Epidemiological Informing of the Population in Cities: Models and Their Application
- Authors: Osipov V.1, Osipova M.2, Kuleshov S.1, Zaytseva A.1, Aksenov A.1
-
Affiliations:
- St. Petersburg Federal Research Center of the Russian Academy of Sciences (SPC RAS)
- Dental clinic ‘NEWMO CLINIC perio’
- Issue: Vol 16, No 2 (2022)
- Pages: 80-89
- Section: MASTER CLASS
- URL: https://journal-vniispk.ru/1995-459X/article/view/292895
- DOI: https://doi.org/10.17323/2500-2597.2022.2.80.89
- ID: 292895
Cite item
Full Text
Abstract
With an increase of population density and contacts between people, the emergence of new biological viruses, the threat of various epidemics is growing. Countering these threats involves the implementation of large-scale preventive, therapeutic, and other measures, both before the start and during an epidemic. Epidemiological informing of the population plays an important role in such counteraction. The currently used models of epidemiological informing the population of cities largely do not meet the needs of practice. This negatively affects the effectiveness of the response to epidemics. The purpose of the study is to develop new models and justify their applicability for understanding the processes in public health, the impact of epidemics on the economy and business. For the quantitative substantiation of programs (scenarios), such epidemiological informing, a method based on new models of epidemic development in related cities is proposed. The method is characterized by a new objective function that links economic efficiency with the state of health of the population in an epidemic. The models differ from the known solutions both in the space of the selected states of the processes under study and in the connections between them.
Using the developed method, seven possible programs of epidemiological informing the population of related cities were analyzed and the best of them were found for specific conditions. New regularities have been established between the parameters of the programs being implemented and the results of the impact on the health and performance capability of the population. It is shown how an epidemic can develop in cities that are differently connected to each other by vehicles. The proposed method allows one to quickly find the best epidemiological informing programs for the population. The models underlying this method make it possible to predict public health and the impact of epidemics on the economy and business, depending on the planned measures to counteract epidemics. They are also applicable to determine the sources and time of infections’ onset. The obtained simulation results are in good agreement with the known facts. The method can be applied in advanced information systems to support the adoption of far-sighted decisions to counteract epidemics.
Full Text
Одним из ключевых аспектов прогнозирования общественного здоровья и оценки влияния эпидемий на экономику и бизнес выступают меры эпидемиологического информирования населения в городах, связанных интенсивными пассажиропотоками (далее — связанных городах). Успех комплексного реагирования на эпидемии во многом зависит от эффективности соответствующих программ и лежащих в их основе моделей и методов, которые позволяют просчитывать альтернативные сценарии (Papa et al., 2020; Abdulai et al., 2021).
Общие вопросы информирования населения о возможных угрозах жизни и здоровью исследованы достаточно подробно (Liu et al., 2020; Лукьянович, Афлятунов, 2015). Предпринимались попытки оценить влияние источников информации на ситуационную осведомленность граждан и социальную дистанцию (Wu et al., 2012; Qazi et al., 2020; Tiwari et al., 2021), в том числе в контексте освещения пандемии COVID-19 в СМИ и динамики раннего распространения инфекции в Китае (Liu et al., 2020; Zhou et al., 2020). Ряд существующих моделей, каждая из которых имеет свои преимущества и недостатки в конкретных условиях (Chubb, Jacobsen, 2009; Nadella et al., 2020), обеспечивают прогнозирование развития эпидемий (Newbold, Granger, 1974; Holko et al., 2016; da Silva et al., 2020; Hu et al., 2020; Levashkin et al., 2021; Medrek, Pastuszak, 2021; Katris, 2021; Osipov et al., 2021)1. Для определения параметров и начальных состояний этих моделей применяются различные формы мониторинга ситуации и обработки статистических данных, однако оценке возможного влияния эпидемиологической информации на здоровье населения уделяется мало внимания. Недостаточно проработаны и методы расчета возможных экономических рисков такого информирования. Несовершенство существующих подходов затрудняет подбор эффективных программ информирования населения об эпидемиях, что отрицательно сказывается на мерах противодействия им.
Предлагаемые новые метод и модели обоснования программ (сценариев) эпидемиологического информирования населения в связанных городах призваны повысить эффективность борьбы с пандемиями благодаря учету информационного аспекта развития эпидемий и экономических потерь. Подобные модели позволят более объективно оценивать усилия по противодействию эпидемиям через призму информационной политики и реакции населения, меняющих естественную динамику распространения заболеваний.
Материалы и методы
Метод
В основе программ эпидемиологического информирования лежит анализ данных о состоянии общественного здоровья, экономики и бизнеса, особенностях течения эпидемии в связанных городах и возможных мерах противодействия. В зависимости от сложившихся условий такое информирование носит регулярный характер. Обоснование, учитывающее возможные эффекты для здоровья населения и экономические издержки, нацелено на поиск оптимальной программы эпидемиологического информирования. Не соответствующая требованиям программа по результатам оценки исключается, а на рассмотрение выносится ее альтернатива. Все программы, отвечающие критериям допустимого уровня общественного здоровья, оцениваются по экономическим показателям; из них в свою очередь отбирается наиболее эффективная. После определения оптимальной программы она трансформируется в конкретные действия. Обоснованная программа через СМИ доводится до населения в виде предписаний по борьбе с эпидемией.
Итак, предстоит найти программу эпидемиологического информирования (PRGo), при реализации которой достигается максимальный экономический эффект (Wo(PRGo, ∆T)) на заданном интервале времени ∆T и выполняются требования по обеспечению здоровья населения и затратам на ее реализацию.
Эффекты (Ws(PRGs, ∆T) от применения программ (PRGs) на интервале ∆T = TK – T0 могут быть определены как:
где:
Vki (PRGs,∆Tk) = Vio /(1 + ∆tki (Iks PRGs)/τ) — экономическая эффективность населения в единицу времени в i-м состоянии, на k-м интервале ∆Tk = TK+1 – Tk при проведении s-й программы эпидемиологического информирования;
Vio — средняя экономическая эффективность населения в i-м состоянии без учета ограничительных мер;
τ — интервал времени для оценки Vio;
∆tki (Iks PRGs) — дополнительное время, затраченное на достижение такого же результата, но с учетом ограничительных мер;
Iks — элементы программы PRGs, внедренные на k-м интервале.
Pki (PRGs, Tk ≤ t < Tk+1) — вероятность того, что население находится в состоянии i на k-м интервале при проведении s-й программы эпидемиологического информирования.
Искомая программа PRGs = PRGs (Iks; k = 0.1, …, K) может включать K информационных блоков, Iks и должна принадлежать множеству эффективных программ, которые не противоречат заданным требованиям.
Алгоритм решения этой проблемы предусматривает:
1) оценку исходного состояния общественного здоровья, текущую динамику эпидемии, занятость населения в производстве и сфере услуг, возможности его информирования;
2) синтез эффективных программ эпидемиологического информирования населения, отвечающих заданным требованиям;
3) оценку влияния каждой программы на итоговый показатель эффективности и поиск наиболее оптимальной них них.
Для такой оценки на каждом выделенном временном интервале необходимо определить влияние программы PRGs на параметры модели развития и течение эпидемии. Затем, используя эту модель с учетом ее начальных состояний, можно рассчитать вероятности Pki (PRGs, t). Зная эти вероятности и Vki (PRGs,t), можно оценить предотвращенный ущерб за рассматриваемый интервал времени. Значения Vki (PRGs,t) могут существенно различаться для разных состояний популяции и сильно зависят от параметров PRGs. Чтобы аналогичным образом оценить предотвращенный ущерб на следующем k + 1 временном интервале, следует учесть предыдущий расчет Pki (PRGs, t).
Модели развития эпидемии в связанных городах
Для определения Pki (PRGs, t) предлагаются новые модели с расширенным учетом возможных факторов развития эпидемии. Одна из таких моделей представляет собой граф состояний процесса развития эпидемии в двух связанных городах (рис. 1). Вершины графа на рис. 1 соответствуют состояниям населения первого (1–5) и второго (6–10) городов. Дуги графа на рис. 1 отражают переходы процесса развития эпидемии из одних состояний в другие. Описание переходов представлено в табл. 1. От известных решений (Browne et al., 2015) модель отличается прежде всего учетом дополнительных значимых связей.
Рис. 1. Граф состояний процесса развития эпидемии в двух связанных городах
Табл. 1. Переходы процесса развития эпидемии из одних состояний в другие
Переходы | Описание |
12, 67 | Население здоровое, но восприимчивое к инфекции (состояния 1, 6) с течением времени может перейти в состояния 2, 7 (население с бессимптомным течением болезни). Значения интенсивностей переходов зависят от вероятностей нахождения процесса в состояниях 3, 8. Эта зависимость на рис. 1 отражена штрихпунктирными стрелками |
23, 78 | Население городов с бессимптомным течением болезни (состояния 2, 7) переходит в состояния 3, 8 — инфицированное население с симптомами болезни |
34, 89 | Инфицированное население с симптомами болезни (состояния 3, 8) после лечения переходит в состояния 4, 9 — здоровое население с иммунитетом |
14, 69 | Население здоровое, но восприимчивое к инфекции (состояния 1, 6) после вакцинации переходит в состояния 4, 9 |
41, 96 | Население городов, находящееся в состояниях 4, 9, после пропадания у него иммунитета переходит в состояния 1, 6 |
16, 61, 27, 72, 38, 83, 49, 94 | Переходы, связанные с перемещением людей между городами с использованием различных видов транспорта |
15, 25, 35, 45, 610, 710, 810, 910 | Переходы, связанные со смертями населения |
51, 44, 106, 109 | Переходы, обусловленные рождаемостью населения |
Источник: составлено авторами. | |
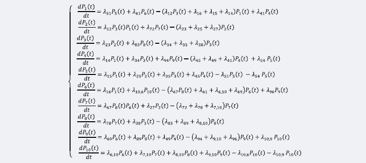
Исходя из предельной теоремы теории вероятностей для потоков событий, графу на рис. 1 может соответствовать система из 10 дифференциальных уравнений, связывающих вероятности выбранных состояний (бокс 1). Параметрами этих уравнений выступают интенсивности λij переходов процесса из одного состояния в другое, которые зависят от характеристик реализуемых программ эпидемиологического информирования. Данная зависимость проявляется в виде отрицательных и положительных поправок для λij, отражающих изменение характера переходов между состояниями модели, свойственных каждому из управляющих воздействий.
Бокс 1. Система дифференциальных уравнений модели
Источник: составлено авторами.
В связи с эпидемиологическим информированием населения первого города в соответствии с реализуемой программой параметры переходов 12, 34, 16, 27, 38, 49 могут изменяться. Для второго города — 67, 89, 61, 72, 83, 94.
Масштабировать развитие эпидемии одновременно на многие города или страны можно, укрупнив состояния, выделенные на рис. 1. Так, состояния 2, 3 и 1, 5 могут быть объединены, поскольку рождаемость компенсирует убыль населения. Состояние 4 сохраняет свой первоначальный вид. Тем самым эпидемиологическая модель каждого отдельного города в обобщенном виде может быть формализована тремя связанными состояниями населения. Объединив отдельные модели городов через состояние инфицированности населения, можно получить модели развития эпидемии более высокого уровня (рис. 2).
Рис. 2. Модели эпидемии в связанных городах
Модели, представленные на рис. 2a,b, могут быть включены в системы дифференциальных уравнений для анализа динамики процесса относительно начальных состояний. Подобные модели позволяют прогнозировать распространение эпидемий по территории многих городов в зависимости от различных реализуемых эпидемиологических информационных программ. Прогнозирование требует данных о параметрах модели и об исходных состояниях процесса, которые определяются вероятностями Pi (t = 0) того, что процесс находится в i-х состояниях на момент t = 0. С учетом членения времени на интервалы это моменты Tk = 0. Каждая из вероятностей Pi (t = 0) может быть определена как относительное число людей в i-м состоянии в рассматриваемый момент времени.
Поскольку такие параметры моделей, как интенсивности λij переходов процесса из одних состояний в другие, зависят от мер противодействия эпидемиям, влияние программы эпидемиологического информирования PRGs на изменения λij можно осуществлять по правилу:
λij = λij* ± βijgij (PRGs),
где:
βij — максимально возможное изменение интенсивности перехода ij в зависимости от принятых эпидемиологических мер;
gij (PRGs) — вероятность того, что реализация программы PRGs позволит достичь изменений λij, равных βij.
Таким образом, знание исходных состояний процесса и параметров применяемой модели позволяет при разрешении соответствующей системы дифференциальных уравнений известными методами достигать прогнозных значений вероятностей Pki (PRGs, Tk ≤ t < Tk+1) = Pki (λij* ± βij gij (PRGs), Tk ≤ t < Tk+1) того, что население находится в i-х состоянии на k-м интервале времени при проведении s-й программы эпидемиологического информирования. С учетом этих вероятностей прогнозирование экономических эффектов Ws (PRGs, ∆T) от применения программ PRGs на интервале ∆T = TK – T0 становится осуществимым.
По результатам моделирования формируется распределение заболеваемости в городах во времени. Изменение исходных условий модели и реализация различных административных мер в виде программ PRGs дает возможность формировать альтернативные сценарии развития эпидемии и прогнозировать влияние этих программ на общественное здоровье и экономику. Самостоятельное значение описанных моделей (см. рис. 2a,b) может быть связано с определением места и момента начала заражения, т. е. с реверсивным анализом развития эпидемии в связанных городах.
Исходные данные
Отправными данными для моделирования влияния эпидемиологических информационных программ служит статистика распространения COVID-19 в регионах и городах федерального значения России (табл. 2) за период с 6 марта по 30 декабря 2020 г. При анализе влияния эпидемиологического информирования населения посредством системы уравнений для модели на рис. 2 в качестве начальных интенсивностей перехода были взяты значения, приведенные в табл. 3. Значения средней эффективности населения в i-м состоянии без ограничительных мер задавались в относительных единицах, исходя из известных примеров (Bellman, 1983) — (1; 0.75; 0.3; 1; 0; 0; 0; 0; 0; 0; 0).
Табл. 2. Онлайн-ресурсы для мониторинга распространения пандемии COVID-19
Наименование | Адрес |
An interactive web-based dashboard to track COVID-19 in real time. | https://www.thelancet.com/journals/laninf/article/PIIS1473-3099(20)30120-1/fulltext, дата обращения 20.01.2022. |
Our World in Data. Coronavirus Pandemic (COVID-19) | https://ourworldindata.org/coronavirus, дата обращения 20.01.2022. |
Карта коронавируса COVID -19 онлайн | https://coronavirus-monitor.info/, дата обращения 20.01.2022. |
Источник: составлено авторами. | |
Табл. 3. Начальные интенсивности переходов
Переходы | Значения интенсивностей переходов |
12 | 0.750∙P3(t) |
67 | 0.750∙P8(t) |
14 | 0.0007 |
69 | |
23 | 0.21 |
78 | |
34 | 0.1 |
89 | |
15 | 0.000235 |
610 | |
25 | 0.000235 |
710 | |
35 | 0.0011 |
810 | |
41 | 0.0007 |
Переходы | Значения интенсивностей переходов |
96 | 0.0007 |
45 | 0.000235 |
910 | |
51 | 0.39 |
106 | |
54 | 0.39 |
109 | |
16 | 0.00084 |
61 | 0.00056 |
27 | 0.00084 |
72 | 0.00056 |
38 | 0.00084 |
83 | 0.00056 |
49 | 0.00084 |
94 | 0.00056 |
Источник: составлено авторами.
Результаты и обсуждение
Решение задач (1) — (5) проводилось с помощью программного пакета MatLab. Для начала рассмотрим пример взаимодействия двух городов с большим пассажиропотоком в обоих направлениях, в которых, несмотря на различную численность населения, ведется примерно одинаковое эпидемиологическое информирование и реализуются типовые для «безопасного периода» профилактические меры. В одном из городов возникает источник инфекции и начинает распространяться эпидемия. Как быстро будет развиваться ситуация в первом и втором городах без изменения программ эпидемиологического информирования населения?
Для того чтобы ответить на этот вопрос было смоделировано развитие эпидемии в течение 150 недель (рис. 3). Начальные состояния в системе уравнений для модели на рис. 2 были заданы как (0.39888; 0.001; 0.00; 0.00; 0.00; 0.00012; 0.59982; 0.0; 0.0; 0.0; 0.0; 0.00018). Для задания интенсивностей переходов применялась табл. 3. На рис. 3a показано изменение во времени относительного числа здоровых людей, восприимчивых к инфекции, в первом и втором городах. На рис. 3b,c,d,e отражены вероятности того, что население двух городов находится в состояниях 2, 7 — с бессимптомным течением болезни; 3, 8 — инфицированные с проявляющимися симптомами болезни; 4, 9 — здоровые с иммунитетом; 5, 10 — умершие. На рис. 3f представлены зависимости и экономическая эффективность населения анализируемых городов при реализованной программе исходного эпидемиологического информирования:
Рис. 3. Оценка развития эпидемии в связанных городах без принятия дополнительных мер по эпидемиологическому информированию населения
Ожидаемый общий экономический эффект WZ (PRGs, ∆T) для рассматриваемого случая за интервал в 150 недель составил 143.5 условных экономических единиц (УЭЕ), из которых на первый город пришлось 57.5 УЭЕ, а на второй — 86.0.
Как показано на рис. 3, с течением времени численность здоровых людей, восприимчивых к инфекции, быстро сокращается, а инфицированных — увеличивается. При этом максимальное число инфицированных с симптомами заболевания в первом городе приходится на 70-ю неделю, а во втором — на 80-ю. Заражение населения во втором городе происходит через лиц, пересекающих границу между городами воздушным, наземным и морским транспортом. Относительная смертность во втором городе на пике достигает 0.00036, что в 1.94 раза выше начальной. Наибольший экономический спад для введенных исходных данных происходит на 80-й неделе.
Отметим, что в момент t = 0 в первом городе было 0.1% инфицированных от общей численности населения обоих городов. Пикового уровня численность инфицированных с симптомами заболевания в этом городе достигла только через год и 2 месяца, а во втором городе — через год и 4.5 месяца.
Обобщенное влияние рассматриваемой программы эпидемиологического информирования (PRG 1) на здоровье и экономические показатели населения в связанных городах представлено в табл. 4. В ней также показан расчетный эффект других альтернативных программ эпидемиологического информирования, обозначенных как PRG 2–7. В табл. 5 приведены краткие пояснения по этим программам без отражения конкретных форм их влияния на параметры моделей.
Табл. 4. Результаты влияния программ эпидемиологического информирования на здоровье и экономическую эффективность населения в двух связанных городах
Программа эпидемиологического информирования | Город 1 | Город 2 | Города 1, 2 | ||||
PRG 1 | 143.5 | ||||||
PRG 2 | 138.8 | ||||||
PRG 3 | 131.5 | ||||||
PRG 4 | 145.6 | ||||||
PRG 5 | 149.3 | ||||||
PRG 6 | 131.5 | ||||||
PRG 7 | 130.6 | ||||||
Источник: составлено авторами. | |||||||
Табл. 5. Варианты программ информирования населения
Код программы | Описание |
PRG 1 | Повседневная (опорная) программа информирования населения без значимого учета фактов проявления эпидемии |
PRG 2 | Программа, предусматривающая дополнительное информирование населения первого города о необходимости носить защитные маски и соблюдать социальную дистанцию. Второй город информируется в обычном режиме |
PRG 3 | Программа информирования населения обоих городов о необходимости носить защитные маски и соблюдать социальную дистанцию |
PRG 4 | Программа информирования населения первого города о необходимости вакцинирования |
PRG 5 | Программа информирования населения обоих городов о необходимости вакцинирования |
PRG 6 | Программа информирования об ограничениях на перемещение населения между первым и вторым городами начиная с 50-й недели |
PRG 7 | Программа информирования об ограничениях на перемещение населения между первым и вторым городами начиная с момента t = 0 |
Источник: составлено авторами. | |
Когда, в отличие от PRG 1, в программе PRG 2 население первого города информируется о необходимости носить защитные маски и соблюдать социальную дистанцию, интенсивность перехода 12 в модели снижается. Вместе с этим здесь возникают дополнительные временные затраты ∆tki (Iks(Z) PRGs(Z)), которые в рассматриваемом примере составляют 0.1 от τ. Программа PRG 3 отличается от PRG 2 тем, что одновременно с первым городом аналогичные защитные мероприятия проводятся и во втором. При проведении защитных мероприятий только в первом городе (PRG 2) суммарный экономический эффект составил 138.8 УЭЕ, а при проведении мероприятий сразу в двух городах (PRG 3) — 131.5 УЭЕ. Согласно этим оценкам экономическая эффективность стала ниже в сравнении с PRG 1, тогда как пиковые уровни инфицированности для населения обоих городов сместились вправо и уменьшились вместе с сокращением смертности. В случаях, когда реализуемые программы PRG 4,5 предусматривают вакцинацию населения, как в первом (PRG 4), так и в обоих городах (PRG 5) результаты моделирования показали достижимость более высоких значений показателей общественного здоровья и его экономической эффективности в период эпидемии.
В случае предусмотренного программами эпидемиологического информирования ограничения связей между городами показатели инфицированности отличаются от предыдущих примеров. PRG 6 предусматривает оповещение населения о сокращении перемещений между первым и вторым городами начиная с 50-й недели. Согласно PRG 7, информирование об ограничениях и их введение осуществляются с момента t = 0. Анализ табл. 5 показывает, что введение рассматриваемых мер со сдвигом в 50 недель не дает заметных результатов. Значимый эффект в виде сдвига пиков заболеваемости вправо наблюдается только при введении ограничений с момента t = 0.
По результатам моделирования влияния программ эпидемиологического информирования на экономическую эффективность населения лучшей оказывается PRG 5, эффект от реализации которой в части информирования населения обоих городов о необходимости вакцинирования составляет 149.3 УЭЕ. Самой неэффективной в этом отношении остается PRG 7, предусматривающая жесткие ограничения на перемещение.
Рассмотрим особенности развития эпидемии в четырех городах (рис. 2а) с учетом контрмер. Согласно модели в каждом городе население может находиться в трех состояниях: 1, 4, 7, 10 — здоровое население, восприимчивое к инфекции; 2, 5, 8, 11 — инфицированное население; 3, 6, 9, 12 — выздоровевшее население. Допустим, что иммунитет населения после выздоровления, как и после вакцинации, равен двум годам. Инфекция возникла в первом городе. Распределение населения по городам составляет (0.3, 0.2, 0.2, 0.3). Условия для обеспечения борьбы с пандемией путем эпидемиологического информирования первого, третьего и четвертого городов одинаковы. Во втором городе возможности лечения заболевшего населения несколько снижаются. Результаты моделирования развития эпидемии в рамках данной модели представлены на рис. 4.
Рис. 4. Результаты оценки развития эпидемии в связанных городах в соответствии с моделью на рис. 3a
На рис. 4a показаны временные зависимости вероятностей того, что города находятся в состояниях 1, 4, 7, 10 (здоровое население, восприимчивое к инфекции). Аналогичные зависимости для состояний 2, 5, 8, 11 (инфицированное население) показаны на рис. 4b. При таком развитии эпидемии и ограниченном иммунитете у населения, как видно из рис. 4а,b, наблюдаются явные волны процесса на интервале 700 недель. Из анализа рис. 4 следует, что без специальных мер инфекция может сохраняться в городах многие годы. Длительность зависит от структуры транспортных потоков между ними, их удаленности и населенности, реализуемых эпидемиологических мер, мутации вирусов, ослабления иммунитета со временем и других факторов. Поскольку темпы развития эпидемий в крупных городах существенно выше, чем в малых, одно лишь это может порождать волновую динамику.
При реализации дополнительных эпидемиологических мер модель, представленная на рис. 2а, может быть сведена к таковой на рис. 2b, где распространение инфекции происходит последовательно от первого до четвертого города и вновь возвращается в первый. Результаты моделирования (рис. 5) по этой модели в сравнении с рис. 4 более волнообразны. В результате принятых мер по противодействию эпидемии показатели заболеваемости во втором, третьем и четвертом городах (рис. 5b) снизились в сравнении с рис. 4b, а пики заболеваемости значительно сместились во времени.
Рис. 5. Результаты оценки развития эпидемии в связанных городах в соответствии с моделью на рис. 3b
Для сравнения полученных результатов моделирования с существующими статистическими данными (см. табл. 2) была составлена табл. 6, в которой отражены даты достижения рядом российских регионов уровня зараженности населения COVID-19 в 1%. Анализ данных табл. 6 показывает, что полученные результаты моделирования не противоречат доступной статистике.
Табл. 6. Даты достижения рядом российских регионов уровня инфицированности населения в 1%
Города и регионы Российской Федерации | Дата в 2020 г. |
Москва | 14 мая |
Мурманск | 13 июля |
Нижний Новгород | 26 сентября |
Хабаровский край | 11 октября |
Санкт-Петербург | 21 октября |
Воронежская область | 26 октября |
Красноярский край | 5 ноября |
Приморский край | 15 ноября |
Свердловская область | 20 ноября |
Ростовская область | 5 декабря |
Новосибирск | 30 декабря |
Челябинская область | 30 декабря |
Источник: составлено авторами. | |
Заключение
В исследовании представлены метод количественной оценки программ эпидемиологического информирования в связанных городах, новые модели развития и противодействия эпидемии. Выявлены новые взаимосвязи между показателями информирования населения об эпидемии, его здоровья и экономической эффективности. Полученные результаты позволили подтвердить существенную зависимость между тремя рассмотренными элементами. Экономические издержки от эпидемий, которые можно учитывать при прогнозировании, включают затраты на лечебно-профилактические мероприятия, информирование о противодействии эпидемиям, компенсацию временной нетрудоспособности населения и др.
Предложенный метод позволяет находить обоснованные решения по борьбе с эпидемиями на основе прогнозирования эффективности планируемых мер. Разработанные модели могут быть востребованы для оценки текущих и будущих волн эпидемий и их влияния на состояние экономики и бизнеса. Кроме того, модели, лежащие в основе представленного метода, эффективны для определения места и момента начала распространения инфекции. Метод применим в перспективных информационных системах поддержки принятия решений в рамках эпидемиологической политики.
Исследование выполнено при финансовой поддержке РФФИ, номер проекта 20-04-60455.
1 См. также: https://docs.idmod.org/projects/emod-environmental/en/latest/model-seir.html, дата обращения 22.01.2022.
About the authors
Vasiliy Osipov
St. Petersburg Federal Research Center of the Russian Academy of Sciences (SPC RAS)
Author for correspondence.
Email: osipov_vasiliy@mail.ru
Director, SPIIRAS
Russian Federation, 39, 14 Line, Saint Petersburg 199178Marina Osipova
Dental clinic ‘NEWMO CLINIC perio’
Email: m_osipova@mail.ru
General Director
Russian Federation, Ligovsky prospekt, 271, St. Petersburg, 192007Sergey Kuleshov
St. Petersburg Federal Research Center of the Russian Academy of Sciences (SPC RAS)
Email: kuleshov@iias.spb.su
Chief Researcher
Russian Federation, 39, 14 Line, Saint Petersburg 199178Alexandra Zaytseva
St. Petersburg Federal Research Center of the Russian Academy of Sciences (SPC RAS)
Email: cher@iias.spb.su
Senior Researcher
Russian Federation, 39, 14 Line, Saint Petersburg 199178Aleksey Aksenov
St. Petersburg Federal Research Center of the Russian Academy of Sciences (SPC RAS)
Email: a_aksenov@iias.spb.su
Senior Researcher
Russian Federation, 39, 14 Line, Saint Petersburg 199178References
- Лукьянович А.В., Афлятунов Т.И. (2015) Анализ возможностей активного информационного воздействия средств массовой информации на население в условиях чрезвычайных ситуаций. Технологии гражданской безопасности, 12(4), 62-68.
- Abdulai A.-F., Tiffere A.-H., Adam F., Kabanunye M.M. (2021) COVID-19 information-related digital literacy among online health consumers in a low-income country. International Journal of Medical Informatics, 145, 104322. https://doi.org/10.1016/j.ijmedinf.2020.104322
- Bellman R. (1983) Mathematical methods in medicine, Singapore: World Scientific.
- Browne C., Gulbudak H., Webb G. (2015) Modeling contact tracing in outbreaks with application to Ebola. Journal of Theoretical Biology, 384, 33–49. https://doi.org/10.1016/j.jtbi.2015.08.004
- Chubb M.C., Jacobsen K.H. (2009) Mathematical modeling and the epidemiological research process. European Journal of Epidemiology, 25(1), 13–19. doi: 10.1007/s10654-009-9397-9
- Da Silva R.G., Ribeiro M.H.D.M., Mariani V.C., Coelho L. (2020) Forecasting Brazilian and American COVID-19 cases based on artificial intelligence coupled with climatic exogenous variables. Chaos, Solitons and Fractals, 139, 110027. https://doi.org/10.1016/j.chaos.2020.110027
- Holko A., M drek M., Pastuszak Z., Phusavat K. (2016) Epidemiological modeling with a population density map-based cellular automata simulation system. Expert Systems with Applications, 48, 1–8. https://doi.org/10.1016/j.eswa.2015.08.018
- Hu Z., Ge Q., Li S., Boerwinkle E., Jin L., Xiong M. (2020) Forecasting and Evaluating Multiple Interventions for COVID-19 Worldwide. Frontiers in Artificial Intelligence, 3. https://doi.org/10.3389/frai.2020.00041
- Katris C. (2021) A time series-based statistical approach for outbreak spread forecasting: Application of COVID-19 in Greece. Expert Systems with Applications, 166, 114077. https://doi.org/10.1016/j.eswa.2020.114077
- Levashkin S.P., Zakharova O.I., Kuleshov S.V., Zaytseva A.A. (2021) Adaptive-compartmental model of coronavirus epidemic and its optimization by the methods of artificial intelligence. Journal of Physics: Conference Series, 1864(1), 012108. doi: 10.1088/1742-6596/1864/1/012108
- Liu N., Chen Z., Bao G. (2020) Role of Media Coverage in Mitigating COVID-19 Transmission: Evidence from China. Technological Forecasting and Social Change, 163, 120435. https://doi.org/10.1016/j.techfore.2020.120435
- M drek M., Pastuszak Z. (2021) Numerical simulation of the novel coronavirus spreading. Expert Systems with Applications, 166, 114109. https://doi.org/10.1016/j.eswa.2020.114109
- Nadella P., Swaminathan A., Subramanian S.V. (2020) Forecasting efforts from prior epidemics and COVID-19 predictions. European Journal of Epidemiology, 35(8), 727–729. https://doi.org/10.1007/s10654-020-00661-0
- Newbold P., Granger C.W.J. (1974) Experience with Forecasting Univariate Time Series and the Combination of Forecasts. Journal of the Royal Statistical Society. Series A (General), 137(2), 131–165. https://doi.org/10.2307/2344546
- Osipov V., Kuleshov S., Zaytseva A., Levonevskiy D., Miloserdov D. (2021) Neural network forecasting of news feeds. Expert Systems with Applications, 169, 114521. https://doi.org/10.1016/j.eswa.2020.114521
- Papa A., Mital M., Pisano P., Del Giudice M. (2020) E-health and wellbeing monitoring using smart healthcare devices: An empirical investigation. Technological Forecasting and Social Change, 153, 119226. https://doi.org/10.1016/j.techfore.2018.02.018
- Qazi A., Qazi J., Naseer K., Zeeshan M., Hardaker G., Maitama J.Z., Haruna K. (2020) Analyzing situational awareness through public opinion to predict adoption of social distancing amid pandemic COVID-19. Journal of Medical Virology, 92(7), 849–855. https://doi.org/10.1002/jmv.25840
- Tiwari P.K., Rai R.K., Khajanchi S., Gupta R.K., Misra A.K. (2021) Dynamics of coronavirus pandemic: Effects of community awareness and global information campaigns. The European Physical Journal Plus, 136(10), 994. https://doi.org/10.1140/epjp/s13360-021-01997-6
- Wu Q., Fu X., Small M., Xu X.-J. (2012) The impact of awareness on epidemic spreading in networks. Chaos: An Interdisciplinary Journal of Nonlinear Science, 22(1), 013101. https://doi.org/10.1063/1.3673573
- Zhou W., Wang A., Xia F., Xiao Y., Tang S. (2020) Effects of media reporting on mitigating spread of COVID-19 in the early phase of the outbreak. Mathematical Biosciences and Engineering, 17(3), 2693–2707. doi: 10.3934/mbe.2020147
Supplementary files







