ИЗМЕНЧИВОСТЬ ЛЕДЯНОГО ПОКРОВА В ПЕЧОРСКОМ МОРЕ И ЕЁ КОРРЕЛЯЦИЯ С ТЕМПЕРАТУРОЙ ПОВЕРХНОСТИ БАРЕНЦЕВА МОРЯ ПО ДАННЫМ СПУТНИКОВЫХ НАБЛЮДЕНИЙ И РЕАНАЛИЗА
- Авторы: Львова Е.В.1, Заболотских Е.В.1
-
Учреждения:
- Российский государственный гидрометеорологический университет
- Выпуск: Том 63, № 4 (2023)
- Страницы: 625-638
- Раздел: Морские, речные и озёрные льды
- URL: https://journal-vniispk.ru/2076-6734/article/view/162341
- DOI: https://doi.org/10.31857/S2076673423040105
- EDN: https://elibrary.ru/YHBVFQ
- ID: 162341
Цитировать
Полный текст
Аннотация
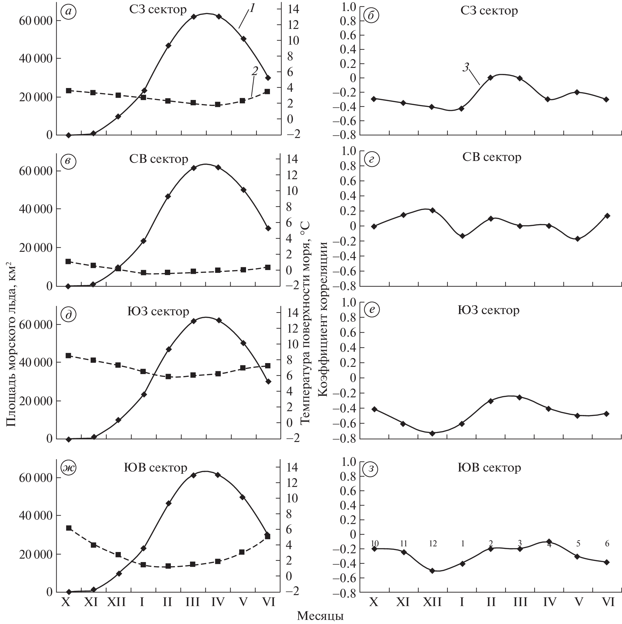
В работе анализируется изменчивость площади морского льда в Печорском море по данным спутникового пассивного микроволнового зондирования и температуры поверхности Баренцева моря в его разных районах по данным реанализа ERA5 за 2002–2022 гг. Выявлена значительная корреляция между этими параметрами при использовании временнóго лага в два месяца и температуры Баренцева моря в его юго-восточном и юго-западном районах.
Ключевые слова
Об авторах
Е. В. Львова
Российский государственный гидрометеорологический университет
Автор, ответственный за переписку.
Email: Lvova317@gmail.com
Россия, Санкт-Петербург
Е. В. Заболотских
Российский государственный гидрометеорологический университет
Email: Lvova317@gmail.com
Россия, Санкт-Петербург
Список литературы
- Гидрометеорология и гидрохимия морей СССР. Т. 1. Баренцево море / Ред. Г.В. Гирдюк. Л.: Гидрометеоиздат. 1990. 280 с.
- Заболотских Е.В., Балашова Е.А. Динамика морского льда в Печорском море зимой 2019/2020 // Фундаментальная и прикладная гидрофизика. 2021. Т. 14. № 1. С. 97–105. https://doi.org/10.7868/S207366732101010X
- Зубакин Г.К., Сухих Н.А., Иванов Н.Е., Нестеров А.В., Гудошников Ю.П. Изменчивость и сопряженность скорости течение, дрейфа льда и ветра в Печорском море в 2001–2003 гг. // Труды Международной конференции и выставки по освоению нефти и газа Российской Арктики и континентального шельфа RAO/CIS Offshore. Санкт-Петербург, 2015. С. 610–615.
- Иванов В.В., Алексеев В.А., Репина И.А. Возрастание воздействия атлантических вод на ледяной покров Северного Ледовитого океана // Турбулентность, динамика атмосферы и климата: Тр. межд. конф. памяти академика А.М. Обухова. М.: ГЕОС, 2014. С. 267–273.
- Котляков В.М. Морской лёд. // Большая российская энциклопедия. Т. 21. М.: БРЭ, 2012, с. 172.
- Печорское море. Системные исследования (гидрофизика, гидрология, оптика, биология, химия, геология, экология, социоэкономические проблемы) / Ред. Е.А. Романкевич. М.: “Море”. 2003. 486 с.
- Рябченко С.В., Драчкова Л.Н., Евдокимова И.О., Зарубина Л.А., Попкова С.В. Тематический отчёт № 2 по ледовым условиям Печорского моря. Архангельск: САФУ, 2020. 40 с.
- Федоров В.М., Гребенников П.Б., Фролов Д.М. Оценка роли инсоляционного фактора в изменениях площади морских льдов в российской Арктике // Криосфера Земли. 2020. Т. 14. № 3. С. 38–50. https://doi.org/10.21782/KZ1560-7496-2020-3(38-50)
- Фролов И.Е., Гудкович З.М., Карклин В.П., Ковалёв Е.Г., Смоляницкий В.М. Научные исследования в Арктике / Ред. И.Е. Фролова, В.П. Карклина. СПб.: Наука, 2007. 135 с.
- Шалина Е.В. Региональные особенности изменения ледовой обстановки в морях российской Арктики и на трассе Северного морского пути по данным спутниковых наблюдений // Современные проблемы дистанционного зондирования Земли из космоса. 2021. Т. 18. № 5. С. 201–213.
- Arthun M., Eldevik T., Smedsrud L.H., Skagseth Ø., Ingvaldsen R.B. Quantifying the Influence of Atlantic Heat on Barents Sea Ice Variability and Retreat // Journ. of Climate. 2012. V. 25. № 13. P. 4736–4743. https://doi.org/10.1175/JCLI-D-11-00466.1
- Beer E., Eisenman I., Wagner T.J.W. Polar amplification due to enhanced heat flux across the halocline // Geophysi. Research Letters. 2020. V. 47. № 4. https://doi.org/10.1029/2019GL086706
- Bintanja R., Graversen R., Hazeleger W. Arctic winter warming amplified by the thermal inversion and consequent low infrared cooling to space // Nature Geoscience. 2011. V. 4. P. 758–761. https://doi.org/10.1038/ngeo1285
- Comiso J.C. Global Surface Temperature Trends and Arctic Amplification // AGU Fall Meeting Abstracts. 2016.
- Copernicus Climate Change Service // Электронный ресурс. https://climate.copernicus.eu/ (Дата обращения: 15.07.2023)
- Dai A., Luo D., Song M., Jiping L. Arctic amplification is caused by sea-ice loss under increasing CO2. // Nature Communactions. 2019. V. 10. № 121. https://doi.org/10.1038/s41467-018-07954-9
- Herbaut C., Houssais M., Close S., Blaizot A. Two wind-driven modes of winter sea ice variability in the Barents Sea // Deep Sea Research. 2015. V. 106. P. 97–115. https://doi.org/10.1016/j.dsr.2015.10.005
- Hersbach H., Bell B., Berrisford P., Biavati G., Horányi A., Muñoz Sabater J., Nicolas J., Peubey C., Radu R., Rozum I., Schepers D., Simmons A., Soci C., Dee D., Thépaut J-N. ERA5 hourly data on single levels from 1940 to present // Copernicus Climate Change Service (C3S) Climate Data Store (CDS). 2023. https://doi.org/10.24381/cds.adbb2d47
- Landrum L., Holland M.M. Extremes become routine in an emerging new Arctic // Nature Climatology Change. 2020. V. 10. P. 1108–1115. https://doi.org/10.1038/s41558-020-0892-z
- Lind S., Ingvaldsen R.B. Variability and impacts of Atlantic Water entering the Barents Sea from the north // Deep Sea Research. 2012. V. 62. P. 70–88. https://doi.org/10.1016/j.dsr.2011.12.007
- Lundhaug M. ERS SAR studies of sea ice signatures in the Pechora Sea and Kara Sea region. // Canadian Journ. of Remote Sensing. 2002. V. 28. № 2. P. 114–127. https://doi.org/10.5589/m02-022
- Maslanik J., Stroeve J., Fowler C., Emery W. Distribution and trends in Arctic sea ice age through spring 2011 // Geophys. Research Letters. 2011. V. 38. https://doi.org/10.1029/2011GL047735
- Meleshko V.P., Pavlova T., Bobylev L.P., Golubkin P. Current and Projected Sea Ice in the Arctic in the Twenty-First Century. Sea Ice in the Arctic: Past, Present and Future // Springer Nature. 2020. P. 399–463.
- Ogorodov S.A., Kamalov A.M., Zubakin G.K., Gudoshnikov Yu.P. The role of sea ice in coastal and bottom dynamics in the Pechora Sea // Geo-Marine Letters. 2005. V. 25. № 2. P. 146–152. https://doi.org/10.1007/s00367-004-0196-8
- Pavlova O., Pavlov V., Gerland S. The impact of winds and sea surface temperatures on the Barents Sea ice extent, a statistical approach // Journ. of Marine Systems. 2014. V. 130. P. 248–255. https://doi.org/10.1016/j.jmarsys.2013.02.011
- Schlichtholz P., Houssais M.-N. Forcing of oceanic heat anomalies by air-sea interactions in the Nordic Seas area // Journ. of Geophys. Research. 2011. V. 116. https://doi.org/10.1029/2009JC005944
- Skagseth Ø., Eldevik T., Arthun M. Reduced efficiency of the Barents Sea cooling machine // Nature Climate Change. 2020. V. 10. P. 661–666. https://doi.org/10.1038/s41558-020-0772-6
- Skjoldal H.R., Fuglestad J.L., Benestad R., Ivanov V., Jørgensen L.L., Kovacs K.M., Nilssen F., Tchernova J. Ecosystems of the Barents Sea Region. Governing Arctic Seas: Regional Lessons from the Bering Strait and Barents Sea. Switzerland: Springer Nature. 2019. P. 119–142. https://doi.org/10.1007/978-3-030-25674-6
- Sorteberg A., Kvingedal B. Atmospheric Forcing on the Barents Sea Winter Ice Extent // Climate. 2006. V. 19. 2006. P. 4772–4784.
- Stroeve J., Notz D. Changing state of Arctic sea ice across all seasons // Environmental Research Letters. 2018. V. 13. № 10. https://doi.org/10.1088/1748-9326/aade56
- Tschudi M.A., Meier W.N., Stewart J.S. An enhancement to sea ice motion and age products at the National Snow and Ice Data Center (NSIDC). // The Cryosphere. 2020. V. 14. № 5. P. 1519–1536. https://doi.org/10.5194/tc-14-1519-2020
Дополнительные файлы









