Экспериментальное определение коэффициента вязкости сухого снега
- Авторы: Чернов Р.А.1
-
Учреждения:
- Институт географии РАН
- Выпуск: Том 64, № 2 (2024)
- Страницы: 273-280
- Раздел: Снежный покров и снежные лавины
- URL: https://journal-vniispk.ru/2076-6734/article/view/268498
- DOI: https://doi.org/10.31857/S2076673424020106
- ID: 268498
Цитировать
Полный текст
Аннотация
Описана методика подготовки образцов мелкозернистого снега и их уплотнения при одноосном сжатии. Опытным путём получены значения коэффициента вязкости снега в диапазонах плотности от 0.10 до 0.30 г/см³ и температуры от −1 до −18 °С. Получено уравнение расчёта вязкости с учётом температуры снега. Показано, что изменчивость коэффициента вязкости сухого мелкозернистого снега от температуры и плотности соизмеримы по величине.
Ключевые слова
Полный текст
ВВЕДЕНИЕ
Изучение механических характеристик снежного покрова связано с широким спектром задач гляциологии, лавиноведения, мелиорации и строительства. Исследования свойств снежного покрова остаются актуальными, учитывая продолжительность зимнего периода во многих регионах нашей страны и влияние снега на природные процессы и хозяйственную деятельность. Основой для решения ряда практических задач, связанных с уплотнением снега, до сих пор служит эмпирический материал, полученный во второй половине ХХ в. (Иосида, 1966; Mellor, 1977). Важные сведения о механических характеристиках снега были обобщены в отечественной монографии «Механические свойства снега» (Войтковский, 1977). В работе показана экспериментальная зависимость коэффициента вязкости снега от его плотности по материалам зарубежных исследователей (Mellor, 1977; Kominami, 1998). Отмечено, что диапазон изменчивости коэффициента вязкости снега чрезвычайно широк – от 10⁵ до 10¹² Па·с, что определено также влиянием температуры и размерами кристаллов снега. Установлено, что уплотнение влажного снега при температуре 0 °C и тем более мокрого снега происходит очень интенсивно, но лишь в случае, когда снег мелкозернистый и когда средние размеры кристаллов не превышают 0.5 мм. Вязкость крупнозернистого снега в сотни раз больше как при нулевых, так и при отрицательных температурах (Kojima, 1967). Автору неизвестны отечественные работы, связанные с определением коэффициента вязкости снега, при этом имеется множество работ, посвящённых механическому разрушению снега (Самойлов, Ушаков, 1983). Эти сведения не дают необходимой информации для оценки вязкопластического уплотнения снежного покрова в естественных условиях.
В физико-математическом моделировании эволюции снежного покрова вязкость снега, как правило, не используется из-за значительной неопределённости коэффициента вязкости. Для описания процессов уплотнения снежного покрова во времени обычно применяются степенные зависимости (Шмакин, 2009), которые отражают лишь тенденции, но не могут учесть состояние отдельных слоёв и скорость их уплотнения. Кроме того, проблема такого подхода заключается в региональном характере зависимостей, а их широкое применение в значительной степени условно. Как правило, этот подход даёт результаты, которые редко совпадают с натурными наблюдениями уплотнения отдельных слоёв снежной толщи и лишь обозначают тренд оседания снежного покрова.
На основе теории вязкого сжатия результаты уплотнения свежевыпавшего и метелевого снега во времени хорошо совпадают с натурными наблюдениями (Bader, 1966; Kominami et al., 1998). Подробные сведения также были получены при исследовании уплотнения антарктического снега (Bader, 1966; Котляков, 2000). Для зимних условий России значения коэффициента вязкости снега не были определены, но применение коэффициента вязкости в моделировании снежного покрова равнин может улучшить качество климатических моделей, не опираясь на “региональные” эмпирические зависимости. Мелкозернистый снег представляет наибольший интерес для описания уплотнения снежного покрова равнин. Цель работы заключается в определении коэффициента вязкости мелкозернистого снега в диапазоне плотностей и температур, характерных для условий зим средней полосы России.
ХАРАКТЕРИСТИКА СНЕЖНОГО ПОКРОВА В РАЙОНЕ ИССЛЕДОВАНИЙ
Режим снегонакопления в Южном Подмосковье и Калужской области отличается частыми снегопадами с небольшим количеством осадков в течение всего зимнего сезона. Обильные снегопады случаются 1–2 раза в месяц с интенсивностью до 8 мм/сут (Электронный ресурс), приблизительно с той же частотой наступают и кратковременные оттепели. По наблюдениям автора в 2000–2013 гг. в регионе отмечена значительная изменчивость условий снегонакопления (Чернов, 2013). В последующее десятилетие эта тенденция сохранилась, несмотря на частую смену периодов похолодания и потепления, а также различия в количестве зимних осадков. В нормальные зимы до начала снеготаяния (в первой половине марта) снежный покров достигает максимальной высоты – 45–50 см при средней плотности снега около 0.25 г/см³. В холодные зимы (2020/21 и 2021/22 гг.) с малым количеством оттепелей снежный покров остаётся рыхлым и слабо уплотняется. В марте 2021 и 2022 гг. его толщина достигала 60 см, а на отдельных участках средняя толщина снега превышала 80 см при средней плотности снежного покрова около 0.22 г/см³. Зимой 2022/23 г. толщина снега была ниже нормы – около 40 см при средней плотности около 0,25 г/см³. Водозапас снега в многоснежную зиму 2023/24 г. почти вдвое превысил среднемноголетние значения, а толщина снега достигла 65–70 см при средней плотности около 0.30 г/см³.
В отличие от арктических регионов в рассматриваемом районе слои свежевыпавшего снега имеют небольшую плотность, которая лежит в диапазоне 0.06–0.12 г/см³. Ветровое воздействие на формирование слоя снега минимально. В первые дни после снегопада уплотнение снега идёт особенно интенсивно, чему способствует процесс сублимационного округления кристаллов. При исчезновении первичных форм кристаллов снега его плотность увеличивается до 0.10–0.12 г/см³ (Чернов, 2016). Нижележащие слои мелкозернистого снега при небольшой весовой нагрузке постепенно уплотняются до 0.16–0.18 г/см³. В дальнейшем при интенсивном росте кристаллов из них формируется горизонт глубинной изморози (далее – ГИ), и оседание снега замедляется (Коломыц, 2013; Чернов, 2013). К концу зимы слои снега имеют среднюю плотность 0.22–0.24 г/см³, но в зимы с продолжительными оттепелями их средняя плотность может увеличиться до 0.30–0.35 г/см³. Таким образом, разнообразие зимних погодных условий приводит к большой изменчивости плотности слоёв снежного покрова.
МЕТОДЫ ИССЛЕДОВАНИЯ
Описания структуры и измерения плотности снежного покрова выполнялись в шурфах в ходе ежегодных снегомерных измерений. Плотность снега определяли с помощью цилиндрического пробоотборника и электронных весов с точностью 0.01 г/см³. Размеры и форма зёрен определялись в соответствии с методикой полевых исследований (Международная классификация…, 2012).
Вязкость снега измеряли в зимы 2022/23 и 2023/ 24 гг. на юге Калужской области. Оба зимних периода отличались интенсивными снегопадами в декабре и феврале. Сформированные слои снега толщиной более 10 см служили объектом отбора образцов. Образцы снега различной плотности формировались из однородного слоя путём его пересыпания в ёмкость объёмом 12 литров. Условия формирования снежного покрова в Калужской области позволяют отбирать образцы сухого мелкозернистого снега в достаточно узком диапазоне плотности от 0.10 до 0.18 г/см³. Плотность снега в пределах 0.24 г/см³ достигалась лёгким встряхиванием ёмкости. Для подготовки снега плотностью свыше 0.28 г/см³ требовалось более интенсивное встряхивание снега с резкими ударами в основание. Текущую плотность снега измеряли путём взвешивания. По достижении нужной плотности объём устанавливался на горизонтальное основание и выдерживался не менее часа в неподвижном состоянии. Этот интервал достаточен для смерзания зёрен снега и упрочнения их ледяных связей. Из объёма снега вырезали параллелепипед, размеры и углы сопряжения сторон контролировались рулеткой и плотницким уголком. В зависимости от плотности образца верхняя грань параллелепипеда имела квадратное сечение с размером стороны от 120 до 160 мм. Высота параллелепипеда составляла около 250 мм, точность измерений составляла 0.5 мм. Высоту образца измеряли штангенциркулем с помощью приставной деревянной планки длиной 250 мм.
Верхнюю грань образца шлифовали ножом, её горизонтальность проверяли по уровню. Для равномерного распределения нагрузки на верхнюю грань образца укладывали квадратную пластину из фанеры. Вес нагрузки подбирали набором гирь с точностью 10 г. Нагрузка для образцов рыхлого снега небольшой плотности не превышала 1 кг, для плотного снега достигала 4 кг. Температуру снега, вес нагрузки, вес и размеры образца, а также время начала опыта фиксировали в журнале измерений. Высоту образца в конце опыта повторно измеряли штангенциркулем (рис. 1). Измерения температуры снега выполняли электронным термометром (GTH 175/Pt) с точностью 0.1 °С. Стабильный температурный фон предполагал проведение испытаний либо в ночное время, либо в морозильнике для исследования оседания при температурах ниже –14 °С.
Рис. 1. Испытание образца мелкозернистого снега для измерения компрессионной вязкости: а – фото испытания образца снега; б – макросъёмка кристаллов; в – схема эксперимента; 1 – образец; 2 – нагрузка; 3 – мерная планка
Fig. 1. Testing a sample of fine-grained snow to measure compression viscosity: a – tests of a snow sample; б – macro photography of crystals; в – experimental design; 1 – sample; 2 – load; 3 – measuring bar
Испытание образца длилось от 6 до 12 часов, в зависимости от начальной плотности снега. Чем выше плотность снега, тем дольше время нагружения образца. Поскольку оседание снега происходит медленно, для точности измерений необходимо обеспечить величину его сжатия под нагрузкой около 5–10% его начальной высоты. Начальное измерение высоты образца выполняли через полчаса после установки нагрузки. В ряде случаев нагрузка была недостаточной, образец не уплотнялся, а при слишком большой нагрузке образец разрушался в течение нескольких минут. Такие случаи не учитывали. Опытным путём установлено, что для мелкозернистого снега при отрицательных температурах ниже –2 °С оптимальный вес нагрузки должен быть в 2–3 раза больше веса образца. Размеры зёрен снега оценивали с помощью лупы со шкалой 0.1 мм (см. рис. 1, б). В образцах снега преобладали кристаллы форм RGsr, RGxf – мелкие округлые частицы и округлые частицы с гранями соответственно (Международная классификация…, 2012). Дальнейшую статистическую обработку данных вели в редакторе электронных таблиц Microsoft Excel.
РЕЗУЛЬТАТЫ ИССЛЕДОВАНИЯ
Данные стратиграфических исследований снежного покрова, выполненные автором в 2010–2023 гг., выявляют особенности уплотнения и метаморфизма снежной толщи в средней полосе России. На рис. 2 проведено сравнение значений плотности снега p и среднего размера кристаллов d в слоях снежного покрова в период максимального снегонакопления в Южном Подмосковье. Два массива точек граничат при значении среднего размера зерна около 1 мм, при котором зернистая структура снега сменяется структурой ограненных форм кристаллов (Международная классификация…, 2012). Для зёрен менее 1 мм характерен широкий диапазон изменения плотности. Наоборот, слои перекристаллизованного снега в рассматриваемом регионе формируются в узком диапазоне плотности от 0.17 до 0.31 г/см³ при большой изменчивости размеров кристаллов (см. рис. 2). Минимальные значения плотности ГИ отмечены лишь в холодные зимы, а более высокие значения характерны для зим с оттепелями. Структурная особенность перекристаллизованного снега проявляется в характере уплотнения – перекристаллизованный снег заметно уплотняется при нулевых температурах.
Рис. 2. Средний размер кристаллов в слоях снежного покрова от его плотности. 1 – глубинная изморозь, 2 – зернистый снег
Fig. 2. The average size of crystals in snow layers depends on its density. 1 – deep hoar, 2 – granular snow
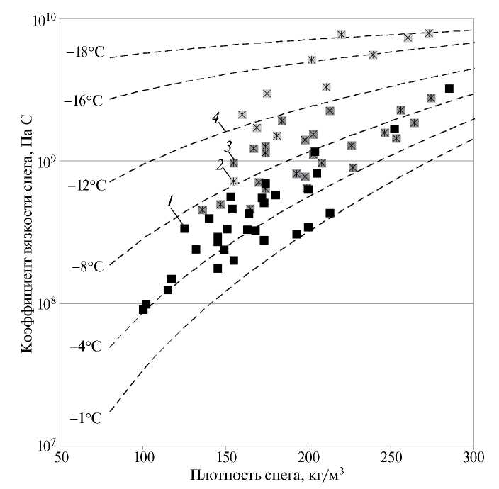
Наоборот, слои мелкозернистого снега в естественных условиях эффективно уплотняются при отрицательных температурах. Уплотнение слоя снега идёт за счёт вязко-пластических деформаций связей под воздействием весовой нагрузки. Количественно этот процесс характеризует коэффициент вязкости ç. Его экспериментальные значения показаны на рис. 3. Три массива точек указывают на три температурных диапазона, при которых проходили испытания.
Рис. 3. Экспериментальные значения коэффициента вязкости мелкозернистого снега в зависимости от плотности и температуры: 1 – от –1 до –4 °С; 2 – от –4 до –8 °С; 3 – от –8 до –18 °С; 4 – формула (3)
Fig. 3. Experimental values of the compression viscosity of fine-grained snow depending on the density and temperature of the snow: 1 – from –1 to –4 °С; 2 – from –4 to –8 °С; 3 – from –8 to –18 °С; 4 – formula (3)
Всего было измерено 72 образца снега разной плотности, из них пять были отбракованы. В испытаниях образцов снега диапазон применяемых нагрузок составил от 0.1 до 3.8 кПа, это более чем в 100 раз меньше предельного значения нагрузки, выше которого деформации становятся непропорциональны нагрузке (Войтковский, 1977). Рассматриваемые диапазоны плотности и температуры снега соответствуют зимним условиям Подмосковья и соседних областей. Полученные значения коэффициента вязкости снега находятся в сравнительно узком диапазоне от 9·10⁷ до 10¹⁰ Па·с. Во всех трёх диапазонах температур коэффициент вязкости зависит от плотности снега. Некоторый разброс полученных значений вязкости в соседних диапазонах температур определяется различиями температуры образца в ходе испытания и возможно связан с отличиями в структуре снега. Тем не менее для всех “холодных” образцов значения вязкости больше, чем для “тёплых”.
Расчёт коэффициента вязкости η основан на пропорциональности скорости вертикальной деформации образца ε при одноосном сжатии нагрузке . Выразим скорость деформации как вертикальное оседание снега под нагрузкой: .
Давление на образец снега (нагрузка) определяется весом груза, весом образца и площадью горизонтального сечения:
(1)
где mn – масса груза; m0 – масса образца снега; S – площадь сечения образца. При переходе от дифференциального к конечно-разностному выражению формула для расчёта коэффициента вязкости снега имеет вид:
(2)
где h – начальная высота образца (м); ∆h – изменение высоты образца (м); ∆t – интервал времени действия нагрузки (с); g – ускорение силы тяжести (м/с²). Схема испытания показана на рис. 1, в. В процессе испытания определяется изменение высоты образца. Повторные измерения высоты образца через интервал ∆t (длительность эксперимента) проводятся в той же точке, где была измерена начальная высота.
Минимальные значения коэффициента вязкости (см. рис. 3) относятся к образцам небольшой плотности для температурного режима от –1 до –4 °С. Образцы плотного снега имеют величину вязкости в 10–100 раз больше в зависимости от температуры. Наибольшую вязкость имеют образцы плотного снега, испытанные в периоды похолодания при температурах от –8 до –18 °С и в морозильнике при –14 °С. В ходе эксперимента получены максимальные значения вязкости мелкозернистого снега, равные 10¹º Па·с. Эта величина указывает на очень медленный процесс уплотнения снега. В естественных условиях уплотнение составляет около 1–2% в месяц. Заметное уплотнение может обеспечить давление вышележащих слоёв толщиной более 1 м, что нехарактерно для рассматриваемого региона.
Распределение экспериментальных точек на графике и анализ линий соответствующих ему трендов указывают на степеннýю функцию вида η = C · pn. По аналогии с выражением М. Мэллора и Г. Хендриксона (Mellor, 1977) представим коэффициент вязкости от плотности снега зависимостью:
(3)
В формуле (3) размерный множитель, равный 10¹⁰ (Па·с), даёт максимальное значение коэффициента вязкости. Показатель степени вида (a–bT) подобран для диапазона температуры от –1 до –18 °С и изменяется от 2.7 до 0.3 соответственно. Таким образом, учтено влияние температуры на коэффициент вязкости, где а = 2.84, в = 0.143; Т – температура снега, ρi – плотность пресного льда, равная 917 кг/м³, ρ – плотность снега в образце (кг/м³). Серия кривых, построенных по формуле (3), показывает расчётные значения коэффициента вязкости при разных температурах. Расчётные кривые по формуле (3) для температур –1, –4, –8, –12, –16, –18 °С иллюстрируют изменения коэффициента вязкости в сравнении с массивом экспериментальных точек (см. рис. 3).
При температуре снега, равной –1 °С, формула (3) строит кривую, которая ограничивает экспериментальные значения для тёплого диапазона. В области низких температур формула (3) выражает слабую зависимость коэффициента вязкости от плотности снега, что также наблюдается в эксперименте. При температуре снега –19.8 °С показатель степени равен нулю, и вязкость становится константой, равной 10¹⁰ Па·с. Предложенный в (3) температурный диапазон недостаточен для северных регионов, где температура снега нередко опускается ниже этого значения. Уплотнение сухого снега при температурах ниже –20 °С требует дополнительных исследований. По-видимому, при низких температурах необходимо учитывать структурные характеристики снега – форму кристаллов и характер их связей.
ОБСУЖДЕНИЕ РЕЗУЛЬТАТОВ
Полученные значения коэффициента вязкости находятся в области значений, представленных в работе (Mellor, 1977) для сухого снега. Для практического применения диапазон оказывается слишком широк, так как внутри него коэффициент изменяется на два порядка. Минимальные значения вязкости снега около 10⁶–10⁷ Па·с относятся к свежевыпавшему снегу при температурах около 0 °С (Kojima, 1967; Kominami, 1998). Мы не рассматривали уплотнение свежевыпавшего снега, так как в районе исследований эти слои имеют небольшую толщину, их преобразование в мелкозернистый снег происходит достаточно быстро – от нескольких часов до нескольких суток. Также известно, что значения вязкости крупнозернистого смёрзшегося снега превышают 10¹⁰ Па·с и увеличиваются с понижением температуры. В условиях Антарктиды оседание плотного снега при низких температурах идет крайне медленно (Котляков, 2000), что соответствует величине коэффициента вязкости более 10¹¹ Па·с (Mellor, 1977). Наши экспериментальные данные и предложенная формула (3) расчёта коэффициента вязкости позволяет получить численные значения вязкости снега для конкретных значений плотности и температуры мелкозернистого снега. Внутри диапазона полученных значений вязкости от 0.9·10⁸ до 10¹⁰ Па·с отмечаем, что при равной плотности снега коэффициент вязкости увеличивался в 10–15 раз при понижении температуры от –1 до –18 °С. Изменение коэффициента вязкости от плотности достигает 30-кратных значений. Таким образом, в рассматриваемом диапазоне температур, характерных для зимних условий Русской равнины, изменения коэффициента вязкости мелкозернистого снега от плотности и температуры сопоставимы по масштабу. Мы предполагаем, что именно мелкозернистый снег является главным агентом уплотнения снежного покрова при отрицательных температурах.
Несмотря на примитивность оборудования при испытании образцов, относительная погрешность измерений не превышала 5%. Размеры точек на графике приблизительно характеризуют величину погрешности коэффициента вязкости. Источником погрешности являются измерения геометрии образца и погрешность измерения плотности снега. Время испытаний определялось с точностью до 1 минуты, поэтому для интервалов длительностью более 6 часов погрешность длительности опыта оказывается ничтожной. Основной вклад в погрешность даёт точность измерения высоты образца снега. Использование штангенциркуля и деревянной планки, на которой отмечается начальное и конечное значения высоты, даёт погрешность, равную 0.5 мм, что является более точным способом измерений, чем рулеткой. При характерных величинах сжатия образцов от 10 до 25 мм максимальная погрешность метода не превышает 5%. Некоторое уменьшение погрешности метода возможно за счёт удлинения образцов снега и уменьшения площади их поперечного сечения. Однако в этом случае становятся заметны боковые деформации образцов, и нарушается прямоугольная геометрия. Использование вертикального короба решает проблему изгибания образца снега под нагрузкой, но создаёт дополнительное трение на стенках короба из-за примерзания снега. Примерзание к стенкам короба препятствует его оседанию при небольших нагрузках, что особенно характерно для рыхлого снега небольшой плотности.
В нашем случае при испытаниях образцов не учитывалось боковое расширение образцов при одноосном сжатии. По данным измерений ползучести снега (Войтковский, 1977) коэффициент бокового расширения для снега плотностью менее 300 кг/м³ пренебрежимо мал, деформация образца происходит вследствие вертикального оседания снега. Измерения геометрии образцов после испытаний показали, что утолщение образца происходит в его нижней части, как правило, у основания. Изменения размеров не превышают 1–2 мм, т. е. около 1%, и соизмеримы с погрешностью измерений размеров сторон. Поскольку измерения проводились преимущественно в ночное время при стабильном температурном фоне, мы не учитываем процессы испарения снега и его метаморфизм в ходе испытаний.
Для дальнейших исследований вязкости слоёв снежного покрова необходимо учитывать эволюцию кристаллов снега в естественных условиях залегания. Процессы сублимационной перекристаллизации в снеге приводят к укрупнению кристаллов, изменению их формы и уменьшению количества связей (Коломыц, 2013). По оценкам ряда исследований, вязкость слоёв ГИ, представленной кристаллами полускелетных и скелетных форм, значительно выше вязкости мелкозернистого и метелевого снега при равной плотности. Разнообразие вторично-идиоморфных форм кристаллов ГИ (Международная классификация…, 2012; Коломыц, 2013) предполагает различие их вязкости, но такие исследования ранее не проводились. Мы предполагаем, что слои ГИ играют заметную роль, препятствуя уплотнению снежного покрова при отрицательных температурах. Их образование в ходе эволюции снежной толщи необходимо учитывать. Ежегодные стратиграфические исследования снежного покрова в Подмосковье указывают, что через 3–4 недели после формирования нового слоя снега в нём формируются кристаллы ГИ (Чернов, 2013; Комаров, 2021). В нормальные и тем более холодные зимы толщина горизонта ГИ достигает 20–50 см. К концу зимнего периода слои ГИ преобладают по толщине, что наряду с вязко-пластичным уплотнением мелкозернистого снега необходимо учитывать при моделировании снежного покрова.
ЗАКЛЮЧЕНИЕ
На основе теории вязкого уплотнения снега представлена методика определения коэффициента вязкости снега при одноосном сжатии. Определены оптимальные размеры образцов снега и соответствующие им нагрузки. Во избежание резких просадок и выполнении условия вязкого уплотнения оптимально подбирать вес нагрузки в 2–3 раза больше веса самого образца. Определены значения коэффициента вязкости снега в диапазоне плотности от 0.1 до 0.3 г/см³ и при изменении температуры от –1 до –18 °С, которые изменяются от 0.9·10⁸ до 0.8·10¹⁰ Па·с. Среднее значение коэффициента вязкости мелкозернистого снега в испытаниях составило 8.5·10⁸ Па·с. Данная величина удовлетворительно описывает естественное оседание снега в верхнем горизонте снежного покрова, сложенного зернистым снегом. Для более точных оценок предложена эмпирическая формула зависимости коэффициента вязкости мелкозернистого снега от плотности и температуры.
В ходе исследования отмечено, что влияние плотности и температуры на изменения коэффициента вязкости снега сопоставимы по величине. Результат может быть использован в моделировании процессов уплотнения слоёв снежного покрова для широкого спектра задач.
Благодарности. Экспериментальные работы проводились в рамках темы государственного задания Института географии РАН № 1021051703465-1 (FMWS-2024-0004) “Криосфера в условиях изменения климата”.
Acknowledgments. Field work was carried out within the framework of the state task of the Institute of Geography of the Russian Academy of Sciences 1021051703465-1 (FMWS-2024-0004).
Об авторах
Р. А. Чернов
Институт географии РАН
Автор, ответственный за переписку.
Email: chernov@igras.ru
Россия, Москва
Список литературы
- Войтковский К. Ф. Механические свойства снега. М.: Изд-во Наука, 1977. 126 с.
- Иосида З. Физические свойства снега. Лёд и снег. Свойства, процессы, использование. Под ред. Б. А. Савельева. М.: Изд-во Мир, 1966. С. 377–423.
- Коломыц Э. Г. Теория эволюции в структурном снеговедении. Атлас-монография. М. Изд-во ГЕОС, 2013. 482 с.
- Комаров А. Ю. Строение снежного покрова на северо-востоке Московской области // Лёд и Снег. 2021. Т. 61. № 3. С. 391–403. https://doi.org/ 10.31857/S2076673421030096
- Котляков В. М. Избранные сочинения. Книга 1. Гляциология Антарктиды. М.: Наука, 2000. 432 с.
- Международная классификация для сезонно-выпадающего снега (руководство к описанию снежной толщи и снежного покрова). Русское издание // МГИ. 2012. № 2012–2. 81 c.
- Самойлов Р. С., Ушаков А. И. Полевые пенетрационные испытания снега // МГИ. 1983. Вып. 43. С. 209–217.
- Чернов Р. А. Метаморфизм и термические свойства свежевыпавшего снега (по исследованиям в Подмосковье) // Лёд и Снег. 2016. Т. 56. № 2. С. 199–206. https://doi.org/ 10.15356/2076-6734-2016-2-199-206
- Чернов Р. А. Экспериментальное определение эффективной теплопроводности глубинной изморози // Лёд и Снег. 2013. № 3 (53). С. 71–77. https://doi.org/ 10.15356/2076-6734-2013-3-71-77
- Шмакин А. Б., Турков Д. В., Михайлов А. Ю. Модель снежного покрова с учётом слоистой структуры и её сезонной эволюции // Криосфера Земли. 2009. Т. XIII. № 4. С. 69–79.
- Электронный ресурс: http://rp5.ru Дата обращения: 15.12.2023.
- Mellor M. Engineering Properties of Snow // Journ. of Glaciology. 1977. V. 19. No. 81. P. 15–66.
- Kominami Y., Endo Y., Niwano S., Ushioda S. Viscous compression model for estimating the depth of new snow // Annals of Glaciology. 1998. V. 26. P. 77–82.
- Kojima K. Densification of Seasonal Snow Cover // Phis. Snow and Ice. 1967. V. 1 (2). P. 929–952.
Дополнительные файлы






