Assessment of the heart rate variability and cardiac biomarkers in young athletes: a cross-sectional study
- Authors: Lukyanchik Y.D.1, Chernysheva T.V.1, Malinina E.I.1,2, Gapon L.I.1, Petelina T.I.1, Leonovich S.V.1, Zuyeva Y.V.1, Lykasova E.A.1
-
Affiliations:
- Tyumen Cardiology Research Center, Tomsk National Research Medical Center, Russian Academy of Science
- Tyumen State Medical University
- Issue: Vol 53, No 1 (2025)
- Pages: 34-42
- Section: ARTICLES
- URL: https://journal-vniispk.ru/2072-0505/article/view/285171
- DOI: https://doi.org/10.18786/2072-0505-2025-53-003
- ID: 285171
Cite item
Full Text
Abstract
Background: Active athletic activity can occasionally trigger the development of cardiovascular diseases, especially in highly dynamic sports. Athletes who perform their training in cold climatic conditions are at risk of exhaustion of the functional reserve of the body and the sports-associated overstrain.
Aim: To determine the characteristics of heart rate variability (HRV) and cardiac biomarkers in young hockey and football players in the Far North, to search for predictors of pathological myocardial remodeling.
Methods: This was an observational cross-sectional study in 160 boys aged 12 to 17 with health groups II to III performed in the Children's Health Center of the Novourengoy Central Regional Hospital in Spring 2022. We performed a standard electrocardiography (ECG) and 24-hour ECG monitoring, echocardiography (EchoCG), and blood sampling for markers of myocardial damage, endothelial dysfunction, and proteolysis. The study group consisted of 86 children involved in hockey and football, and the control group consisted of 74 teenagers not going in for active sports.
Results: The median values of the primary waves and intervals on the standard ECG were within the normal range in both groups. The 24-hour ECG monitoring showed significant differences between the study groups for average heart rate (84 [78; 91] vs. 93 [83; 100], p < 0.001) and maximal heart rate (150 [128; 159] vs. 159 [147; 184], p = 0.001). The proportion of children with reduced HRV in the control group was significantly higher than in the athlete group (64.2% vs. 36.4%). Median levels of the myocardial damage markers were within the reference ranges in all study children, with lactate dehydrogenase (p = 0.034), aspartate aminotransferase (p = 0.001), and troponin I (p = 0.011) levels being significantly lower in the athlete group. As for the EchoCG parameters, there was a 1.2-fold increase in the left ventricular mass index and the right ventricular systolic area in the athletes compared to the control group (p < 0.001). According to the ROC analysis, the cut-off value of matrix metalloproteinase 2 predictive for the high risk of myocardial remodeling in the athletes was > 337.49 ng/mL, with sensitivity of 75% and specificity of 87.2%.
Conclusion: The matrix metalloproteinase 2 levels above 337.49 ng/mL and low HRV may be considered as risk factors for myocardial remodeling in athletes with borderline electrocardiographic and echocardiographic parameters.
Full Text
У молодых спортсменов частота внезапной сердечной смерти варьирует от 0,24 до 6,8 на 100 тыс. детей [1, 2]. Физические упражнения могут служить пусковым фактором возникновения критических кардиальных событий у атлетов, имеющих наследственную или врожденную аномалию сердца, не диагностированную до начала тренировочного процесса [3]. Неблагоприятные события встречаются значительно чаще в футболе и хоккее, чем в других видах спорта [4], поэтому особое внимание следует уделять поиску методов доклинической диагностики патологических состояний и дифференциальной диагностики различных признаков спортивного перенапряжения, органной патологии именно в этой когорте спортсменов.
Показатели вариабельности ритма сердца (ВРС) рассматривают как предикторы патологических состояний сердечно-сосудистой системы (ССС) [5]. Ремоделирование миокарда, существенным компонентом которого является фиброз [6], относят к числу значимых факторов, влияющих на ВРС [7–9]. Соотношение матриксных металлопротеиназ (ММП) (в частности, ММП-1, ММП-2, ММП-9) и их тканевых ингибиторов (ТИМП) участвует в формировании ремоделирования сердечной мышцы, играя важную роль в разрушении компонентов внеклеточного матрикса, внутриклеточной деградации тяжелых цепей миозина, модуляции передачи сигналов с цитокинов [10– 12]. В диагностике патологической перестройки миокарда используются кардиальные биомаркеры, такие как тропонин I, мозговой натрийуретический пептид (англ. N-terminal pro-brain natriuretic peptide, NT-proBNP), креатинфосфокиназа-МВ (КФК-МВ) [13].
Помимо интенсивных физических нагрузок на здоровье атлета влияет окружающая среда. Так, спортсмены, тренирующиеся в холодных климатических условиях, подвергаются повышенному риску истощения функциональных резервов организма и спортивного перенапряжения [14–16]. В связи с вышесказанным представляет научный интерес изучение вегетативной регуляции сердечного ритма и биохимических маркеров повреждения миокарда как возможных предикторов патологических состояний у юных атлетов, занимающихся высокодинамичными видами спорта в условиях Крайнего Севера.
Цель – определить особенности ВРС и кардиальных биомаркеров у юных хоккеистов и футболистов Крайнего Севера для поиска предикторов патологического ремоделирования миокарда.
Материал и методы
В рамках исследования поперечного типа обследованы 160 мальчиков 12–17 лет I–II группы здоровья, проживающих в Новом Уренгое. Обследование проведено в 2022 г. на базе Центра здоровья детей Новоуренгойской центральной областной больницы. Группу исследования составили 86 юных спортсменов, контрольную группу – 74 подростка, не занимающихся активными видами спорта.
Критерии включения: подписанное информированное добровольное согласие; возраст ≥ 12 лет и < 18 лет; I и II группа здоровья; виды спорта – футбол и хоккей на 3, 4, 5-м этапах спортивной подготовки; количество тренировок ≥ 5 в неделю, продолжительностью ≥ 1,5–2 часов; тренировочный стаж ≥ 5 лет. Критерии невключения: инфекционные заболевания в активной фазе; установленный диагноз врожденного порока сердца или генетически детерминированной кардиомиопатии.
Подросткам проведена стандартная электрокардиография (ЭКГ) с оценкой частоты сердечных сокращений (ЧСС), продолжительности основных зубцов и интервалов (P, PR, QRS, QTc, рассчитанный по формуле Базетта), холтеровское мониторирование ЭКГ (ХМ-ЭКГ) с оценкой ВРС и ЧСС; эхокардиография (Эхо-КГ) c определением размеров полостей сердца, толщины стенок (с оценкой по Z-score с использованием калькулятора, расположенного на сайте Научно-исследовательского института кардиологии Томского национального исследовательского медицинского центра: https://el.cardio-tomsk.ru/ChildCalc) и индекса массы миокарда левого желудочка (ИММЛЖ); а также забор крови на гормональный и биохимический профиль (уровень NT-proBNP, тропонина I, КФК-МВ, высокочувствительного С-реактивного белка (вчСРБ), аспартатаминотрансферазы (АСТ), лактатдегидрогеназы (ЛДГ), матриксных металлопротеиназ и их тканевых ингибиторов – ММП-1, -2, -9, ТИМП-1, -2, -4, выполненный методом иммуноферментного анализа. Анализ ВРС производили автоматически в ходе ХМ-ЭКГ с оценкой следующих временны`х и спектральных показателей: SDNN – стандартное отклонение всех NN-интервалов (промежутков между последовательными ударами сердца); SDNNi – среднее значение стандартных отклонений NN-интервалов, вычисленных по 5-минутным промежуткам в течение всей записи; RMSSD – корень из средней квадратичной разницы между последовательными NN-интервалами; pNN50 – процент последовательных NN-интервалов, отличающихся более чем на 50 миллисекунд; AVNN – средняя длительность NN-интервалов; СВВР – средневзвешенная вариация ритмограммы; VLF – очень низкочастотный спектральный диапазон; LF – низкочастотный спектральный диапазон, HF – высокочастотный спектральный диапазон.
Протокол исследования и форма информированного согласия одобрены комитетом по биомедицинской этике Тюменского кардиологического научного центра – филиала Томского национального медицинского исследовательского центра Российской академии наук (протокол № 163 от 06.11.2020). Получено добровольное информированное согласие подростков и их законных представителей.
Для описания данных, не соответствующих нормальному распределению, использовали медиану и квартили (первый и третий) в формате Me [Q1; Q3]. Статистическую значимость различий между анализируемыми показателями оценивали с помощью непараметрического U-теста Манна – Уитни. Для выявления взаимосвязей между переменными применяли ранговую корреляцию, используя коэффициент Спирмена. Для оценки диагностической значимости отдельных параметров проведен ROC-анализ с определением точек отсечения. Расчет и оценку отношения шансов и его 95% доверительного интервала (ДИ) выполняли с помощью однофакторной логистической регрессии. Критическим уровнем значимости (р) считали 0,05. Математическая обработка материала проведена с использованием статистического пакета Statistica 12, IBM SPSS Statistics 26.
Результаты
При анализе данных медиана показателей основных зубцов и интервалов ЭКГ находилась в пределах общепринятой возрастной нормы [17] в обеих группах, тем не менее у 15,1% спортсменов и у 8,2% детей, не занимающихся спортом, зафиксированы изменения (табл. 1). При интерпретации результатов ХМ-ЭКГ в группе юных спортсменов в сравнении с контрольной группой выявлено снижение средних (дневных и ночных) и максимальных (дневных и ночных) значений ЧСС в отсутствие различий между минимальными показателями (табл. 2). Сравнительная характеристика показателей временно`го анализа ВРС между двумя группами показала, что более высокие значения всех анализируемых параметров были у юных спортсменов (рис. 1). При программном автоматическом анализе процент снижения ВРС был значительно выше в группе детей, не занимающихся спортом, – 64,2%; у спортсменов данный показатель (снижение ВРС) составил 36,4%. При спектральном анализе показатели ВРС оказались выше у юных атлетов, чем в контрольной группе (табл. 3). Общая мощность спектра (TP) у спортсменов в 1,5 раза превышала аналогичный показатель у подростков, не занимающихся спортом (p = 0,016). Индекс вагосимпатического взаимодействия (LF/HF) не различался между группами, что указывает на равный вклад высокочастотного (HF) и низкочастотного компонента (LF) в общую ВРС.
Таблица 1. Электрокардиографические изменения, регистрируемые у подростков 12–17 лет
Параметр | Количество пациентов, абс. (%) | Значение р | |
группа спортсменов (n = 86) | контрольная группа (n = 74) | ||
Удлинение интервала QTc ≥ 440 мс | 2 (2,3) | 0 | 0,187 |
Брадикардия < 2-го перцентиля | 5 (5,8) | 3 (4,1) | 0,611 |
Нарушение процессов реполяризации желудочков | 4 (4,7) | 3 (4,1) | 0,854 |
Атриовентрикулярная блокада I степени | 2 (2,3) | 0 | 0,187 |
Данные представлены как абсолютное число пациентов и их доля (%) в группе
Таблица 2. Частота сердечных сокращений у подростков 12–17 лет по данным суточного мониторирования электрокардиограммы
Параметр, Me [Q1; Q3], уд/мин | Группа спортсменов (n = 86) | Контрольная группа (n = 74) | Значение р |
ЧСС средняя дневная | 84 [78; 91] | 93 [83; 100] | < 0,001 |
ЧСС минимальная дневная | 56 [52; 61] | 59 [52; 65] | 0,118 |
ЧСС максимальная дневная | 150 [128; 159] | 159 [147; 184] | 0,001 |
ЧСС средняя ночная | 60 [55; 64] | 65 [59; 70] | < 0,001 |
ЧСС минимальная ночная | 49 [47; 55] | 52 [46; 55] | 0,568 |
ЧСС максимальная ночная | 94 [86; 107] | 113 [103; 120] | < 0,001 |
ЧСС – частота сердечных сокращений
Рис. 1. Медиана показателей вариабельности ритма сердца (ВРС) у подростков Крайнего Севера 12–17 лет. AVNN – средняя длительность NN-интервалов; pNN50 – процент последовательных NN-интервалов, отличающихся более чем на 50 мс; RMSSD – корень из средней квадратичной разницы между последовательными NN-интервалами; SDNN – стандартное отклонение всех NN-интервалов (промежутков между последовательными ударами сердца); SDNNi – среднее значение стандартных отклонений NN-интервалов, вычисленных по 5-минутным промежуткам в течение всей записи; СВВР – средневзвешенная вариация ритмограммы
Таблица 3. Показатели спектрального анализа вариабельности ритма сердца у подростков 12–17 лет
Параметр, Me [Q1; Q3] | Группа спортсменов (n = 86) | Контрольная группа (n = 74) | Значение р |
VLF, мс2 | 5118 [3892; 6443] | 3505 [2190; 4867, 7] | 0,006 |
LF, мс2 | 2989 [1967; 3800] | 0,003 | |
HF, мс2 | 1544 [881; 2132] | 0,002 | |
TP, мс2 | 9781 [7173; 13739] | 6564 [4329; 9625] | 0,016 |
LF/HF | 0,316 |
HF – высокочастотный спектральный диапазон, LF – низкочастотный спектральный диапазон, LF/HF – индекс вагосимпатического взаимодействия, TP – общая мощность спектра, VLF – очень низкочастотный спектральный диапазон
Медианы показателей КФК, КФК-МВ, ЛДГ, АСТ, тропонина I, NT-prоBNP, вчСРБ не превышали референтных значений в обеих группах (табл. 4). Уровни ММП-2 (p = 0,001) и ТИМП-2 (р = 0,002) оказались выше у нетренированных подростков, тогда как ТИМП-1 (р < 0,001), ТИМП-4 (р = 0,006), соотношение ММП-2/ТИМП-2 (р = 0,003), наоборот, были выше у спортсменов. При анализе Эхо-КГ (табл. 5) в обеих группах размеры полостей сердца не превышали нормативных значений (по Z-score). При сравнительном анализе параметров левого (ЛЖ) и правого желудочков (ПЖ) выявлено превышение показателей ИММЛЖ и систолической площади ПЖ (RVAs) у спортсменов в 1,2 раза (р < 0,001). В обеих группах исследования не зафиксировано нарушений систолической и диастолической функций ЛЖ.
Таблица 4. Уровень кардиальных биомаркеров у подростков 12–17 лет
Биохимический маркер, Me [Q1; Q3] | Группа спортсменов (n = 86) | Контрольная группа (n = 74) | Верхняя граница нормы | Значение p |
КФК, ЕД/л | 270 | 0,157 | ||
КФК-МВ, ЕД/л | 24 | 0,002 | ||
вчСРБ, мг/л | 5 | 0,118 | ||
АСТ, ЕД/л | 38 | 0,001 | ||
ЛДГ, ЕД/л | 279 | 0,034 | ||
NT-proBNP, мг/мл | 125 | 0,860 | ||
Тропонин I, нг/мл | 0,5 | 0,011 | ||
ММП-1, нг/мл | 0,246 | |||
ММП-2, пг/мл | 0,001 | |||
ММП-9, нг/мл | 0,050 | |||
ТИМП-1, нг/мл | < 0,001 | |||
ТИМП-2, нг/мл | 109,6 [97,2; 120,2) | 0,002 | ||
ТИМП-4, нг/мл | 818 [625; 1078] | 0,006 | ||
ММП-2/ТИМП-2 | 0,003 |
NT-proBNP (N-terminal pro-brain natriuretic peptide) – мозговой натрийуретический пептид, АСТ – аспартатаминотрансфераза, вчСРБ – высокочувствительный С-реактивный белок, ЛДГ – лактатдегидрогеназа, КФК – креатинфосфокиназа, КФК-МВ – креатинфосфокиназа-МВ, ММП – матриксная металлопротеиназа, ТИМП – тканевый ингибитор металлопротеиназ
Таблица 5. Основные эхокардиографические показатели у подростков 12–17 лет
Показатель, Me [Q1; Q3] | Группа спортсменов (n = 86) | Контрольная группа (n = 74) | Значение p |
Межжелудочковая перегородка, мм | 8 [7; 8] | 8 [7; 8] | 0,7 |
Задняя стенка ЛЖ, мм | 8 [7; 8] | 8 [7; 8] | 0,117 |
Конечно-диастолический диаметр ЛЖ, мм | 45 [42; 48] | 0,082 | |
Конечно-систолический диаметр ЛЖ, мм | 27 [25; 29] | 0,316 | |
ИММЛЖ, г/м2 | < 0,001 | ||
Относительная толщина стенки ЛЖ | 0,583 | ||
Фракция выброса, % | 71 [69; 73] | 68,5 [65; 74] | 0,097 |
Диастолическая длина ПЖ, мм | 66 [63; 70] | < 0,001 | |
Диастолическая площадь ПЖ, см2 | 0,002 | ||
Систолическая длина ПЖ, мм | < 0,001 | ||
Систолическая площадь ПЖ, см2 | < 0,001 |
ИММЛЖ – индекс массы миокарда левого желудочка, ЛЖ – левый желудочек, ПЖ – правый желудочек
Выявлены слабые корреляционные взаимосвязи между данными инструментальных и биохимических методов исследования ССС (табл. 6).
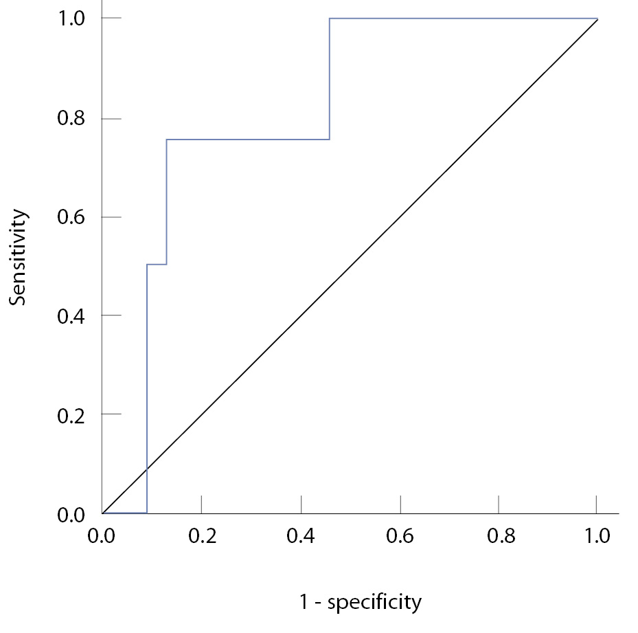
По данным ХМ-ЭКГ и Эхо-КГ у четырех спортсменов обнаружены патологические изменения: удлинение среднесуточного интервала QTc > 460 мс, выраженная брадикардия до 30 ударов в минуту [18], признаки эксцентрической гипертрофии миокарда ЛЖ, что диктует необходимость углубленного обследования. Определено пороговое значение уровня ММП-2 – 337,49 нг/мл (площадь под кривой (англ. area under the curve, AUC) 0,808 ± 0,086, 95% ДИ 0,640–0,975, p = 0,039), при превышении которого прогнозируется высокий риск вышеуказанных изменений ССС у спортсменов. Чувствительность и специфичность метода составили 75 и 87,2% соответственно (рис. 2). Установлена взаимосвязь между повышением концентрации ММП-2 выше порогового значения и систолической площадью ПЖ: возрастание систолической площади ПЖ на 1 см2 увеличивает шансы повышения ММП-2 более 337,49 нг/мл в 1,39 раза (95% ДИ 1,108–1,747, р = 0,005).
Рис. 2. Результаты ROC-анализа для определения порогового значения матриксной металлопротеиназы 2
Обсуждение
Физические нагрузки могут оказывать как положительное, так и отрицательное воздействие на ССС и адаптационные способности организма в зависимости от интенсивности тренировочного процесса и совокупности влияния внешних и внутренних факторов [19]. Для обнаружения спортивного перенапряжения и скрытой патологии ССС (гипертрофической кардиомиопатии, аритмогенной дисплазии ПЖ, жизнеугрожаемых нарушений сердечного ритма) у юных атлетов используют сочетание разных методов диагностики: электрофизиологических, визуализирующих и биохимических [13, 20].
В нашем исследовании наблюдалось превышение медиан всех показателей временно`го анализа, характеризующих превалирование парасимпатической иннервации, в группе юных хоккеистов и футболистов в сравнении с группой контроля, что свидетельствует о позитивном влиянии активных физических нагрузок на ВРС у подростков. Снижение ВРС, установленное у 36,6% спортсменов, говорит об истощении вегетативной регуляции, неадекватном ответе миокарда на стимуляцию [21] и может служить маркером перетренированности [22]. Концентрация КФК-МВ была выше у спортсменов, чем у нетренированных подростков, что связано с ростом числа кардиомиоцитов и нарастанием массы миокарда ЛЖ [23]. Уровень внутриклеточных ферментов (АСТ, ЛДГ) находился в пределах возрастных норм, но был ниже (АСТ при р = 0,001, ЛДГ при р = 0,034) в группе юных спортсменов, что может отражать удовлетворительную адаптацию к длительной физической нагрузке [19]. Более низкие значения тропонина I, независимого предиктора сердечно-сосудистых событий [24], у спортсменов по сравнению с нетренирующимися детьми того же региона также объясняются положительным влиянием физических нагрузок на адаптационные возможности подростков, проживающих в условиях Крайнего Севера [16, 25].
ММП-2 – металлопротеиназа, участвующая в расщеплении саркомерных белков кардиомиоцитов во время повреждения, в том числе вызванного окислительным стрессом [10]. Более низкие уровни ММП-2 и ТИМП-2 при более высоком значении соотношения ММП-2/ТИМП-2 у юных атлетов по сравнению с нетренирующимися подростками позволяют предполагать абсолютное снижение ММП-2 и ТИМП-2 как адаптивную реакцию при спортивных нагрузках для защиты тканей от избыточного разрушения и поддержания структурной целостности эндотелия сосудов, внеклеточного матрикса, миофибрилл [12]. Повышение уровня ММП-2 более 337,49 нг/мл, по данным нашего исследования, можно рассматривать как предиктор патологического ремоделирования миокарда у юных спортсменов Крайнего Севера. Взаимосвязь увеличения систолической площади ПЖ и нарастания концентрации ММП-2 выше порогового значения (337,49 нг/мл) дает основания предположить появление начальных маркеров повреждения с ПЖ.
К ограничению настоящего исследования следует отнести небольшое количество участников с признаками ремоделирования миокарда. Формирование более многочисленной выборки с участием атлетов разных климатических регионов позволит разработать прогностическую модель спортивного перенапряжения для создания персонифицированного алгоритма наблюдения спортсменов с пограничными инструментальными (эхокардиографическими и электрокардиографическими) показателями.
Заключение
В ходе обследования юношей в возрасте 12–17 лет, проживающих в условиях Крайнего Севера, было установлено положительное влияние активных физических нагрузок на состояние ССС: среди юных атлетов зафиксирован меньший процент детей с пониженной ВРС (36,4% против 64,2%, p = 0,018), а также выявлены более низкие значения маркеров протеолиза (ММП-2, p = 0,001) и повреждения миокарда (тропонин I, p = 0,011) по сравнению с аналогичными показателями у нетренирующихся подростков. Концентрация ММП-2 выше 337,49 нг/мл, снижение ВРС могут рассматриваться как факторы риска ремоделирования миокарда у спортсменов с пограничными электрокардиографическими и эхокардиографическими параметрами.
Дополнительная информация
Финансирование
Работа проведена в рамках выполнения Государственного задания Министерства науки и высшего образования РФ № 122020300112-4.
Конфликт интересов
Авторы заявляют об отсутствии явных и потенциальных конфликтов интересов, связанных с публикацией настоящей статьи.
Участие авторов
Ю.Д. Лукьянчик – концепция и дизайн исследования, формирование групп пациентов, сбор и обработка материала, анализ полученных данных, написание текста; Т.В. Чернышева – концепция и дизайн исследования, редактирование статьи, утверждение итогового варианта текста рукописи; Е.И. Малинина – анализ полученных данных, статистическая обработка данных, написание текста; Л.И. Гапон – концепция и дизайн исследования, утверждение итогового варианта текста рукописи; Т.И. Петелина, С.В. Леонович, Е.В. Зуева – выполнение лабораторных тестов, анализ и интерпретация результатов; Е.А. Лыкасова – анализ и интерпретация результатов электрокардиографических методов исследования, редактирование статьи. Все авторы прочли и одобрили финальную версию статьи перед публикацией, согласны нести ответственность за все аспекты работы и гарантируют, что ими надлежащим образом были рассмотрены и решены вопросы, связанные с точностью и добросовестностью всех частей работы.
About the authors
Yuliya D. Lukyanchik
Tyumen Cardiology Research Center, Tomsk National Research Medical Center, Russian Academy of Science
Author for correspondence.
Email: lukyanchik.yulia@yandex.ru
ORCID iD: 0000-0002-1892-0150
SPIN-code: 1188-4028
Junior Research Fellow, Department of Arterial Hypertension and Coronary Insufficiency, Scientific Department of Clinical Cardiology, Pediatric Cardiologist, Pediatric Consultative Department
Russian Federation, ul. Mel'nikayte 111, Tyumen, 625026Tatyana V. Chernysheva
Tyumen Cardiology Research Center, Tomsk National Research Medical Center, Russian Academy of Science
Email: chernyshevatv@infarkta.net
ORCID iD: 0000-0003-0137-3282
MD, PhD, Head of Pediatric Consultative Department, Pediatric Cardiologist, Functional Diagnostics Doctor, Pediatrician
Russian Federation, ul. Mel'nikayte 111, Tyumen, 625026Elena I. Malinina
Tyumen Cardiology Research Center, Tomsk National Research Medical Center, Russian Academy of Science; Tyumen State Medical University
Email: malininaele@mail.ru
ORCID iD: 0000-0001-9987-4899
MD, PhD, Research Fellow, Department of Arterial Hypertension and Coronary Insufficiency, Scientific Department of Clinical Cardiology; Associate Professor, Department of Childhood Diseases and Outpatient Pediatrics
Russian Federation, ul. Mel'nikayte 111, Tyumen, 625026; ul. Odesskaya 54, Tyumen, 625023Lyudmila I. Gapon
Tyumen Cardiology Research Center, Tomsk National Research Medical Center, Russian Academy of Science
Email: gapon@infarkta.net
ORCID iD: 0000-0002-3620-0659
MD, PhD, Professor, Head of Scientific Department of Clinical Cardiology, Scientific Supervisor of Department of Arterial Hypertension and Coronary Insufficiency, Cardiologist
Russian Federation, ul. Mel'nikayte 111, Tyumen, 625026Tatyana I. Petelina
Tyumen Cardiology Research Center, Tomsk National Research Medical Center, Russian Academy of Science
Email: petelina@infarkta.net
ORCID iD: 0000-0001-6251-4179
MD, PhD, Professor, Educational and Methodological Department, Leading Research Fellow, Department of Arterial Hypertension and Coronary Insufficiency, Scientific Department of Clinical Cardiology, Head of Clinical Diagnostic and Molecular Genetic Research Laboratory
Russian Federation, ul. Mel'nikayte 111, Tyumen, 625026Svetlana V. Leonovich
Tyumen Cardiology Research Center, Tomsk National Research Medical Center, Russian Academy of Science
Email: leonovich@infarkta.net
ORCID iD: 0000-0002-8562-6955
Head of Clinical Diagnostic Laboratory, Doctor of Clinical Laboratory Diagnostics
Russian Federation, ul. Mel'nikayte 111, Tyumen, 625026Yekaterina V. Zuyeva
Tyumen Cardiology Research Center, Tomsk National Research Medical Center, Russian Academy of Science
Email: zuevaev@infarkta.net
ORCID iD: 0000-0002-6108-811X
Junior Research Fellow, Clinical Diagnostic and Molecular Genetic Research Laboratory, Scientific Department of Clinical Cardiology
Russian Federation, ul. Mel'nikayte 111, Tyumen, 625026Elena A. Lykasova
Tyumen Cardiology Research Center, Tomsk National Research Medical Center, Russian Academy of Science
Email: lykasova@infarkta.net
ORCID iD: 0009-0004-1487-9412
MD, PhD, Doctor of the Functional Diagnostics Department
Russian Federation, ul. Mel'nikayte 111, Tyumen, 625026References
- Finocchiaro G, Westaby J, Sheppard MN, Papadakis M, Sharma S. Sudden cardiac death in young athletes: JACC state-of-the-art review. J Am Coll Cardiol. 2024;83(2):350–370. doi: 10.1016/j.jacc.2023.10.032.
- Landry CH, Allan KS, Connelly KA, Cunningham K, Morrison LJ, Dorian P; Rescu Investigators. Sudden cardiac arrest during participation in competitive sports. N Engl J Med. 2017;377(20):1943–1953. doi: 10.1056/NEJMoa1615710.
- MacLachlan H, Drezner JA. Cardiac evaluation of young athletes: Time for a risk-based approach? Clin Cardiol. 2020;43(8):906–914. doi: 10.1002/clc.23364.
- Maron BJ, Doerer JJ, Haas TS, Tierney DM, Mueller FO. Sudden deaths in young competitive athletes: Analysis of 1866 deaths in the United States, 1980-2006. Circulation. 2009;119(8):1085–1092. doi: 10.1161/CIRCULATIONAHA.108.804617.
- Shaffer F, Ginsberg JP. An overview of heart rate variability metrics and norms. Front Public Health. 2017;5:258. doi: 10.3389/fpubh.2017.00258.
- Małek ŁA, Bucciarelli-Ducci C. Myocardial fibrosis in athletes – current perspective. Clin Cardiol. 2020;43(8):882–888. doi: 10.1002/clc.23360.
- Kozjek T, Zupet P, Azman-Juvan K, Golja P. O-48 Electrical remodelling of the heart in endurance athletes. Br J Sports Med. 2016;50(Suppl 1):A28.1–A28. doi: 10.1136/bjsports-2016-097120.48.
- Sammito S, Thielmann B, Böckelmann I. Update: Factors influencing heart rate variability – a narrative review. Front Physiol. 2024;15:1430458. doi: 10.3389/fphys.2024.1430458.
- Topal L, Polyák A, Tóth N, Ágoston G, Bencsik P, Kohajda Z, Prorok J, Déri S, Nagy N, Jost N, Virág L, Farkas AS, Varró A, Baczkó I. Endurance training-induced cardiac remodeling in a guinea pig athlete's heart model. Can J Physiol Pharmacol. 2022;100(10):993–1004. doi: 10.1139/cjpp-2022-0073.
- Bassiouni W, Ali MAM, Schulz R. Multifunctional intracellular matrix metalloproteinases: Implications in disease. FEBS J. 2021;288(24):7162–7182. doi: 10.1111/febs.15701.
- Raeeszadeh-Sarmazdeh M, Do LD, Hritz BG. Metalloproteinases and their inhibitors: Potential for the development of new therapeutics. Cells. 2020;9(5):1313. doi: 10.3390/cells9051313.
- Jaoude J, Koh Y. Matrix metalloproteinases in exercise and obesity. Vasc Health Risk Manag. 2016;12:287–295. doi: 10.2147/VHRM.S103877.
- Costache AD, Leon-Constantin MM, Roca M, Maștaleru A, Anghel RC, Zota IM, Drugescu A, Costache II, Chetran A, Moisă ȘM, Huzum B, Mitu O, Cumpăt C, Honceriu C, Mitu F. Cardiac biomarkers in sports cardiology. J Cardiovasc Dev Dis. 2022;9(12):453. doi: 10.3390/jcdd9120453.
- Kobelkova IV, Korosteleva MM, Nikityuk DB. [Some aspects of the influence of extreme climatic factors on the physical performance of athletes]. Sports medicine: research and practice. 2022;12(1):25–36. Russian. doi: 10.47529/2223-2524.2022.1.5.
- Segreti A, Celeski M, Guerra E, Crispino SP, Vespasiano F, Buzzelli L, Fossati C, Papalia R, Pigozzi F, Grigioni F. Effects of environmental conditions on athlete's cardiovascular system. J Clin Med. 2024;13(16):4961. doi: 10.3390/jcm13164961.
- Kong X, Liu H, He X, Sun Y, Ge W. Unraveling the mystery of cold stress-induced myocardial injury. Front Physiol. 2020;11:580811. doi: 10.3389/fphys.2020.580811.
- Makarov LM, Kiseleva II, Komolyatova VN, Fedina NN. [New standards and interpretations of children electrocardiogram]. Pediatria n.a. G.N. Speransky. 2015;94(2). Russian.
- Makarov LM, Komolyatova VN, Kupriyanova OA, Pervova EV, Ryabykina GV, Sobolev AV, Tikhonenko VM, Turov AN, Shubik YV, Ardashev AV, Baevsky RM, Balykova LA, Beresten NA, Vasyuk YA, Gorbunovа IA, Dolgikh VV, Drozdov DV, Duplyakov DV, Ivanov GG, Kiseleva II, Kovbasova EV, Limacina IN, Mareev VY, Tresser TV, Tyurina TV, Yakovleva MV, Pevzner AV, Pozdnyakov YM, Revishvili ASh, Rogoza AN, Struchkov PV, Fedina NN, Fedorova SI. [National Russian guidelines on application of the methods of Holter monitoring in clinical practice]. Russian Journal of Cardiology. 2014;(2):6–71. Russian. doi: 10.15829/1560-4071-2014-2-6-71.
- Martinez MW, Kim JH, Shah AB, Phelan D, Emery MS, Wasfy MM, Fernandez AB, Bunch TJ, Dean P, Danielian A, Krishnan S, Baggish AL, Eijsvogels TMH, Chung EH, Levine BD. Exercise-induced cardiovascular adaptations and approach to exercise and cardiovascular disease: JACC state-of-the-art review. J Am Coll Cardiol. 2021;78(14):1453–1470. doi: 10.1016/ j.jacc.2021.08.003.
- D'Andrea A, Sperlongano S, Russo V, D'Ascenzi F, Benfari G, Renon F, Palermi S, Ilardi F, Giallauria F, Limongelli G, Bossone E. The role of multimodality imaging in athlete's heart diagnosis: Current status and future directions. J Clin Med. 2021;10(21):5126. doi: 10.3390/jcm10215126.
- Shlyk NI, Gavrilova EA. [Bradycardia and heart rate variability in athletes]. Human. Sport. Medicine. 2023;23(S1):59–69. Russian. doi: 10.14529/hsm23s109.
- Lucini D, Marchetti I, Spataro A, Malacarne M, Benzi M, Tamorri S, Sala R, Pagani M. Heart rate variability to monitor performance in elite athletes: Criticalities and avoidable pitfalls. Int J Cardiol. 2017;240:307–312. doi: 10.1016/ j.ijcard.2017.05.001.
- Evdokimova NE, Cygankova OV, Latynceva LD. [Evaluation of plasma creatine phosphokinase as a diagnostic dilemma]. RMJ. 2021;(2):18–25. Russian.
- Blankenberg S, Salomaa V, Makarova N, Ojeda F, Wild P, Lackner KJ, Jørgensen T, Thorand B, Peters A, Nauck M, Petersmann A, Vartiainen E, Veronesi G, Brambilla P, Costanzo S, Iacoviello L, Linden G, Yarnell J, Patterson CC, Everett BM, Ridker PM, Kontto J, Schnabel RB, Koenig W, Kee F, Zeller T, Kuulasmaa K; BiomarCaRE Investigators. Troponin I and cardiovascular risk prediction in the general population: The BiomarCaRE consortium. Eur Heart J. 2016;37(30):2428–2437. doi: 10.1093/eurheartj/ehw172.
- Al-Muraikhy S, Ramanjaneya M, Dömling AS, Bettahi I, Donati F, Botre F, Abou-Samra AB, Sellami M, Elrayess MA. High endurance elite athletes show age-dependent lower levels of circulating complements compared to low/moderate endurance elite athletes. Front Mol Biosci. 2021;8:715035. doi: 10.3389/fmolb.2021.715035.
Supplementary files





