Diagnostic accuracy of pancreatic fibrosis grading with artificial intelligence: a single-center experience
- Authors: Karnaukhov N.S.1, Shurygina E.I.1, Voloshin M.V.1, Makarenko N.V.1, Sogomonyan M.G.1, Nikonova Y.B.1, Dubtsova E.A.1, Vinokurova L.V.1, Lesko K.A.1, Bordin D.S.1,2,3, Khomeriki S.G.1, Khatkov I.E.1,2
-
Affiliations:
- A.S. Loginov Moscow Clinical Scientific Center
- Russian University of Medicine
- Tver State Medical University
- Issue: Vol 52, No 7 (2024)
- Pages: 367-376
- Section: ARTICLES
- URL: https://journal-vniispk.ru/2072-0505/article/view/280035
- DOI: https://doi.org/10.18786/2072-0505-2024-52-038
- ID: 280035
Cite item
Full Text
Abstract
Background: Chronic pancreatitis is a long-term fibro-inflammatory disease of the pancreas that worsens the quality of life of patients and is associated with life-threatening complications. Chronic pancreatitis is based on fibro-inflammatory changes in the tissue of the pancreas. The necessity of a more accurate identification of early fibrosis is related to discrepancies in assessments done with conventional visual scales.
Aim: To evaluate the diagnostic accuracy of existing scales for visual assessment of the degree of pancreatic fibrosis compared to the techniques of whole-slide images (WSI) digital analysis.
Methods: The morphometric analysis of the assessment of pancreatic fibrosis grade was carried out in the postoperative material from 118 patients with the use of two assessment semi-quantitative visual scales (those proposed by G. Klöppel & B. Maillet in 1991 and by O. V. Paklina et al. in 2011), as well as with the use of the digital image marking in the ASAP software and an artificial intelligence algorithm in the QuPath software. Both intralobular and perilobular fibrosis grades were assessed, as well as their integrative index (II).
Results: The assessment of pancreatic fibrosis with a 12-point rating system (II) according to Klöppel & Maillett showed the following distribution: low grade fibrosis (LF), 55.9% of the cases, moderate fibrosis (MF), 25.4%, severe fibrosis (SF), 16.1%, no fibrosis (NF), 2.5% of the cases. According to the Paklina et al. scale, the results were as follows: LF, 66.1%, MF, 15.2%, SF, 12.7%, and NF, 5.9% of the cases. The comparison of the classical systems revealed a mismatch in the fibrosis grade in 27.9% of the cases; this resulted in the use of more objective methods for the WSI digital analysis. When comparing the average percentage of fibrosis area detected with ASAP with the fibrosis level according to Klöppel & Maillett, the data were distributed as follows: with LF, the mean fibrosis area by ASAP was 6.9%, with MF, the fibrosis area was 30%, and with SF, 65%. Similarly, when counting cells in QuPath the following values were obtained: LF, 8.2%, MF, 27.9%, SF, 69.3%. The use of the WSI digital image analysis showed a higher concordance between them (R = 0.937) relative to the comparison between the classical rating scales (R = 0.811). When comparing the methods for assessment of fibrosis for the accurate diagnosis of chronic pancreatitis with ROC analysis, the best result was shown by the cell counting method with QuPath (AUC = 0.943). The method of area calculation with ASAP showed the AUC of 0.910, the classical Klöppel & Maillett method demonstrated the AUC of 0.879 and the assessment according to Paklina et al. showed the AUC of 0.808.
Conclusion: the WSI digital analysis has higher and significant concordance and diagnostic accuracy; therefore it can be used in clinical practice.
Full Text
Фиброз поджелудочной железы – состояние, при котором происходит замещение нормальных структур соединительной (рубцовой) тканью, не выполняющей функции паренхимы органа. Фиброз развивается при возрастной инволюции поджелудочной железы, а также сопровождает ряд патологических процессов, прежде всего воспалительных и неопластических, потенцируя физиологическую недостаточность органа и усугубляя течение основного заболевания [1–3]. Первоначально фиброз возникает перилобулярно (в междольковых пространствах), сдавливая протоки и сосудисто-нервные пучки, что ухудшает трофику и вызывает гипоксию, а затем распространяется интралобулярно – внутрь ацинарных структур с частичным или полным их замещением, постепенно замещает паренхиму, что, в свою очередь, снижает способность к регенерации и функциональную активность поджелудочной железы [4, 5].
Хронический панкреатит (ХП) – самая частая причина фиброза ткани поджелудочной железы – представляет собой сложный фиброзно-воспалительный процесс с многочисленными этиологическими факторами. В зависимости от механизмов развития хронического воспаления выделяют алкогольный, метаболический, аутоиммунный, наследственный, обструктивный, перитуморальный, парадуоденальный и идиопатический панкреатит [1, 5–8]. Фиброз играет важную роль в диагностической триаде ХП, наряду с атрофией ацинарных клеток и изменениями в протоках. В то же время другие морфологические признаки неаутоиммунного ХП, такие как белковые пробки в протоках, интралюминальные кальцинаты, плоскоклеточная метаплазия, псевдокисты, агрегация островков Лангерганса, пролиферация нервных стволиков и утолщение сосудистых стенок, встречаются реже [1, 7, 8].
Фиброз также наблюдается при опухолях поджелудочной железы, при этом выраженный фиброз выступает как неблагоприятный прогностический фактор, снижающий общую и безрецидивную выживаемость пациентов вследствие увеличенного риска метастазирования и низкой чувствительности к химиотерапии [2, 3, 9].
Высокая распространенность заболеваний поджелудочной железы с фиброзом обусловила необходимость точной морфологической оценки степени фиброза органа для прогностических и терапевтических целей [1]. Наиболее распространенная полуколичественная система оценки фиброза была предложена G. Klöppel, B. Maillet в 1991 г. [10]. В этой системе различают перилобулярный и интралобулярный фиброз [1, 8]. Оценка проводится по шкале от 1 (слабый фокальный фиброз) до 6 (выраженный диффузный фиброз), «0» означает отсутствие фиброза. Слабый интралобулярный фиброз характеризует замещение 10–40% ацинарных структур, умеренный – 40–80%, выраженный – более 80%. Интегральный показатель (ИП) фиброза, который представляет собой сумму баллов интралобулярного и перилобулярного фиброза, варьирует от 1 до 12, что позволяет выделить три степени: легкую (до 6 баллов), умеренную (7–9 баллов) и тяжелую (10–12 баллов) [8, 11–13].
Визуальная патоморфологическая оценка фиброза поджелудочной железы в настоящее время признана наиболее точной, хотя и имеет ряд недостатков: необходимость инвазивного вмешательства, морфологическая гетерогенность патологического процесса, неполная воспроизводимость между исследователями, связанная с интерпретацией результата и некоторой долей субъективизма в оценке степени фиброза. Перспективным в преодолении последней проблемы видится применение искусственного интеллекта в патоморфологии.
Искусственный интеллект – область исследований, разрабатывающих компьютерные системы, имитирующие человеческое мышление. Современные системы основаны на технологии машинного обучения, в основу которого заложены алгоритмы адаптации к новой задаче без перепрограммирования (без участия человека) путем распознавания шаблонов из предоставленных данных. Возможность сканирования и получения цифровых изображений в патологической анатомии открыла новое направление – цифровую патоморфологию [14, 15]. QuPath – это программное обеспечение для анализа биоизображений, разработанное как решение с открытым исходным кодом для цифровой патоморфологии, которое можно использовать для широкого спектра приложений анализа изображений в биомедицинских исследованиях [15].
Цель – оценить диагностическую точность существующих шкал визуальной оценки степени фиброза поджелудочной железы по сравнению с цифровым анализом изображений.
Материал и методы
Проспективное наблюдательное диагностическое исследование проведено на базе патологоанатомического отделения и отдела патологии поджелудочной железы, желчных путей и верхних отделов пищеварительного тракта ГБУЗ «Московский клинический научный центр имени А.С. Логинова Департамента здравоохранения города Москвы» (ГБУЗ МКНЦ имени А.С. Логинова ДЗМ). Исследование выполнено на послеоперационном материале пациентов, набранных в период с марта 2022 по апрель 2024 г. Критерии включения в исследование: мужчины и женщины в возрасте от 18 до 85 лет, которым показано оперативное вмешательство при новообразованиях поджелудочной железы в объеме панкреатодуоденальной резекции. Критерии невключения: противопоказания к проведению панкреатодуоденальной резекции, иной объем оперативного вмешательства на поджелудочной железе (тотальная панкреатэктомия, дистальная резекция поджелудочной железы, энуклеация опухолей поджелудочной железы), острый панкреатит. Критерии исключения: субтотальное поражение опухолью с невозможностью извлечь в послеоперационном материале интактную ткань поджелудочной железы на расстоянии не менее 1 см от опухоли; отказ от продолжения участия в исследовании.
Исследование проведено с соблюдением этических норм, изложенных в Хельсинкской декларации Всемирной медицинской ассоциации; одобрено на заседании локального этического комитета ГБУЗ МКНЦ имени А.С. Логинова ДЗМ (протокол № 4/2022 от 21.04.2022). Все участники исследования подписали информированное согласие.
Дизайн исследования построен согласно рекомендациям по составлению отчетов о диагностической точности (англ. Standards for Reporting Diagnostic Accuracy – STARD 2015), которые согласуются со стандартом представления результатов клинических исследований (англ. Consolidated Standards of Reporting Trials – CONSORT 2010).
Диагноз ХП установлен у 67 пациентов на основании клинико-инструментальных данных, согласно актуальным клиническим рекомендациям Минздрава России1, с дальнейшей морфологической верификацией на операционном материале.
Материал ткани поджелудочной железы с опухолью изучали с применением гистологического метода исследования по стандартным методикам. Все гистологические препараты переводили в цифровой формат svs с помощью сканера гистологических препаратов Leica GT 450 DX (Германия). Вырезку поджелудочной железы осуществляли по протоколу Колледжа американских патологов (англ. College of American Pathologists – CAP). Во время вырезки патолог исследовал на разрезе интактную ткань поджелудочной железы вне опухоли и на расстоянии не менее 1 см от опухоли в участке наибольшей плотности вырезал фрагмент ткани размером 1 × 1 × 0,3 см для дальнейшей оценки степени фиброза поджелудочной железы. Оперативные вмешательства выполнены по поводу протоковой аденокарциномы поджелудочной железы, фиброзные изменения были предсуществующим процессом, который также мог способствовать развитию злокачественного новообразования. Таким образом, фиброзные изменения были проявлением хронического панкреатита, а не десмопластической реакции стромы самой опухоли.
Морфометрический анализ проводили путем оценки степени фиброза ткани поджелудочной железы полуколичественным методом в препаратах, окрашенных гематоксилином Майера и эозином, с применением двух оценочных шкал: G. Klöppel, B. Maillet (1991) [1, 10] и О.В. Паклиной и соавт. (2011) [11] (табл. 1, 2). Использовали такие параметры, как степень интралобулярного и перилобулярного фиброза и их ИП.
Таблица 1. Критерии оценки степени фиброза по G. Klöppel и B. Maillet (1991) [1, 10]
Паттерны фиброза | Выраженность фиброза, баллы | ||
слабый | умеренный | выраженный | |
Перилобулярный фиброз: | |||
фокальный | 1 | 2 | 3 |
диффузный | 4 | 5 | 6 |
Интралобулярный фиброз*: | |||
фокальный | 1 | 2 | 3 |
диффузный | 4 | 5 | 6 |
Интегративный показатель | Легкая степень фиброза | ≤ 6 | |
Умеренная степень фиброза | 7–9 | ||
Тяжелая степень фиброза | 10–12 | ||
* Доля ацинарных клеток, замещенных фиброзом: от 10 до 40% – легкая степень интралобулярного фиброза, от 40 до 80% – умеренная степень интралобулярного фиброза, от 80 до 100% – тяжелая степень интралобулярного фиброза
Таблица 2. Критерии оценки степени фиброза по О.В. Паклиной и соавт. (2011) [11]
Паттерны фиброза | Характеристика, баллы | ||||
Перилобулярный фиброз | Выраженность фиброза: | ||||
нет | слабый | умеренный | выраженный | ||
0 | 1 | 2 | 3 | ||
Интралобулярный фиброз | Количество ацинарных долек, замещенных фиброзом, %: | ||||
нет | < 25 | 25–50 | 50–75 | > 75 | |
0 | 1 | 2 | 3 | 4 | |
Интегративный показатель | Легкая степень фиброза | 3 | |||
Умеренная степень фиброза | 4–5 | ||||
Тяжелая степень фиброза | 6–7 | ||||
Морфометрический анализ выполняли «ручным способом» два эксперта в области патологии поджелудочной железы независимо друг от друга. В случае расхождения мнений о степени фиброза гистопрепарат оценивал третий эксперт. Итоговое решение принималось коллегиально экспертной группой. Кроме степени фиброза в тканях, оценивали долю жировой ткани, характер и выраженность воспалительной инфильтрации, атрофию ацинарной ткани, изменения протоков (эктазия, метаплазия, наличие белковых пробок). По совокупности вышеописанных морфологических признаков с учетом клинико-инструментальных данных у части пациентов устанавливали диагноз ХП.
Для валидации методов оценки фиброза с применением цифровых инструментов использовали программное обеспечение с открытым исходным кодом – Automated Slide Analysis Platform (ASAP, версия 2.2.0, https://computationalpathologygroup.github.io/ASAP). С помощью специальных инструментов разметки были выделены и аннотированы вручную следующие области фрагмента ткани поджелудочной железы: паренхиматозные дольки поджелудочной железы (P), фиброзная ткань (F), жировая ткань (L). Произведен расчет суммарной площади каждого из классов с дальнейшим вычислением процента фиброза (F%) по формуле:
F% = F / (F + P) × 100%.
Оценку степени фиброза методом полуавтоматического подсчета количества клеток выполняли, применяя алгоритмы искусственного интеллекта QuPath версии 0.4.0 (https://qupath.github.io). Выделены и предобучены с использованием модуля Train Object Classifier два класса: паренхима поджелудочной железы (P) (ацинарные клетки и островки Лангерганса) и клетки стромы (F) (фибробласты и клетки воспалительного инфильтрата). В исследованном фрагменте поджелудочной железы с помощью Cell Detection выделены контуры всех клеток с последующим разделением на два вышеописанных класса с помощью модуля Cell Detection Classifier. Рассчитано суммарное количество клеток каждого из классов с дальнейшим вычислением процента фиброза (F%) по формуле:
F% = F / (F + P) × 100%.
Анализ одного гистопрепарата занимал в среднем 6 минут. Использован персональный компьютер со следующими характеристиками производительности: процессор – Intel Xeon W-1250P 4.1 GHz, оперативная память – 32 GB, видеокарта – PNY NVIDIA Quadro P2000 12 GB.
Статистический анализ выполняли в программе SPSS 16.0 для Windows (SPSS Inc., США). Все значения р были двусторонними, р < 0,05 считали указанием на статистически значимое различие. Конкордантность между системами оценки фиброза устанавливали с помощью коэффициента корреляции Спирмена для количественных показателей (QuPath, ASAP) и рангового коэффициента корреляции Кендалла (Kendall's tau-b) для полуколичественного (порядкового) типа данных (шкалы G. Klöppel, B. Maillet и О.В. Паклиной и соавт.). Сравнение методов оценки фиброза поджелудочной железы относительно точности диагностики ХП проводили с помощью ROC-анализа (англ. receiver operating characteristic – рабочая характеристика приемника) с построением ROC-кривых, расчетом площадей под кривой (англ. area under curve – AUC) и определением чувствительности и специфичности.
Результаты
При визуальной оценке степени фиброза ткани поджелудочной железы по системе G. Klöppel, B. Maillet ИП демонстрировал слабо выраженный фиброз ткани поджелудочной железы в 66 (55,9%) случаях, умеренный – в 30 (25,4%), выраженный – в 19 (16,1%); фиброзные изменения отсутствовали у 2,5% пациентов. Перилобулярный фиброз, соответствовавший 1 баллу, выявлен в 27,1% случаев, 2 баллам – в 9,3%, 3 баллам – в 2,5%, 4 баллам – в 24,6%, 5 баллам – в 21,2%, 6 баллам – в 11,0% случаев. Интралобулярный фиброз, соответствовавший 1 баллу, обнаружен у 36,4% пациентов, 2 баллам – у 12,7%, 3 баллам – у 2,5%, 4 баллам – у 24,6%, 5 баллам – у 7,6%, 6 баллам – у 8,5% больных. Отсутствие перилобулярного и интралобулярного фиброза (0 баллов) зарегистрировано в 4,2 и 7,6% случаев соответственно.
Применение отечественной шкалы оценки степени фиброза поджелудочной железы (по О.В. Паклиной и соавт.) показало следующее распределение ИП: слабо выраженный фиброз выявлен в 78 (66,1%) случаях, умеренный – в 18 (15,2%), выраженный – в 15 (12,7%), фиброзные изменения отсутствовали у 7 (5,9%) пациентов. Перилобулярный фиброз, соответствовавший 1 баллу, определен в 48,3% случаев, 2 баллам – в 28,8%, 3 баллам – в 16,9%. Интралобулярный фиброз, соответствовавший 1 баллу, наблюдался у 57,6% пациентов, 2 баллам – у 13,6%, 3 баллам – у 5,9%, 4 баллам – у 7,6% больных. Отсутствие перилобулярного и интралобулярного фиброза (0 баллов) определено в 5,9 и 15,3% случаев соответственно.
При сопоставлении систем оценки степени фиброза G. Klöppel, B. Maillet и О.В. Паклиной и соавт. в 33 из 118 случаев (27,9%) отмечено расхождение по смежным группам ИП степени фиброза (табл. 3), что послужило стимулом для поиска более объективных и конкордантных методов исследования.
Таблица 3. Сопоставление систем оценки степени фиброза по G. Klöppel, B. Maillet и О.В. Паклиной и соавт. (красным выделены случаи расхождения по степени фиброза)
Ручная разметка и аннотирование цифровых гистологических препаратов позволяют свести к минимуму субъективизм оценки патолога и повысить точность диагностики. При разметке с использованием телемедицинской платформы ASAP (рис. 1А) средняя площадь фрагмента составила 114 мм2, при исключении площади жировой ткани средняя площадь ткани поджелудочной железы в исследованном фрагменте была 89 мм2. При сопоставлении среднего процента площади фиброза с уровнем фиброза по G. Klöppel, B. Maillet данные распределились следующим образом: при легкой степени фиброза площадь фиброза в ASAP составила в среднем 6,9%, при умеренной степени – 30%, при тяжелой степени – 65%. При отсутствии фиброза по системе G. Klöppel, B. Maillet в исследованных фрагментах площадь фиброзной ткани, составляющей нормальный стромальный каркас поджелудочной железы, была в среднем 1,3%.
Рис. 1. Пример оценки степени фиброза при помощи программного обеспечения, увеличение ×40: А – оценка на платформе ASAP методом ручной разметки паренхимы поджелудочной железы (красный контур) и зон фиброза (зеленый контур) (57%); Б – оценка в программе QuPath методом полуавтоматического подсчета количества клеток паренхимы поджелудочной железы (отмечены красным цветом) и клеток стромы (отмечены зеленым цветом) (60,5%)
При использовании программного обеспечения для цифровой патоморфологии QuPath проводили количественную оценку соотношения клеток (рис. 1Б). В одном образце ткани поджелудочной железы в ходе алгоритма Cell Detection анализировали в среднем 816 985 клеток (минимум – 67 776, максимум – 1 667 833), из которых паренхиматозные клетки (ацинарные клетки и островки Лангерганса) составили в среднем 573 996 (минимум – 12 138, максимум – 1 603 675), а клетки стромы (фибробласты и воспалительные клетки) – 242 998 (минимум – 4515, максимум – 1 329 486). При сопоставлении среднего процента площади фиброза при подсчете клеток в QuPath с уровнем фиброза по G. Klöppel, B. Maillet получены следующие данные: при легкой степени фиброза средний процент фиброза в QuPath составил 8,2%, при умеренной степени – 27,9%, при тяжелой степени – 69,3%. Гистологические типы клеток были объединены в минимально возможное количество групп (2) в связи с тем, что при увеличении количества классов при использовании алгоритма Cell Detection Classifier снижалась точность определения каждого класса.
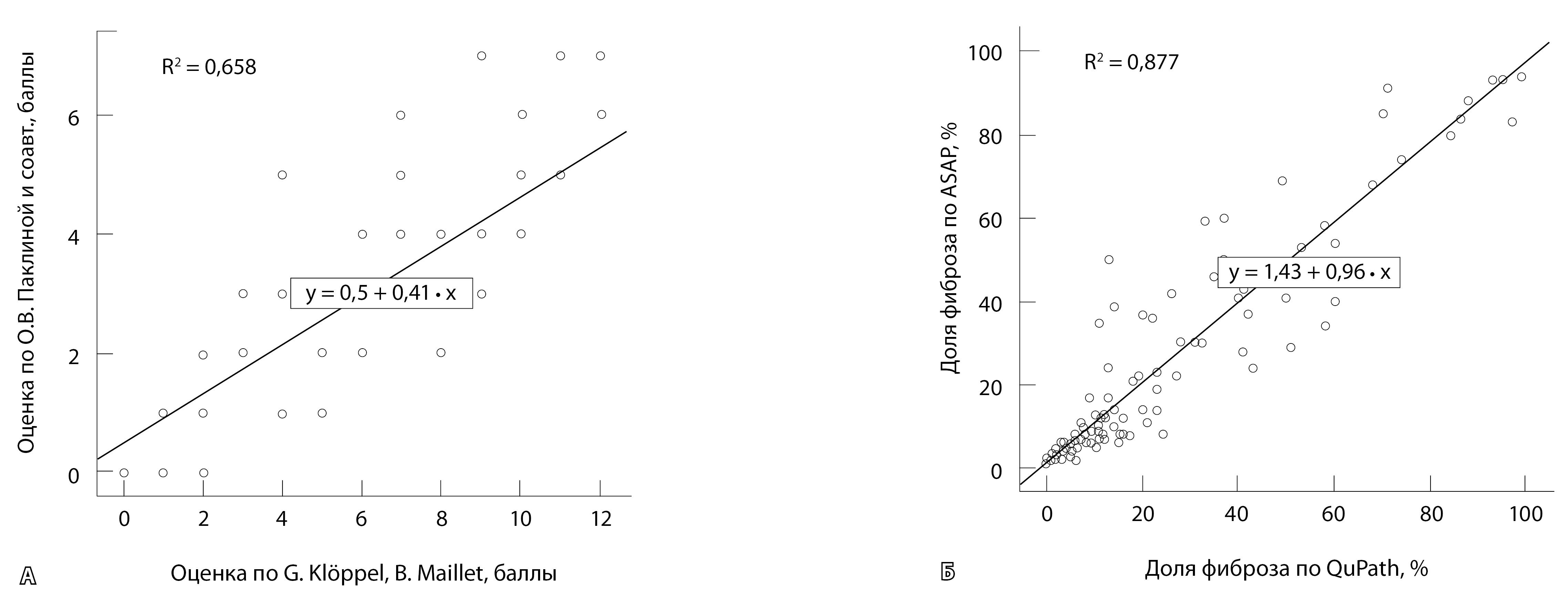
Проведен анализ конкордантности между классическими шкалами и цифровыми методами определения фиброза. При сопоставлении суммы баллов по шкалам G. Klöppel, B. Maillet и О.В. Паклиной и соавт. коэффициент корреляции (R) был равен 0,811, коэффициент детерминации (R-квадрат) – 0,658 (p < 0,001). При сопоставлении процента фиброза при оценке площадей в ASAP и по соотношению клеток в QuPath коэффициент корреляции (R) был равен 0,937, коэффициент детерминации (R-квадрат) – 0,877 (p < 0,001). Несмотря на отдельные случаи заметного расхождения мнений как при использовании классических шкал оценки фиброза, так и при цифровом анализе изображений, последние показали более сильную статистически значимую конкордантность (рис. 2).
Рис. 2. Диаграммы рассеивания (корреляции): А – положительная корреляция между оценками фиброза по G. Klöppel, B. Maillet и О.В. Паклиной и соавт.; Б – положительная корреляция между оценками процента фиброза по QuPath (подсчет клеток) и ASAP (подсчет площадей)
Для сравнения четырех методов оценки степени фиброза поджелудочной железы относительно точности диагностики ХП был проведен ROC-анализ (рис. 3, табл. 4) с определением чувствительности, специфичности и суммарной меры точности – площади под кривой (AUC). Оценка фиброза с помощью QuPath показала лучший результат (чувствительность – 89,4%, специфичность – 86,1%, AUC = 0,943). Оценка с помощью метода площадей на платформе ASAP также характеризовалась более высокими показателями (чувствительность – 78,2%, специфичность – 85,9%, AUC = 0,910) в сравнении с классическим методом оценки фиброза по шкале G. Klöppel, B. Maillet (чувствительность – 74,1%, специфичность – 85,0%, AUC = 0,879). Оценка фиброза по О.В. Паклиной и соавт. продемонстрировала в данном исследовании точность диагностики ХП на уровне AUC = 0,808 c чувствительностью 67,2% и специфичностью 83,6%, которые все еще считаются хорошими показателями.
Рис. 3. Сравнение ROC-кривых различных методов оценки фиброза относительно точности диагностики хронического панкреатита
Таблица 4. Диагностическая эффективность различных методов оценки фиброза поджелудочной железы (результаты ROC-анализа)
Метод оценки фиброза | Площадь под кривой | Стандартная ошибка | Чувствительность, % | Специфичность, % | p |
QuPath (подсчет клеток) | 0,943 | 0,021 | 89,4 | 86,1 | < 0,001 |
ASAP (подсчет площадей) | 0,910 | 0,025 | 78,2 | 85,9 | < 0,001 |
Оценка по G. Klöppel, B. Maillet | 0,879 | 0,031 | 74,1 | 85,0 | < 0,001 |
Оценка по О.В. Паклиной и соавт. | 0,808 | 0,039 | 67,2 | 83,6 | < 0,001 |
Обсуждение
Полуколичественные методы визуальной оценки фибротических изменений ткани поджелудочной железы имеют относительно высокую чувствительность и специфичность и рекомендованы к применению в практической деятельности врача. Однако сравнение двух классических визуальных шкал показало дисконкордантность в оценке степеней фиброза: расхождение в 27,9% случаев диктует необходимость пересмотра подходов к диагностике и внедрения более современных технологий. Различия результатов, полученных при использовании двух полуколичественных шкал степени фиброза, обусловлены в первую очередь принципиально разным подходом: при оценке по G. Klöppel, B. Maillet слабый диффузный фиброз получал больше баллов, чем выраженный и очаговый, тогда как при оценке по О.В. Паклиной и соавт. баллы суммировались в зависимости от выраженности процесса и площади поражения, поэтому слабый диффузный фиброз получал меньше баллов, чем выраженный и очаговый фиброз. Оценка фиброза по G. Klöppel, B. Maillet позволила более точно диагностировать ХП в сравнении с оценкой фиброза по О.В. Паклиной и соавт.
Методы количественного анализа степени фиброза ткани поджелудочной железы как с применением алгоритмов искусственного интеллекта, так и без него показали более сильную конкордантность, а также лучшую чувствительность и специфичность при определении ХП в сравнении с полуколичественными шкалами. Методом количественной оценки соотношения клеточных популяций (QuPath) получены лучшие результаты, чем методом оценки площадей (ASAP). Это может быть связано с более точной оценкой интралобулярного фиброза, так как алгоритмы искусственного интеллекта QuPath позволяют автоматически распознавать дискретно расположенные интралобулярные фибробласты, которые не были включены в подсчет при ручной разметке площадей в ASAP. Кроме того, в QuPath для адекватной работы классификатора потребовалось включение в подсчет фиброза клеточных элементов воспаления, что важно, поскольку в основе ХП лежат не только фиброзные, но и воспалительные изменения.
На текущий момент в литературе отсутствуют публикации, посвященные использованию искусственного интеллекта в оценке фиброза поджелудочной железы, однако описан сходный опыт оценки фиброза печени. Так, в исследовании I.I. Matalka и соавт. (260 пациентов, которым проведена биопсия печени) была впервые представлена автоматизированная система количественной оценки степени фиброза печени, разработанная на основе классической полуколичественной шкалы K.G. Ishak [16]. J. Hwang и соавт. предложили алгоритм оценки степени фиброза на основе сверточных нейронных сетей (англ. convolutional neural network – CNN), который был обучен не только на классических гистологических препаратах, окрашенных гематоксилином-эозином, но и на препаратах, дополнительно окрашенных по специальной гистохимической технике для выявления коллагеновых волокон (трихром по Массону) [17]. В работе H. Zhan и соавт. продемонстрированы результаты применения автоматизированной сети оценки фиброза печени (AutoFibroNet), которая при помощи многослойного персептрона объединяла результат анализа гистопрепарата искусственным интеллектом с клинико-инструментальными данными. Эта модель была проверена в двух независимых когортах и показала наилучшую точность диагностики в оценке фиброза печени (для стадий фиброза с F0 по F4 диапазон значений AUC составил от 0,8 до 1,0) [18]. В перспективе опыт, полученный авторами работ [16–18], можно будет применить и для улучшения цифровых методов оценки степени фиброза поджелудочной железы.
Таким образом, предложенные в текущем исследовании новые подходы к оценке фиброза поджелудочной железы могут улучшить результаты диагностики и, следовательно, качество жизни пациентов с ХП. В дальнейшем необходимо провести дополнительные исследования для оптимизации методов цифрового анализа и их интеграции в клиническую практику.
Заключение
Использование цифровых методов анализа изображений показало более высокую конкордантность в оценке фиброза и точность диагностики ХП по сравнению с традиционными визуальными шкалами. Недостатки при использовании цифровых методов анализа в первую очередь связаны с ограничениями доступности систем сканирования, просмотра цифровых изображений, отсутствием регламентирующих документов о порядке выполнения исследований в цифровом формате и хранения электронных изображений. Тем не менее после преодоления этих препятствий и при более широком внедрении цифровых технологий в практическую деятельность врачей-патологоанатомов системы разметки цифровых изображений гистологических препаратов тканей поджелудочной железы смогут повысить точность определения степени фиброза, а алгоритмы искусственного интеллекта сделают этот процесс более удобным и простым.
Дополнительная информация
Финансирование
Статья подготовлена в рамках реализации научно-практического проекта в сфере медицины «Оценка степени фиброза поджелудочной железы как фактора прогноза течения ее патологии» (соглашение № 2412-21/22 от 21.03.2022).
Конфликт интересов
Авторы декларируют отсутствие явных и потенциальных конфликтов интересов, связанных с публикацией настоящей статьи.
Участие авторов
Н.С. Карнаухов – концепция и дизайн исследования, анализ полученных данных, оценка случаев с расхождением мнений по показателю степени фиброза, редактирование рукописи; Е.И. Шурыгина – анализ и интерпретация результатов исследования, написание текста статьи; М.В. Волошин – ручная разметка отсканированных гистологических препаратов в программе ASAP, предобучение и анализ гистопрепаратов в программе QuPath, статистическая обработка данных, написание текста статьи; Н.В. Макаренко – формирование групп пациентов, сбор и обработка материалов, ручная разметка отсканированных гистологических препаратов в программе ASAP, анализ гистопрепаратов в программе QuPath, анализ и интерпретация результатов исследования; М.Г. Согомонян, Ю.Б. Никонова – оценка степени фиброза ткани поджелудочной железы с применением классических оценочных шкал; Е.А. Дубцова, Л.В. Винокурова, К.А. Лесько и Д.С. Бордин – сбор клинических данных, утверждение итогового варианта текста рукописи; С.Г. Хомерики – редактирование рукописи, утверждение итогового варианта текста рукописи; И.Е. Хатьков – утверждение итогового варианта текста рукописи. Все авторы прочли и одобрили финальную версию статьи перед публикацией, согласны нести ответственность за все аспекты работы и гарантируют, что ими надлежащим образом были рассмотрены и решены вопросы, связанные с точностью и добросовестностью всех частей работы.
1 Хронический панкреатит. Клинические рекомендации Минздрава России. 2020. Доступно по: https://cr.minzdrav.gov.ru/recomend/273_4 (дата обращения 04.10.2024).
About the authors
Nikolay S. Karnaukhov
A.S. Loginov Moscow Clinical Scientific Center
Email: n.karnaukhov@mknc.ru
ORCID iD: 0000-0003-0889-2720
MD, PhD, Head of the Pathology Department, Senior Research Fellow, Laboratory of Innovative Pathomorphology, Pathologist
Russian Federation, ul. Novogireevskaya 1, Moscow, 1111123Elena I. Shurygina
A.S. Loginov Moscow Clinical Scientific Center
Author for correspondence.
Email: e.shurygina@mknc.ru
ORCID iD: 0000-0002-0571-2803
MD, PhD, Pathologist, Pathology Department
Russian Federation, ul. Novogireevskaya 1, Moscow, 1111123Mark V. Voloshin
A.S. Loginov Moscow Clinical Scientific Center
Email: markvoloshin95@gmail.com
ORCID iD: 0000-0002-2302-3542
MD, Pathologist, Pathology Department
Russian Federation, ul. Novogireevskaya 1, Moscow, 1111123Nadezhda V. Makarenko
A.S. Loginov Moscow Clinical Scientific Center
Email: n.makarenko@mknc.ru
ORCID iD: 0000-0001-7990-3170
MD, Pathologist, Pathology Department
Russian Federation, ul. Novogireevskaya 1, Moscow, 1111123Maria G. Sogomonyan
A.S. Loginov Moscow Clinical Scientific Center
Email: m.sogomonyan@mknc.ru
ORCID iD: 0009-0006-8649-7493
MD, Pathologist, Pathology Department
Russian Federation, ul. Novogireevskaya 1, Moscow, 1111123Yulia B. Nikonova
A.S. Loginov Moscow Clinical Scientific Center
Email: yu.nikonova@mknc.ru
ORCID iD: 0000-0002-2606-4876
Russian Federation, ul. Novogireevskaya 1, Moscow, 1111123
Elena A. Dubtsova
A.S. Loginov Moscow Clinical Scientific Center
Email: e.dubtsova@mknc.ru
ORCID iD: 0000-0002-6556-7505
MD, PhD, Head of the Department of Pancreatic and Biliary Tract Pathology
Russian Federation, ul. Novogireevskaya 1, Moscow, 1111123Lyudmila V. Vinokurova
A.S. Loginov Moscow Clinical Scientific Center
Email: l.vinokurova@mknc.ru
ORCID iD: 0000-0002-4556-4681
MD, PhD, Leading Research Fellow, Department of Pancreatic and Biliary Tract Pathology
Russian Federation, ul. Novogireevskaya 1, Moscow, 1111123Konstantin A. Lesko
A.S. Loginov Moscow Clinical Scientific Center
Email: k.lesko@mknc.ru
ORCID iD: 0000-0001-9814-0172
MD, PhD, Radiologist, Radiology Department, Department of Radiation Diagnostics and Treatment
Russian Federation, ul. Novogireevskaya 1, Moscow, 1111123Dmitry S. Bordin
A.S. Loginov Moscow Clinical Scientific Center; Russian University of Medicine; Tver State Medical University
Email: dbordin@mail.ru
ORCID iD: 0000-0003-2815-3992
SPIN-code: 6331-6323
Scopus Author ID: 6602087114
MD, PhD, Head of the Department of Pathology of the Pancreas, Bile Ducts and Upper Digestive Tract; Professor, Chair of Propaedeutics of Internal Diseases and Gastroenterology; Professor, Chair of General Medical Practice (Family Medicine), Internship and Residency
Russian Federation, ul. Novogireevskaya 1, Moscow, 1111123; ul. Dolgorukovskaya 4, Moscow, 127006; ul. Sovetskaya 4, Tver, 170100Sergey G. Khomeriki
A.S. Loginov Moscow Clinical Scientific Center
Email: xomep@mail.ru
ORCID iD: 0000-0003-4308-8009
MD, PhD, Professor, Head of the Laboratory of Innovative Pathomorphology
Russian Federation, ul. Novogireevskaya 1, Moscow, 1111123Igor E. Khatkov
A.S. Loginov Moscow Clinical Scientific Center; Russian University of Medicine
Email: i.hatkov@mknc.ru
ORCID iD: 0000-0003-3107-3731
MD, PhD, Professor, Academician of Russ. Acad. Sci., Director; Head of the Chair of Faculty Surgery of the Medical Faculty
Russian Federation, ul. Novogireevskaya 1, Moscow, 1111123; ul. Dolgorukovskaya 4, Moscow, 127006References
- Esposito I, Hruban RH, Verbeke C, Terris B, Zamboni G, Scarpa A, Morohoshi T, Suda K, Luchini C, Klimstra DS, Adsay V, Haeberle L, Saluja A, Fernandez-Del Castillo C, Sheel A, Neoptolemos JP, Isaji S, Shimosegawa T, Whitcomb DC, Campbell F; Working group for the International (IAP – APA – JPS – EPC) Consensus Guidelines for Chronic Pancreatitis. Guidelines on the histopathology of chronic pancreatitis. Recommendations from the working group for the international consensus guidelines for chronic pancreatitis in collaboration with the International Association of Pancreatology, the American Pancreatic Association, the Japan Pancreas Society, and the European Pancreatic Club. Pancreatology. 2020;20(4):586–593. doi: 10.1016/j.pan.2020.04.009.
- Lee JM, Kim HS, Lee M, Park HS, Kang S, Nahm JH, Park JS. Association between pancreatic fibrosis and development of pancreoprivic diabetes after pancreaticoduodenectomy. Sci Rep. 2021;11(1):23538. doi: 10.1038/s41598-021-02858-z.
- Thiruvengadam SS, Chuang J, Huang R, Girotra M, Park WG. Chronic pancreatitis changes in high-risk individuals for pancreatic ductal adenocarcinoma. Gastrointest Endosc. 2019;89(4):842–851.e1. doi: 10.1016/ j.gie.2018.08.029.
- Suda K. Pathogenesis and progression of human pancreatic fibrosis. Med Electron Microsc. 2000;33(4):200–206. doi: 10.1007/s007950000020.
- Zhang W, Zhang S, Zhang W, Yue Y, Qian W, Wang Z. Matrix stiffness and its influence on pancreatic diseases. Biochim Biophys Acta Rev Cancer. 2021;1876(1):188583. doi: 10.1016/ j.bbcan.2021.188583.
- Huang CT, Lin CK, Lee TH, Liang YJ. Pancreatic fibrosis and chronic pancreatitis: Mini-review of non-histologic diagnosis for clinical applications. Diagnostics (Basel). 2020;10(2):87. doi: 10.3390/diagnostics10020087.
- Piersma B, Hayward MK, Weaver VM. Fibrosis and cancer: A strained relationship. Biochim Biophys Acta Rev Cancer. 2020;1873(2):188356. doi: 10.1016/j.bbcan.2020.188356.
- Shurygina EI, Makarenko NV, Karnaukhov NS, Nikonova YuB, Dubtsova EA, Vinokurova LV, Lesko KA, Khomeriki SG, Bordin DS, Khatkov IE. [Methods of pancreatic fibrosis assessment]. Russian Journal of Evidence-Based Gastroenterology. 2024;13(1):48–57. Russian. doi: 10.17116/dokgastro20241301148.
- Thomas D, Radhakrishnan P. Tumor-stromal crosstalk in pancreatic cancer and tissue fibrosis. Mol Cancer. 2019;18(1):14. doi: 10.1186/s12943-018-0927-5.
- Klöppel G, Maillet B. Pseudocysts in chronic pancreatitis: a morphological analysis of 57 resection specimens and 9 autopsy pancreata. Pancreas. 1991;6(3):266–274.
- Paklina OV, Chekmarjova IA, Setdikova GR, Nikitin PN, Shabunin AV, Bedin VV, Tavobilov MM. [The neural trunk lesions in chronic pancreatitis]. Annals of HPB Surgery. 2011;16(3):95–101. Russian.
- Wellner UF, Kayser G, Lapshyn H, Sick O, Makowiec F, Höppner J, Hopt UT, Keck T. A simple scoring system based on clinical factors related to pancreatic texture predicts postoperative pancreatic fistula preoperatively. HPB (Oxford). 2010;12(10):696–702. doi: 10.1111/j.1477-2574.2010.00239.x.
- Khatkov IE, Bordin DS, Lesko KA, Dubtsova EA, Karnaukhov NS, Kiriukova MA, Makarenko NV, Dorofeev AS, Savina IV, Salimgereeva DA, Shurygina EI, Vinokurova LV. Contrast-enhanced computed tomography and laboratory parameters as non-invasive diagnostic markers of pancreatic fibrosis. Diagnostics (Basel). 2023;13(14):2435. doi: 10.3390/diagnostics13142435.
- Shelekhova KV. [Opportunities and prospects of artificial intelligence in the pathological identification of cancer]. Practical oncology. 2022;23(4):234–238. Russian.
- Bankhead P, Loughrey MB, Fernández JA, Dombrowski Y, McArt DG, Dunne PD, McQuaid S, Gray RT, Murray LJ, Coleman HG, James JA, Salto-Tellez M, Hamilton PW. QuPath: Open source software for digital pathology image analysis. Sci Rep. 2017;7(1):16878. doi: 10.1038/s41598-017-17204-5.
- Matalka II, Al-Jarrah OM, Manasrah TM. Quantitative assessment of liver fibrosis: A novel automated image analysis method. Liver Int. 2006;26(9):1054–1064. doi: 10.1111/j.1478-3231.2006.01341.x.
- Hwang JH, Lim M, Han G, Park H, Kim YB, Park J, Jun SY, Lee J, Cho JW. Preparing pathological data to develop an artificial intelligence model in the nonclinical study. Sci Rep. 2023;13(1):3896. doi: 10.1038/s41598-023-30944-x.
- Zhan H, Chen S, Gao F, Wang G, Chen SD, Xi G, Yuan HY, Li X, Liu WY, Byrne CD, Targher G, Chen MY, Yang YF, Chen J, Fan Z, Sun X, Cai G, Zheng MH, Zhuo S; CHESS-MAFLD consortium. AutoFibroNet: A deep learning and multi-photon microscopy-derived automated network for liver fibrosis quantification in MAFLD. Aliment Pharmacol Ther. 2023;58(6):573–584. doi: 10.1111/apt.17635.
Supplementary files









