Химически активные побочные продукты редокс-метаболизма растений и функции белков
- Авторы: Шарова Е.И.1, Медведев С.С.1
-
Учреждения:
- Санкт-Петербургский государственный университет
- Выпуск: Том 16, № 4 (2024)
- Страницы: 48-61
- Раздел: Обзоры
- URL: https://journal-vniispk.ru/2075-8251/article/view/284119
- DOI: https://doi.org/10.32607/actanaturae.27477
- ID: 284119
Цитировать
Аннотация
Живые организмы обладают удивительной способностью значительно расширять базовую информацию о строении и функциях белка, закодированную в геноме. Существует несколько способов увеличения разнообразия и функциональных возможностей белков, главными из которых являются альтернативный сплайсинг мРНК и посттрансляционные модификации белков (ПТМ). Большинство химических реакций, протекающих в живых клетках, контролируется ферментами. Однако в клетках постоянно появляются химически активные побочные продукты редокс-метаболизма растений, которые могут спонтанно реагировать с биомолекулами, в том числе с белками, вызывая их модификации. Активные карбонилы, возникающие в ходе окислительного метаболизма углеводов и липидов, карбонилируют белки, приводя к их инактивации и отложению в форме конечных продуктов гликирования и липоксидирования. Нитрозилирование белков, вызываемое активными формами азота, – важный элемент реализации морфогенетических программ и стрессовых реакций растений. Редокс-модификации тиольных групп белков под действием активных форм кислорода контролируются тиоредоксинами и глутаредоксинами и вовлечены в фолдинг белков, регуляцию активности ферментов, кальциевую и гормональную сигнализации. В обзоре обобщена информация о ПТМ, вызываемых химически активными метаболитами, и о роли этих модификаций в функционировании белков растений.
Полный текст
СПИСОК СОКРАЩЕНИЙ АФК – активные формы кислорода; АБК – абсцизовая кислота; МДА – малоновый диальдегид; ПТМ – посттрансляционные модификации белков; AGE – конечные продукты гликирования; ALE – конечные продукты липоксидирования; GAPDH – глицеральдегид-3-фосфат-дегидрогеназа; GPX – глутатионпероксидаза; Grx – глутаредоксин; GSH – глутатион; GSNO – нитрозоглутатион; GSSG – глутатион-дисульфид; GSNOR – нитрозоглутатионредуктаза; HNE – 4-гидрокси-2-ноненаль; MG – метилглиоксаль; MSR – метионинсульфоксид-редуктаза; PDI – протеиндисульфидизомераза; PRX – пероксиредоксин; SA – салициловая кислота; Trx – тиоредоксин.
ВВЕДЕНИЕ
Живые организмы обладают удивительной способностью значительно расширять базовую информацию о потенциальных функциях белков, которая закодирована в геноме. Для этого существует несколько способов, главными из которых являются альтернативный сплайсинг мРНК [1–3] и посттрансляционные модификации белков (ПТМ) [4–7]. ПТМ белков – ферментативно катализируемые или спонтанно возникающие модификации их аминокислотных остатков – способны кардинально изменить функции белка или привести к их потере. ПТМ значительно увеличивают разнообразие, функциональные возможности белков и служат основой многих клеточных сигнальных событий.
В последние годы различные вариации модификаций белка, кодируемого одним и тем же геном, чаще стали называть протеоформами (proteoforms) [4, 8–11]. Этот термин относится к белковым продуктам одного гена, различающимся вариантами сплайсинга и ПТМ [8, 9, 11]. Протеоформы охватывают различные механизмы биологической изменчивости (модификации) белковой молекулы, которые определяют ее функциональную специфичность. Характеристики белка на уровне протеоформы имеют решающее значение для полного понимания биологических процессов, контролируемых белковыми молекулами. Функции белков могут значительно модулироваться фосфорилированием, N- и O-гликозилированием, метилированием, ацилированием, S-глутатионилированием, убиквитинированием, сумоилированием и многими другими ПТМ [7, 8, 11]. Кроме того, каждый белок, как правило, содержит несколько сайтов ПТМ. В результате количество протеоформ может на несколько порядков превышать число генов, кодирующих эти белки [8, 12]. Следовательно, различные комбинации ПТМ одного и того же белка являются мощным источником диверсификации протеоформ [4, 8, 9, 11]. Способность производить несколько протеоформ из одной последовательности генов представляет собой эффективный инструмент, обеспечивающий диверсификацию биологических функций белков, лежащих в основе реакций растений на постоянно меняющиеся условия окружающей среды [11]. Понимание идентичности и функциональной специфичности этих протеоформ также необходимо для выяснения полной картины регуляции многих физиолого-биохимических процессов клетки на уровне белков.
Большинство химических реакций, протекающих в организме, контролируется ферментами. Однако многие метаболиты могут спонтанно реагировать друг с другом и с биомолекулами, от которых зависит гомеостаз. Особое значение имеют метаболиты, которые проявляют высокую химическую активность, вызывая быстрые и зачастую необратимые повреждения нуклеиновых кислот, липидов, углеводов и белков. Наибольшей сложностью и разнообразием отличается их действие на белки [13]. Долгое время считалось, что спонтанные реакции – помеха для строго отрегулированного метаболизма. Сейчас очевидно, что они прочно вплетены в системы регуляции гомеостаза в меняющихся условиях среды. Яркий пример взаимосвязи спонтанных и ферментативных процессов представляют многочисленные ПТМ [13, 14]. Активные формы кислорода, азота, серы, вещества с активными карбонильными группами проявляют себя как сильные окислители, отнимая электроны от атомов углерода, серы и азота, или как сильные электрофилы, присоединяясь к нуклеофильным группам белков [15]. Причем один и тот же активный агент, например, гидроксил-радикал, может выступать и как окислитель, и как электрофил.
Данная область знания очень быстро развивается и нуждается в регулярном обобщении. Многие явления остаются мало изученными и их интерпретации носят спекулятивный характер. В данном обзоре мы попытались выделить из массы фактов те, которые характеризуют современные представления о протеоформах, порождаемых химически активными побочными продуктами редокс-метаболизма растений.
АКТИВНЫЕ КАРБОНИЛЬНЫЕ СОЕДИНЕНИЯ
Карбонильными называются органические соединения, имеющие в своем составе карбонильную группу (оксогруппу) C=O. Обычно к ним относят только альдегиды и кетоны, однако карбонильная группа содержится также в молекулах сложных эфиров, амидов и других производных карбоновых кислот. Прежде всего это интермедиаты гликолиза, пентозофосфатного пути, цикла Кальвина [16, 17]. В высоких концентрациях они могут вызывать спонтанное гликирование и повреждение белков, как это происходит у человека при диабете [17]. Вместе с тем в клетках есть карбонильные соединения, которые проявляют такую активность даже в микромолярных концентрациях.
У растений известно около 20 активных карбонильных соединений. Среди них наиболее распространены диальдегиды: глиоксаль, метилглиоксаль (MG), малоновый диальдегид (МДА), а также α,β-ненасыщенные альдегиды, из которых чаще других встречается 4-гидрокси-2-ноненаль (HNE) [16, 17]. Эти соединения имеют сильно поляризованные карбонильные группы (С+=О‒) и осуществляют электрофильную атаку на нуклеофильные группы белков. Глиоксаль, МДА и HNE – конечные продукты перекисного окисления липидов под действием активных форм кислорода [18]. MG – продукт спонтанного дефосфатирования триозофосфатов: фосфодиоксиацетона и глицеральдегид-3-фосфата [19]. MG обычно присутствует в клетках растений в концентрации ниже 10 мкМ [20], однако в стрессовых условиях его содержание многократно увеличивается, например, при фосфатном голодании [20], загрязнении тяжелыми металлами [21].
Токсичность активных карбонильных соединений для белков обусловлена их способностью присоединяться к аминогруппам остатков лизина и аргинина, а также к тиольной группе остатков цистеина. Результатом такого присоединения является карбонилирование белков, то есть увеличение числа карбонильных групп в их составе. Если карбонилирование достигается присоединением сахаров и их производных, то его называют гликированием белков [20, 22] – совокупностью неферментативных ПТМ, происходящих при взаимодействии белков с сахарами и карбонильными продуктами их деградации [17].
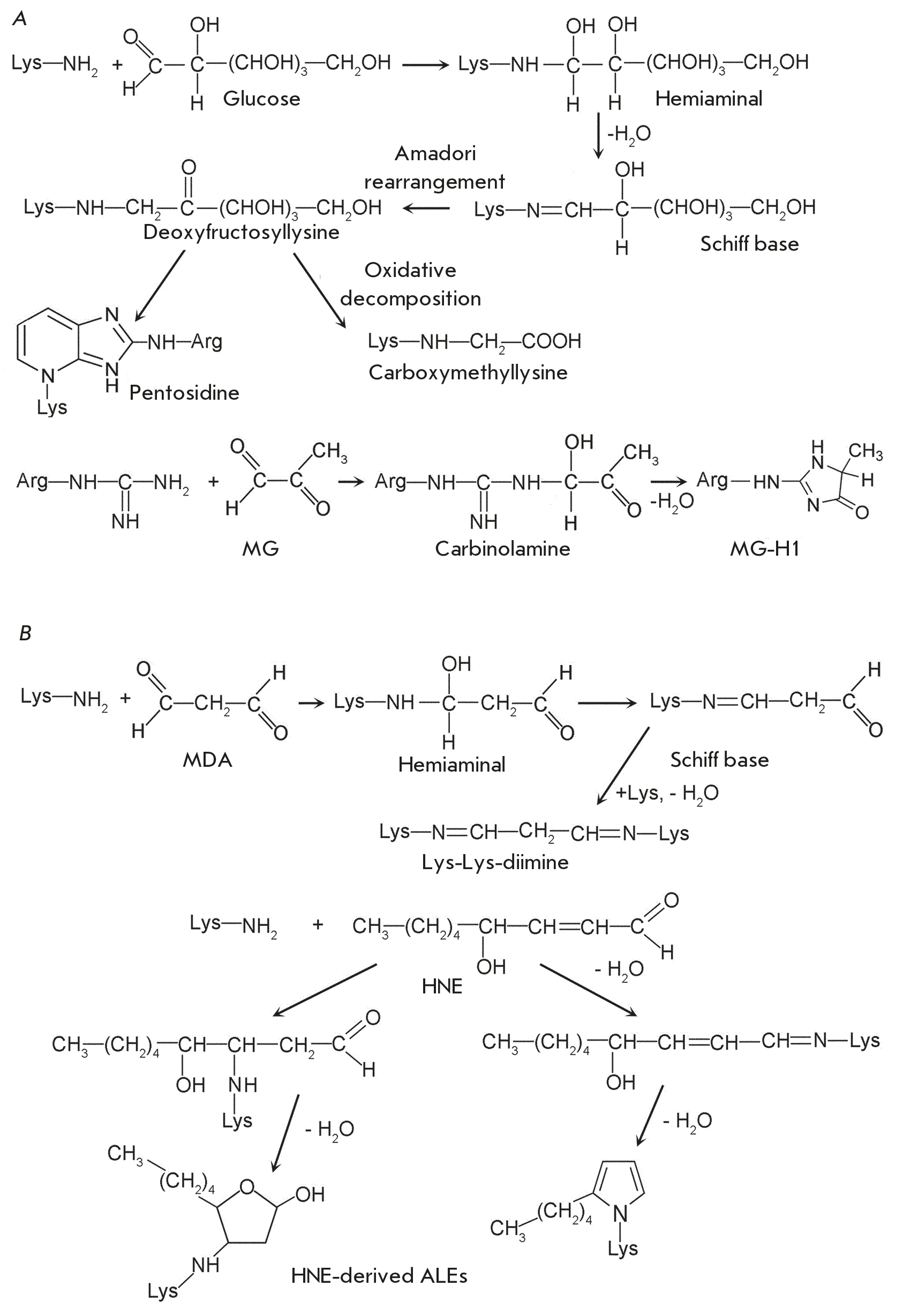
Механизм гликирования, первоначально изученный более 100 лет назад на примере осахаривания белков в процессе жарки продуктов питания, получил название реакции Майяра. При высокой температуре продукты спонтанной деградации глюкозы и фруктозы присоединяются к ε-аминогруппе остатков лизина в белках, преобразуются в основание Шиффа, а затем претерпевают перегруппировку Амадори [23].
Подобные процессы наблюдаются и в живых клетках. Глюкоза и продукты ее окисления могут совершать электрофильную атаку на ε-аминогруппу лизина (рис. 1А). В результате образуется нестабильный первичный продукт гликирования – полуаминаль, и на этом этапе процесс гликирования обратим. Однако полуаминаль дегидратируется и превращается в основание Шиффа, которое быстро подвергается перегруппировке Амадори и превращается в дезоксифруктозиллизин. В результате серии спонтанных реакций в клетках накапливаются конечные продукты гликирования белков AGE (advanced glycation end products). Классификация AGE часто основана на их карбонильных предшественниках и/или промежуточных соединениях [24]. AGE обладают высокой степенью гетерогенности и представлены разнообразными алифатическими, ароматическими и гетероциклическими структурами [17]. Карбоксиметиллизин – наиболее распространенный продукт реакции Майяра. Маркером гликирования также служит пентозидиновая сшивка между модифицированными остатками лизина и аргинина в белках [25].
Глиоксаль и MG тысячекратно активнее глюкозы [20]. Их основная мишень – гуанидиновая группа аргинина, с которой они образуют карбиноламин (рис. 1А), спонтанно преобразующийся в серию производных гидроимидазолона G-H (glyoxal-derived hydroimidazolone) и MG-H (methylglyoxal-derived hydroimidazolone) [26, 27]. У растений MG-H1 – это самый распространенный AGE [20].
Рис. 1. Карбонилирование белков. А – гликирование глюкозой и метилглиоксалем (MG), Б – липоксидирование малоновым диальдегидом (МДА) и 4-гидрокси-2-ноненалем (HNE)
Если агентами карбонилирования служат продукты свободнорадикального окисления липидов, то происходит липоксидирование белков [28]. Несмотря на то что эта модификация сама по себе не окислительная, она часто способствует повреждению белков в условиях окислительного стресса. Спонтанные преобразования нестабильных первичных аддуктов приводят к накоплению конечных продуктов липоксидирования ALE (advanced lipoxidation end products), представленных множеством характерных химических структур в составе белков [29]. Белковыми мишенями липоксидирования являются белки основного метаболизма, сигналинга, цитоскелета и факторы транскрипции.
Конечные продукты свободнорадикального окисления липидов активно атакуют остатки лизина [27]. МДА вначале образует с лизином полуаминаль, который быстро преобразуется в основание Шиффа (рис. 1Б). Взаимодействие второй альдегидной группы МДА с остатком лизина того же или другого белка приводит к появлению поперечной сшивки в форме лизин-лизинового диимина – широко распространенного ALE [30]. Присоединение HNE и других α,β-ненасыщенных альдегидов к остаткам лизина в белках происходит посредством реакции Майкла (рис. 1Б) [27, 29]. Конечные гетероциклические производные липоксидирования белков HNE – одни из наиболее характерных маркеров повреждения белков продуктами пероксидации липидов.
У растений гликирование и липоксидирование белков заметно возрастают в условиях стресса [17, 20, 31]. Эти модификации необратимы, поэтому основная стратегия живых организмов направлена на предотвращение таких модификаций посредством антиоксидантного противодействия пероксидации липидов, а также детоксикации MG и глиоксаля глиоксалазами.
Глиоксалазы превращают MG в молочную кислоту (рис. 2), а глиоксаль – в гликолевую кислоту [24]. Реакции протекают при участии глутатиона (GSH), который играет роль кофактора. MG спонтанно присоединяется к SH-группе глутатиона с образованием тиополуацеталя, который сначала изомеризуется в лактоилглутатион под действием глиоксалазы 1 (Glo1), а затем гидролизуется под действием Glo2. Глиоксалазы описаны у многих про- и эукариот. У арабидопсиса выявлены 22 гена, которые кодируют Glo1, и 9 генов – Glo2. Эти ферменты наиболее активны в хлоропластах, но также содержатся в митохондриях, ядре, цитозоле, клеточных стенках, пероксисомах [32].
Рис. 2. Детоксикация метилглиоксаля (MG) глиоксалазами Glo1 и Glo2
Необратимое карбонилирование белков наблюдается на всех стадиях жизненного цикла растений и в целом рассматривается как неизбежный процесс повреждения белков, усиливающийся при стрессе. Очевидно, что изучение химизма карбонилирования белков намного опередило понимание функциональных аспектов этого явления. Опубликованные данные косвенно свидетельствуют о том, что карбонилирование белков зависит не только от уровня активных карбонильных соединений, но тонко регулируется и участвует в передаче гормональных сигналов, в процессах прорастания семян, индукции цветения и др. [33].
АКТИВНЫЕ ФОРМЫ АЗОТА
Химически активные формы азота образуются в результате спонтанных редокс-превращений оксида азота •NО и ряда других азотсодержащих веществ. В последние годы роль активных форм азота стала вызывать особый интерес в связи с участием в регуляции процессов роста и развития, адаптации к биотическим и абиотическим стрессорам, трансдукции гормональных сигналов растений [34–37].
У млекопитающих •NО образуется из аргинина в реакции, катализируемой NO-синтазами – NADPH-зависимыми оксигеназами, имеющими в своем составе флавиновый кофермент, железопорфирин и тетрагидробиоптерин. NO-синтазы не только вырабатывают •NО, но и участвуют в специфическом нитрозилировании белков, вступая в белок-белковые взаимодействия [38].
У растений не обнаружены ферменты, гомологичные NO-синтазам млекопитающих. Тем не менее показана возможность образования •NО посредством окисления аргинина и полиаминов [39]. Основным источником •NО у растений является процесс одноэлектронного восстановления нитрита (NO2‒) цитоплазматическими нитратредуктазами. Эти NADPH-зависимые оксидоредуктазы с молибденовым кофактором проявляют небольшую (1%) нитритредуктазную активность. У арабидопсиса, как и у многих других высших растений, имеются две нитратредуктазы, одна из которых (NR1) обладает высокой способностью продуцировать •NО, тогда как другая (NR2) отвечает за 90% активности, восстанавливающей нитраты до нитритов [39]. В условиях гипоксии значительный вклад в накопление •NО в клетках вносит процесс восстановления NO2‒ в электрон-транспортной цепи митохондрий [39].
С белками легко взаимодействуют пероксинитрит ONOO‒, нитрозоний-катион NO+, азотистый ангидрид •NО2 и др. (рис. 3А). Биологически значимые NO-зависимые посттрансляционные модификации включают нитрозилирование входящих в состав белков переходных металлов, ковалентную модификацию остатков цистеина (S-нитрозилирование), и нитрирование остатков тирозина [40]. S-нитрозилирование играет важную регуляторную роль. Так, его нарушение в организме человека связано с тяжелыми нейродегенеративными заболеваниями, дисфункцией иммунной и сердечно-сосудистой систем [38]. У растений S-нитрозилирование влияет на ферментативную активность, локализацию, скорость деградации белков, а также на взаимодействие с другими белками и ДНК [34, 41, 42].
Рис. 3. Влияние активных форм азота на белки. А – общая схема образования оксида азота (•NО), его превращения в химически активные формы и включения в белки; Б – нитрозилирование глутатиона (GSH) и денитрозилирование нитрозоглутатиона (GSNO) нитрозоглутатионредуктазами (GSNOR); В – S-нитрозилирование, транснитрозилирование и денитрозилирование белков; Г – утилизация пероксинитрита (ONOO–) пероксиредоксинами (PRX). Trx – тиоредоксины
Основной агент нитрирования белков – ONOO‒, а основной агент S-нитрозилирования – нитрозоглутатион (GSNO), который образуется в результате атаки глутатиона активными формами азота (N2O3, NO+) (рис. 3Б). GSNO играет роль резервуара и транспортной формы •NО в клетках растений [43]. От нитрозоглутатиона •NО передается на SH-группы белков в спонтанных реакциях транснитрозилирования (рис. 3В).
Денитрозилирование GSNO зависит от активности нитрозоглутатионредуктаз (GSNOR) – консервативных белков, локализованных в цитоплазме и нуклеоплазме [44]. Денитрозилирование SH-групп белков (R-SNO → R-SH) осуществляется с помощью тиоредоксинов (Trx) или путем транснитрозилирования GSH (рис. 3В). Кроме GSNOR и Trx в детоксикации активных форм азота участвуют пероксиредоксины (PRX), превращающие пероксинитрит в нитрит (рис. 3Г) [34, 45]. В результате образуется восстановленный тиольный белок (R-SH) и окисленный Trx, который впоследствии восстанавливается NADPH-зависимой Trx-редуктазой. Транснитрозилирование катализируется транснитрозилазой, несущей группу SNO, которая переносит фрагмент •NО на целевой белок [34].
Нитрирование у растений, как и у животных, обычно приводит к ингибированию активности и деградации белков. Нитрированию особенно подвержены каталаза и ферменты аскорбат-глутатионового цикла – основного участника удаления АФК у растений [46].
Липофильный свободный радикал •NО легко диффундирует через мембраны, что делает его идеальной аутокринной (внутри одной клетки) и паракринной (между соседними клетками) сигнальной молекулой. Cигнальная функция •NО подробно изучена у млекопитающих и человека [38]. Известно, что одним из важнейших его рецепторов выступает гуанилатциклаза, у которой нитрозилируется гемовое железо Fe2+: FeNO. Активация фермента приводит к синтезу циклического GMP, выступающего в роли вторичного мессенджера [47].
Чувствительность к оксиду азота – древняя особенность, обеспечиваемая гемопротеинами, содержащими домены H-NOX (Heme-nitric oxide/oxygen binding). Такие домены, способные служить сенсорами •NО, найдены в бактериях, грибах и животных, включая человека [48, 49]. Долгое время считалось, что у растений эти белки отсутствуют, однако недавно удалось обнаружить несколько NO-чувствительных гемопротеинов и у растений. Оказалось, что NO-чувствительные гемопротеины растительных организмов также содержат консервативные H-NOX-домены, которые связывают •NО и O2 [50, 51]. Выявлен также ряд сигнальных путей, в которых эти белки функционируют в качестве сенсоров •NО или O2. Показано, в частности, что гемопротеины растений, содержащие H-NOX-домены, опосредуют такие ключевые реакции, зависящие от •NО, как рост пыльцевой трубки и закрывание устьиц [51].
Тем не менее, представления об NO-сигналинге у растений остаются неполными. Отсутствуют надежные данные о роли циклического GMP и нитрозилирования гемового и негемового железа белков. Более основательно доказано влияние S-нитрозилирования на ферментативную активность, субклеточную локализацию и скорость протеолиза белков основного метаболизма, а также на белок-белковые взаимодействия [52]. Установлено, что активирующему (+) и ингибирующему (-) действию S-нитрозилирования подвержены ферменты, регулирующие баланс АФК в клетках растений: супероксид-дисмутаза (-), каталаза (-), аскорбатпероксидаза (+), моно- и дидегидроаскорбатредуктазы (-).
S-нитрозилирование затрагивает белки, вовлеченные в гормональный сигналинг [47, 53]. Так, накопление •NО в набухших семенах арабидопсиса приводит к S-нитрозилированию и протеасомной деградации ABI5 – фактора транскрипции, отвечающего за зависимую от абсцизовой кислоты (АБК) экспрессию генов в семенах [42]. Таким способом происходит подавление АБК-сигналинга, что способствует прорастанию семян. При АБК-зависимом закрывании устьиц •NО, по-видимому, контролирует завершение этой реакции, подавляя АБК-сигналинг посредством нитрирования/S-нитрозилирования рецептора гормона PYR1 [54] и протеинкиназы SnRK2.6, необходимой для АБК-сигналинга [55].
Получены данные о влиянии •NО на проведение гиббереллинового и ауксинового сигналов у арабидопсиса. Показано, что S-нитрозилирование консервативного цистеина у DELLA-белка RGA предотвращает протеасомную деградацию этого негативного регулятора гиббереллинового сигналинга [56]. S-нитрозилирование Aux/IAA17 препятствует его протеолизу, что приводит к подавлению ауксинового сигнала [57].
Можно утверждать, что информация о действии активных форм азота на белки растений в значительной степени описывает механизмы и функции S-нитрозилирования. Сведения о нитрозилировании переходных металлов в составе белков немногочисленны, несмотря на обнаружение у растений белков, содержащих NO-чувствительные H-NOX-домены [50].
АКТИВНЫЕ ФОРМЫ КИСЛОРОДА
Совершающиеся в живых организмах редокс-переходы О2↔Н2О неизбежно порождают серию химически активных промежуточных форм (АФК): О2•‒, Н2О2, •ОН, 1О2, которые могут напрямую реагировать с белками.
Обычно молекулярный кислород находится в относительно инертном триплетном состоянии (3О2). Образование АФК происходит энзиматически и неэнзиматически: в электрон-транспортных цепях митохондрий и хлоропластов, в пероксисомах при фотодыхании, в клеточных стенках в процессе реакции сверхчувствительности, а также в цитоплазме и нуклеоплазме [58]. Активация 3О2 достигается за счет двух основных процессов: 1) повышения энергии одного из электронов и появления активной синглетной формы кислорода 1О2 под воздействием фотосенсибилизаторов (преимущественно возбужденного триплетного хлорофилла 3Р680*) и УФ-излучения, 2) восстановления одного из атомов 3О2 и превращения его в супероксидный анион-радикал (О2•‒) металлами с переменной валентностью или органическими донорами электрона [58]. В кислой среде (вакуоли, клеточные стенки) О2•‒ протонируется и превращается в гидропероксильный радикал (НО2•). Пероксид водорода (Н2О2) – продукт активности супероксид-дисмутазы, растительных пероксидаз III класса, аминоксидаз, оксалатоксидаз, а также спонтанных превращений НО2• и О2•‒. Образование гидроксильного радикала •ОН происходит в реакции Фентона из Н2О2 с участием металлов с переходной валентностью: Н2О2 + Fe2+(Cu+) → •ОН + Fe3+(Cu2+) + ОН-.
Вследствие своей высокой реакционной способности АФК реагируют с белками, липидами, углеводами, нуклеиновыми кислотами. Наиболее активные формы кислорода (НО2• и •ОН) способны индуцировать цепные реакции, приводящие к образованию большого количества свободных радикалов, вызывающих деградацию биомолекул [59].
Степень избирательности действия АФК обратно пропорциональна их активности. Так, для •ОН уязвимы и основная белковая цепь, и боковые цепочки аминокислотных остатков (рис. 4). Гидроксил-радикал запускает свободнорадикальный процесс, в результате которого происходит глубокое и необратимое повреждение белков: образуются сшивки между белками, распадаются полипептидные цепи, подвергаются окислительному дезаминированию остатки лизина и аргинина, распадаются остатки пролина и глутаминовой кислоты [60, 61]. Все эти изменения в целом приводят к увеличению относительного содержания карбонильных групп в белках. Такое карбонилирование обозначают как прямое, или первичное карбонилирование, так как в отличие от рассмотренного выше карбонильные группы формируются в результате окисления самого полипептида. В данном процессе участвует О2•‒, поскольку генезис •ОН обычно происходит в результате реакции Хабера–Вайса (О2•‒ + Н2О2 → О2 + •ОН + ОН‒), катализируемой ионами железа и меди (реакция Фентона).
Рис. 4. Необратимое окисление полипептидной цепи (А) и боковых цепочек аминокислот (Б) под действием АФК
Синглетный кислород нестабилен, он мгновенно присоединяется по двойным связям между атомами углерода в липидах, белках, каротиноидах [62]. В белках его основной мишенью являются остатки триптофана [63, 64].
В силу высокой активности и низкой избирательности действия О2•‒, •ОН и 1О2 на биомолекулы основной способ защиты состоит в предотвращении образования и удалении этих АФК. Так, супероксид-дисмутазы, присутствующие во всех компартментах клеток, катализируют превращение О2•‒ в Н2О2, а каротиноиды физическим путем тушат 1О2.
Пероксид водорода широко используется для высокоизбирательных и обратимых редокс-модификаций белков [65–67]. Замечательно то, что напрямую в живых клетках он окисляет только остатки серусодержащих аминокислот метионина и цистеина [13]. Одноступенчатое окисление метионина приводит к формированию метионинсульфоксида (рис. 5), ингибирующему биологическую активность белков. Метионинсульфоксид восстанавливается за счет метионинсульфоксид-редуктаз (MSR), которые у растений содержат в каталитическом центре пару остатков цистеина [68]. Один цистеин (каталитический) находится в форме тиолат-аниона (S‒) и превращается в сульфеновую кислоту (SOH), восстанавливая метионинсульфоксид. Другой (результирующий) взаимодействует с SOH, что приводит к образованию дисульфидной связи. Регенерация фермента происходит при участии Trx, а регенерация Trx – при участии NADPH или ферредоксин-зависимых тиоредоксинредуктаз, рассмотренных ниже. В клетках растений MSR локализуется в цитоплазме, митохондриях, пластидах, эндоплазматической сети [68]. Система метионинсульфоксид/MSR часто рассматривается как «аварийный сброс», направляющий удар АФК в репарируемом направлении [69].
Рис. 5. Восстановление окисленного метионина с помощью метионинсульфоксид-редуктазы (MSR). Trx – тиоредоксины
Окислительные модификации белков, вызываемые АФК, в отличие от карбонилирования продуктами углеводного и липидного метаболизма часто носят обратимый и даже регуляторный характер. В этих модификациях тесно переплетаются спонтанные и ферментативные процессы. В целом они образуют сложную сеть реакций, играющих не менее важную роль в живых клетках, чем реакции обратимого фосфорилирования белков, что позволяет рассматривать АФК в качестве ключевых сигнальных молекул в широком спектре сигнальных путей, включая адаптацию к стрессорам [70–73].
ОКИСЛЕНИЕ ОСТАТКОВ ЦИСТЕИНА В БЕЛКАХ
Тиольная группа цистеина SH может подвергаться следующим основным модификациям: окисляться до сульфеновой (SOH), сульфиновой (SO2H), сульфоновой (SO3H) кислот, формировать дисульфидную связь с SH-группой того же или другого белка, а также с SH-группой глутатиона (подвергаться глутатионилированию) [74] и сероводорода (подвергаться персульфидированию) [75].
В условиях стресса любая SH-группа в белках может окисляться до сульфеновой кислоты под действием различных АФК, включая Н2О2 в повышенных концентрациях [13]. В благоприятной среде основной мишенью АФК являются диссоциированные SH-группы, т.е. тиолат-анионы S‒. SH-группа аминокислоты цистеина в физиологических условиях не диссоциирована (рКа = 8.3). Однако у ряда белков есть SH-группы, которые в своем микроокружении имеют рКа ниже 7 и диссоциированы при физиологических значениях рН. Это, в первую очередь, PRX, глутатионпероксидазы (GPX), глутаредоксины (Grx), Trx, MSR.
Тиольные пероксидазы PRX и GPX, прямо окисляя тиолат-анион пероксидом водорода до сульфеновой кислоты, участвуют в утилизации Н2О2. Растения в отличие от животных имеют низкую активность GPX, но при этом обладают широким спектром активных PRX [76, 77]. Сульфеновая кислота у типичных 2Cys-PRX взаимодействует с «результирующей» тиольной группой, образуя с ней внутримолекулярную дисульфидную связь (рис. 6).
Рис. 6. Каталитические циклы пероксиредоксинов (PRX) и тиоредоксинов (Trx). NTR и FTR – NADPH-зависимые и ферредоксин-зависимые тиоредоксинредуктазы соответственно. Fdred – восстановленный ферредоксин, Fdox – окисленный ферредоксин
Восстановление 2Cys-PRX происходит с помощью Trx через образование смешанной дисульфидной связи. Trx восстанавливают дисульфидные связи не только у PRX, но и во многих других белках, локализованных в разных компартментах клетки: цитоплазме, ядре, пластидах, митохондриях, эндоплазматической сети, клеточной стенке [78, 79]. Окисленные Trx восстанавливаются Trx-редуктазами. У растений они представлены NADPH-зависимыми флавиновыми NTR, ферредоксин-зависимыми FTR, содержащими в активном центре, кроме редокс-активной S–S-связи, железосерные кластеры [4Fe-4S], а также NADPH-зависимой NTRC, сочетающей функции Trx и NTR [79–81].
Все рассмотренные белки имеют редокс-чувствительные остатки цистеина, которые обеспечивают их участие в разнообразных процессах, регулирующих редокс-метаболизм живых организмов, включая растения.
ГЛУТАТИОНИЛИРОВАНИЕ БЕЛКОВ
Основная мишень глутатионилирования – это Grx, у которых тиолат-анион подвергается модификации в каталитическом цикле (рис. 7). Однако в условиях окислительного стресса глутатионилированию подвергаются и другие белки. Так, в протеоме человека найдено более 2000 сайтов глутатионилирования [82]. Глутатионилированию подвержены -S˙, -S‒, -SOH-группы белков [74]. Агентом спонтанного глутатионилирования выступает не только GSH, но также GSSG, накапливающийся в условиях стресса. Глутатионилирование SOH рассматривается как способ предотвращения более глубокого и необратимого окисления тиольных групп.
Рис. 7. Глутатионилирование и деглутатионилирование белков. Grx – глутаредоксины
Деглутатионилирование белков осуществляют Grx, хотя в условиях стресса они, напротив, могут выступать агентами глутатионилирования. Таким образом, глутатионилирование – обратимая модификация, которая, как правило, ингибирует белки. У растений ей в наибольшей степени подвержены цитоплазматические глицеральдегид-3-фосфат-дегидрогеназа (GAPDH) и ряд других ферментов гликолиза, β-амилазы хлоропластов, глициндекарбоксилаза митохондрий [74].
ФУНКЦИИ РЕДОКС-МОДИФИКАЦИЙ СУЛЬФГИДРИЛЬНЫХ ГРУПП БЕЛКОВ
Основной механизм, с помощью которого АФК функционируют как регуляторы, заключается в модификации тиольных групп белков-мишеней: S-сульфенилировании, S-нитрозилировании и S-глутатионилировании. Окисление тиольных групп до сульфиновых и сульфоновых кислот, как правило, необратимо нарушает функции белков [83, 84].
Окислительный фолдинг белков
Большинство белков цитоплазмы, нуклеоплазмы и органелл содержат восстановленные SH-группы цистеина. В полости эндоплазматической сети, в аппарате Гольджи, в межмембранном пространстве митохондрий и внутри тилакоидов происходит окислительный фолдинг – замыкание S-S-мостиков между остатками цистеина новосинтезированных белков [85]. Наиболее полно изучен окислительный фолдинг в полости эндоплазматической сети, которому подвергаются белки, содержащие N-концевую сигнальную последовательность, позволяющую котрансляционно пересечь эндомембрану и далее проследовать по секреторному пути в вакуоль, клеточную стенку, плазматическую мембрану [86, 87]. Предполагается, что основная роль S-S-мостиков в таких окислительных компартментах состоит в стабилизации нативной конформации белков [88].
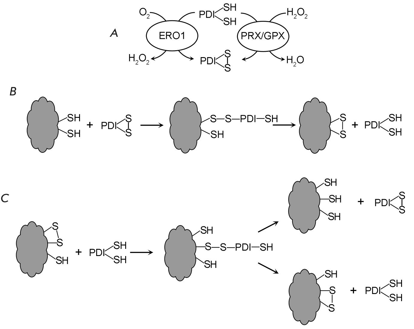
Главным агентом окислительного фолдинга является протеиндисульфидизомераза (PDI), содержащая по два остатка цистеина в каждом из двух активных центров [89]. Благодаря многокомпонентной редокс-системе полости эндоплазматической сети часть PDI находится в окисленном состоянии, часть в восстановленном (рис. 8). Окисление PDI происходит при участии флавиновой тиолоксидазы ERO1 (endoplasmic reticulum oxidoreductin), которая окисляет PDI молекулярным кислородом, генерируя Н2О2. Удаление Н2О2 может происходить как в результате диффузии в цитоплазму по аквапоринам, так и с помощью тиольных пероксидаз, локализованных в полости эндоплазматической сети [77]. Кроме того, у растений, как и у млекопитающих, есть QSOX – тиольная оксидаза, которая совмещает функции ERO1 и PDI, окисляя с помощью О2 остатки цистеина непосредственно в белках-субстратах фолдинга [90].
Рис. 8. Окислительный фолдинг белков в полости эндоплазматической сети. А – окисление протеиндисульфидизомеразы (PDI) под действием тиолоксидазы (ERO1) и тиольных пероксидаз PRX и GPX; Б – образование дисульфидных связей при участии окисленной формы PDI; В – изомеризация и восстановление дисульфидных связей при участии восстановленной формы PDI
В окисленной форме PDI необходима для образования дисульфидных связей (рис. 8Б). В процессе окислительного фолдинга белков PDI восстанавливается, что вносит вклад в поддержание баланса восстановленной/окисленной PDI. Важную роль в этом балансе также играет GSH/GSSG-буфер эндоплазматической сети. PDI может восстанавливаться за счет GSH. Восстановленная PDI участвует в изомеризации S-S-мостиков и в их восстановлении (рис. 8В).
Редокс-регуляция активности ферментов
Спонтанные и контролируемые ферментами окислительные модификации SH-групп влияют на конформацию белков и тем самым изменяют их каталитическую активность, локализацию, способность к белок-белковым взаимодействиям. По-видимому, наиболее изученным в данном отношении ферментом является цитоплазматическая GAPDH млекопитающих [91]. В активном центре этого фермента содержится SH-группа с показателем константы кислотности рКа = 6, которая находится в форме тиолат-аниона (-S‒) и проявляет свойства сильного нуклеофила. Тиолат-анион подвержен окислению до сульфеновой кислоты, глутатионилированию и S-нитрозилированию, что приводит к ингибированию каталитической активности. Окисленная GAPDH направляется в ядро и включает программу апоптоза. У растений, кроме цитоплазматической NAD-зависимой GAPDH, есть пластидный NADPH-зависимый фермент, причем оба фермента очень чувствительны к АФК [92].
У млекопитающих хорошо изучены окислительные модификации каталаз. Эти пероксисомные ферменты при окислении теряют каталитическую активность, но приобретают способность вступать в различные белок-белковые комплексы, а также перемещаются в ядро, изменяя там экспрессию генов. То же показано и для растений [93].
Из ферментов цикла Кребса от окислительного стресса сильно страдает аконитаза, у которой происходит окисление железосерных кластеров ([4Fe-4S]2+ → [3Fe-4S]+) и сульфгидрильных групп (SH → SOH) [94]. Среди ферментов пентозофосфатного пути особенно чувствительна к АФК глюкозо-6-фосфат-дегидрогеназа [95].
В сильной степени от редокс-баланса зависят процессы, протекающие в хлоропластах. Мощную редокс-регуляцию имеет биосинтез хлорофилла [96, 97]. Известно, что этот процесс контролируется NTRC – NADPH-зависимой Trx-редуктазой С-типа, сочетающей функции Trx и Trx-редуктазы, так как в отличие от классических Trx-редуктаз активность этого фермента охватывает широкий круг белков, а не только Trx. NTRC поддерживает в восстановленном состоянии SH-группы субъединицы CHLI Mg-хелатазы – одного из ключевых ферментов биосинтеза хлорофилла, а также у ADP-глюкозо-пирофосфорилазы – фермента, определяющего скорость биосинтеза крахмала. Поэтому при ингибировании NTRC происходит нарушение биосинтеза хлорофилла и крахмала [98].
Многокомпонентная система Trx и их редуктаз, локализованная в хлоропластах, необходима для активации на свету рибулозобисфосфаткарбоксилазы и других ферментов цикла Кальвина: фосфорибулокиназы, фосфатаз глюкозо-1,6-бисфосфата и седогептулозо-1,7-бисфосфата [98].
Все вышеперечисленное – это примеры ингибирования активности ферментов при окислении их SH-групп. Менее многочисленны сведения об активации ферментов при окислении SH-групп. Они относятся к ферментам антиоксидантной защиты растений. Так, аскорбатпероксидаза арабидопсиса активируется, если SH-группа Cys82 глутатионилируется или участвует в формировании S-S-мостика [99]. Димеризация γ-глутамил-цистеин-синтетазы за счет образования S-S-мостика приводит к активации этого ключевого фермента биосинтеза GSH [74].
Сигнальная роль окислительных модификаций тиольных групп белков
Многие компоненты сигнальных путей растений подвержены окислительным модификациям. Например, рецептор АБК PYR1 и негативные регуляторы АБК-сигналинга (ABI1 и ABI2) инактивируются при окислении тиольных групп [100]. Важную роль редокс-регуляция играет в сигналинге салициловой кислоты (SA) [101]. Известно, что регулятор сигналинга NPR1 (коактиватор транскрипции SA-зависимых генов) в отсутствие SA находится в цитоплазме в олигомерной форме, поддерживаемой S-S-мостиками. S-нитрозилирование укрепляет это олигомерное состояние [102]. Синтез SA в ответ на нападение патогенных микроорганизмов вызывает окислительный стресс, приводящий к компенсаторному усилению антиоксидантной защиты, включая активацию Trx [103]. Тиоредоксины восстанавливают дисульфидные мостики у NPR1, олигомер диссоциирует и димеры направляются в ядро, где вступают в комплекс с факторами транскрипции TGA и активируют транскрипцию связанных с патогенезом защитных PR-генов [104, 105].
У животных хорошо изучена активация MAP-киназного каскада с помощью АФК. Центральную роль в этом процессе играет ASK1 – MAP3K, которая неактивна, если связана с восстановленным Trx. При окислительном стрессе Trx окисляется и теряет связь с ASK1, что приводит к димеризации ASK1, ее автофосфорилированию и активации [106]. Так запускается MAP-киназный каскад. У растений известна серин-треониновая протеинкиназа OXI1 (oxidative stress inducible), которая активируется в условиях окислительного стресса, вызванного нападением патогенов или отравлением тяжелыми металлами, что в итоге приводит к активации MAP3/6 [107]. Однако непонятно, на каком уровне эта киназа включает MAP-киназный каскад, активирует MAP3K, MAP2K или непосредственно MAPK?
Более 20 лет назад были получены первые доказательства существования у растений АФК-активируемых катионных каналов [108, 109]. В настоящее время Демидчик и соавт. [110, 111] развивают концепцию так называемого ROS-Ca2+-хаба – сигнального узла в плазматической мембране растительной клетки, оператора не только стрессовых реакций, но также и включения ряда комплексных программ развития растений. Са2+-проницаемые катионные каналы активируются в ответ на увеличение продукции •ОН в клеточных стенках и опосредуют вход в клетку ионов Ca2+ и выход ионов K+. Повышение уровня цитозольного Са2+ включает сигнальные и регуляторные каскады растительной клетки [111]. Кроме того, открывание этих каналов может быть опосредовано фосфорилированием под действием протеинкиназы HPCA (hydrogen peroxide calcium). HPCA – представитель семейства рецепторных киназ, внеклеточный домен которых содержит несколько редокс-чувствительных SH-групп [112]. При их окислении апопластными АФК происходит автофосфорилирование цитоплазматического домена HPCA, что приводит к активации фермента, фосфорилированию и открыванию кальциевых каналов плазматической мембраны [113].
Известно, что органеллы могут сигнализировать ядру о своем состоянии окислительного стресса и изменять транскрипцию ядерных генов. В пероксисомах этот ретроградный сигналинг связан с дисфункцией каталазы [114], в митохондриях – с дисфункцией альтернативной оксидазы [115]. Наиболее изучен хлоропластный ретроградный сигналинг в условиях окислительного стресса [101, 107, 116], который ярко проявляется у мутантов арабидопсиса по биосинтезу хлорофилла. Эти мутанты накапливают интермедиаты, обладающие свойствами фотосенсибилизаторов и генерирующие синглетный кислород. Сигнал об окислительном стрессе, возникающий в хлоропластах на свету, передается в ядро при посредстве белков EXE1 и EXE2 и включает программу локальной клеточной смерти [117]. Синглетный кислород окисляет Trp643 в EXE1 арабидопсиса, что приводит к гидролизу этого белка под действием хлоропластной металлопротеазы FtsH. В ретроградном сигналинге в ядро о подъеме синглетного кислорода и пероксида водорода в хлоропластах участвует белок GUN1 [118]. Описан также редокс-сигналинг, опосредованный накоплением в хлоропластах 3-фосфоаденозин-5-фосфата (PAP). PAP накапливается в условиях окислительного стресса из-за окисления и инактивации PAP-киназы SAL, катализирующей его превращение в AMP [116, 119].
Приведенные сведения показывают, что участие редокс-модификаций белков в сигналинге у растений часто опосредовано обратимой активацией/инактивацией, изменением субклеточной локализации и подверженности деградации протеасомами.
ЗАКЛЮЧЕНИЕ
Возникшая в конце XX века новая наука протеомика поставила перед собой задачу изучения всего многообразия событий, происходящих с белками в живых организмах: ПТМ, транспорт в пределах и за пределами клетки, взаимодействие с другими молекулами и, наконец, частичная и полная деградация. ПТМ (фосфорилирование, гликозилирование, метилирование, ацетилирование, карбонилирование и другие), как правило, изучают на денатурированных белках, сочетая различные методы хроматографического фракционирования и масс-спектрометрической идентификации. Новые методологии позволяют не только выявлять ПТМ, но и прослеживать их динамику, влияние на локализацию белков, их подверженность деградации, взаимодействие с другими белками, нуклеиновыми кислотами и малыми молекулами [120]. Этот прогресс затронул и редокс-протеомику, особенно протеомику тиольных групп [121]. В данном обзоре мы описали химизм важнейших редокс-модификаций белков растений, подробно изученный за последние десятилетия, а также представили сведения об их предполагаемом значении. Более полное раскрытие функционального аспекта редокс-модификаций белков – одна из актуальных задач протеомики растений. Недавно создан информационный ресурс «Plant PTM Viewer» (https://www.psb.ugent.be/PlantPTMViewer), который предоставляет широкий набор инструментов для анализа потенциальной роли ПТМ различных белков в контексте системной биологии растений [7]. В настоящее время Ресурс Plant PTM содержит информацию о более чем 300 тысячах ПТМ более чем в 130 тысячах белков, в том числе обсуждаемых в данной статье.
Исследование выполнено при поддержке гранта Российского научного фонда № 20–16–00086-П.
Об авторах
Е. И. Шарова
Санкт-Петербургский государственный университет
Автор, ответственный за переписку.
Email: e.sharova@spbu.ru
Россия, Санкт-Петербург, 199034
С. С. Медведев
Санкт-Петербургский государственный университет
Email: e.sharova@spbu.ru
Россия, Санкт-Петербург, 199034
Список литературы
- Laloum T., Martín G., Duque P. // Trends Plant Sci. 2018. V. 23. № 2. P. 140–150.
- Lam P.Y., Wang L., Lo C., Zhu F.-Y.// Int. J. Mol. Sci. 2022. V. 23. P. 7355.
- Muhammad S., Xu X., Zhou W., Wu L. // WIREs RNA. 2023. V. 14. № 3. P. e1758.
- Vu L.D., Gevaert K., De Smet I. // Trends Plant Sci. 2018. V. 23. № 12. P. 1068–1080.
- Ramazi S., Zahiri J. // Database. 2021. V. 2021. ID baab012.
- Willems P., Horne A., van Parys T., Goormachtig S., De Smet I., Botzki A., van Breusegem F., Gevaert K. // Plant J. 2019. V. 99. № 4. P. 752–762.
- Willems P., Sterck L., Dard A., Huang J., De Smet I., Gevaert K., van Breusegem F. // J. Exp. Bot. 2024. V. 74. № 15. P. 4611–4624.
- Smith L.M., Kelleher N.L. // Nat. Methods. 2013. V. 10. № 3. P. 186–187.
- Smith L.M., Kelleher N.L. // Science. 2018. V. 359. № 6380. P. 1106–1107.
- Aebersold R., Agar J.N., Amster I.J., Baker M.S., Bertozzi C.R., Boja E.S., Costello C.E., Cravatt B.F., Fenselau C., Garcia B.A., et al. // Nat. Chem. Biol. 2018. V. 14. № 3. P. 206–214.
- Kosová K., Vítámvás P., Prášil I.T., Klíma M., Renaut J. // Front. Plant Sci. 2021. V. 12. Р. 793113.
- Heinemann B., Künzler P., Eubel H., Braun H.P., Hildebrandt T.M. // Plant Physiol. 2021. V. 185. № 2. P. 385–404.
- Horn P.J. // Phytochem. Rev. 2021. V. 20. P. 367–407.
- Ye T., Ma T., Chen Y., Liu C., Jiao Z., Wang X., Xue H. // Plant Physiol. Biochem. 2024. V. 213. Р. 108810.
- Mukherjee S., Corpas F.J. // Plant Cell Environ. 2023. V. 46. P. 688–717.
- Mano J., Biswas M.S., Sugimoto K. // Plants. 2019. V. 8. P. 391.
- Shumilina J., Kusnetsova A., Tsarev A., Janse van Rensburg H.C., Medvedev S., Demidchik V., van den Ende W., Frolov A. // Int. J. Mol. Sci. 2019. V. 20. P. 2366.
- Valgimigli L. // Biomolecules. 2023. V. 13. № 9. P. 1291.
- Chakraborty S., Karmakar K., Chakravortty D. // IUBMB Life. 2014. V. 66. № 10. P. 667–678.
- Rabbani N., Al-Motawa M., Thornalley P.J. // Int. J. Mol. Sci. 2020. V. 21. P. 3942.
- Zeng Q., Xin J., Zhao C., Tian R. // Plant Cell Rep. 2024. V. 43. № 4. P. 103.
- Rabbani N., Thornalley P.J. // Amino Acids. 2012. V. 42. № 4. P. 1133–1142.
- Kutzli I., Weiss J., Gibis M. // Foods. 2021. V. 10. № 2. P. 376.
- Soboleva A., Vikhnina M., Grishina T., Frolov A. // Int. J. Mol. Sci. 2017. V. 18. P. 2557.
- Twarda-Clapa A., Olczak A., Białkowska A.M., Koziołkiewicz M. // Cells. 2022. V. 11. № 8. P. 1312.
- Antonova K., Vikhnina M., Soboleva A., Mehmood T., Heymich M.-L., Leonova T., Bankin M., Lukasheva E., Gensberger-Reigl S., Medvedev S., et al. // Int. J. Mol. Sci. 2019. V. 20. P. 3659.
- Zheng Q., Maksimovic I., Upad A., David Y. // Protein Cell. 2020. V. 11. № 6. P. 401–416.
- Viedma-Poyatos Á., González-Jiménez P., Langlois O., Company-Marín I., Spickett C.M., Pérez-Sala D. // Antioxidants (Basel). 2021. V. 10. № 2. P. 295.
- Vistoli G., De Maddis D., Cipak A., Zarkovic N., Carini M., Aldini G. // Free Rad. Res. 2013. V. 47. Suppl. 1. P. 3–27.
- Jové M., Mota-Martorell N., Pradas I., Martín-Gari M., Ayala V., Pamplona R. // Antioxidants (Basel). 2020. V. 9. № 11. P. 1132.
- Alché J.D. // Redox Biol. 2019. V. 23. P. 101136.
- Sankaranarayanan S., Jamshed M., Kumar A., Skori L., Scandola S., Wang T., Spiegel D., Samuel M.A. // Int. J. Mol. Sci. 2017. V. 18. № 4. P. 898.
- Tola A.J., Jaballi A., Missihoun T.D. // Plants (Basel). 2021. V. 10. № 7. P. 1451.
- Gupta K.J., Kaladhar V.C., Fitzpatrick T.B., Fernie A.R., Møller I.M., Loake G.J. // Mol. Plant. 2022. V. 15. P. 228–242.
- Aranda-Cano L., Valderrama R., Chaki M., Begara-Morales J.C., Barroso J.B. // Prog. Bot. 2024. V. 84. P. 103–152.
- Khator K., Parihar S., Jasik J., Shekhawat G.S. // Plant Signal. Behav. 2024. V. 19. № 1. P. 2298053.
- Zhao H., Ma L., Shen J., Zhou H., Zheng Y. // Plant Cell. 2024. V. 36. № 2. P. 367–382.
- Lundberg J.O., Weitzberg E. // Cell. 2022. V. 185. № 16. P. 2853–2878.
- Allagulova C.R., Lubyanova A.R., Avalbaev A.M. // Int. J. Mol. Sci. 2023. V. 24. № 14. P. 11637.
- Astier J., Lindermayr C. // Int. J. Mol. Sci. 2012. V. 13. P. 15193–15208.
- Yu M., Lamattina L., Spoel S.H., Loake G.J. // New Phytol. 2014. V. 202. № 4. P. 1142–1156.
- Albertos P., Romero-Puertas M.C., Tatematsu K., Mateos I., Sánchez-Vicente I., Nambara E., Lorenzo O. // Nat. Commun. 2015. V. 6. P. 8669.
- Leterrier M., Chaki M., Airaki M., Valderrama R., Palma J.M., Barroso J.B., Corpas F.J. // Plant Signal. Behav. 2011. V. 6. № 6. P. 789–793.
- Treffon P., Vierling E. // Antioxidants (Basel). 2022. V. 11. № 7. P. 1411.
- Trujillo M., Ferrer-Sueta G., Thomson L., Flohé L., Radi R. // Subcell. Biochem. 2007. V. 44. P. 83–113.
- León J. // Front. Plant Sci. 2022. V. 13. P. 859374.
- Mamaeva A.S., Fomenkov A.A., Nosov A.V., Moshkov I.E., Novikova G.V., Mur L.A.J., Hall M.A. // Rus. J. Plant Physiol. 2015. V. 62. № 4. P. 427–440.
- Pellicena P., Karow D.S., Boon E.M., Marletta M.A., Kuriyan J. // Proc. Natl. Acad. Sci. USA. 2004. V. 101. P. 12854–12859.
- Yoo B.-K., Kruglik S.G., Lambry J.-C., Lamarre I., Raman C.S., Niochede P., Negrerie M. // Chem. Sci. 2023. V. 14. P. 8408–8420.
- Wong A., Tian X., Yang Y., Gehring C. // Mol. Plant. 2021. V. 14. P. 195–197.
- Wong A., Hu N., Tian X., Yang Y., Gehring C. // Trends Plant Sci. 2021. V. 26. № 9. P. 885–896.
- Begara-Morales J.C., Sánchez-Calvo B., Chaki M., Valderrama R., Mata-Pérez C., Padilla M.N., Corpas F.J., Barroso J.B. // Front. Plant Sci. 2016. V. 7. P. 152.
- Pande A., Mun B.G., Rahim W., Khan M., Lee D.S., Lee G.M., Al Azzawi T.N.I., Hussain A., Kim C.K., Yun B.W. // Front Plant Sci. 2022. V. 13. P. 865542.
- Castillo M.C., Lozano-Juste J., González-Guzmán M., Rodriguez L., Rodriguez P.L., León J. // Sci. Signal. 2015. V. 8. № 392. P. ra89.
- Wang P., Du Y., Hou Y.J., Zhao Y., Hsu C.C., Yuan F., Zhu X., Tao W.A., Song C.P., Zhu J.K. // Proc. Natl. Acad. Sci. USA. 2015. V. 112. № 2. P. 613–618.
- Chen L., Sun S., Song C.-P., Zhou J.-M., Li J., Zuo J. // J. Genet. Genomics. 2022. V. 49. № 8. P. 756–765.
- Shi H., Liu W., Wei Y., Ye T. // J. Exp. Bot. 2017. V. 68. № 5. P. 1239–1249.
- Smirnoff N., Arnaud D. // New Phytol. 2019. V. 221. № 3. P. 1197–1214.
- Noctor G., Lelarge-Trouverie C., Mhamdi A. // Phytochemistry. 2015. V. 112. P. 33–53.
- Berlett B.S., Stadtman E.R. // J. Biol. Chem. 1997. V. 272. № 33. P. 20313–20316.
- Davies M.J. // Biochem. J. 2016. V. 473. № 7. P. 805–825.
- Goggin F.L., Fischer H.D. // Plant Cell Environ. 2024. V. 47. P. 1957–1970.
- Dogra V., Rochaix J.D., Kim C. // Plant Cell Environ. 2018. V. 41. № 8. P. 1727–1738.
- Dmitrieva V.A., Tyutereva E.V., Voitsekhovskaja O.V. // Int. J. Mol. Sci. 2020. V. 21. № 9. P. 3237.
- Cerny M., Habanova H., Berka M., Luklova M., Brzobohaty B. // Int. J. Mol. Sci. 2018. V. 19. P. 2812.
- Fu Z.-W., Feng Y-R., Gao X., Ding F., Li J.-H., Yuan T.-T., Lu Y.-T. // Plant Cell. 2023. V. 35. P. 1593–1616.
- Ji E., Hu S., Lu Q., Zhang M., Jiang M. // Plant Physiol. Biochem. 2024. V. 213. P. 108844.
- Rey P., Tarrago L. // Antioxidants (Basel). 2018. V. 7. № 9. P. 114.
- Boschi-Muller S., Branlant G. // Bioorg. Chem. 2014. V. 57. P. 222–230.
- Kreslavski V.D., Los D.A., Allakhverdiev S.I., Kuznetsov V.V. // Rus. J. Plant Physiol. 2012. V. 59. № 2. P. 141–154.
- Waszczak C., Carmody M., Kangasjärvi J. // Annu. Rev. Plant Biol. 2018. V. 69. P. 209–236.
- Martin R.E., Postiglione A.E., Muday G.K. // Curr. Opin. Plant Biol. 2022. V. 69. P. 102293.
- Mittler R., Zandalinas S., Fichman Y., van Breusegem F. // Nat. Rev. Mol. Cell Biol. 2022. V. 23. № 10. P. 663–679.
- Dorion S., Ouellet J.C., Rivoal J. // Metabolites. 2021. V. 11. P. 641.
- Jurado-Flores A., Aroca A., Romero L.C., Gotor C. // J. Exp. Bot. 2023. V. 74. № 15. P. 4654–4669.
- Liebthal M., Maynard D., Dietz K.J. // Antioxid. Redox Signal. 2018. V. 28. № 7. P. 609–624.
- Bela K., Riyazuddin R., Csiszár J. // Antioxidants. 2022. V. 11. P. 1624.
- Kang Z., Qin T., Zhao Z. // Gene. 2019. V. 706. P. 32–42.
- Jedelská T., Luhová L., Petřivalský M. // Plants (Basel). 2020. V. 9. № 11. P. 1426.
- Geigenberger P., Thormählen I., Daloso D.M., Fernie A.R. // Trends Plant Sci. 2017. V. 22. № 3. P. 249–262.
- Nikkanen L., Rintamäki E. // Biochem. J. 2019. V. 476. № 7. P. 1159–1172.
- Li X., Zhang T., Day N.J., Feng S., Gaffrey M.J., Qian W.J. // Antioxidants (Basel). 2022. V. 11. P. 2272.
- Paulsen C.E., Carroll K.S // Chem. Rev. 2013. V. 113. P. 4633–4679.
- Musaogullari A., Chai Y.-C. // Int. J. Mol. Sci. 2020. V. 21. P. 8113.
- Urade R. // Biosci. Biotechnol. Biochem. 2019. V. 83. № 5. P. 781–793.
- Sharova E.I. // Rus. J. Plant Physiol. 2002. V. 49. № 2. P. 255–268.
- Hsieh H.H., Shan S.O. // Int. J. Mol. Sci. 2021. V. 23. № 1. P. 281.
- Bechtel T.J., Weerapan E. // Proteomics. 2017. V. 6. P. 1600391.
- Gansemer E.R., Rutkowski D.T. // Front. Mol. Biosci. 2022. V. 9. P. 858142.
- Meyer A.J., Riemer J., Rouhier N. // New Phytol. 2019. V. 221. P. 1230–1246.
- Tossounian M.A., Zhang B., Gout I. // Antioxidants (Basel). 2020. V. 9. № 12. P. 1288.
- Hildebrandt T., Knuesting J., Berndt C., Morgan B., Scheibe R. // Biol. Chem. 2015. V. 396. № 5. P. 523–537.
- Baker A., Lin C.-C., Lett C., Karpinska B., Wright M.H., Foyer C.H. // Free Rad. Biol. Med. 2023. V. 199. P. 56–66.
- Lushchak O.V., Piroddi M., Galli F., Lushchak V.I. // Redox Rep. 2014. V. 19. № 1. P. 8–15.
- Fuentes-Lemus E., Reyes J.S., Figueroa J.D., Davies M.J., López-Alarcón C. // Biochem. Soc. Trans. 2023. V. 51. № 6. P. 2173–2187.
- Stenbaek A., Jensen P.E. // Phytochemistry. 2010. V. 71. P. 853–859.
- Cejudo F.J., González M.C., Pérez-Ruiz J.M. // Plant Physiol. 2021. V. 186. № 1. P. 9–21.
- Yoshida K., Hisabori T. // Plant Cell Physiol. 2023. V. 64. № 7. P. 704–715.
- Liu H., Song S., Zhang H., Li Y., Niu L., Zhang J., Wang W. // Int. J. Mol. Sci. 2022. V. 23. № 23. P. 14824.
- Li S. // Redox Biol. 2023. V. 64. P. 102789.
- Bali S., Gautam A., Dhiman A., Michael R., Dogra V. // Physiol. Plant. 2023. V. 175. № 5. P. e14041.
- Kohli S.K., Khanna K., Bhardwaj R., Corpas F.J., Ahmad P. // Plant Physiol. Biochem. 2022. V. 184. P. 56–64.
- De Brasi-Velasco S., Sánchez-Guerrero A., Castillo M.-C., Vertommen D., León J., Sevilla F., Jiménez A. // Redox Biol. 2023. V. 63. P. 102750.
- Backer R., Naidoo S., van den Berg N. // Front. Plant Sci. 2019. V. 10. P. 102.
- Zavaliev R., Dong X.// Mol. Cell. 2024. V. 84. P. 131–141.
- Averill-Bates D. // Biochim. Biophys. Acta - Molecular Cell Research. 2024. V. 1871. P. 119573.
- Dietz K.-J., Turkan I., Krieger-Liszkay A. // Plant Physiol. 2016. V. 171. P. 1541–1550.
- Demidchik V., Shabala S.N., Coutts K.B., Tester M.A., Davies J.M. // J. Cell Sci. 2003. V. 116. P. 81–88.
- Foreman J., Demidchik V., Bothwell J.H.F., Mylona P., Miedema H., Torres M.A., Linstead P., Costa S., Brownlee C., Jones J.D., et al. // Nature. 2003. V. 422. P. 442–446.
- Demidchik V., Shabala S. // Funct. Plant Biol. 2017. V. 45. P. 9–27.
- Demidchik V. // Int. J. Mol. Sci. 2018. V. 19. № 4. P. 1263.
- Wu F., Chi Y., Jiang Z., Xu Y., Xie L., Huang F., Wan D., Ni J., Yuan F., Wu X., et al. // Nature. 2020. V. 578. № 7796. P. 577–581.
- Fichman Y., Zandalinas S.I., Peck S., Luan S., Mittler R. // Plant Cell. 2022. V. 34. № 11. P. 4453–4471.
- Mhamdi A., Queval G., Chaouch S., Vanderauwera S., van Breusegem F., Noctor G. // J. Exp. Bot. 2010. V. 61. № 15. P. 4197–4220.
- Vanlerberghe G.C. // Int. J. Mol. Sci. 2013. V. 14. № 4. P. 6805–6847.
- Sevilla F., Martí M.C., De Brasi-Velasco S., Jiménez A. // J. Exp. Bot. 2023. V. 74. № 19. P. 5955–5969.
- Laloi C., Havaux M. // Front. Plant Sci. 2015. V. 6. P. 39.
- Fortunato S., Lasorella C., Tadini L., Jeran N., Vita F., Pesaresi P., de Pinto M.C. // Plant Sci. 2022. V. 320. P. 111265.
- Foyer C.H., Hanke G. // Plant J. 2022. V. 111. № 3. P. 642–661.
- Yan S., Bhawal R., Yin Z., Thannhauser T.W., Zhang S. // Mol. Hortic. 2022. V. 2. P. 17.
- Degen G.E. // Plant Physiol. 2024. V. 195. № 2. P. 1111–1113.
Дополнительные файлы










