Effects of сomprehensive cardio-oncological rehabilitation programs on the psychological status of breast cancer survivors: a pilot randomized study
- Authors: Vitsenya M.V.1, Barinova I.V.1, Pogosova N.V.1, Terteryan T.A.1, Kuchiev D.T.1, Gerasimova A.A.1, Filatova A.Y.1, Ibragimova N.M.1, Frolkova O.O.2, Ageev F.T.1
-
Affiliations:
- National Medical Research Centre of Cardiology named after Academician E.I. Chazov
- Moscow Municipal Oncologic Hospital No. 62
- Issue: Vol 53, No 3 (2025)
- Pages: 115-132
- Section: ARTICLES
- URL: https://journal-vniispk.ru/2072-0505/article/view/352927
- DOI: https://doi.org/10.18786/2072-0505-2025-53-012
- ID: 352927
Cite item
Full Text
Abstract
Background: Psychological abnormalities are common among breast cancer (BC) survivors and may negatively impact their quality of life and outcomes. An improvement in the psychosocial well-being of cancer patients is a key objective of comprehensive cardio-oncology rehabilitation (CORE) programs. Remote CORE models could contribute to increased patient involvement in such programs.
Aim: To compare the effectiveness of the off-line (Off-L) and online (On-L) CORE programs regarding their effects on the psychological status parameters in ВС survivors.
Methods: This single center pilot randomized prospective study was conducted in a total of 90 BC survivors from 2021 to 2023 in a specialized cardiology clinic. The patients were randomized into three parallel groups in 1:1:1 ratio: the Off-L cardiac rehabilitation program group, the On-L cardiac rehabilitation program group, and the control group. The CORE programs included an educational component addressing cardiovascular risk factors with nutritional counseling, a supervised individualized twice weekly physical exercise program for 3 months (Off-L group), an individualized home-based physical exercise regimen with remote support for 3 months (On-L group), and psychological support with a single session with a psychologist. The control group patients were followed up in their routine clinical practice. In all patients, past history data were collected, including educational level and marital status. Baseline assessments and follow-up evaluation at 6 months included clinical characteristics, stress levels (visual analog scale, VAS), anxiety and depression scores (Hospital Anxiety and Depression Scale, HADS), sleep quality (Pittsburgh Sleep Quality Index), and cognitive function (Montreal Cognitive Assessment, MoCA).
Results: The patients median age was 49 years [IQR 46; 56]. At baseline, anxiety symptoms (AS) were found in 45 (50%) patients, depressive symptoms (DS) in 16 (17.8%), high stress levels in 51 (56.7%), sleep disturbances in 80 (89%), and cognitive impairment in 11 (12.4%) patients. There were no differences at baseline between the groups in their main characteristics studied. Over the 6-month follow up, 23 patients dropped from the study. By the end of the observation period, the CORE groups showed a decrease in AS in the Off-L group (n = 20) from 8.5 [6.0; 10.0] to 6.0 [4.0; 9.5] points, with the difference in their median values of -1.5 (95% confidence interval [CI]: -3.0, -0.5, p = 0.026) and in the On-L group from 7.0 [5.0; 8.0] to 5.0 [3.0; 8.0] points (the difference in median values: -2.0, 95% CI: -3.0, 0.5, р = 0.018). No significant changes in AS were found in the control group (the difference in median values: -0.5, 95% CI: -2.0, 0.5, p = 0.181). In the patients with baseline subclinical (8 to 10 points, HADS-A) and clinically significant (≥ 11 points) anxiety, the participation in the CORE programs have led to a higher chance of its decrease either to < 8 points or a change in the anxiety category from clinically overt to subclinical (odds ratio 5.667, 95% CI: 1.129, 28.455, р = 0.035). By the end of the follow up, the stress levels in the Off-L group decreased from 8.0 [5.0; 9.0] to 7.0 [4.0; 8.0] VAS points (the difference of the medians: -1.5, 95% CI: -2.0, 0.0, р = 0.050), in the On-L group from 7.0 [6.0; 8.0] to 5.0 [4.0; 6.8] points (the difference of the medians: -1.5, 95% CI: -2.5, -0.5, р = 0.003). There were no significant changes over time in the stress levels in the control group (the difference of the medians: 0.0, 95% CI: -1.0, 1.0, р = 0.974). No statistically significant changes were found in depression scores or sleep quality over the 6-month observation period in the study groups. The On-L group demonstrated a statistically significant improvement in the MoCA cognitive function scores (the difference of the medians: 0.5, 95% CI: 0.0, 1.0, р = 0.021).
Conclusion: The participation of BC survivors in the CORE programs facilitates the decrease in anxiety and stress. The On-L CORE program is not inferior to the Off-L program in its impact on the patients’ psychological status. In this regard, further larger studies on the effectiveness of CORE models with various type of telemedicine support seem promising in this patient population.
Full Text
Рак молочной железы (РМЖ) – одно из наиболее распространенных злокачественных новообразований у женщин. По данным Международного агентства по изучению рака (англ. International Agency for Research on Cancer, IARC), в 2022 г. в мире было зарегистрировано 2,3 млн случаев РМЖ, что составило 11,6% от общего числа новых случаев онкологических заболеваний [1]. В России распространенность РМЖ в 2023 г. составила 541,7 случая на 100 тыс. населения, на его долю приходится 19,1% всех диагностированных случаев рака в нашей стране [2].
Прогноз пациентов с РМЖ определяется многими факторами, прежде всего стадией, гистологическим типом заболевания и проведенным лечением. На отдаленный прогноз при РМЖ существенное влияние оказывают сердечно-сосудистые заболевания (ССЗ), в том числе обусловленные кардиоваскулярной токсичностью противоопухолевой терапии [3, 4]. При рассмотрении причин, отягощающих прогноз больных РМЖ, помимо традиционных факторов риска (ФР) ССЗ большое внимание уделяется психосоциальным факторам. Данные метаанализов демонстрируют высокую распространенность у больных РМЖ психосоциальных ФР ССЗ, таких как повышенный уровень стресса, тревожные и депрессивные состояния [5–8]. Установлено, что психосоциальные факторы вносят значимый вклад в развитие и прогрессирование ССЗ [9–11]. Наряду с этим показано, что тревожные и депрессивные состояния играют важную роль в повышении риска рецидива РМЖ и смерти от всех причин, являясь их независимыми предикторами [12]. Таким образом, коррекция нарушений психологического статуса представляется важной составляющей лечения больных РМЖ, направленной на улучшение онкологического, сердечно-сосудистого и общего прогноза пациентов как в процессе противоопухолевого лечения (ПОЛ), так и после его окончания.
Существуют различные подходы к улучшению психологического состояния пациентов, включая психотерапию и медикаментозную терапию [13]. Благотворное влияние на психологический статус больных оказывают также физические нагрузки [14, 15]. Перечисленные подходы включены в современные мультидисциплинарные программы кардиореабилитации. В 2019 г. эксперты Американской ассоциации кардиологов (англ. American Heart Association, AHA) предложили концепцию кардиоонкологической реабилитации (КОР), которая представляется перспективным направлением кардиоонкологии, нацеленным на снижение сердечно-сосудистого риска (ССР) у онкологических больных [16]. Основанная на многоцелевом подходе классических программ КР и модифицированная с учетом специфики онкологических заболеваний, КОР включает в себя образовательную программу, физические тренировки, психологическую поддержку, консультирование по вопросам питания, управление ФР ССЗ.
В настоящее время представление о полном потенциале многокомпонентных программ КОР ограничено. Опубликованы единичные рандомизированные исследования по оценке эффективности комплексных реабилитационных вмешательств, включающих управление ФР ССЗ, физические упражнения и консультирование по питанию, в отношении показателей кардиореспираторной выносливости, систолической функции левого желудочка, сердечных биомаркеров и традиционных ФР ССЗ у пациентов с РМЖ, получающих кардиоваскулотоксичное ПОЛ [17]. На текущий момент не представлено результатов рандомизированных исследований, посвященных влиянию комплексных программ КОР на психологический статус онкологических больных. Помимо недостаточной доказательной базы широкому внедрению КОР в клиническую практику препятствует их низкая доступность. Повышению вовлеченности пациентов могут способствовать новые модели реализации программ КОР, в том числе дистанционные [18].
Ранее мы продемонстрировали высокую частоту выявления ФР ССЗ, в том числе психосоциальных, у больных, перенесших кардиоваскулотоксичное ПОЛ по поводу РМЖ, в российской популяции [19]. Результаты нашей работы подчеркнули актуальность разработки комплексных программ КОР и послужили предпосылкой для планирования исследований по оценке влияния таких программ на кардиореспираторную выносливость, традиционные, поведенческие и психосоциальные ФР у данной категории пациенток.
Цель настоящего пилотного исследования – сравнительная оценка эффективности очной и дистанционной программ КОР в зависимости от их влияния на показатели психологического статуса пациенток, перенесших РМЖ.
Материал и методы
Проведено пилотное одноцентровое рандомизированное проспективное исследование. Обследовано 90 пациенток в возрасте 18 лет и старше, перенесших комплексное ПОЛ по поводу РМЖ, включавшее антрациклин-содержащую химиотерапию (ХТ), оперативное лечение в сочетании с лучевой, таргетной или гормональной терапией или без таковой согласно действующим рекомендациям. Пациентки были направлены или самостоятельно обратились в ФГБУ «Национальный медицинский исследовательский центр кардиологии имени академика Е.И. Чазова» Минздрава России (ФГБУ «НМИЦК им. ак. Е.И. Чазова» Минздрава России) в 2021–2023 гг. для обследования и определения тактики кардиологического ведения после завершения кардиотоксичного ПОЛ. Критериями невключения в исследование были абсолютные противопоказания к проведению нагрузочных проб. Проведение исследования одобрено независимым этическим комитетом ФГБУ «НМИЦК им. ак. Е.И. Чазова» Минздрава России (протокол № 269 от 28.06.2021). Все пациентки подписали добровольное информированное согласие на участие в исследовании.
Данные о стадии, молекулярно-биологическом подтипе РМЖ, режиме и времени проведения ПОЛ были получены из представленной пациентками медицинской документации. Всем участницам исследования исходно и через 6 месяцев были проведены общеклиническое обследование; клинический анализ крови; биохимический анализ крови с определением показателей липидного профиля, концентрации глюкозы, креатинина, скорости клубочковой фильтрации, рассчитываемой по формуле Chronic Kidney Disease Epidemiology Collaboration Formula (CKD-EPI); электрокардиография (ЭКГ) в 12 отведениях; трансторакальная эхокардиография (ЭхоКГ); ЭКГ-проба с физической нагрузкой. Оценивали психологический статус и качество сна, когнитивные функции, уровень образования, семейное положение. Определяли наличие ССЗ и их ФР, суммарный ССР.
Уровень физической активности (ФА) оценивали при помощи короткого международного опросника по ФА (англ. International Physical Activity Questionnaire, IPAQ). Категорию уровня ФА устанавливали с использованием стандартизованного алгоритма, позволяющего определить объем выполняемой ФА за последние 7 дней, выраженный в МЕТ/мин в неделю для каждого вида активности с последующим расчетом суммарного показателя.
Индекс массы тела (ИМТ) рассчитывали по формуле:
ИМТ = масса тела (кг) / рост2 (м).
Значения ИМТ от 25,0 до 29,9 кг/м2 соответствовали избыточной массе тела, более 30,0 кг/м2 – ожирению.
Биохимический анализ крови выполняли на анализаторе ARCHIТЕСТ (Abbott, CША), ЭхоКГ – на аппарате Vivid E95 (GE HealthCare, США). Нагрузочное тестирование проводили на велоэргометре по протоколу со ступенчато нарастающей нагрузкой (25 Вт каждые 2 минуты) (n = 75) или рамп-протоколу (n = 15). Для кардиореспираторного нагрузочного теста (КРНТ) (n = 53) использовали велоэргометр Corival (Lode, Нидерланды) с применением программного обеспечения «Поли-Спектр.NET» компании «Нейрософт» (Россия). Газоанализ методом «вдох за вдохом» проводили с использованием системы Geratherm Respiratory Ergostic (Германия). КРНТ выполняли до появления утомления и невозможности поддержания частоты педалирования более 55 об/мин. Достаточным усилием считали достижение дыхательного коэффициента (RERпик) ≥ 1,1 в сочетании с одышкой, усталостью ног и/или общим утомлением. За пиковое потребление кислорода (VO2пик) принимали среднее значение, полученное за 30-секундный период на максимуме нагрузки.
Психологический статус пациенток оценивали с помощью Госпитальной шкалы тревоги и депрессии (англ. Hospital Anxiety and Depression Scale, HADS) по двум подшкалам (HADS-А и HADS-D). Наличие субклинически выраженной тревожной / депрессивной симптоматики (ТС / ДС) констатировали при сумме баллов от 8 до 10, клинически выраженной – ≥ 11 баллов. Для оценки уровня стресса использовали 10-балльную визуальную аналоговую шкалу. Значения ≥ 7 баллов соответствовали высокому уровню стресса. Индекс качества сна определяли с помощью Питтсбургского опросника (англ. Pittsburgh Sleep Quality Index, PSQI). Значения индекса > 5 баллов соответствовали сниженному качеству сна. Оценку когнитивных функций проводили с помощью Монреальской шкалы (англ. Montreal Cognitive Assessment test, MoCа). Значения < 26 баллов свидетельствовали о снижении когнитивных функций.
ССР оценивали в соответствии с рекомендациями по кардиоонкологии Европейского общества кардиологов (англ. European Society of Cardiology, ESC) 2022 г. [20].
После исходного обследования пациентки методом закрытых конвертов были рандомизированы независимым исследователем в 3 параллельные группы по 30 человек: очного участия в программе КОР (ОГ), дистанционного участия в программе КОР (ДГ) и контроля (КГ) (рис. 1).
Рис. 1. Дизайн исследования. РМЖ – рак молочной железы, ССЗ – сердечно-сосудистые заболевания, ФР – факторы риска
Программа КОР для пациенток ОГ включала очную образовательную программу по ФР ССЗ с диетологическим компонентом (однократное групповое консультирование в сочетании с персональным консультированием на визитах 1 раз в неделю в течение 3 месяцев), индивидуальную программу контролируемых физических тренировок 2 раза в неделю в течение 3 месяцев и психологическую поддержку (с однократной консультацией психолога).
Программа КОР для пациенток ДГ включала очную образовательную программу по ФР ССЗ с диетологическим компонентом (групповое консультирование в сочетании с персональным консультированием в форме дистанционной поддержки 1 раз в неделю в течение 3 месяцев), индивидуальную программу домашних физических тренировок с дистанционной поддержкой в течение 3 месяцев (включая период двухнедельного обучения в ФГБУ «НМИЦК им. ак. Е.И. Чазова» Минздрава России), психологическую поддержку (с однократной консультацией психолога). После исходного профилактического консультирования с учетом индивидуального профиля ФР ССЗ и получения рекомендаций определяли наиболее предпочтительный для пациентки вид дистанционной связи с врачом (обмен текстовыми сообщениями с использованием электронной почты или мессенджера). В задачи дистанционной поддержки входило получение врачом от пациентки заполненного дневника ФА 1 раз в неделю в течение 3 месяцев с использованием выбранного метода связи (всего 12 дневников, содержащих информацию о виде, частоте, продолжительности, интенсивности и переносимости выполняемых физических нагрузок, модель FITT (англ. frequency, intensity, time, type)), их еженедельный врачебный анализ по всем компонентам модели (в течение 1–2 дней) и направление пациентке соответствующих рекомендаций (при необходимости) для достижения целевого уровня ФА. Кроме того, врач в текстовых сообщениях задавал пациенткам вопросы о самочувствии, отмечаемых изменениях, имеющихся препятствиях к соблюдению врачебных рекомендаций, а также сообщал информацию о способах их преодоления.
Для пациенток ОГ и ДГ программу физических тренировок разрабатывал врач лечебной физкультуры на основании результатов проведенного обследования, основного диагноза, сопутствующих заболеваний, предпочтений пациента в соответствии с текущими рекомендациями [21]. Основу программ физических тренировок составляли аэробные физические нагрузки умеренной интенсивности в сочетании с силовыми упражнениями на основные мышечные группы.
Пациентки КГ находились под наблюдением в условиях обычной клинической практики по месту жительства.
Всем участницам исследования были даны рекомендации по коррекции медикаментозной терапии в соответствии с действующими рекомендациями по лечению и профилактике ССЗ. Пациентки с выраженной ТС и ДС, выявленной с помощью тестирования или при консультации психолога, были направлены на консультацию психиатра.
Статистический анализ проводили с использованием программ StatTech v. 3.1.10 (ООО «Статтех», Россия) и MedСalc. Количественные данные описывали с помощью медианы (Me), нижнего и верхнего квартилей [25-й процентиль; 75-й процентиль], категориальные данные – с указанием абсолютных значений и процентных долей. Сравнение двух групп по количественному показателю выполняли с помощью U-критерия Манна – Уитни, трех групп – критерия Краскела – Уоллиса. Для анализа таблиц сопряженности 2×2 применяли точный двусторонний критерий Фишера, для анализа многопольных таблиц сопряженности – критерий хи-квадрат Пирсона. Для динамики показателей зависимых переменных использовали W-критерий Уилкоксона. Сравнение бинарных показателей, характеризующих две связанные совокупности, выполняли с помощью теста МакНемара. Направление и тесноту корреляционной связи между двумя количественными показателями оценивали с помощью коэффициента ранговой корреляции Спирмена. С целью выявления показателей-предикторов применяли логистический регрессионный анализ. Статистически значимыми считали различия при p < 0,05.
Учитывая пилотный характер работы, расчет мощности исследования исходно не проводили. Однако постфактум мы оценили, какую величину эффекта можно обнаружить в исследовании с набранным объемом наблюдений и заданным уровнем мощности 80%. Так, расчет, выполненный в программе GPower 3.1.9.7 (Franz Faul Universität, Kiel, Германия), свидетельствует, что на уровне значимости 0,05 и с мощностью 80% на выборках в 20 и 23 наблюдения с помощью критерия Манна – Уитни можно обнаружить различия с величиной эффекта (d Кохена) от 0,9 и выше.
Результаты
Исходная клиническая характеристика пациенток
Медиана возраста участниц исследования составила 49 [46; 56] лет. Исходная клиническая характеристика пациенток, данные о молекулярно-биологическом подтипе РМЖ и проведенном ПОЛ, ССЗ и их ФР, физической работоспособности, основные эхокардиографические характеристики, показатели психосоциального статуса, качества сна, когнитивных функций в общей выборке и в группах исследования обобщены в табл. 1.
Таблица 1. Клиническая характеристика пациенток
Показатель | Общая выборка (n = 90) | Очная группа (n = 30) | Дистанционная группа (n = 30) | Группа контроля (n = 30) | Значение р |
Возраст, лет | 0,541 | ||||
Характеристики РМЖ и противоопухолевое лечение | |||||
Стадия, n (%): | 0,633 | ||||
I | 13 (14,4) | 6 (20,0) | 2 (6,7) | 5 (16,7) | |
II | 43 (47,8) | 14 (46,7) | 16 (53,3) | 13 (43,3) | |
III | 34 (37,8) | 10 (33,3) | 12 (40,0) | 12 (40,0) | |
Антрациклин-содержащая ХТ, n (%) | 90 (100) | 30 (100) | 30 (100) | 30 (100) | 1 |
Анти-HER2-терапия, n (%) | 27 (30,0) | 6 (20,0) | 8 (26,7) | 13 (43,3) | 0,194 |
Гормонотерапия, n (%) | 57 (63,3) | 20 (66,7) | 17 (56,7) | 20 (66,7) | 0,652 |
Оперативное лечение, n (%) | 90 (100) | 30 (100) | 30 (100) | 30 (100) | 1 |
Лучевая терапия, n (%) | 68 (75,6) | 18 (60,0) | 26 (86,7) | 24 (80,0) | 0,024 |
ССЗ, традиционные факторы риска, ССР | |||||
АГ, n (%) | 42 (46,7) | 14 (46,7) | 13 (43,3) | 15 (50,0) | 0,881 |
Дислипидемия, n (%) | 70 (77,8) | 24 (80,0) | 24 (80,0) | 22 (73,3) | 0,773 |
Курение, n (%): | 0,384 | ||||
в настоящее время | 9 (10,0) | 2 (6,7) | 4 (13,3) | 3 (10,0) | |
ранее | 32 (35,6) | 10 (33,3) | 12 (40) | 10 (33,3) | |
Ожирение, n (%) | 26 (28,9) | 9 (30,0) | 7 (23,3) | 10 (33,3) | 0,691 |
Общий уровень ФА, n (%): | 0,293 | ||||
низкий | 16 (17,8) | 4 (13,3) | 3 (10,0) | 9 (30,0) | |
умеренный | 56 (62,2) | 20 (66,7) | 21 (70,0) | 15 (50,0) | |
высокий | 18 (20,0) | 6 (20,0) | 6 (20,0) | 6 (20,0) | |
СД, n (%) | 6 (6,7) | 2 (6,7) | 2 (6,7) | 2 (6,7) | 1 |
ХСН, n (%) | 11 (12,2) | 5 (16,7) | 2 (6,7) | 4 (13,3) | 0,493 |
ИБС, n (%) | 1 (1,1) | 1 (3,3) | 0 (0,0) | 0 (0,0) | 0,364 |
ССР, n (%): | 0,719 | ||||
низкий / умеренный | 34 (37,8) | 11 (36,7) | 13 (43,3) | 10 (33,3) | |
высокий / очень высокий | 56 (62,2) | 19 (63,3) | 17 (56,7) | 20 (66,7) | |
Эхокардиографические показатели | |||||
ОЛПи, мл/м2 | 0,360 | ||||
КДОиЛЖ, мл/м2 | 0,490 | ||||
ФВ ЛЖ, % | 0,102 | ||||
Е/е´ | 0,548 | ||||
Результаты нагрузочного тестирования | |||||
МЕТ | 0,369 | ||||
VO2пик, мл/мин/кг | 0,918 | ||||
Психологический статус | |||||
ТС, n (%): | |||||
всего | 45 (50,0) | 16 (53,3) | 15 (50,0) | 14 (46,7) | 0,876 |
субклиническая | 27 (30,0) | 10 (33,3) | 11 (36,7) | 6 (20,0) | 0,329 |
клинически выраженная | 18 (20,0) | 6 (20,0) | 4 (13,3) | 8 (26,7) | 0,435 |
ДС, n (%): | |||||
всего | 16 (17,8) | 6 (20,0) | 2 (6,6) | 8 (26,7) | 0,120 |
субклиническая | 11 (12,2) | 4 (13,3) | 1 (3,3) | 6 (20,0) | 0,140 |
клинически выраженная | 5 (5,6) | 2 (6,7) | 1 (3,3) | 2 (6,7) | 0,429 |
Высокий уровень стресса, n (%) | 51 (56,7) | 18 (60,0) | 18 (60,0) | 15 (50,0) | 0,603 |
Качество сна, когнитивные функции, социальный статус | |||||
Сниженное качество сна, n (%) | 80 (89,0) | 29 (96,7) | 27 (90,0) | 24 (80,0) | 0,118 |
Снижение когнитивных функций, n (%) | 11 (12,4) | 5 (17,2) | 4 (13,3) | 2 (6,7) | 0,458 |
Состоят в браке, n (%) | 64 (71,9) | 19 (63,3) | 24 (80,0) | 21 (70,0) | 0,358 |
Высшее образование, n (%) | 80 (88,9) | 27 (90,0) | 26 (86,7) | 27 (90,0) | 0,894 |
Прием психотропных лекарственных средств, n (%) | 6 (6,7) | 3 (10) | 1 (3,3) | 2 (6,7) | 0,586 |
Е/е´ – соотношение скоростей раннего трансмитрального кровотока и подъема основания левого желудочка в раннюю диастолу, HER2 (human epidermal growth factor receptor 2) – 2-й рецептор эпидермального фактора роста человека, МЕТ (metabolic equivalent of task) – метаболические единицы, VO2пик – пиковое потребление кислорода, АГ – артериальная гипертензия, ДС – депрессивная симптоматика, ИБС – ишемическая болезнь сердца, КДОиЛЖ – индексированный конечный диастолический объем левого желудочка, ОЛПи – индексированный объем левого предсердия, РМЖ – рак молочной железы, СД – сахарный диабет, ССЗ – сердечно-сосудистые заболевания, ССР – сердечно-сосудистый риск, ТС – тревожная симптоматика, ФА – физическая активность, ФВ ЛЖ – фракция выброса левого желудочка, ХСН – хроническая сердечная недостаточность, ХТ – химиотерапия
Данные представлены как абсолютное число пациентов (n) и их доля в выборке (%); количественные показатели – в виде медианы (Me) и нижнего и верхнего квартилей [25%; 75%]
Всем пациенткам было проведено оперативное лечение и антрациклин-содержащая ХТ. Медиана времени от окончания ХТ составила 36 [11, 8; 56, 5] месяцев. Треть больных имели HER2-позитивный, 2/3 – гормонозависимый подтип РМЖ и получили соответствующее лечение. Лучевая терапия была проведена 3/4 пациенток. Среди традиционных ФР чаще встречались дислипидемия, артериальная гипертензия, ожирение и недостаточная ФА. И хотя частота ишемической болезни сердца составила около 1%, тем не менее у 12% больных была диагностирована сердечная недостаточность. Высокий / очень высокий ССР отмечен у 62,2% пациенток.
По результатам оценки психологического статуса с помощью шкалы HADS ТС выявлена у 50% пациенток, ДС – у 17,8%, сочетание клинически выраженной ТС и ДС – у 4,4% больных. Высокий уровень стресса установлен у 56,7% пациенток. У подавляющего большинства (89%) было снижено качество сна. У 12,4% больных отмечено снижение когнитивных функций. Большинство пациенток состояли в браке и имели высшее образование. Исходно 6 пациенток получали психофармакотерапию. В качестве психотропных средств в ОГ использовались гидроксизин, алимемазин, эсциталопрам, аминофенилмасляная кислота, в ДГ – эсциталопрам, в КГ – гидроксизин, агомелатин.
При проведении корреляционного анализа ожидаемо выявлены положительные взаимосвязи между показателями подшкал HADS-A и HADS-D; выраженностью ТС, ДС и уровнем стресса; перечисленными показателями психологического статуса и индексом качества сна. Установлены умеренные и слабые отрицательные корреляционные взаимосвязи показателей ТС и ДС с показателями когнитивных функций, а также уровнем ФА пациенток (табл. 2). У пациенток с низким уровнем ФА вероятность выявления субклинической или клинически выраженной ТС была значимо выше, чем у пациенток с высоким уровнем ФА (отношение шансов (ОШ) 11,000, 95% доверительный интервал (ДИ) 2,157–56,096; р = 0,003).
Таблица 2. Взаимосвязи показателей, характеризующих психологический статус пациенток, качество сна, когнитивные функции и уровень физической активности
Показатели | ТС, баллы | ДС, баллы | Стресс, баллы |
ТС, баллы | – | r = 0,533 95% ДИ 0,336–0,685 р < 0,001 | r = 0,565 95% ДИ 0,376–0,709 р < 0,001 |
ДС, баллы | r = 0,533 95% ДИ 0,336–0,685 p < 0,001 | – | r = 0,454 95% ДИ 0,240–0,626 p < 0,001 |
Стресс, баллы | r = 0,565 95% ДИ 0,376–0,709 p < 0,001 | r = 0,454 95% ДИ 0,240–0,626 p < 0,001 | – |
Индекс качества сна, баллы | r = 0,454 95% ДИ 0,241–0,626 р < 0,001 | r = 0,451 95% ДИ 0,237–0,624 р < 0,001 | r = 0,313 95% ДИ 0,112–0,490 р = 0,003 |
Когнитивные функции, баллы | r = -0,315 95% ДИ -0,518 – -0,079 р = 0,010 | r = -0,333 95% ДИ -0,532 – -0,099 р = 0,006 | нз |
ФА, МЕТ/мин в неделю | r = -0,332 95% ДИ -0,504 – -0,134 р = 0,002 | r = -0,279 95% ДИ -0,480 – -0,030 р = 0,029 | нз |
МЕТ (metabolic equivalent of task) – метаболические единицы, ДИ – доверительный интервал, ДС – депрессивная симптоматика, нз – статистически незначимые взаимосвязи, ТС – тревожная симптоматика, ФА – физическая активность
Взаимосвязи выраженности ТС, ДС и стресса с уровнем образования и семейным положением выявлено не было. Мы также не обнаружили корреляционных взаимосвязей между вышеперечисленными показателями, характеризующими психологический статус пациенток, с проведенным ПОЛ.
Исходно группы сравнения статистически значимо не различались по возрасту пациенток, стадии и молекулярно-биологическому подтипу РМЖ, а также проведенному лекарственному ПОЛ. Исключение составила частота назначения лучевой терапии – у пациенток ОГ этот компонент ПОЛ использовался несколько реже. Не было значимых различий между группами по частоте выявления ССЗ и их традиционных ФР, эхокардиографическим показателям и результатам нагрузочного тестирования. Не установлено существенных различий между группами по исходным показателям психосоциального статуса, качества сна и когнитивных функций (см. табл. 1).
Динамика показателей психологического статуса пациенток
За 6 месяцев наблюдения из исследования по различным причинам выбыли 23 пациентки (см. рис. 1). В ОГ доля пациенток, приверженных программе КОР (посетили 75% занятий и более), составила 60% (n = 12). Основными факторами, отрицательно повлиявшими на приверженность, были изменение трудового статуса, недостаток времени, смена места жительства и большая удаленность медицинского учреждения от дома. Кроме того, существенное влияние оказали периодические карантинные ограничения, связанные с пандемией новой коронавирусной инфекции.
Снижение медианных показателей ТС по подшкале HADS-А к концу периода наблюдения отмечено только в группах КОР (табл. 3, рис. 2), при этом различия между группами сравнения не достигли статистической значимости.
Таблица 3. Динамика показателей психосоциального статуса, качества сна и когнитивных функций
Показатель | Очная группа (n = 20) | Дистанционная группа (n = 23) | Группа контроля (n = 24) | р между группами |
HADS-A, баллы: | ||||
исходно | 0,434 | |||
через 6 месяцев | 0,621 | |||
разность медиан (95% ДИ) | -1,5 (-3,0 – -0,5) | -2,0 (-3,0 – -0,5) | -0,5 (-2,0–0,5) | |
р по сравнению с исходным уровнем | 0,026 | 0,018 | 0,181 | |
HADS-D, баллы: | ||||
исходно | 0,067 | |||
через 6 месяцев | 0,189 | |||
разность медиан (95% ДИ) | -1,5 (-3,0–0,5) | -0,5 (-1,0–0,0) | 0,5 (-1,0–1,5) | |
р по сравнению с исходным уровнем | 0,099 | 0,263 | 0,571 | |
Стресс, баллы: | ||||
исходно | 0,162 | |||
через 6 месяцев | 0,318 | |||
разность медиан (95% ДИ) | -1,5 (-2,0–0,0) | -1,5 (-2,5 – -0,5) | 0,0 (-1,0–1,0) | |
р по сравнению с исходным уровнем | 0,050 | 0,003 | 0,974 | |
Индекс качества сна, баллы: | ||||
исходно | 0,386 | |||
через 6 месяцев | 0,825 | |||
разность медиан (95% ДИ) | -1,3 (-3,5–0,0) | 0,0 (-1,5–1,0) | -0,5 (-2,0–1,0) | |
р по сравнению с исходным уровнем | 0,153 | 0,784 | 0,390 | |
Когнитивные функции, баллы: | ||||
исходно | 0,587 | |||
через 6 месяцев | 0,294 | |||
разность медиан (95% ДИ) | 0,5 (-0,5–2,0) | 0,5 (0,0–1,0) | 0,5 (-0,5–1,0) | |
р по сравнению с исходным уровнем | 0,135 | 0,021 | 0,369 |
HADS (Hospital Anxiety and Depression Scale) – Госпитальная шкала тревоги и депрессии, ДИ – доверительный интервал
Количественные показатели представлены в виде медианы (Me), нижнего и верхнего квартилей [25%; 75%]
Рис. 2. Динамика тревожной симптоматики в группах очного участия (n = 20) (А), дистанционного участия (n = 23) (Б) и контроля (n = 24) (В). HADS – Госпитальная шкала тревоги и депрессии
Мы проанализировали динамику тревоги у пациенток с исходной субклинической и клинически выраженной ТС, количество которых в ОГ составило 13, в ДГ – 11, в КГ – 10 человек. Статистически значимое снижение доли пациенток с показателями по подшкале HADS-А ≥ 8 баллов к окончанию периода наблюдения было зарегистрировано только в ОГ и ДГ (рис. 3). По данным логистического регрессионного анализа, участие в программах КОР более чем в 5 раз повышало вероятность уменьшения выраженности ТС (снижение до уровня < 8 баллов или изменение категории ТС от клинически выраженной до субклинической) (ОШ 5,667, 95% ДИ 1,129–28,455; р = 0,035).
Рис. 3. Динамика тревожной симптоматики (ТС) у пациенток с исходной субклинической и клинически выраженной ТС в группах очного участия (n = 13) (А), дистанционного участия (n = 11) (Б) и контроля (n = 10) (В)
Сравнительный анализ степени изменения (Δ) показателя ТС в зависимости от его исходного уровня показал: у пациенток, участвовавших в программах КОР, с исходными показателями по HADS-А ≥ 8 баллов отмечалась бо`льшая степень уменьшения ТС, чем у пациенток с исходными показателями по HADS-А < 8 баллов. В КГ различия между соответствующими подгруппами не достигли статистической значимости (табл. 4). У пациенток с исходными показателями ТС по подшкале HADS-А ≥ 8 баллов была выявлена умеренная положительная корреляционная взаимосвязь между Δ показателя ТС и исходным уровнем физической работоспособности (МЕТ) (r = 0,352, 95% ДИ 0,0156–0,617; р = 0,041).
Таблица 4. Сравнительный анализ изменений показателей тревожной симптоматики и стресса в зависимости от их исходного уровня
Показатель | Очная + дистанционная группа (n = 43) | Разность медиан (95% ДИ) | р между подгруппами | Группа контроля (n = 24) | Разность медиан (95% ДИ) | р между подгруппами | ||
Исходный уровень тревожной симптоматики | HADS-А ≥ 8 баллов (n = 24) | HADS-А < 8 баллов (n = 19) | HADS-А ≥ 8 баллов (n = 10) | HADS-А < 8 баллов (n = 14) | ||||
Δ HADS-А, баллы | -3,0 [-4,0; -0,5] | -1,0 [-2,0; 1,0] | 2,0 (0,0–4,0) | 0,017 | -2,5 [-4,0; 1,0] | 0,0 [-1,0; 1,0] | 2,0 (0,0–5,0) | 0,060 |
Исходный уровень стресса | Высокий (n = 27) | Невысокий (n = 16) | Высокий (n = 11) | Невысокий (n = 13) | ||||
Δ ВАШ, баллы | -2,0 [-3,0; -1,0] | 0,0 [-1,0; 2,0] | 3,0 (1,0–4,0) | < 0,001 | 0,0 [-2,8; 1,0]* | 1 [-1,3; 3,3] | 2,0 (-1,0–3,0) | 0,168 |
ВАШ – визуально-аналоговая шкала, ДИ – доверительный интервал
Количественные показатели представлены в виде медианы (Me), нижнего и верхнего квартилей [25%; 75%]
* р = 0,020, разность медиан -2,0 (95% ДИ -3,0–0,0) между подгруппами пациенток объединенной группы кардиоонкологической реабилитации и контрольной группы с исходно высоким уровнем стресса
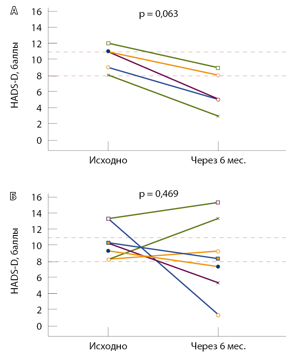
Ни в одной из групп исследования к окончанию периода наблюдения не было выявлено статистически значимых изменений медианных значений ДС по данным подшкалы HADS-D (см. табл. 3). Однако у всех пациенток, участвовавших в программах КОР, с исходными показателями ДС ≥ 8 баллов было отмечено уменьшение ее выраженности: у 3 из 5 пациенток наблюдалось снижение показателя ДС до уровня < 8 баллов, у 2 – переход ДС из категории клинически выраженной в субклиническую. В КГ число пациенток с HADS-D ≥ 8 баллов снизилось с 7 до 4, однако число пациенток с клинически выраженной ДС осталось прежним (n = 2) (рис. 4).
Рис. 4. Динамика депрессивной симптоматики (ДС) у пациенток с исходной субклинической и клинически выраженной ДС в объединенной группе кардиоонкологической реабилитации (n = 5) (А) и контрольной группе (n = 7) (Б). Пунктирными линиями представлены пороги субклинической (8 баллов) и клинически выраженной (11 баллов) ДС. HADS – Госпитальная шкала тревоги и депрессии
Статистически значимое снижение уровня стресса по сравнению с исходными значениями к окончанию периода наблюдения отмечалось в ДГ, в ОГ – находилось на грани статистической значимости (рис. 5, см. табл. 3), при этом различия между группами не достигли статистической значимости. У пациенток с исходно высоким уровнем стресса статистически значимая положительная динамика также наблюдалась только в группах КОР. Доля больных с высоким уровнем стресса к окончанию периода наблюдения в ДГ была существенно ниже, чем в КГ (рис. 6).
Рис. 5. Динамика уровня стресса в группах очного участия (n = 20) (А), дистанционного участия (n = 23) (Б) и контроля (n = 24) (В). ВАШ – визуально-аналоговая шкала
Рис. 6. Динамика уровня стресса у пациенток с его исходным повышением в группах очного участия (n = 13) (А), дистанционного участия (n = 14) (Б) и контроля (n = 11) (В)
Как видно из данных, представленных в табл. 4, у пациенток с высоким исходным уровнем стресса, принимавших участие в программах КОР, отмечалась бо`льшая степень его снижения, чем у пациенток с отсутствием такового. В КГ различия между соответствующими подгруппами не были статистически значимыми. Степень снижения стресса в группе пациенток с исходно высоким уровнем, участвовавших в программах КОР, оказалась значимо больше, чем у пациенток КГ.
Ни в одной из групп исследования не установлено статистически значимого улучшения качества сна за 6 месяцев наблюдения. Статистически значимая динамика показателя когнитивных функций была отмечена только в ДГ (см. табл. 3). Вероятность улучшения показателя когнитивных функций зависела от величины повышения кардиореспираторной выносливости (Δ VO2пик) у пациенток ДГ (ОШ 1,659, 95% ДИ 1,043–2,637; р = 0,032). Следует отметить, что сравнительный анализ Δ VO2пик через 6 месяцев наблюдения продемонстрировал значимые различия между ДГ и ОГ – 4,6 [0, 8; 6, 5] и 1,1 [0, 3; 4, 3] соответственно (разность медиан 2,4, 95% ДИ 0,2–5,2; р = 0,035); ДГ и КГ – 4,6 [0, 8; 6, 5] и -1,3 [-2,6; 3,1] соответственно (разность медиан -4,7, 95% ДИ -8,7 – -1,5; р = 0,011). Значимых различий между ОГ и КГ не выявлено (разность медиан -2,7, 95% ДИ -6,6–1,5; р = 0,138).
К окончанию периода наблюдения 4 (6%) пациентки получали психофармакотерапию. В качестве психотропных средств в ОГ использовались алимемазин, эсциталопрам (n = 1), в ДГ – гидроксизин, эсциталопрам (n = 2), в КГ – флуоксетин (n = 1). Доля пациенток, получающих психотропные препараты, к окончанию исследования статистически значимо не изменилась ни в одной из групп.
Обсуждение
В настоящем пилотном исследовании впервые в России изучено влияние различных моделей комплексных программ КОР (очной и с дистанционной поддержкой) на психологический статус пациенток, перенесших РМЖ.
Современные возможности раннего скрининга и лечения РМЖ значимо улучшили онкологический прогноз больных. В настоящее время показатель 5-летней выживаемости при ранних стадиях РМЖ превышает 90% [22]. Однако принятие диагноза, прохождение лечения, борьба с его побочными эффектами, неопределенность прогноза могут вызвать различные расстройства психологического состояния у больных РМЖ. Наиболее часто встречаются повышенный уровень стресса, тревожные и депрессивные состояния, когнитивные нарушения, проблемы с восприятием своего тела и сексуальная дисфункция [13, 23–25]. Многие из этих нарушений могут сохраняться на протяжении длительного времени.
В нашей работе установлена высокая частота нарушений психологического статуса у пациенток, перенесших РМЖ. Несмотря на то что медиана времени после завершения основных этапов ПОЛ составила около 3 лет, у половины включенных в исследование пациенток, по данным подшкалы HADS-А, выявлена ТС, которая в 40% случаев носила клинически выраженный характер. У 18% пациенток отмечена ДС, у 4,4% – сочетание клинически выраженной ТС и ДС.
Тревожное расстройство – одно из наиболее часто встречающихся нарушений психического здоровья у больных РМЖ. Так, согласно данным метаанализа, включавшего 36 исследований и 16 298 пациенток с РМЖ, распространенность ТС составила 41,9% [5]. В исследованиях показано, что у 20–50% пациенток, перенесших РМЖ, симптомы тревоги сохраняются на протяжении длительного времени [24].
По данным метаанализа 72 исследований, выполненных в 30 странах мира, распространенность депрессии у больных РМЖ составила 32,2% [6]. Пациентки, у которых РМЖ был диагностирован более года назад, значительно чаще сообщали о депрессивных симптомах по сравнению с женщинами без РМЖ в анамнезе [24]. Следует подчеркнуть, что частота выявления депрессивных расстройств варьировала в различных исследованиях в зависимости от популяции, дизайна исследования и метода оценки депрессии. Исследования демонстрируют бо`льшую распространенность тревожных расстройств по сравнению с депрессивными у пациенток, перенесших РМЖ [24, 25], что подтверждают результаты нашей работы. Мы также отметили, что более чем у половины пациенток был высокий уровень стресса, который, с одной стороны, является ФР развития онкологических заболеваний, а с другой – следствием их диагностики и лечения [8, 23, 25].
У подавляющего большинства (88,9%) пациенток, включенных в исследование, отмечено сниженное качество сна, которое, как и высокий уровень стресса, коррелировало с выраженностью ТС и ДС. Это согласуется с данными исследований, демонстрирующих высокую частоту сопутствующих изменению психологического статуса нарушений сна, дополнительно отягощающих состояние больных РМЖ [24, 26].
У 12,4% участниц нашего исследования было выявлено нарушение когнитивных функций, оцененных с помощью шкалы MoCа. Согласно данным ранее проведенных исследований, многие пациентки, перенесшие РМЖ, сообщают об изменениях памяти, способности к обучению, концентрации, рассуждению, исполнительной функции, внимания и зрительно-пространственных навыков во время и после завершения ПОЛ [27]. Эти симптомы, часто называемые «химическим мозгом», оказывают значительное негативное влияние на повседневную деятельность больных. Изменения нейрокогнитивного статуса у пациенток, перенесших РМЖ, были отмечены в 75% исследований, вошедших в крупный систематический обзор H. Carreira и соавт. [24]. В большинстве этих исследований через год после установления диагноза нейрокогнитивные нарушения были зафиксированы у 20–40% женщин. При этом пациентки показали худшие результаты, чем контрольная группа без РМЖ в анамнезе, в отношении одной или нескольких областей нейрокогнитивной функции. «Химический мозг» прежде всего связывают с ПОЛ. Доказано, что ХТ и гормональная терапия могут оказывать негативное влияние на когнитивные функции за счет различных механизмов, включая прямое нейротоксическое повреждение, хроническое нейровоспаление, повреждение ДНК и эндотелиальную дисфункцию. В то же время характерные для больных РМЖ стресс, тревожные и депрессивные состояния способны усугублять эти нарушения [24, 27, 28]. В нашей работе также отмечены отрицательные корреляционные взаимосвязи между выраженностью ТС, ДС и когнитивными функциями.
Психологические расстройства, обусловленные физическим состоянием, страхом рецидива и прогрессирования заболевания, не только обусловливают снижение качества жизни, нарушение социальных отношений у значительной доли больных РМЖ [29], но и оказывают неблагоприятное влияние на их прогноз. По данным метаанализа, проведенного X. Wang и соавт. (17 исследований с участием 282 203 больных РМЖ), депрессия ассоциировалась с 30% увеличением риска онкологической и общей смертности, тревога была связана с рецидивом РМЖ и смертностью от всех причин, при сочетании нарушений психологического статуса риски увеличивались [12]. Среди причин неблагоприятного влияния депрессивных и тревожных расстройств на прогноз больных РМЖ рассматривается склонность к ведению нездорового образа жизни, в том числе курению, употреблению алкоголя, а также ожирение, бессонница и несоблюдение режима ПОЛ [30]. Биологические механизмы негативного воздействия тревожных и депрессивных состояний включают аномальную активацию гипоталамо-гипофизарно-надпочечниковой оси с повышением уровня норадреналина и кортизола [31]. Обсуждается роль хронического стресса, запускающего множественные патогенетические механизмы, такие как воспаление, активация симпатической нервной системы, в прогрессировании основного заболевания и повышении риска сердечно-сосудистых событий у онкологических больных, в том числе страдающих РМЖ [8, 32].
Высокая распространенность нарушений психологического статуса и их неблагоприятное влияние на онкологический, сердечно-сосудистый и общий прогноз обусловливают необходимость выявления и своевременного лечения тревоги и депрессии у больных РМЖ. Существуют научно обоснованные психотерапевтические методы лечения, такие как когнитивно-поведенческая терапия, техники осознанности, тренинги по релаксации и поведенческие вмешательства для управления симптомами [13]. Показано, что психологические вмешательства способны не только уменьшить дистресс и улучшить качество жизни, но и повлиять на долгосрочные результаты, увеличивая безрецидивную выживаемость и снижая смертность больных РМЖ [13, 33].
Помимо психотерапии и медикаментозных методов коррекции нарушений психологического состояния пациентов с РМЖ продемонстрирована эффективность физических нагрузок [14, 15]. В Кохрановском обзоре, объединившем 63 исследования (5761 пациентка, получившая лечение по поводу РМЖ), показано, что регулярные физические тренировки улучшают параметры качества жизни, социального функционирования, эмоционального статуса и тревоги [14]. Положительное влияние ФА на качество жизни и выраженность тревоги выявлено и в недавно опубликованном метаанализе, включающем 20 рандомизированных контролируемых исследований с участием 1228 женщин, перенесших РМЖ [15]. Улучшение психологического состояния у лиц, регулярно выполняющих физические упражнения, обусловлено высвобождением эндорфинов, модуляцией нейротрансмиттеров и влиянием на гипоталамо-гипофизарно-надпочечниковую ось [34]. В нашей работе также отмечена зависимость выраженности ТС от уровня ФА.
В последние годы перспективы снижения ССР у онкологических больных связывают с КОР, которую можно рассматривать как важную составляющую профилактической кардиоонкологии [18]. КОР во многом схожа с классическими программами кардиореабилитации и представляет комплексную модель, основанную на многоцелевом подходе, которая предназначена для очень сложной группы пациентов с высоким риском ССЗ, связанным с кардиоваскулярной токсичностью ПОЛ, а также традиционными, поведенческими и психосоциальными ФР [16]. КОР включает в себя оценку ССР, образовательную программу, физические тренировки, психологическую поддержку, консультирование по вопросам питания, управление ФР ССЗ. КОР нацелена на повышение кардиореспираторной выносливости, улучшение психосоциального благополучия и снижение сердечно-сосудистой заболеваемости и смертности онкологических больных и может осуществляться на всех этапах лечения [16, 35].
Опубликовано несколько рандомизированных исследований, посвященных оценке эффективности программ КОР, основанных на физических упражнениях [36, 37], а также комплексных реабилитационных вмешательств, включающих управление ФР ССЗ, физические упражнения и консультирование по питанию [17] у больных РМЖ, получающих кардиоваскулотоксичное ПОЛ. Продемонстрировано благотворное влияние участия в программах КОР на кардиореспираторную выносливость, а в ряде исследований – и на показатели систолической функции левого желудочка, сердечные биомаркеры и традиционные ФР ССЗ. В отечественной литературе имеются единичные работы, оценивающие применение технологий физической и реабилитационной медицины у пациентов онкологического профиля. Показано, что данные технологии улучшают показатели клинического статуса у больных РМЖ после комплексного ПОЛ: купируют болевой синдром, повышают двигательную активность и функционирование, снижают проявления лимфовенозной недостаточности верхней конечности, улучшают психофизио- логический статус и качество жизни [38].
Несмотря на очевидный потенциал КОР, существует немало причин, ограничивающих ее широкое внедрение в клиническую практику [39]. Использование современных моделей реализации программ КОР с применением дистанционных технологий поддержки представляется перспективным направлением, способствующим повышению вовлеченности пациентов [18, 40].
В нашем исследовании оценивалась эффективность различных моделей КОР в отношении психологического статуса пациенток, перенесших комплексное кардиоваскулотоксичное ПОЛ по поводу РМЖ. Мы показали, что участие как в очной, так и в дистанционной программах позволяет уменьшить выраженность ТС и уровень стресса.
Данные метаанализов свидетельствуют о том, что онкологические пациенты с более высоким уровнем тревоги и стресса получают наибольшую пользу от психосоциального вмешательства [41]. В нашей работе у пациенток с исходно высокими показателями ТС и стресса, принимавших участие в программах КОР, также наблюдалась бо`льшая степень их снижения в течение периода наблюдения по сравнению с пациентками, исходно не имевшими соответствующих нарушений психологического статуса.
Мы не выявили существенного снижения медианных значений ДС по данным подшкалы HADS-D ни в одной из групп вмешательства, что, возможно, связано с небольшим количеством включенных пациенток. Тем не менее у всех пациенток, участвовавших в программах КОР, с исходными показателями ДС ≥ 8 баллов было отмечено уменьшение ее выраженности. Согласно результатам упомянутого выше метаанализа, ФА была эффективным вмешательством в плане улучшения качества жизни и снижения тревожности, однако ее положительное влияние на депрессию у женщин, перенесших РМЖ, не было статистически значимым [15]. Это свидетельствует о необходимости поиска более эффективных способов коррекции депрессивных расстройств у данной категории пациенток.
Наиболее значимый результат настоящего исследования, на наш взгляд, заключается в демонстрации эффективности программы КОР с дистанционной поддержкой, не уступающей очной по влиянию на изученные показатели психологического статуса пациенток. Удаленное проживание, транспортные проблемы, ограничения, связанные с занятостью по работе, эпидемиологическая обстановка могут представлять труднопреодолимый барьер при организации программы КОР в специализированном центре, что было отмечено и в нашем исследовании – приверженность очной программе КОР составила 60%. В отдельных группах пациентов, особенно при наличии навыков в области информационных технологий, отсутствии выраженных нарушений функциональных возможностей, реабилитация на дому с использованием дистанционных технологий может быть безопасной и эффективной [18]. Больные РМЖ относятся именно к данной категории – в основном это женщины трудоспособного возраста (медиана возраста пациенток в нашем исследовании составила 49 лет). В нескольких исследованиях было показано положительное влияние дистанционных программ с применением телемедицины на психосоциальные и физические последствия, связанные с онкологическим заболеванием и его лечением, на общее состояние здоровья и когнитивные функции пациентов [42, 43]. В нашей работе у пациенток, принимавших участие в программе КОР с дистанционной поддержкой, наряду с положительной динамикой показателей психологического статуса была отмечена статистически значимая динамика показателя когнитивных функций. Мы выявили зависимость вероятности улучшения показателя когнитивных функций от величины повышения кардиореспираторной выносливости (Δ VO2пик) у пациенток ДГ (ОШ 1,659, 95% ДИ 1,043–2,637; р = 0,032). В исследовании Yi.Y. Ning и соавт. у больных РМЖ была продемонстрирована взаимосвязь когнитивного дефицита с повышением уровня воспалительного цитокина интерлейкина-6 и снижением уровня модулируемого им мозгового нейротрофического фактора, ответственного за нейрональную пластичность и адаптивные реакции на стрессовые ситуации [44]. Предполагается, что физические нагрузки могут оказывать положительное влияние на когнитивные функции за счет восстановления гомеостаза этих биомаркеров [44].
К основным ограничениям нашего исследования следует отнести его одноцентровый характер и небольшое количество включенных больных. Помимо этого, участниками данного исследования были пациентки, получившие комплексное кардиоваскулотоксичное ПОЛ по поводу РМЖ, направленные или самостоятельно обратившиеся в ФГБУ «НМИЦК им. ак. Е.И. Чазова» Минздрава России, что не позволяет интерполировать полученные данные на всю когорту больных, перенесших РМЖ.
Более выраженная динамика показателей ТС и стресса в подгруппах с исходно более высокими их значениями представляется нам важным результатом, который позволяет выделить целевую группу для КОР, однако должен быть интерпретирован с осторожностью, так как может не только отражать эффективность КОР, но и иллюстрировать феномен регресса к среднему значению.
Важно отметить, что программы КОР в нашем исследовании включали одну консультацию клинического психолога, что не позволяет делать выводы о влиянии комплексных КОР с использованием иных методов профессиональной психологической помощи на психологический статус пациенток, перенесших РМЖ.
Перспективы исследований в данном направлении мы связываем с проведением более масштабных рандомизированных испытаний по оценке эффективности моделей КОР с использованием различных способов дистанционной поддержки; дополнением программ психотерапевтическими методами коррекции психологического статуса с доказанной эффективностью; а также длительностью наблюдения, позволяющей оценить влияние разработанных программ КОР на сердечно-сосудистый прогноз у больных, перенесших РМЖ.
Заключение
В настоящем исследовании показана высокая частота выявления психосоциальных ФР ССЗ, в частности ТС, ДС, повышенного уровня стресса, у пациенток, перенесших РМЖ. Установлено, что проведение как очной, так и дистанционной программ КОР позволяет уменьшить выраженность ТС и уровень стресса пациенток. Принимая во внимание распространенность РМЖ в российской популяции, а также высокий потенциал комплексных многоцелевых вмешательств в снижении ССР, очевидна потребность в разработке и внедрении в клиническую практику различных моделей программ КОР у данной категории больных. Результаты нашей работы дополняют имеющиеся данные и демонстрируют эффективность программ КОР с использованием легкодоступных дистанционных технологий поддержки для улучшения психологического статуса пациенток, перенесших РМЖ.
Дополнительная информация
Финансирование
Работа выполнена в рамках Государственного задания Министерства здравоохранения Российской Федерации (регистрационный № НИОКТР 121031300223-4).
Конфликт интересов
Авторы декларируют отсутствие явных и потенциальных конфликтов интересов, связанных с публикацией настоящей статьи.
Участие авторов
М.В. Виценя, И.В. Баринова – концепция и дизайн исследования, сбор и обработка материала, статистическая обработка данных, написание текста; Н.В. Погосова, Ф.Т. Агеев – концепция и дизайн исследования, редактирование рукописи; Т.А. Тертерян, Д.Т. Кучиев, А.А. Герасимова, А.Ю. Филатова, Н.М. Ибрагимова, О.О. Фролкова – сбор и обработка материала. Все авторы прочли и одобрили финальную версию статьи перед публикацией, согласны нести ответственность за все аспекты работы и гарантируют, что ими надлежащим образом были рассмотрены и решены вопросы, связанные с точностью и добросовестностью всех частей работы.
About the authors
Marina V. Vitsenya
National Medical Research Centre of Cardiology named after Academician E.I. Chazov
Author for correspondence.
Email: marinavitsenya@gmail.com
ORCID iD: 0000-0003-1996-3416
MD, PhD, Senior Research Fellow, Outpatient Treatment and Diagnostic Technologies Department
Russian Federation, ul. Akademika Chazovа 15a, Moscow, 121552Irina V. Barinova
National Medical Research Centre of Cardiology named after Academician E.I. Chazov
Email: ndo-barinova@yandex.ru
ORCID iD: 0000-0003-3753-1860
MD, PhD, Cardiologist, Outpatient Cardiac Rehabilitation Department
Russian Federation, ul. Akademika Chazovа 15a, Moscow, 121552Nana V. Pogosova
National Medical Research Centre of Cardiology named after Academician E.I. Chazov
Email: nanapogosova@gmail.com
ORCID iD: 0000-0002-4165-804X
MD, PhD, Professor, Corr. Member of Russ. Acad. Sci., Deputy General Director for Scientific and Analytical Work and Preventive Cardiology
Russian Federation, ul. Akademika Chazovа 15a, Moscow, 121552Tatevik A. Terteryan
National Medical Research Centre of Cardiology named after Academician E.I. Chazov
Email: terteryant@yandex.ru
ORCID iD: 0000-0003-0702-661X
Cardiologist, Outpatient Cardiac Rehabilitation Department
Russian Federation, ul. Akademika Chazovа 15a, Moscow, 121552David T. Kuchiev
National Medical Research Centre of Cardiology named after Academician E.I. Chazov
Email: david988721@mail.ru
ORCID iD: 0000-0002-3492-5373
Cardiologist, Outpatient Cardiac Rehabilitation Department
Russian Federation, ul. Akademika Chazovа 15a, Moscow, 121552Anna A. Gerasimova
National Medical Research Centre of Cardiology named after Academician E.I. Chazov
Email: anna.al.gerasimova@gmail.com
ORCID iD: 0000-0001-5298-6084
Clinical Psychologist, Outpatient Cardiac Rehabilitation Department
Russian Federation, ul. Akademika Chazovа 15a, Moscow, 121552Anastasiya Y. Filatova
National Medical Research Centre of Cardiology named after Academician E.I. Chazov
Email: anastasia.m088@yandex.ru
ORCID iD: 0000-0001-8911-1628
MD, PhD, Research Fellow, Myocardial Fibrosis and Heart Failure with Preserved Ejection Fraction Laboratory
Russian Federation, ul. Akademika Chazovа 15a, Moscow, 121552Nursiyat M. Ibragimova
National Medical Research Centre of Cardiology named after Academician E.I. Chazov
Email: nursik0205@gmail.com
ORCID iD: 0009-0008-4649-7004
Functional Diagnostics Doctor, Consultative and Diagnostic Center
Russian Federation, ul. Akademika Chazovа 15a, Moscow, 121552Olga O. Frolkova
Moscow Municipal Oncologic Hospital No. 62
Email: olya_doc@mail.ru
ORCID iD: 0000-0002-0900-2331
Cardiologist
Russian Federation, pos. Istra 27, Krasnogorsk, Moscow Region, 143515Fail T. Ageev
National Medical Research Centre of Cardiology named after Academician E.I. Chazov
Email: ftageev@gmail.com
ORCID iD: 0000-0003-4369-1393
MD, PhD, Professor, Chief Research Fellow, Outpatient Treatment and Diagnostic Technologies Department
Russian Federation, ul. Akademika Chazovа 15a, Moscow, 121552References
- Bray F, Laversanne M, Sung H, Ferlay J, Siegel RL, Soerjomataram I, Jemal A. Global cancer statistics 2022: GLOBOCAN estimates of incidence and mortality worldwide for 36 cancers in 185 countries. CA Cancer J Clin. 2024;74(3):229–263. doi: 10.3322/caac.21834.
- Kaprin AD, Starinskiy VV, Shakhzadova AO, eds. [The state of cancer care for the Russian population in 2023]. Moscow: Herzen Moscow Oncology Research Institute – branch of National Medical Research Center for Radiology, 2024. Russian.
- Galimzhanov A, Istanbuly S, Tun HN, Ozbay B, Alasnag M, Ky B, Lyon AR, Kayikcioglu M, Tenekecioglu E, Panagioti M, Kontopantelis E, Abdel-Qadir H, Mamas MA. Cardiovascular outcomes in breast cancer survivors: A systematic review and meta-analysis. Eur J Prev Cardiol. 2023;30(18):2018–2031. doi: 10.1093/eurjpc/zwad243.
- Greenlee H, Iribarren C, Rana JS, Cheng R, Nguyen-Huynh M, Rillamas-Sun E, Shi Z, Laurent CA, Lee VS, Roh JM, Santiago-Torres M, Shen H, Hershman DL, Kushi LH, Neugebauer R, Kwan ML. Risk of cardiovascular disease in women with and without breast cancer: The pathways heart study. J Clin Oncol. 2022;40(15):1647–1658. doi: 10.1200/JCO.21.01736.
- Hashemi SM, Rafiemanesh H, Aghamohammadi T, Badakhsh M, Amirshahi M, Sari M, Behnamfar N, Roudini K. Prevalence of anxiety among breast cancer patients: A systematic review and meta-analysis. Breast Cancer. 2020;27(2):166–178. doi: 10.1007/s12282-019-01031-9.
- Pilevarzadeh M, Amirshahi M, Afsargharehbagh R, Rafiemanesh H, Hashemi SM, Balouchi A. Global prevalence of depression among breast cancer patients: A systematic review and meta-analysis. Breast Cancer Res Treat. 2019;176(3):519–533. doi: 10.1007/s10549-019-05271-3.
- Albitre A, Reglero C, González-Muñoz T, Penela P. The stress connection in cancer: The adrenergic fuelling of breast tumors. Curr Opin Physiol. 2023;36(5):100720. doi: 10.1016/j.cophys.2023.100720.
- Stabellini N, Cullen J, Bittencourt MS, Moore JX, Sutton A, Nain P, Hamerschlak N, Weintraub NL, Dent S, Tsai MH, Banerjee A, Ghosh AK, Sadler D, Coughlin SS, Barac A, Shanahan J, Montero AJ, Guha A. Allostatic load/chronic stress and cardiovascular outcomes in patients diagnosed with breast, lung, or colorectal cancer. J Am Heart Assoc. 2024;13(14):e033295. doi: 10.1161/JAHA.123.033295.
- Silverman AL, Herzog AA, Silverman DI. Hearts and minds: stress, anxiety, and depression: Unsung risk factors for cardiovascular disease. Cardiol Rev. 2019;27(4):202–207. doi: 10.1097/CRD.0000000000000228.
- Pogosova NV, Sokolova OYu, Yufereva YuM, Kursakov AA, Ausheva AK, Arutyunov AA, Kalinina AS, Karpova AV, Vygodin VA, Boytsov SA, Oganov RG. [Psychosocial risk factors in patients with most common cardiovascular diseases such as hypertension and coronary artery disease (Based on results from the russian multicenter COMET study)]. Kardiologiia. 2019;59(8):54–63. Russian. doi: 10.18087/cardio.2019.8.n469.
- Smirnova MD, Svirida ON, Fofanova TV, Blanova ZN, Yarovaya EB, Ageev FT, Boytsov SA. [Subclinical depression and anxiety as an additional risk factor for cardiovascular events in low- and moderate-risk patients: data from 10-year follow-up]. Cardiovascular Therapy and Prevention. 2021;20(4):2762. Russian. doi: 10.15829/1728-8800-2021-2762.
- Wang X, Wang N, Zhong L, Wang S, Zheng Y, Yang B, Zhang J, Lin Y, Wang Z. Prognostic value of depression and anxiety on breast cancer recurrence and mortality: A systematic review and meta-analysis of 282,203 patients. Mol Psychiatry. 2020;25(12):3186–3197. doi: 10.1038/s41380-020-00865-6.
- Ashton K, Oney K. Psychological intervention and breast cancer. Curr Breast Cancer Rep. 2024;16:311–319. doi: 10.1007/s12609-024-00559-w.
- Lahart IM, Metsios GS, Nevill AM, Carmichael AR. Physical activity for women with breast cancer after adjuvant therapy. Cochrane Database Syst Rev. 2018;1(1):CD011292. doi: 10.1002/14651858.CD011292.pub2.
- Sun M, Liu C, Lu Y, Zhu F, Li H, Lu Q. Effects of physical activity on quality of life, anxiety and depression in breast cancer survivors: A systematic review and meta-analysis. Asian Nurs Res (Korean Soc Nurs Sci). 2023;17(5):276–285. doi: 10.1016/j.anr.2023.11.001.
- Gilchrist SC, Barac A, Ades PA, Alfano CM, Franklin BA, Jones LW, La Gerche A, Ligibel JA, Lopez G, Madan K, Oeffinger KC, Salamone J, Scott JM, Squires RW, Thomas RJ, Treat-Jacobson DJ, Wright JS; American Heart Association Exercise, Cardiac Rehabilitation, and Secondary Prevention Committee of the Council on Clinical Cardiology; Council on Cardiovascular and Stroke Nursing; and Council on Peripheral Vascular Disease. Cardio-oncology rehabilitation to manage cardiovascular outcomes in cancer patients and survivors: A scientific statement from the American Heart Association. Circulation. 2019;139(21):e997–e1012. doi: 10.1161/CIR.0000000000000679.
- Kirkham AA, Mackey JR, Thompson RB, Haykowsky MJ, Oudit GY, McNeely M, Coulden R, Stickland MK, Baracos VE, Dyck JRB, Haennel R, Pituskin E, Paterson DI. TITAN trial: A randomized controlled trial of a cardiac rehabilitation care model in breast cancer. JACC Adv. 2023;2(6):100424. doi: 10.1016/j.jacadv.2023.100424.
- Bisceglia I, Venturini E, Canale ML, Ambrosetti M, Riccio C, Giallauria F, Gallucci G, Abrignani MG, Russo G, Lestuzzi C, Mistrulli R, De Luca G, Maria Turazza F, Mureddu G, Di Fusco SA, Lucà F, De Luca L, Camerini A, Halasz G, Camilli M, Quagliariello V, Maurea N, Fattirolli F, Gulizia MM, Gabrielli D, Grimaldi M, Colivicchi F, Oliva F. Cardio-oncology rehabilitation: Are we ready? Eur Heart J Suppl. 2024;26(Suppl 2):ii252–ii263. doi: 10.1093/eurheartjsupp/suae030.
- Vitsenya MV, Barinova IV, Pogosova NV, Terteryan TA, Kuchiev DT, Khrushcheva YV, Gerasimova AA, Filatova AY, Ibragimova NM, Frolkova OO, Ageev FT. [Prevalence of cardiovascular diseases and risk factor assessment in breast cancer survivors exposed to cardiotoxic therapy]. Almanac of Clinical Medicine. 2025;53(1):21–33. Russian. doi: 10.18786/2072-0505-2025-53-004.
- Lyon AR, López-Fernández T, Couch LS, Asteggiano R, Aznar MC, Bergler-Klein J, Boriani G, Cardinale D, Cordoba R, Cosyns B, Cutter DJ, de Azambuja E, de Boer RA, Dent SF, Farmakis D, Gevaert SA, Gorog DA, Herrmann J, Lenihan D, Moslehi J, Moura B, Salinger SS, Stephens R, Suter TM, Szmit S, Tamargo J, Thavendiranathan P, Tocchetti CG, van der Meer P, van der Pal HJH; ESC Scientific Document Group. 2022 ESC Guidelines on cardio-oncology developed in collaboration with the European Hematology Association (EHA), the European Society for Therapeutic Radiology and Oncology (ESTRO) and the International Cardio-Oncology Society (IC-OS). Eur Heart J. 2022;43(41):4229–4361. doi: 10.1093/eurheartj/ehac244. Erratum in: Eur Heart J. 2023;44(18):1621. doi: 10.1093/eurheartj/ehad196.
- Riebe D, Ehrman JK, Liguori G, Magal M. ACSM’s Guidelines for Graded Exercise Testing and Prescription. 10th edn. Philadelphia: Wolters Kluwer; 2018:423–436.
- Siegel RL, Miller KD, Fuchs HE, Jemal A. Cancer statistics, 2022. CA Cancer J Clin. 2022;72(1):7–33. doi: 10.3322/caac.21708.
- Guimond AJ, Ivers H, Savard J. Clusters of psychological symptoms in breast cancer: Is there a common psychological mechanism? Cancer Nurs. 2020;43(5):343–353. doi: 10.1097/NCC.0000000000000705.
- Carreira H, Williams R, Müller M, Harewood R, Stanway S, Bhaskaran K. Associations between breast cancer survivorship and adverse mental health outcomes: A systematic review. J Natl Cancer Inst. 2018;110(12):1311–1327. doi: 10.1093/jnci/djy177. Erratum in: J Natl Cancer Inst. 2020;112(1):118. doi: 10.1093/jnci/djz059.
- Dinapoli L, Colloca G, Di Capua B, Valentini V. Psychological aspects to consider in breast cancer diagnosis and treatment. Curr Oncol Rep. 2021;23(3):38. doi: 10.1007/s11912-021-01049-3.
- Edmed SL, Huda MM, Smith SS, Seib C, Porter-Steele J, Anderson D, McCarthy AL. Prevalence and predictors of sleep problems in women following a cancer diagnosis: Results from the women's wellness after cancer program. J Cancer Surviv. 2024;18(3):960–971. doi: 10.1007/s11764-023-01346-9.
- Seliktar N, Polek C, Brooks A, Hardie T. Cognition in breast cancer survivors: Hormones versus depression. Psychooncology. 2015;24(4):402–407. doi: 10.1002/pon.3602.
- Országhová Z, Mego M, Chovanec M. Long-term cognitive dysfunction in cancer survivors. Front Mol Biosci. 2021;8:770413. doi: 10.3389/fmolb.2021.770413.
- Caruso R, Nanni MG, Riba MB, Sabato S, Grassi L. The burden of psychosocial morbidity related to cancer: Patient and family issues. Int Rev Psychiatry. 2017;29(5):389–402. doi: 10.1080/09540261.2017.1288090.
- de Souza BF, de Moraes JA, Inocenti A, dos Santos MA, Silva AE, Miasso AI. Women with breast cancer taking chemotherapy: Depression symptoms and treatment adherence. Rev Lat Am Enfermagem. 2014;22(5):866–873. doi: 10.1590/0104-1169.3564.2491.
- Sephton SE, Sapolsky RM, Kraemer HC, Spiegel D. Diurnal cortisol rhythm as a predictor of breast cancer survival. J Natl Cancer Inst. 2000;92(12):994–1000. doi: 10.1093/jnci/92.12.994.
- Kamiya A, Hiyama T, Fujimura A, Yoshikawa S. Sympathetic and parasympathetic innervation in cancer: Therapeutic implications. Clin Auton Res. 2021;31(2):165–178. doi: 10.1007/s10286-020-00724-y.
- Andersen BL, Yang HC, Farrar WB, Golden-Kreutz DM, Emery CF, Thornton LM, Young DC, Carson WE 3rd. Psychologic intervention improves survival for breast cancer patients: A randomized clinical trial. Cancer. 2008;113(12):3450–3458. doi: 10.1002/cncr.23969.
- Mikkelsen K, Stojanovska L, Polenakovic M, Bosevski M, Apostolopoulos V. Exercise and mental health. Maturitas. 2017;106:48–56. doi: 10.1016/j.maturitas.2017.09.003.
- Bisceglia I, Canale ML, Silvestris N, Gallucci G, Camerini A, Inno A, Camilli M, Turazza FM, Russo G, Paccone A, Mistrulli R, De Luca L, Di Fusco SA, Tarantini L, Lucà F, Oliva S, Moreo A, Maurea N, Quagliariello V, Ricciardi GR, Lestuzzi C, Fiscella D, Parrini I, Racanelli V, Russo A, Incorvaia L, Calabrò F, Curigliano G, Cinieri S, Gulizia MM, Gabrielli D, Oliva F, Colivicchi F. Cancer survivorship at heart: A multidisciplinary cardio-oncology roadmap for healthcare professionals. Front Cardiovasc Med. 2023;10:1223660. doi: 10.3389/fcvm.2023.1223660. Erratum in: Front Cardiovasc Med. 2023;10:1309921. doi: 10.3389/fcvm.2023.1309921.
- Foulkes SJ, Howden EJ, Haykowsky MJ, Antill Y, Salim A, Nightingale SS, Loi S, Claus P, Janssens K, Mitchell AM, Wright L, Costello BT, Lindqvist A, Burnham L, Wallace I, Daly RM, Fraser SF, La Gerche A. Exercise for the prevention of anthracycline-induced functional disability and cardiac dysfunction: The BREXIT study. Circulation. 2023;147(7):532–545. doi: 10.1161/CIRCULATIONAHA.122.062814.
- Díaz-Balboa E, Peña-Gil C, Rodríguez-Romero B, Cuesta-Vargas AI, Lado-Baleato O, Martínez-Monzonís A, Pedreira-Pérez M, Palacios-Ozores P, López-López R, González-Juanatey JR, González-Salvado V. Exercise-based cardio-oncology rehabilitation for cardiotoxicity prevention during breast cancer chemotherapy: The ONCORE randomized controlled trial. Prog Cardiovasc Dis. 2024;85:74–81. doi: 10.1016/j.pcad.2024.02.002.
- Kasparov BS, Kovlen DV, Semiglazova TY, Kondratieva KO, Ponomarenko GN, Kluge VA, Semiglazov VV, Frolov ON, Riazankina AA, Beliaev AM. [Comprehensive analysis of the efficacy of personalized rehabilitation programs in patients with breast cancer]. Problems of Balneology, Physiotherapy and Exercise Therapy. 2023;100(2):31–38. Russian. doi: 10.17116/kurort202310002131.
- Adams SC, Rivera-Theurel F, Scott JM, Nadler MB, Foulkes S, Leong D, Nilsen T, Porter C, Haykowsky M, Abdel-Qadir H, Hull SC, Iyengar NM, Dieli-Conwright CM, Dent SF, Howden EJ. Cardio-oncology rehabilitation and exercise: Evidence, priorities, and research standards from the ICOS-CORE working group. Eur Heart J. 2025;46(29):2847–2865. doi: 10.1093/eurheartj/ehaf100.
- Batalik L, Filakova K, Radkovcova I, Dosbaba F, Winnige P, Vlazna D, Batalikova K, Felsoci M, Stefanakis M, Liska D, Papathanasiou J, Pokorna A, Janikova A, Rutkowski S, Pepera G. Cardio-oncology rehabilitation and telehealth: Rationale for future integration in supportive care of cancer survivors. Front Cardiovasc Med. 2022;9:858334. doi: 10.3389/fcvm.2022.858334.
- Schneider S, Moyer A, Knapp-Oliver S, Sohl S, Cannella D, Targhetta V. Pre-intervention distress moderates the efficacy of psychosocial treatment for cancer patients: A meta-analysis. J Behav Med. 2010;33(1):1–14. doi: 10.1007/s10865-009-9227-2.
- Galiano-Castillo N, Cantarero-Villanueva I, Fernández-Lao C, Ariza-García A, Díaz-Rodríguez L, Del-Moral-Ávila R, Arroyo-Morales M. Telehealth system: A randomized controlled trial evaluating the impact of an internet-based exercise intervention on quality of life, pain, muscle strength, and fatigue in breast cancer survivors. Cancer. 2016;122(20):3166–3174. doi: 10.1002/cncr.30172.
- Chan RJ, Crichton M, Crawford-Williams F, Agbejule OA, Yu K, Hart NH, de Abreu Alves F, Ashbury FD, Eng L, Fitch M, Jain H, Jefford M, Klemanski D, Koczwara B, Loh K, Prasad M, Rugo H, Soto-Perez-de-Celis E, van den Hurk C, Chan A; Multinational Association of Supportive Care in Cancer (MASCC) Survivorship Study Group. The efficacy, challenges, and facilitators of telemedicine in post-treatment cancer survivorship care: An overview of systematic reviews. Ann Oncol. 2021;32(12):1552–1570. doi: 10.1016/j.annonc.2021.09.001.
- Yap NY, Toh YL, Tan CJ, Acharya MM, Chan A. Relationship between cytokines and brain-derived neurotrophic factor (BDNF) in trajectories of cancer-related cognitive impairment. Cytokine. 2021;144:155556. doi: 10.1016/ j.cyto.2021.155556.
Supplementary files













