Липополисахарид Rhodobacter capsulatus PG блокирует эффекты липотейхоевой кислоты – агониста Toll-подобного рецептора 2
- Авторы: Зубова С.В.1, Косякова Н.И.2, Грачев С.В.1,3, Прохоренко И.Р.1
-
Учреждения:
- Институт фундаментальных проблем биологии РАН, ФИЦ ПНЦБИ РАН
- Больница Пущинского научного центра РАН
- Первый Московский государственный медицинский университет им. И.М. Сеченова Минздрава России (Сеченовский университет)
- Выпуск: Том 14, № 4 (2022)
- Страницы: 69-74
- Раздел: Экспериментальные статьи
- URL: https://journal-vniispk.ru/2075-8251/article/view/233379
- DOI: https://doi.org/10.32607/actanaturae.11747
- ID: 233379
Цитировать
Аннотация
Липополисахариды (LPS) и липотейхоевые кислоты (LTA) являются главными индукторами воспалительных ответов клеток крови, вызываемых грамотрицательными и некоторыми грамположительными бактериями. CD14 – общий рецептор LPS и LTA, передает лиганды на TLR4 и TLR2 соответственно. Нами показано, что нетоксичный LPS Rhodobacter capsulatus PG блокирует синтез провоспалительных цитокинов при активации клеток крови LTA Streptococcus pyogenes, связываясь с рецептором CD14, что приводит к блокировке передачи сигнала к TLR2/TLR6. LPS Rhodobacter capsulatus PG можно рассматривать как прототип для создания препаратов, защищающих клетки крови от действия LTA грамположительных бактерий.
Ключевые слова
Полный текст
СПИСОК СОКРАЩЕНИЙ LPS – липополисахарид; LTA – липотейхоевая кислота; CD – кластер дифференцировки; ERK – киназа, регулируемая внеклеточным сигналом; IL – интерлейкин; JNK – N-концевая киназа c-Jun; LBP – LPS-связывающий белок; MAPK – митогенактивируемая протеинкиназа; MD-2 – белок миелоидной дифференцировки 2; NF-κB – ядерный фактор транскрипции κB; РАМР – молекулярные структуры, связанные с патогеном; PI3K – фосфатидилинозит-3-киназа; PKC – протеинкиназа C; TLR – Толл-подобный рецептор; TNF-α – фактор некроза опухоли α.
ВВЕДЕНИЕ
Изучение механизмов воспаления, вызванного лигандами различной природы, является одним из приоритетных направлений современной биомедицины. В нашей работе рассмотрена возможность использования липополисахарида (LPS) Rhodobacter capsulatus PG, нетоксичного антагониста эндотоксинов, для изучения механизмов функциональных ответов клеток врожденного иммунитета на PAMP различной природы. LPS и липотейхоевые кислоты (LTA) – главные элементы клеточной стенки грамотрицательных и грамположительных бактерий, обладают иммуностимулирующей активностью. LPS – это гликолипиды, состоящие из трех структурных доменов: липида А, олигосахарида кора и О-антигена, и локализованные во внешнем лепестке внешней мембраны грамотрицательных бактерий, а LTA – это амфифильные ди- и триацилированные липопептиды, заякоренные на внешней стороне цитоплазматической мембраны грамположительных бактерий. В некоторых аспектах LTA рассматриваются как эквивалент LPS, ответственный за развитие септического шока, вызываемого грамположительными бактериями [1]. TLR4 и TLR2, экспрессированные на поверхности клеток крови, узнают эти биологически активные молекулы. TLR4 был идентифицирован как специфический рецептор к LPS, индуцирующий высвобождение провоспалительных цитокинов моноцитами и макрофагами, стимулированными эндотоксинами [2]. TLR2 узнает ди- или триацилированные LTA грамположительных бактерий, инициируя иммунные ответы [3, 4]. LTA Streptococcus pyogenes, Staphylococcus aureus и Streptococcus pneumonia связываются непосредственно с TLR2 [5–7]. В доставке LPS к рецептору участвует белок LBP крови, который связывается с LPS и передает его в форме мономера мембраносвязанному рецептору CD14, далее к MD-2 и ТLR4 [8]. В доставке LTA к TLR2 также участвуют LBP и CD14 [4]. CD14 входит в мультилигандный рецепторный комплекс и опосредует разнообразные клеточные ответы, связанные с передачей сигналов от TLR2 и TLR4 [9]. СD14 усиливает активацию TLR2, облегчая связывание липопептидов и гетеродимеризацию TLR2 с TLR1 или TLR6. Активация комплекса TLR2/TLR6 диацилированными липопептидами, в частности LTA, происходит с участием рецептора CD36 [10]. Чтобы TLR4 функционировал как рецептор LPS, необходим фактор миелоидной дифференцировки MD-2 [11]. MD-2 физически ассоциирован с TLR2, но слабее, чем MD-2 с TLR4 [12]. Показано, что эта вспомогательная молекула усиливает опосредованные TLR2 ответы на LTA [13]. Передача сигналов от TLR2 и TLR4 запускается индуцированной лигандами димеризацией рецепторов. В отличие от TLR4, который в ответ на LPS передает сигналы в виде гомодимера (TLR4)2, TLR2 при распознавании LTA формирует гетеродимер с TLR6 или TLR1 [14, 15]. Бактериальные компоненты LTA и LPS запускают внутриклеточный сигнальный каскад через TLR2 и TLR4 по сходному сигнальному пути, приводящему к активации транскрипционного фактора NF-κB, PKC, PI3K, ERK, JNK и p38 MAPK и к синтезу провоспалительных цитокинов TNF-α, IL-1β, IL-6 и хемокина IL-8 [16]. LPS целого ряда грамотрицательных бактерий, не относящихся к энтеробактериям, активируют клетки миелоидной линии через TLR2 [17, 18]. К особенностям липидов А этих LPS относятся наличие фосфорилированного диглюкозамина, длина углеводородных цепей остатков жирных кислот, отличная от длины цепей у энтеробактериальных LPS, или присутствие разветвленных ацильных цепей [19]. Нетоксичный LPS грамотрицательной фототрофной бактерии Rhodobacter capsulatus PG является антагонистом эндотоксинов [20, 21]. Этот LPS способен блокировать активацию клеток крови, которая приводит к высвобождению широкого спектра провоспалительных цитокинов, вызванному эндотоксинами [22]. Синтетический аналог липида А из R. capsulatus, E5531, подавляет наработку TNF-α моноцитами крови человека, активированными LPS Escherichia coli 0111:B4 или LTA Staphylococcиs faecalis, практически не проявляя собственной активности [23]. Cтруктура нетоксичного липида А LPS Rhodobacter capsulatus включает в дисахаридную основу дифосфорилэтиламин при С-1 и фосфорилэтиламин при С-4’, а также ненасыщенную жирную кислоту (12:1) [24]. На основании этих структурных особенностей липида А мы предположили, что LPS Rhodobacter capsulatus PG, подобно E5531, может конкурировать с LTA Streptococcus pyogenes за TLR2, блокируя активацию синтеза провоспалительных цитокинов клетками крови.
ЭКСПЕРИМЕНТАЛЬНАЯ ЧАСТЬ
Исследования проводили на цельной крови здоровых добровольцев обоего пола в возрасте от 25 до 30 лет. Все испытуемые дали письменное согласие на участие в исследовании. Протокол исследования соответствует Хельсинкской декларации Всемирной медицинской ассоциации (2013 г.) и одобрен Локальным этическим комитетом больницы Пущинского научного центра (№ 2 от 10.04.2014). Забор периферической крови осуществляли в клинических условиях с использованием вакутейнеров (Becton Dickinson and Company, Великобритания), обработанных гепарином натрия (17 ед./мл).
Активация клеток крови LPS и LTA
Для исследования влияния LPS и LTA на синтез цитокинов и хемокинов кровь разводили средой RPMI 1640 в соотношении 1:10 и инкубировали с LPS E. coli 055:B5 (100 нг/мл), LPS Salmonella enterica серотип Typhimurium (100 нг/мл), LTA Streptococcus pyogenes (1000 нг/мл) (Sigma-Aldrich, США) или LPS Rhodobacter capsulatus PG (1000 нг/мл) в различных сочетаниях в течение 6 и 24 ч при 37°C в 5% CO2. LPS Rhodobacter capsulatus PG был получен согласно методике, описанной ранее [25]. Для определения антагонистического действия LPS Rhodobacter capsulatus PG в отношении LPS E. coli, S. enterica или LTA S. pyogenes в различных сочетаниях кровь в течение 30 мин предынкубировали с LPS Rhodobacter capsulatus PG, после чего добавляли LPS или LTA. Для определения роли рецептора CD14 в активации клеток кровь предварительно инкубировали с антителами (АТ) к CD14 (2 мкг/мл) (Purified Anti-human CD14 Clone M5E2, BioLegend, США) в течение 30 мин при 4°C, а затем добавляли LPS или LTA. Образцы инкубировали в течение 6 и 24 ч при 37°C в 5% CO2. После инкубации клетки крови осаждали центрифугированием (300 g, 10 мин). Супернатанты отбирали и хранили при –20°C до определения содержания цитокинов и хемокинов.
Содержание цитокинов и хемокинов
Содержание цитокинов и хемокинов определяли с помощью наборов для ИФА TNF-α, IL-6, IL-1β, IL-8 («Вектор-БЕСТ», Россия) согласно протоколу производителя. Оптическую плотность образцов определяли на ИФА-анализаторе STAT FAX 3200 (Awareness Technology Inc., США) при длине волны 450 нм.
Статистический анализ
Статистическую обработку и графическое представление результатов проводили методами непараметрической статистики в Origin Pro 7.5 и Microsoft Office Excel 2010 (плагин AtteStat). Результаты представлены в виде медианных значений с верхним и нижним квартилями (IQR). Статистическую значимость различий между медианными значениями определяли по критерию Манна–Уитни (p < 0.05).
РЕЗУЛЬТАТЫ
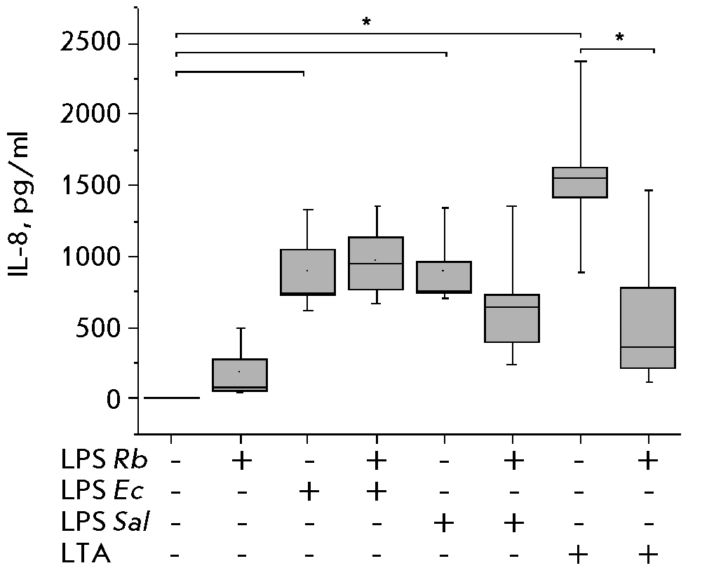
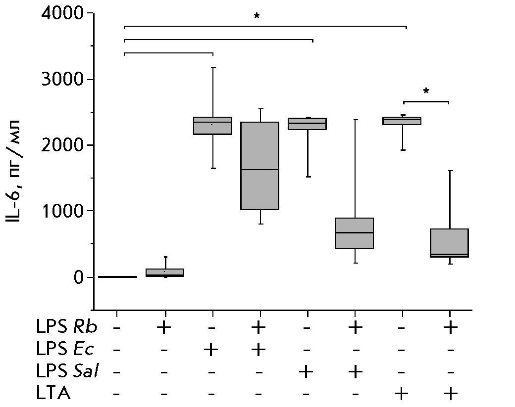
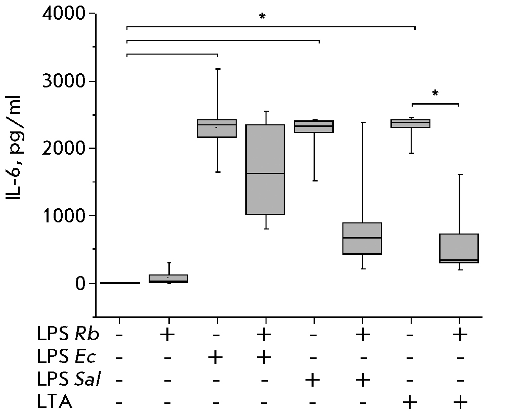
LPS E. coli или LPS S. enterica стимулировали значительную, близкую по величине, наработку провоспалительных цитокинов TNF-α (рис. 1), IL-6 (рис. 2) и IL-1β (рис. 3), а также хемокина воспаления IL-8 (рис. 4), продукция которых значимо превышала контрольные значения. В ответ на активацию LTA также нарабатывались высокие уровни исследуемых цитокинов и хемокинов. Уровень синтеза более позднего цитокина IL-1β и хемокина IL-8 в ответ на LTA S. pyogenes превышал уровни при активации посредством LPS E. coli или LPS S. enterica (рис. 3, 4).
Рис. 1. Влияние LPS Rhodobacter capsulatus PG на секрецию TNF-α при активации клеток крови LPS E. coli, LPS Salmonella enterica или LTA Streptococcus pyogenes, n = 7. *р < 0.05
Рис. 2. Влияние LPS Rhodobacter capsulatus PG на секрецию IL-6 при активации клеток крови LPS E. coli, LPS Salmonella enterica или LTA Streptococcus pyogenes, n = 7. *р < 0.05
Рис. 3. Влияние LPS Rhodobacter capsulatus PG на секрецию IL-1β при активации клеток крови LPS E. coli, LPS Salmonella enterica или LTA Streptococcus pyogenes, n = 7. *р < 0.05
Рис. 4. Влияние LPS Rhodobacter capsulatus PG на секрецию IL-8 при активации клеток крови LPS E. coli, LPS Salmonella enterica или LTA Streptococcus pyogenes, n = 7. *р < 0.05
Нетоксичный LPS Rhodobacter capsulatus PG в концентрации, в 10 раз превышающей концентрацию эндотоксинов E. coli и S. enterica, и в равной концентрации с LTA S. pyogenes не стимулировал клетки к наработке TNF-α, IL-6 и IL-1β (рис. 1–3). Количество хемокина IL-8 в крови в ответ на LPS Rhodobacter capsulatus PG незначительно увеличивалось по сравнению с контролем, но было значительно ниже, чем при активации клеток крови эндотоксинами или LTA S. pyogenes (рис. 4). Исследование способности LPS Rhodobacter capsulatus PG защищать клетки крови от действия эндотоксинов E. coli и S. enterica показало, что LPS Rhodobacter capsulatus PG подавлял синтез цитокинов TNF-α, IL-6 и IL-1β в крови, причем блокирование ответа на LPS S. enterica было сильнее, чем на LPS E. coli (рис. 1–3).
По синтезу хемокина IL-8 защитного эффекта LPS Rhodobacter capsulatus PG от действия эндотоксинов не наблюдалось (рис. 4). IL-8 является важным медиатором ответа хозяина на воспаление и инфекцию [26]. Предполагается, что ответ клеток на воздействие бактериальных агентов и синтез IL-8 индуцируются раньше, чем синтез IL-6 [27].
При активации клеток LTA S. pyogenes предварительная инкубация крови с LPS Rhodobacter capsulatus PG приводила к значительному снижению синтеза провоспалительных цитокинов TNF-α, IL-6 и IL-1β и хемокина IL-8 (рис. 1–4). Из полученных данных следует, что LPS Rhodobacter capsulatus PG проявляет антагонистическую активность не только в отношении эндотоксинов, но и в отношении LTA S. pyogenes.
В контрольных образцах АТ к CD14 не влияли на активацию синтеза TNF-α в клетках крови (рис. 5). Предварительная инкубация крови с АТ к CD14 при последующей активации клеток LPS E. coli, LPS S. enterica или LTA S. pyogenes более заметно снижала синтез TNF-α, индуцированный LTA, чем эндотоксинами.
Рис. 5. Влияние АТ СD14 на секрецию TNF-α при активации клеток крови LPS E. coli, LPS Salmonella enterica или LTA Streptococcus pyogenes, n = 7. *р < 0.05
ОБСУЖДЕНИЕ
Толл-подобные рецепторы (TLR) активируют клетки врожденной иммунной системы, распознавая различные микроорганизмы через ассоциированные с патогеном молекулярные паттерны (РАМР), в частности LPS грамотрицательных бактерий и LTA грамположительных бактерий. Рецепторы TLR4 узнают LPS – центральные индукторы воспалительных ответов, вызываемых грамотрицательными бактериями, а TLR2 узнают LTA – индукторы воспалительных ответов, вызываемых грамположительными бактериями [3]. Оба рецептора способны к передаче сигналов, формируя гомодимер (TLR4)2 или гетеродимер TLR2/TLR6 соответственно. Вариации в количестве ацильных цепей в липиде А эндотоксина могут ослабить сигнализацию через TLR4 и изменить иммунный ответ хозяина на патоген [28]. TLR4/MD-2 распознает гексаацилированный липид А E. сoli как агонист. Структурные изменения в липиде А других грамотрицательных бактерий снижают их активность в рецепторном комплексе по сравнению с гексаацилированным липидом А. Исследуя способность Е5531 – пентаацилированного синтетического аналога липида А Rhodobacter capsulatus, ингибировать связывание LPS E. coli с моноцитами человека, рассчитали аффинность Е5531 к клеткам, которая оказалась в 24 раза ниже, чем у LPS E. coli [23]. Для блокирования эффектов LPS E. coli или S. enterica мы использовали LPS Rhodobacter capsulatus PG в концентрациях, в 10 раз превышающих концентрации эндотоксинов. LPS Rhodobacter capsulatus PG сильнее блокировал синтез провоспалительных цитокинов TNF-α, IL-6, IL-1β в клетках, активированных LPS S. enterica, чем LPS E. coli. Значительно более выраженной была антагонистическая активность LPS Rhodobacter capsulatus PG в отношении LTA S. pyogenes при использовании равных весовых концентраций LPS Rhodobacter capsulatus PG и LTA S. pyogenes. Способность LPS Rhodobacter capsulatus PG защищать клетки от активации агонистами синтеза цитокинов снижалась в ряду LTA S. pyogenes > LPS S. enterica > LPS E. coli (рис. 1–3). В передаче сигнала как от LPS, так и от LTA критическую роль играет рецептор CD14, который участвует не только в узнавании лигандов рецепторами TLR4 и TLR2, но и в активации синтеза цитокинов клетками [6, 29]. Экспрессируемые на поверхности клетки рецепторы CD14 с высокой аффинностью связываются с молекулярными лигандами, ассоциированными с различными патогенами. Далее CD14 передает LPS сигнальному комплексу TLR4/MD-2 [30], а LTA – комплексу TLR2/TLR6 [4]. CD14 и CD36 действуют как корецепторы TLR2 в ответе моноцитов на LTA. Блокирование этих рецепторов антителами ингибирует индуцированное LTA высвобождение моноцитами TNF-α, что указывает на участие этих рецепторов в связывании LTA с плазматической мембраной и активации NF-κB [31]. На моноцитах человека показано, что LTA Streptococcus sanguis конкурирует с LPS Salmonella abortusequi за связывание с CD14, а связывание LPS с CD14 полностью ингибируется, если концентрация LTA в 100 раз превышает концентрацию LPS [32].
Для проверки этого предположения и понимания механизма подавления активации клеток посредством LPS Rhodobacter capsulatus PG мы блокировали рецепторы CD14 клеток крови с помощью mАТ до активации агонистами LPS или LTA. Наблюдаемый нами невысокий (по сравнению с данными [23]) процент снижения активации при блокировании рецепторов CD14 связан, очевидно, со специфичностью используемых нами антител (Clone M5E2). Предварительная инкубация крови с АТ CD14 перед активацией клеток LPS E. coli, LPS S. enterica или LTA S. pyogenes более выраженно снижала синтез TNF-α, индуцированный LTA, чем эндотоксинами. Полученные нами результаты показали, что CD14 участвует в активации и передаче сигнала к синтезу цитокинов от LPS и LTA, причем это участие снижается в ряду LTA S. pyogenes > LPS S. enterica > LPS E. coli (рис. 5), аналогично снижению эффективности защиты LPS Rhodobacter capsulatus PG от активации клеток используемыми агонистами (рис. 1–3).
Можно предположить два возможных механизма блокирования активации клеток посредством LPS Rhodobacter capsulatus PG, связанных с различной аффинностью исследованных лигандов к рецепторам CD14: блокирование на уровне взаимодействия с рецептором CD14 или на уровне активации рецепторного комплекса TLR4/MD-2 или TLR2/TLR6.
ЗАКЛЮЧЕНИЕ
Результаты нашей работы показывают, что нетоксичный LPS Rhodobacter capsulatus PG блокирует синтез провоспалительных цитокинов при активации клеток крови LTA S. pyogenes, путем его связывания с рецептором CD14, что приводит к подавлению передачи сигнала к TLR2/TLR6. LPS Rhodobacter capsulatus PG можно рассматривать прототипом для создания препаратов, защищающих клетки крови от действия LTA грамположительных бактерий.
Авторы выражают благодарность Больнице Пущинского научного центра РАН за сотрудничество.
Работа выполнена в рамках Госзадания 122041200039-0, созданного Министерством образования и науки Российской Федерации на базе Института фундаментальных проблем биологии РАН ФИЦ ПНЦБИ РАН.
Авторы заявляют об отсутствии конфликта интересов.
Об авторах
Светлана Владимировна Зубова
Институт фундаментальных проблем биологии РАН, ФИЦ ПНЦБИ РАН
Автор, ответственный за переписку.
Email: zusvet@rambler.ru
ORCID iD: 0000-0001-5161-8490
Scopus Author ID: 8222427800
ResearcherId: J-12102018
кандидат биологических наук, старший научный сотрудник лаборатории молекулярной биомедицины
Россия, Пущино, 142290Нелли Ивановна Косякова
Больница Пущинского научного центра РАН
Email: nelia_kosiakova@mail.ru
доктор медицинских наук, профессор, врач аллерголог-иммунолог, зав. отделением аллергологии-иммунологии
Россия, Пущино, 142290Сергей Витальевич Грачев
Институт фундаментальных проблем биологии РАН, ФИЦ ПНЦБИ РАН; Первый Московский государственный медицинский университет им. И.М. Сеченова Минздрава России (Сеченовский университет)
Email: grachevscience@gmail.com
ORCID iD: 0000-0002-0359-1331
Scopus Author ID: 16541638600
ResearcherId: J-1853-2018
академик РАН, доктор медицинских наук, заведующий лаборатории молекулярной биомедицины
Россия, Пущино, 142290; Москва, 119991Изабелла Рувимовна Прохоренко
Институт фундаментальных проблем биологии РАН, ФИЦ ПНЦБИ РАН
Email: isabella03@rambler.ru
ORCID iD: 0000-0002-0787-7679
Scopus Author ID: 7004004963
ResearcherId: B-17662016
доктор биологических наук, главный научный сотрудник лаборатории молекулярной биомедицины
Россия, Пущино, 142290Список литературы
- Ginsburg L. // Lancet. Infect. Dis. 2002. V. 2. № 3. P. 171–179.
- Zhang G., Meredith T.C., Kahne D. // Curr. Opin. Microbiol. 2013. V. 16. № 6. P. 779–785.
- Schwandner R., Dziarski R., Wesche H., Rothe M., Kirschning C.J. // J. Biol. Chem. 1999. V. 274. № 25. P. 17406–17409.
- Schroder N.W.J., Morath S., Alexander C., Hamann L., Hartung T., Zahringer U., Gobel U.B., Weber J.R., Schumann R.R. // Biol. Chem. 2003. V. 278. № 18. P. 15587–15594.
- Im J., Choi H.S., Kim S.K., Woo S.S., Ryu Y.H., Kang S.S., Yun C.H., Han S.H. // Cancer Lett. 2009. V. 274. № 1. P. 109–117.
- Kang J.Y., Nan X., Jin M.S., Youn S.J., Ryu Y.H., Mah S., Han S.H., Lee H., Paik S.G., Lee J.O. // Immunity. 2009. V. 31. № 6. P. 873–884.
- Fieber C., Janos M., Koestler T., Gratz N., Li X.-D., Castiglia V., Aberle M., Sauert M., Wegner M., Alexopoulou L., et al. // PLoS One. 2015. V. 10. № 3. P. e0119727.
- Ryu J.-K., Kim S.J., Rah S.-H., Kang J.I., Jung H.E., Lee D., Lee H.K., Lee J.-O., Park B.S., Yoon T.-Y., Kim H.M. // Immunity. 2017. V. 46. V. 1. P. 1–13.
- Schmitz G., Orso E. // Curr. Opin. Lipidol. 2002. V. 13. № 5. P. 513–521.
- Triantafilou M., Gamper F.G., Haston R.M., Mouratis M.A., Morath S., Hartung T., Triantafilou K. // Biol. Chem. 2006. V. 281. № 41. P. 31002–31011.
- Shimazu R., Akashi S., Ogata H., Nagai Y., Fukudome K., Miyake K., Kimoto M. // J. Exp. Med. 1999. V. 189. № 11. P. 1777–1782.
- Dziarski R., Wang Q., Miyake K., Kirsching C.J., Gupta D.J. // J. Immunol. 2001. V. 166. № 3. P. 1938–1944.
- Dziarski R., Gupta D.J. // Endotox. Res. 2000. V. 6. № 5. P. 401–405.
- Ozinsky A., Underhill D.M., Fontenot J.D., Hajjar A.M., Smith K.D., Wilson C.B., Schroeder L., Aderem A. // Proc. Natl. Acad. Sci. USA. 2000. V. 97. № 25. P. 13766–13771.
- Henneke P., Morath S., Uematsu S., Weichert S., Pfitzenmaier M., Takeuchi O., Müller A., Poyart C., Akira S., Berner R., et al. // Immunol. 2005. V. 174. № 10. P. 6449–6455.
- Su S.-H., Hua K.-F., Lee H., Chao L.K., Tan S.-K., Lee H., Yang S.-F., Hsu H.-Y. // Clin. Chim. Acta. 2006. V. 374. № 1–2. P. 106–115.
- Yokota S., Ohnishi T., Muroi M., Tanamoto K., Fujii N., Amano K. // FEMS Immunol. Med. Microbiol. 2007. V. 51. № 1. P. 140–148.
- Girard R., Pedron T., Uematsu S., Balloy V., Chignard M., Akira S., Chaby R. // J. Cell Sci. 2002. V. 116. Pt 2. P. 293–302.
- Erridge C., Pridmore A., Eley A., Stewart J., Poxton I.R. // J. Med. Microbiol. 2004. V. 53. Pt 8. P. 735–740.
- Katzke N., Bergmann R., Jaeger K.-E., Drepper T. // Methods Mol. Biol. 2012. V. 824. P. 251–269.
- Прохоренко И.Р., Грачев С.В., Зубова С.В. Патент на изобретение RU № 2392309 от 20.06.2010.
- Кабанов Д.С., Серов Д.А., Зубова С.В., Грачев С.В., Прохоренко И.Р. // Биохимия. 2016. Т. 81. № 3. С. 275–283.
- Kawata T., Bristol J.R., Rossignol D.P., Rose J.R., Kobayashi S., Yokohama H., Ishibashi A., Christ W.J., Katayama K., Yamatsu I., Kishi Y. // Br. J. Pharmacology. 1999. V. 127. № 4. P. 853–862.
- Krauss J.H., Seydel U., Weckesser J., Mayer H. // Eur. J. Biochem. 1989. V. 180. № 3. P. 519–526.
- Махнева З.К., Вишневецкая Т.А., Прохоренко И.Р. // Прикл. биохим. и микробиол. 1996. Т. 32. № 4. С. 444–447.
- Baggiolini M., Walz A., Kunkel S.L. // J. Clin. Invest. 1989. V. 84. № 4. P. 1045–1049.
- Hirao Y., Kanda T., Aso Y., Mitsuhashi M., Kobayashi I. // Lab. Med. 2000. V. 31. № 1. P. 39–44.
- Kawai T., Akira S. // Nat. Immunol. 2010. V. 11. № 5. P. 373–384.
- Zanoni I., Ostuni R., Marek L.R., Baressi S., Barbalat R., Barton G.M., Granucci F., Kagan J.C. // Cell. 2011. V. 147. № 4. P. 868–880.
- Wright S.D., Ramos R.A., Tobias P.S., Ulevitch R.J., Mathison J.C. // Science. 1990. V. 249. № 4975. P. 1431–1433.
- Nilsen N.J., Deininge S., Nonstad U., Skjeldal F., Husebye H., Rodionov D., von Aulock S., Hartung T., Lien E., Bakke O., Espevik T.J. // Leukoc. Biol. 2008. V. 84. № 1. P. 280–291.
- Sugawara S., Arakaki R., Rikiishi H., Takada H. // Infect. Immunol. 1999. V. 67. № 4. P. 1623–1632.
Дополнительные файлы







