Липополисахарид Rhodobacter capsulatus PG – потенциальный блокатор активации Тоll-подобных рецепторов 2 и 4
- Авторы: Зубова С.В.1, Радзюкевич Я.В.1, Косякова Н.И.2, Прохоренко И.Р.1
-
Учреждения:
- ФИЦ ПНЦБИ РАН
- Больница Пущинского научного центра РАН
- Выпуск: Том 17, № 1 (2025)
- Страницы: 106-109
- Раздел: Краткие сообщения
- URL: https://journal-vniispk.ru/2075-8251/article/view/293608
- DOI: https://doi.org/10.32607/actanaturae.27555
- ID: 293608
Цитировать
Аннотация
TLR2 и TLR4 играют ключевую роль в развитии воспаления в ответ на бактериальную инфекцию. На клетках цельной крови человека исследовали действие липополисахарида (LPS) Rhodobacter capsulatus PG на активацию синтеза провоспалительных цитокинов агонистами рецепторов TLR2 и TLR4 LPS Escherichia coli, липотейхоевой кислотой (LTA) Streptococcus pyogenes или Pam3CSK4 (синтетическим аналогом бактериальных липопептидов). Показано, что LPS R. capsulatus PG проявляет антагонистические свойства в отношении исследуемых агонистов TLR2 и TLR4, блокируя синтез цитокинов TNF-α, IL-6 и IL-8. Предложены возможные механизмы блокирующего действия LPS R. capsulatus PG. LPS R. capsulatus PG может служить прототипом препаратов, защищающих как от грамотрицательных, так и от грамположительных бактерий.
Ключевые слова
Полный текст
СПИСОК СОКРАЩЕНИЙ
KDO – 3-дезокси-d-манно-октулозоновая кислота; LPS – липополисахарид; LTA – липотейхоевая кислота; IL – интерлейкин; MD-2 – белок миелоидной дифференцировки 2; Pam3CSK4 – синтетический триацилированный липопептид; РАМР – патогенраспознающие молекулярные паттерны; TLR – Тоll-подобный рецептор; TNF-α – фактор некроза опухоли α.
ВВЕДЕНИЕ
Распознавание патогена клетками крови является наиболее важным шагом в развитии адекватного иммунного ответа на инфекцию. TLR2 и TLR4 играют ключевую роль при воспалении благодаря способности идентифицировать определенные консервативные молекулярные структуры вторгшихся патогенов (PAMP) [1]. Эти рецепторы также формируют и связывают врожденные и адаптивные иммунные реакции. Изучение механизмов функциональных ответов клеток врожденного иммунитета на PAMP различной природы важно для разработки эффективных способов противодействия бактериальным и вирусным инфекциям. TLR4 является специфическим рецептором LPS, основного компонента клеточной стенки грамотрицательных бактерий [2]. Лигандная специфичность TLR2 контролируется их гетеродимеризацией с TLR1 или TLR6. Триацилированные липопептиды вызывают гетеродимеризацию TLR2 с TLR1, а в ответ на диацилированные липопептиды TLR2 взаимодействует с TLR6 и CD36 [3]. Из трех липидных цепей триацилированного лиганда (в частности, Pam3CSK4) две взаимодействуют с TLR2, тогда как третья цепь занимает гидрофобный канал TLR1 [4]. Поскольку в молекуле TLR6 гидрофобный канал отсутствует, гетеродимер TLR2/TLR6 не может распознавать триацилированные липопептиды [5]. Способность TLR2 кооперироваться либо с TLR1, либо с TLR6 приводит к взаимодействию клеток крови с более широким спектром микробных продуктов, увеличивает продукцию провоспалительных цитокинов и осложняет патогенез сепсиса.
LPS фототрофной бактерии штамма Rhodobacter capsulatus PG, обладающий собственной низкой эндотоксической активностью, является антагонистом эндотоксинов [6]. Синтетический аналог липида А R. capsulatus, препарат E5531, способен блокировать иммунобиологическую активность LPS и LTA [7].
Задача настоящей работы состояла в изучении способности LPS R. capsulatus PG блокировать активацию клеток врожденного иммунитета лигандами TLR2 и TLR4 разной природы.
ЭКСПЕРИМЕНТАЛЬНАЯ ЧАСТЬ
Исследования проведены на цельной крови условно здоровых добровольцев в возрасте от 25 до 30 лет. Все испытуемые дали письменное согласие на участие в исследовании. Протокол исследования соответствует Хельсинкской декларации Всемирной медицинской ассоциации (2013 г.) и одобрен Локальным этическим комитетом больницы Пущинского научного центра (№ 2 от 10.04.2014). Забор периферической крови осуществляли в клинических условиях с использованием вакутейнеров (Becton Dickinson and Company, Великобритания), обработанных гепарином натрия (17 ед./мл).
Активация клеток крови LPS, LTA или Pam3CSK4
Для изучения влияния LPS, LTA и Pam3CSK4 на синтез цитокинов цельную кровь разводили средой RPMI 1640 в соотношении 1 : 10 и инкубировали с LPS E. coli О55:B5 (100 нг/мл), LTA Streptococcus pyogenes (1000 нг/мл), синтетическим липопептидом Pam3CSK4 (300 нг/мл) (Sigma-Aldrich, США) или LPS R. capsulatus PG (1000 нг/мл) в различных сочетаниях в течение 6 ч при 37°C и 5% CO2. LPS R. capsulatus PG получен согласно методике, описанной ранее [8]. Для определения антагонистического действия LPS R. capsulatus PG в отношении агонистов кровь предварительно инкубировали в течение 30 мин с LPS R. capsulatus PG, после чего добавляли LPS, LTA или Pam3CSK4. После инкубации клетки крови осаждали центрифугированием (300 g, 10 мин). Супернатанты отбирали и хранили при –20°C до определения содержания цитокинов.
Содержание цитокинов
Содержание цитокинов определяли с помощью наборов для ИФА TNF-α, IL-6, IL-8 («Вектор-БЕСТ», Россия) согласно протоколу производителя. Оптическую плотность образцов определяли на ИФА-анализаторе STAT FAX 3200 (Awareness Technology Inc., США) при длине волны 450 нм.
Статистический анализ
Статистическую обработку и графическое представление результатов проводили методами непараметрической статистики в Origin Pro 7.5 и Microsoft Office Excel 2010 (плагин AtteStat). Результаты представлены в виде медианных значений с верхним и нижним квартилями (IQR). Статистическую значимость различий между медианными значениями определяли по критерию Манна–Уитни (p < 0.05).
РЕЗУЛЬТАТЫ
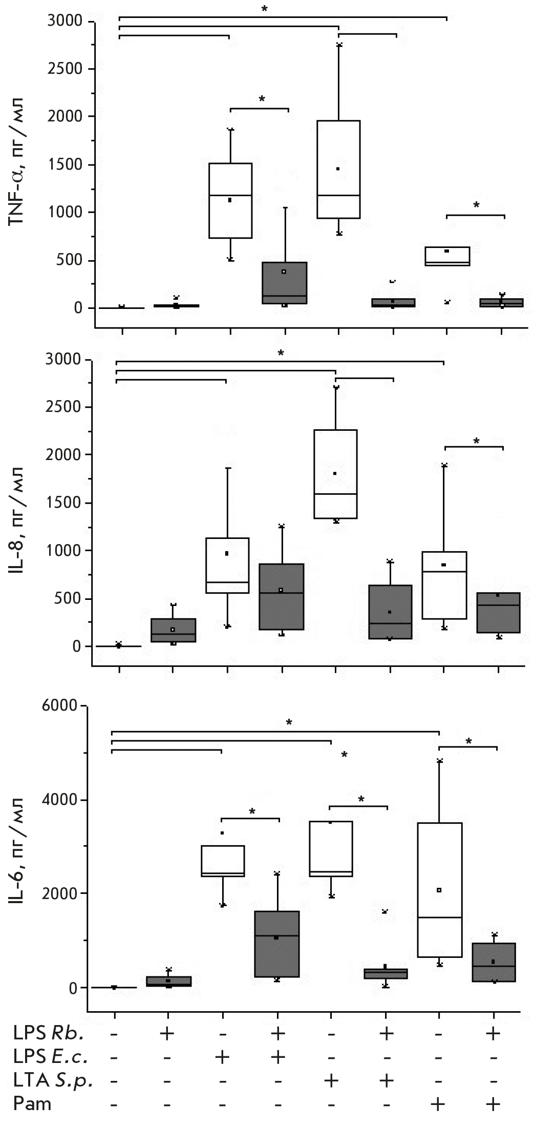
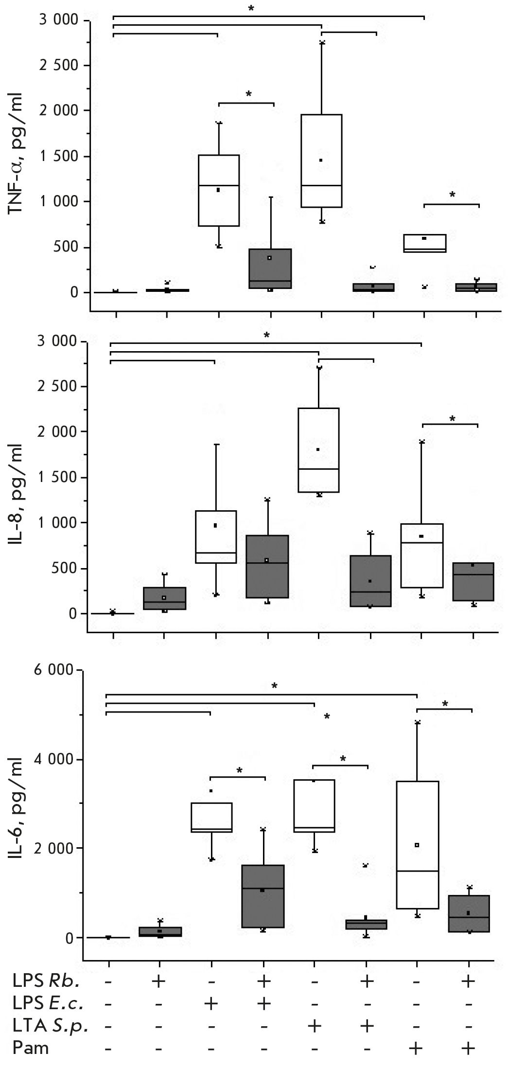
Важнейшим звеном в цепочке активации синтеза цитокинов являются специфические рецепторы TLR2 и TLR4, обеспечивающие адекватный иммунный ответ на различные патогены. На клетках цельной крови человека в единой серии экспериментов исследовали активацию синтеза цитокинов TNF-α, IL-6 и хемокина IL-8 посредством лигандов TLR2 и TLR4: LPS E. coli, LTA S. pyogenes или Pam3CSK4. Активирующие лиганды стимулировали выработку TNF-α, IL-6 и IL-8 клетками крови, достоверно превышающую контрольные значения (рис. 1).
Рис. 1. Влияние LPS R. capsulatus PG на синтез TNF-α, IL-8 и IL-6 при активации клеток цельной крови LPS E. coli, LTA S. pyogenes или Pam3CSK4, n = 7. *p < 0.05
В ответ на активацию LTA S. pyogenes наблюдалось повышение синтеза TNF-α и IL-8, концентрации которых были выше, чем при воздействии LPS E. coli или Pam3CSK4. Иными словами, количество синтезируемых клетками цитокинов снижалось в ряду LTA S. pyogenes > LPS E. coli > Pam3CSK4. LPS R. capsulatus PG в концентрации, превышающей концентрацию эндотоксина E. coli в 10 раз, Pam3CSK4 в 3 раза и в равной концентрации с LTA S. pyogenes не стимулировал выработку TNF-α в клетках (рис. 1).
Содержание IL-8 и IL-6 в крови в ответ на LPS R. capsulatus PG незначительно увеличивалось по сравнению с контролем, но было значительно ниже, чем при активации клеток крови другими лигандами.
Изучение способности LPS R. capsulatus PG защищать от действия LPS E. coli, LTA S. pyogenes и Pam3CSK4 показало, что LPS R. capsulatus PG подавляет синтез TNF-α и IL-6 в крови, причем блокирование ответа снижалось в ряду LTA S. pyogenes > LPS E. coli > Pam3CSK4, как и при активации клеток крови исследованными лигандами. LPS R. capsulatus PG не защищал клетки крови от активации синтеза IL-8 посредством LPS E. coli, в отличие от активации посредством LTA S. pyogenes и Pam3CSK4. В этом случае защитный эффект LPS R. capsulatus PG был значительным.
ОБСУЖДЕНИЕ
В представленной работе изучали потенциальную антагонистическую активность LPS непатогенной бактерии R. capsulatus PG не только в отношении LPS грамотрицательной бактерии E. coli – типичного агониста TLR4, но также ди- или триацилированных липопептидов – LTA грамположительной бактерии S. рyogenes и синтетического аналога триацилированных липопептидов, Pam3CSK4.
Эндотоксическая активность LPS зависит от структуры липида А. Наиболее значимый фактор, определяющий связь между структурой липида А и токсичностью LPS, количество жирных цепей. Ранее было показано, что Е5531, синтетический аналог липида А фототрофной бактерии R. capsulatus 37b4, блокирует иммунобиологическую активность LPS E. coli и LTA Staphylococcus faecalis [7]. В отличие от Е5531, LPS R. capsulatus PG содержит не только атипичный липид А с пятью укороченными жирными кислотами, в том числе одной ненасыщенной, но и включает в свою структуру 3-дезокси-d-манно-октулозоновую кислоту (KDO), внешний кор и О-антиген. Установлено, что внутренний кор LPS влияет не только на биологическую активность, но также на взаимодействие с белком MD-2 и TLR4 [9]. Для распознавания LPS TLR4 образует димер с мембранным белком MD-2, который связывается с LPS, образуя комплекс, способный активировать TLR4-положительные клетки [2]. Показано, что липид А R. sphaeroides полностью заполняет гидрофобный карман MD-2, формируя комплекс MD-2/липид А, который удерживается главным образом за счет гидрофобного взаимодействия между хвостами липида A и аминокислотами полости связывания MD-2. Tyr102 может отвечать за антагонистическую активность этого липида А из-за его перевернутого встраивания в комплексе MD-2/липид A [10]. MD-2 также участвует в TLR2-опосредованных ответах клеток крови на компоненты клеточной стенки грамположительных бактерий. MD-2 связывается с TLR2, но эта связь слабее, чем с TLR4 [11].
Для распознавания три- или диацилированных липопептидов TLR2 образует рецепторные гетеродимеры с TLR1 или с TLR6 [12]. Известно, что атипичные LPS Legionella pneumophila или Rhizobium spp. индуцируют воспалительные ответы скорее через TLR2, чем через TLR4 [13]. В нашей работе установлено, что LPS R. capsulatus PG блокирует активацию синтеза цитокинов в клетках крови агонистами не только TLR4, но также TLR2/6 и TLR2/1. Это указывает на то, что из-за особенностей состава и структуры липида А LPS R. capsulatus PG может связываться не только с TLR4, но и с TLR2. По-видимому, в противоположность классическим агонистам, структура липида А R. capsulatus PG не стимулирует образование гомодимера (TLR4)2 или комплексов TLR2/TLR1 и TLR2/TLR6, необходимых для активации клеток с последующим синтезом провоспалительных цитокинов. Возможно, LPS R. сapsulatus образует комплекс TLR2/MD-2/LPSRb, блокирующий формирование гетерокомплексов TLR2/6 или TLR2/1 и последующую TLR2-опосредованную активацию клеток посредством LTA или Pam3CSK4 с повышением синтеза цитокинов TNF-α, IL-6 и IL-8.
В связи с тем, что LPS R. capsulatus PG блокирует активацию TLR4 и TLR2, нельзя исключить механизм его антагонистической активности, предложенный для LPS Ochrobactrum intermedium [14]. Этот низкотоксичный атипичный LPS при активации клеток крови индуцирует взаимодействие рецепторов TLR4 и TLR2 и образование гетеродимера TLR4/TLR2. Бактерии R. сapsulatus PG и O. intermedium относятся к α-подгруппе Proteobacteria [15]. LPS обеих бактерий обладают низкой эндотоксической активностью. В состав LPS этих бактерий входят липиды А, содержащие ненасыщенный жирнокислотный остаток, внутренний кор, внешний кор и О-антиген. Показано также, что сахара кора также участвуют в формировании низкоактивного комплекса TLR2/TLR4/MD-2 при ответе на LPS O. intermedium [14]. Нельзя исключить, что взятый в избытке LPS R. сapsulatus PG также индуцирует формирование низкоактивного комплекса TLR4/MD-2/TLR2, который блокирует последующий синтез TNF-α, IL-6 и IL-8 в ответ на LPS E. coli, LTA S. pyogenes или Pam3CSK4.
ЗАКЛЮЧЕНИЕ
Из полученных результатов следует, что LPS R. capsulatus PG проявляет антагонистическую активность в отношении не только лигандов TLR4, но и лигандов TLR2 разной структуры, таких как три- и диацилированные липопептиды. Предложены возможные механизмы блокирующего действия LPS R. capsulatus PG в отношении активации TLR2 и TLR4.
LPS R. capsulatus PG может служить прототипом препаратов, защищающих как от грамотрицательных, так и от грамположительных бактерий.
Авторы выражают благодарность Больнице Пущинского научного центра РАН за сотрудничество.
Работа выполнена в рамках Госзадания 1023033100509-9-1.6.7 и 122041200039-0, созданного Министерством науки и высшего образования Российской Федерации на базе Института биологического приборостроения и Института фундаментальных проблем биологии РАН ФИЦ ПНЦБИ РАН.
Авторы заявляют об отсутствии конфликта интересов.
Об авторах
С. В. Зубова
ФИЦ ПНЦБИ РАН
Автор, ответственный за переписку.
Email: zusvet@rambler.ru
Институт биологического приборостроения РАН
Россия, 142290, ПущиноЯ. В. Радзюкевич
ФИЦ ПНЦБИ РАН
Email: zusvet@rambler.ru
Институт фундаментальных проблем биологии РАН
Россия, 142290, ПущиноН. И. Косякова
Больница Пущинского научного центра РАН
Email: zusvet@rambler.ru
Россия, 142290, Пущино
И. Р. Прохоренко
ФИЦ ПНЦБИ РАН
Email: zusvet@rambler.ru
Институт фундаментальных проблем биологии РАН
Россия, 142290 РоссияСписок литературы
- Mukherjee S., Karmakar S., Babu S.P.S. // Braz. J. Infect. Dis. 2016. V. 20. № 2. P. 193–204.
- Park B.S., Song D.H., Kim H.M., Choi B.-S., Lee H., Lee J.-O. // Nature. 2009. V. 458. № 7242. P. 1191–1195.
- Hoebe K., Georgel P., Rutschmann S., Du X., Mudd S., Crozat K., Sovath S., Shamel L., Hartung T., Zähringer U., et al. // Nature. 2005. V. 433. № 7025. P. 523–527.
- Triantafilou M., Gamper F.G.J., Haston R.M., Mouratis M.A., Morath S., Hartung T., Triantafilou K. // J. Biol. Chem. 2006. V. 281. № 41. P. 31002–31011.
- Maeshima N., Fernandez R.C. // Front. Cell. Infect. Microbiol. 2013. V. 3. № 3. P. 1–13.
- Прохоренко И.Р., Грачев С.В., Зубова С.В. Патент на изобретение RU № 2392309 от 20.06.2010.
- Kawata T., Bristol J.R., Rossignol D.P., Rose J.R., Kobayashi S., Yokohama H., Ishibashi A., Christ W.J., Katayama K., Yamatsu I., et al. // Br. J. Pharmacol. 1999. V. 127. № 4. P. 853–862.
- Махнева З.К., Вишневецкая Т.А., Прохоренко И.Р. // Прикл. биохим. и микробиол. 1996. Т. 32. № 4. С. 444–447.
- Prokhorenko I., Zubova S., Kabanov D., Grachev S. // Crit. Care. 2014. V. 18. № 2. P. 7–8.
- Anwar M.F., Panneerselvam S., Shah M., Choi S. // Sci. Rep. 2015. V. 5. № 7657. P. 1–11.
- Dziarski R., Wang Q., Miyake K., Gupta D. // J. Immun. 2001. V. 166. № 3. P. 1938–1944.
- Takeuchi O., Sato S., Horiuchi T., Hoshino K., Takeda K., Dong Z., Modlin R.L., Akira S. // J. Immunol. 2002. V. 169. № 1. P. 10–14.
- Girard R., Pedron T., Uematsu S., Balloy V., Chignard M., Akira S., Chaby R. // J. Cell Sci. 2003. V. 116. Pt 2. P. 93–302.
- Francisco S., Billod J.-M., Merino J., Punzon C., Gallego A., Arranz A., Martin-Santamaria S., Fresno M. // Front. Immunol. 2022. V. 12. № 748303. P. 1–12.
- Velasco J., Romero C., López-Goñi I., Leiva J., Díaz R., Moriyón I. // Int. J. Syst. Bacteriol. 1998. V. 48. Pt 3. P. 759–768.
Дополнительные файлы



