно [4], что популяция неклассических моноцитов осуществляет активную презентацию антигена и синтезирует провоспалительные цитокины TNF и IL-1β. Данные позволяют предположить изменение функционирования одной из главных популяций клеток врожденного иммунного ответа в зависимости от количества регуляторных пептидов. Усиление воспаления в результате присутствия в генотипе минорных аллелей генов основных провоспалительных цитокинов, вероятно, можно объяснить замыканием петли обратной связи цитокиновой сети.
Анализ результатов генотипирования и анамнестических данных у пожарных обследованной группы позволил установить связь аллеля A полиморфного маркера rs1800629 гена TNF c наличием заболеваний органов дыхания (табл. 2) (p < 0,01). В обследованной группе пожарных гомозиготные носители аллеля А были выявлены только у тех, у которых, несмотря на молодой возраст, уже были диагностированы эти заболевания.
Таблица 2. Частота различных генотипов гена TNF rs1800629 в группе пожарных в зависимости от наличия заболеваний органов дыхания
| Генотип | Болезни органов дыхания | ||
| нет | есть | всего | |
| G/G + G/A | 54 (40 + 14) | 14 (11 + 3) | 68 | 
| A/A | 0 | 2 | 2 | 
| Всего | 54 | 16 | 70 | 
Согласно данным литературы, минорный аллель А ассоциирован с более высоким уровнем экспрессии TNF, приводящим к увеличению в циркуляции этого провоспалительного цитокина [35]. Гиперпродукция TNF предрасполагает к развитию ряда воспалительных заболеваний, в частности органов дыхания, например бронхиальной астмы. Так, метаанализ 34 публикаций с участием в общей сложности 5477 пациентов с астмой и 5962 человек из контрольной группы показал, что полиморфизм TNF rs1800629 был значимо связан с риском астмы в рецессивной генетической модели [34]. Повышение риска развития бронхиальной астмы в 1,46 раза для пациентов с этой аллелью было также выявлено T. Aoki и соавт. [8]. Следует отметить, что особенно высокий риск развития данного заболевания был выявлен среди детей некурящих родителей [33], что свидетельствует в пользу высокой значимости генетических особенностей при развитии этого заболевания. На примере норвежской популяции было показано, что неаллергическая астма также была связана с носительством аллеля А rs1800629 [26]. Таким образом, результаты нашего исследования согласуются с данными литературы о риске развития заболеваний органов дыхания у носителей аллеля А rs1800629 гена TNF.
При дальнейшем анализе клинико-лабораторных показателей у пожарных была выявлена связь аллеля A полиморфного маркера rs1800629 гена TNF и относительного количества моноцитов. У пациентов с аллелем А в гомоили гетерозиготном состоянии наблюдалось увеличение относительного количества моноцитов с приближением значений к верхней границе референтного интервала (табл. 3). При этом в группе пациентов с генотипом G/G количество моноцитов было статистически значимо ниже (р < 0,05), чем у пациентов с генотипами G/A и A/A. Повышение количества моноцитов в циркуляции параллельно с усилением продукции TNF может предрасполагать к формированию провоспалительного иммунного ответа, характерного для многих заболеваний, в том числе, воспалительных болезней органов дыхания. Результаты исследования согласуются с экспериментальными данными [24] о способности TNF усиливать экспрессию гена M–CSF, продукты которого поддерживают пролиферацию и дифференцировку клеток моноцитарного ростка.
Таблица 3. Содержание моноцитов у пациентов с различными генотипами гена TNF rs1800629 (Me [Q25; Q75])
| Вариант генотипа | Объем выборки, n | Количество моноцитов, % | Референтный интервал, % | 
| G/A + A/A G/G | 19 (17 + 2) 51 | p < 0,05 | 3–11 | 
В результате нашего исследования выявлена связь полиморфизма гена IL-4 rs2243250 c различным соотношением субпопуляций моноцитов. Относительное количество провоспалительных моноцитов (переходных и неклассических), экспрессирующих CD16, было минимальным у пациентов с генотипом С/С и увеличивалось у лиц с наличием минорного аллеля Т, максимальные значения отмечались при генотипе Т/Т (рис. 2).
Рис. 2. Диаграмма провоспалительных моноцитов в группах лиц с генотипом С/С (1-я), С/Т (2-я) и Т/Т (3-я) гена IL-4 rs2243250
Результаты сравнения относительного количества моноцитарных субпопуляций объединённой группы пациентов – гомозиготных и гетерозиготных носителей аллеля Т rs2243250 гена IL-4 – с группой С/С представлены в табл. 4. У носителей аллеля Т, как гомо-, так и гетерозиготных, определено достоверное повышение доли провоспалительных моноцитов по сравнению с группой лиц с генотипом С/С. Несмотря на то, что указанные изменения находятся в референтных интервалах, они свидетельствуют о предрасположенности к более выраженному воспалительному ответу при развитии иммунных реакций, в том числе, аллергических, у носителей аллеля Т rs2243250 гена IL-4.
Таблица 4. Относительное количество субпопуляций моноцитов у пациентов с различными генотипами гена IL-4 rs2243250
| Вариант генотипа | Объем выборки, n | Моноциты, (Me [Q25; Q75])% | Референтный интервал, % | 
| C/C C/T + Т/Т | 43 19 (15 + 4) | Классические p < 0,05 | 81–90 | 
| C/C CT + ТТ | 43 19 (15 + 4) | Провоспалительные p < 0,05 | 7,0–15,9 | 
Взаимосвязь носительства минорного аллеля Т rs2243250 гена IL-4 с риском развития бронхиальной астмы была показана в ряде исследований. Установлено, что аллель T увеличивает риск развития астмы по сравнению с моделью гомозиготы C/C как у взрослых, так и в педиатрической популяции [21]. Метаанализ 55 исследований с участием 7345 пациентов и 7819 лиц контрольной группы также подтвердил повышенный риск развития этой патологии как у гомо-, так и у гетерозиготных носителей аллеля Т, по сравнению с лицами, имеющими генотип С/С [25].
В результате нашего исследования выявлена связь минорного аллеля С rs1800795 гена IL-6 c содержанием Т-лимфоцитов 2-го типа. Установлено, что среди гомозиготных носителей аллеля С у 32 % обследованных лиц было повышенное количество Т-лимфоцитов 2-го типа иммунного ответа в периферической крови, тогда как у гомозиготных носителей аллеля G повышение наблюдалось в 5,5 % случаев (p < 0,05) (табл. 5). В группе лиц с генотипом С/С выявлено значимое увеличение этой субпопуляции Т-клеток по сравнению с лицами с генотипом G/G – 1,0 [0, 7; 2, 1] и 0,6 [0, 4; 0, 9]% соответственно при p < 0,05. Для здоровых лиц не характерно повышение количества Т-лимфоцитов 2-го типа, которые являются одними из центральных звеньев патогенеза аллергического воспаления и способствуют его развитию и поддержанию, усиливая гуморальный иммунный ответ [2].
Таблица 5. Изменение количества Т-лимфоцитов 2-го типа в зависимости от генотипов гена IL-6 rs1800795 у пожарных
| Генотип | Количество Т-лимфоцитов 2-го типа, n (%) | |
| менее 1,5 % | более 1,5 % | |
| G/G | 17 (94,5) | 1 (5,5) | 
| С/С | 13 (68,0) | 6 (32,0) | 
Выявленная взаимосвязь генотипа С/С rs1800795 гена IL-6 с более высоким содержанием этой популяции свидетельствует о предрасположенности к развитию заболеваний аллергической природы, в том числе, органов дыхания, что особенно актуально для лиц, работающих в условиях крайне неблагоприятных факторов производственной среды. В ранее проведенных исследованиях были получены результаты о влиянии генотипа С/С на риск развития хронической обструктивной болезни легких [7] и бронхиальной астмы [13]. В настоящем исследовании выявлена прямая корреляционная зависимость концентрации общего IgE, одного из основных гуморальных факторов аллергического воспаления, в сыворотке крови и относительного количества Т-клеток 2-го типа (r = 0,311; р < 0,05).
В наших предыдущих работах показано, что в группе сотрудников ГПС МЧС России с увеличением нагрузки отмечалось усиление 2-го типа иммунного ответа, ассоциированного с аллергическими и аутоиммунными заболеваниями, а именно, повышение количества Т-лимфоцитов 2-го типа и увеличение синтеза IgЕ [2]. Было отмечено, что у пожарных, уже имевших на момент исследования какое-либо заболевание дыхательной системы, увеличение Т-лимфоцитов 2-го типа наблюдали практически в 2 раза чаще [10].
Связь с показателями иммунного статуса обнаружена для полиморфизма rs16944 гена IL-1β. Выявлена выраженная тенденция к увеличению относительного количества провоспалительных моноцитов у лиц носителей минорного аллеля А по сравнению с гомозиготами G/G – 11,2 [9.0; 14,9] и 9,2 [6, 7; 12, 8]% соответственно при p = 0,06.
В то же время, установлено, что среди гомои гетерозиготных носителей альтернативного аллеля G 25 % пациентов демонстрируют повышенное количество Т-лимфоцитов 2-го типа иммунного ответа в периферической крови. В группе гомозиготных носителей аллеля А пациенты с повышенном количеством Т-лимфоцитов 2-го типа не были обнаружены (табл. 6). Согласно данным литературы, эффекты IL-1β тесно связаны с эозинофилией, переключением IgE [32] и активацией аллерген-специфических T-хелперов 2-го типа [27] при аллергических заболеваниях. Результаты о биологической роли полиморфизма rs16944 не совпадают в разных исследованиях. Генотип A/A был связан с более высокими уровнями IL-1β слизистой оболочки желудка в популяции, положительной по H.pylori [19]. С другой стороны – мононуклеарные клетки субъектов с генотипом G/G показали повышенное высвобождение IL-1β после стимуляции липополисахаридом [20]. Хотя результаты противоречивы, предыдущие исследования показывают, что полиморфизм rs16944 может влиять на уровни экспрессии гена IL-1β.
Таблица 6. Изменение количества Т-лимфоцитов 2-го типа в зависимости от генотипов гена IL-1β rs16944 в группе пожарных
| Генотип | Количество Т-лимфоцитов 2-го типа, n (%) | p < | |
| менее 1,5 % | более 1,5 % | ||
| G/G + G/A | 36 (75) | 12 (25) | 
 | 
| A/A | 13 (100) | 0 (0) | 0,05 | 
Интересно отметить, что в группе обследованных лиц частота встречаемости носителей гетерозиготного генотипа G/A полиморфизма rs16944 гена IL-1β значительно превышала долю гетерозигот при других исследованных полиморфизмах (57,1 и 25,7 %; p < 0,001). Можно предположить, что носительство гетерозиготного фенотипа гена IL-1β выгодно для субъектов популяции и позволяет избежать как развития гипервоспаления при противоинфекционном ответе, так и реакций гиперчувствительности на экзогенные и эндогенные триггеры.
Обсуждение. Несмотря на относительно небольшой размер выборки проанализированных полиморфных маркеров 6 генов IL-1β, -4, -6, -13, TNF и рецептора к IL-6 в пилотном обследовании сотрудников ГПС МЧС России, полученные результаты о тенденции к формированию провоспалительного фенотипа при наличии минорных аллелей большинства изученных полиморфизмов генов цитокинов согласуются с литературными данными. Особенно неблагоприятным, согласно нашим данным, явилось сочетание нескольких минорных аллелей в генотипе обследованных лиц.
В результате исследования не выявлено взаимосвязи полиморфизма rs4129267 гена IL-6R, а также полиморфизма rs20541 гена IL-13 с развитием заболеваний органов дыхания у пожарных, что может быть связано с несколькими факторами. Наиболее существенными из них, на наш взгляд, являются особенности обследованной группы, а именно, молодой возраст пожарных и низкая частота встречаемости заболеваний в этом возрасте.
Для ряда генов выявлена связь аллелей с лабораторными показателями, характеризующими иммунный статус обследованных (rs1800629 TNF, rs16944 IL-1β, rs2243250 IL-4, rs1800795 IL-6). Как известно, изученные полиморфизмы находятся в промоторных участках генов цитокинов с провоспалительной активностью TNF, IL-4, IL-1β, IL-6 [6, 17, 31]. Изучен-
ные минорные аллели в большинстве случаев связаны с увеличением транскрипции генов и повышением синтеза белковых продуктов.
Для аллеля A полиморфизма rs1800629 гена TNF установлена прямая связь c наличием заболеваний органов дыхания. Выявленная усиленная дифференцировка моноцитарного ростка у носителей аллеля А в некоторых случаях может приводить к неадекватному гипервоспалительному иммунному ответу и реализовываться в виде патологии органов дыхания уже в молодом возрасте. Необходимо отметить, что на последнее, помимо генетической предрасположенности, могли повлиять неблагоприятные условия труда, связанные с профессиональной деятельностью пожарных.
С увеличением количества провоспалительных моноцитов были связаны аллель Т rs2243250 гена IL-4 и аллель А rs16944 гена IL-1β. Рост этой популяции клеток, ответственных за продукцию большого спектра провоспалительных цитокинов, может привести к постоянной напряженности иммунитета, реализуемой, с одной стороны, в более эффективной противоинфекционной защите, а с другой – в повышенном риске развития аллергических и аутоиммунных заболеваний.
Взаимосвязь полиморфизма rs1800795 гена IL-6 с риском развития аллергических заболеваний органов дыхания хорошо известна. Отмеченное нами у лиц с генотипом C/C гена IL-6 повышенное количество Т-клеток 2-го типа раскрывает причины такой взаимосвязи. Выявленное в нашем исследовании увеличение этой популяции клеток у лиц с генотипом G/G полиморфизма rs16944 гена IL-1β свидетельствует о роли этого полиморфизма в развитии гуморального иммунного ответа с аллергическим компонентом, что нуждается в дальнейшем изучении.
Заключение
Полученные результаты свидетельствуют о перспективности использования оценки полиморфных вариантов генов цитокинов для прогнозирования риска развития заболеваний органов дыхания у пожарных. Своевременная оценка генетической предрасположенности к провоспалительному фенотипу обеспечит возможность профилактики и раннего выявления воспалительных заболеваний у данного контингента лиц.
About the authors
Elizaveta G. Neronova
Nikiforov Russian Center of Emergency and Radiation Medicine of the EMERCOM of Russia
							Author for correspondence.
							Email: cytogen@nrcerm.ru
				                	ORCID iD: 0000-0003-4522-2849
				                																			                								
PhD in Biol. Sci., Head of the Laboratory for Genetic Research and Biodosimetry
Russian Federation, Saint PetersburgNatalia V. Bychkova
Nikiforov Russian Center of Emergency and Radiation Medicine of the EMERCOM of Russia
														Email: bnv19692007@yandex.ru
				                	ORCID iD: 0000-0002-6907-2817
				                																			                								
Dr. Biol. Sci., Leading Researcher of the Laboratory Diagnostics Research Department of the Research Center
Russian Federation, Saint PetersburgAnastasia A. Kalashnikova
Nikiforov Russian Center of Emergency and Radiation Medicine of the EMERCOM of Russia
														Email: petkova_nas@mail.ru
				                	ORCID iD: 0000-0002-5338-0866
				                																			                								
PhD in Biol. Sci., Senior Researcher of the Laboratory Diagnostics Research Department of the Research Center
Russian Federation, Saint PetersburgNatalia V. Makarova
Nikiforov Russian Center of Emergency and Radiation Medicine of the EMERCOM of Russia
														Email: makarova1953@list.ru
				                	ORCID iD: 0000-0002-8697-0096
				                																			                								
PhD in Phys. and Mathem. Sci., Senior Researcher of the Research Department of the Medical Register of the EMERCOM of Russia
Russian Federation, Saint PetersburgReferences
- Bychkova N.V. CD3+CD294+ T-limfocity 2-go tipa immunnogo otveta i ih rol’ v razvitii allergicheskogo vospalenija [Cd3+cd294+t cells of the type 2 immune response: their role in allergic inflammation]. Medicinskaja immunologija [Medical Immunology (Russia)]. 2022; 24(5):935–946. doi: 10.15789/1563-0625-CCO-2543. (In Russ.)
- Bychkova N.V., Kalashnikova A.A., Kalinina N.M. Vlijanie professional’noj dejatel’nosti i kurenija na izmenenija immunologicheskih pokazatelej u pozharnyh [The impact of occupational hazards and smoking on immunity parameters in firefighters] Mediko-biologicheskie i social’no-psihologicheskie problemy bezopasnosti v chrezvychajnyh situacijah [Medicо-Biological and Socio-Psychological Problems of Safety in Emergency Situations]. 2023; (3):72–80. doi: 10.25016/2541-7487-2023-0-3-72-80. (In Russ.)
- Viktorova T.V., Korytina G.F., Tselousova O.S. [et al.]. Analiz polimorfnyh lokusov genov sistemy proteoliza u bol’nyh s hronicheskoj obstruktivnoj bolezn’ju legkih [Analysis of proteolysis gene polymorphic loci in chronic obstructive pulmonary disease patients]. Medicinskij vestnik Bashkortostana [Bashkortostan Medical Journal]. 2012; 7(2):23–26. (In Russ.)
- Kalashnikova A.A., Voroshilova T.M., Chinenova L.V. [et al.]. Subpopuljacii monocitov u zdorovyh lic i u pacientov s sepsisom [Monocyte subsets in healthy adults and sepsis patients]. Medicinskaja immunologija [Medical Immunology (Russia)]. 2018; 20(6):815–824. doi: 10.15789/1563-0625-2018-6-815-824. (In Russ.)
- Kozlov V.A. Ocherki o funkcional’noj nastroennosti immunnoj sistemy [Essays on the functional attunement of the immune system]. Krasnojarsk. 2022. 250 p. (In Russ.)
- Akkad D.A., Arning L., Ibrahim S.M. [et al]. Sex specifically associated promoter polymorphism in multiple sclerosis affects interleukin 4 expression levels. Genes Immun. 2007; (8)703–706. DOI: 10.1038/ sj.gene.6364429.
- Ahmadi A., Ghaedi H., Salimian J. [et al]. Association between chronic obstructive pulmonary disease and interleukins gene variants: A systematic review and meta-analysis. Cytokine. 2019; 117: 65–71. DOI: 10.1016/j. cyto.2019.02.003.
- Aoki T., Hirota T., Tamari M. [et al]. An association between asthma and TNF-308G/A polymorphism: metaanalysis. J. Hum. Genet. 2006; 51(8):677–685. doi: 10.1007/s10038-006-0007-3.
- Bernstein Z.J., Shenoy A., Chen A. [et al]. Engineering the IL-4/IL-13 axis for targeted immune modulation. Immuno.l Rev. 2023; (7). doi: 10.1111/imr.13230.
- Bychkova N.V., Kalashnikova A.A., Kalinina N.M. T lymphocytes of the 2nd type of the immune response and their role in enhancing inflammation during the professional activities of firefighters. Medical Immunology (Russia). 2023; 25(4):741–746. doi: 10.15789/1563-0625-TLO-2739.
- Chen Y., Griffiths C.E.M., Bulfone-Paus S. Exploring mast cell-CD8 T cell interactions in inflammatory skin diseases. Int. J. Mo.l Sci. 2023; 24(2):1564. doi: 10.3390/ijms24021564.
- Demenais F., Margaritte-Jeannin P., Barnes K.C. [et al]. Multiancestry association study identifies new asthma risk loci that colocalize with immune-cell enhancer marks. Nat. Genet. 2018; 50(1):42–53. DOI: 10.1038/ s41588-017-0014-7.
- Du J.W., Xu Z.L., Xu Q.X. Interaction of interleukin 7 receptor (IL7R) and IL6 gene polymorphisms with smoking associated with susceptibility to asthma in Chinese Han adults. Immunol. Invest. 2022; 51(5):1364– 1371. doi: 10.1080/08820139.2021.1941083.
- Falfбn-Valencia R ., Pavуn-Romero G.F., Camarena A. [et al]. The IL1B-511 polymorphism (rs16944 AA genotype) is increased in aspirin-exacerbated respiratory disease in Mexican population. J. Allergy (Cairo). 2012; 741313. doi: 10.1155/2012/741313.
- Ferreira M.A., Matheson M.C., Duffy D.L. [et al]. Identification of IL6R and chromosome 11q13. 5 as risk loci for asthma. Lancet. 2011; 378(9795):1006–1014. doi: 10.1016/S0140-6736(11)60874-X.
- Hinds D., McMahon G., Kiefer A. [et al]. A genome-wide association meta-analysis of self-reported allergy identifies shared and allergy-specific susceptibility loci. Nat. Genet. 2013; (45):907–911. DOI: 10.1038/ ng.2686.
- Hameed I., Masoodi S.R., Malik P.A. [et al]. Genetic variations in key inflammatory cytokines exacerbates the risk of diabetic nephropathy by influencing the gene expression. Gene. 2018; (661):51–59. DOI: 10.1016/ j.gene.2018.03.095.
- Huyghe J., Priem D., Bertrand M.J.M. Cell death checkpoints in the TNF pathway. Trends Immunol. 2023; 44(8):628–643. doi: 10.1016/j.it.2023.05.007.
- Hwang I.R., Kodama T., Kikuchi S. [et al]. Effect of interleukin 1 polymorphisms on gastric mucosal interleukin 1beta production in Helicobacter pylori infection. Gastroenterology. 2002; 123: 1793–1803. DOI: 10.1053/ gast.2002.37043.
- Iacoviello L., Di Castelnuovo A., Gattone M. [et al]. Polymorphisms of the interleukin-1beta gene affect the risk of myocardial infarction and ischemic stroke at young age and the response of mononuclear cells to stimulation in vitro. Arterioscler Thromb. Vasc. Biol. 2005; 25; 222–227. doi: 10.1161/01.ATV.0000150039.60906.02.
- Imani D., Eslami M.M., Anani-Sarab G. [et al]. Interleukin-4 gene polymorphism (C33T) and the risk of the asthma: a meta-analysis based on 24 publications. BMC Med. Genet. 2020; 21:232. doi: 10.1186/s12881020-01169-w
- Jimenez-Sousa M. A., Medrano L. M., Liu P. [et al.]. IL-1B rs16944 polymorphism is related to septic shock and death. Europ. J. Clin. Investigation. 2017; 47(1):53–62.
- Johansson A., Rask-Andersen M., Karlsson T. [et al]. Genome-wide association analysis of 350 000 Caucasians from the UK Biobank identifies novel loci for asthma, hay fever and eczema. Hum. Mol. Genet. 2019; 28(23):4022–4041. doi: 10.1093/hmg/ddz175.
- Kitaura H., Zhou P., Kim H.J. [et al]. M-CSF mediates TNF-induced inflammatory osteolysis. J. Clin. Invest. 2005; 115(12):3418–3427. doi: 10.1172/JCI26132.
- Kousha A., Mahdavi Gorabi A., Forouzesh M. [et al.]. Interleukin 4 gene polymorphism (–589C/T) and the risk of asthma: a meta-analysis and met-regression based on 55 studies. BMC Immunol. 2020; 21(1):55. doi: 10.1186/s12865-020-00384-7.
- Munthe-Kaas M.C., Carlsen K.L., Carlsen K.H. [et al]. HLA Dr-Dq haplotypes and the TNFA-308 polymorphism: associations with asthma and allergy. Allergy. 2007; 62(9):991–998. doi: 10.1111/j.13989995.2007.01377.x.
- Nakae S., Komiyama Y., Yokoyama H[et al]. IL-1 is required for allergen-specific Th2 cell activation and the development of airway hypersensitivity response. Int. Immunol. 2003; 15(4):483–90. doi: 10.1093/intimm/ dxg054.
- Patel A.A., Zhang Y., Fullerton J.N. [et al]. The fate and lifespan of human monocyte subsets in steady state and systemic inflammation. J. Exp. Med. 2017; 214(7):1913–1923. doi: 10.1084/jem.20170355.
- Rogo L.D., Rezaei F., Marashi S.M. [et al]. Seasonal influenza A/H3N2 virus infection and IL-1B, IL-10, IL17, and IL-28 polymorphisms in Iranian population. J. Med. Virol. 2016; 88; 2078–2084. doi: 10.1002/jmv.24572.
- Wang H.R., Wei S.Z., Song X.Y. [et al]. IL-1 and Allergy: Focusing on Its Role in Allergic Rhinitis. Mediators Inflamm. 2023; 1265449. doi: 10.1155/2023/1265449.
- Wu H., Romieu I., Sienra-Monge J.J. [et al]. Parental smoking modifies the relation between genetic variation in tumor necrosis factor-alpha (TNF) and childhood asthma. Environ. Health Perspect. 2007; 115(4):616– 622. doi: 10.1289/ehp.9740.
- Yang G., Chen J., Xu F., Bao Z. [et al]. Association between tumor necrosis factor- rs1800629 polymorphism and risk of asthma: a meta-analysis. PLoS One. 2014; 9(6):e99962. doi: 10.1371/journal.pone.0099962.
- Yu S., Xue M., Yan Z. [et al]. Correlation between TNF- -308 and +489 gene polymorphism and acute exacerbation of chronic obstructive pulmonary diseases. Biomed Res. Int. 2021: 6661281. doi: 10.1155/2021/6661281.
- Zakaria M., Beshir M., Hassan T. [et al]. Role of interleukin 4 (IL4) and interleukin 6 (IL6) in the pathogenesis and prognosis of childhood primary immune thrombocytopenia. Eur. J. Pediatr. 2023; 182(7):3129–3138. doi: 10.1007/s00431-023-04945-x.
- Zhu N., Gong Y., Chen X.D. [et al]. Association between the polymorphisms of interleukin-4, the interleukin-4 receptor gene and asthma. Chin. Med. J. (Engl). 2013; 126(15):2943–2951. DOI: 10.3760/ cma.j.issn.0366-6999.20123060.
- Zhu Z., Zhu X., Liu C.L. [et al]. Shared genetics of asthma and mental health disorders: a large-scale genome-wide cross-trait analysis. Eur. Respir. J. 2019; 54(6):1901507. doi: 10.1183/13993003.01507-2019.
Supplementary files
 
				
			 
					 
						 
						 
						 
						 
				
 
  
  
  Email this article
			Email this article 



