Альбедо снежного покрова и его параметризация для целей моделирования природных систем и климата
- Авторы: Турков Д.В.1, Дроздов Е.Д.1,2, Ломакин А.А.3,4
-
Учреждения:
- Институт географии РАН
- Московский государственный университет имени М.В. Ломоносова
- Национальный исследовательский университет «Высшая школа экономики»
- Институт космических исследований РАН
- Выпуск: Том 64, № 3 (2024)
- Страницы: 403-419
- Раздел: Снежный покров и снежные лавины
- URL: https://journal-vniispk.ru/2076-6734/article/view/275911
- DOI: https://doi.org/10.31857/S2076673424030079
- EDN: https://elibrary.ru/INVIGY
- ID: 275911
Цитировать
Полный текст
Аннотация
Предложена новая схема параметризации альбедо снежного покрова, учитывающая большинство факторов, важных для метаморфизма снега. Проведено тестирование новой схемы параметризации альбедо снега в составе модели LSM SPONSOR по данным многолетних наблюдений. Показано, что новая схема позволяет получать несмещённые оценки альбедо со статистическими характеристиками, близкими к тем, что получены для данных наблюдений.
Ключевые слова
Полный текст
ВВЕДЕНИЕ
Для прогноза изменений климатической системы и для моделирования климата большое значение имеет адекватное описание свойств и структуры снежно-ледового покрова Земли, а также их сезонной и многолетней динамики (Vavrus, 2007; Snow and Climate, 2008; Котляков, 2010). Благодаря экстремальным теплофизическим характеристикам и продолжительности залегания на обширных площадях суши, высокой естественной пространственно-временнóй изменчивости и чувствительности к изменениям климата снежный покров оказывает значительное влияние практически на все процессы взаимодействия атмосферы с подстилающей поверхностью. Большое влияние на потоки энергии на границе снег/атмосфера оказывают радиационные свойства снежного покрова, прежде всего его отражающая способность, характеризующаяся коэффициентом отражения – альбедо. Снежно-ледяной покров имеет максимальное альбедо для естественных поверхностей на Земле, которое по данным наблюдений превышает в среднем 80% и может достигать в отдельные периоды 90–95% (Кузьмин, 1957; Снег, справочник, 1986; Красс, Мерзликин, 1990).
Лучистая энергия Солнца, приходящая на поверхность Земли, перекрывает спектральный диапазон от 0.3 до 4 мкм, включающий ультрафиолетовую (УФ, до 0.4 мкм), видимую (0.4–0.8 мкм) и ближнюю инфракрасную (БИК, 0.8–4 мкм) области (Матвеев, 1984). Высокая отражательная способность снежного покрова обусловлена сочетанием его микроструктуры с оптическими свойствами льда. В видимой и ультрафиолетовой частях спектра чистый лёд почти прозрачен (коэффициент поглощения составляет от 0.02 до 0.05 см–1), в то время как в ближнем инфракрасном спектре (БИК) поглощение увеличивается до тех пор, пока лёд не прекратит быть квазипрозрачным для длин волн больше 1.5 мкм (Красс, Мерзликин, 1990). Показатель преломления чистого льда близок к 1.30. Фотон, падающий на поверхность снега, преломляется или отражается при каждом столкновении с поверхностью раздела лёд/воздух до тех пор, пока он либо не будет поглощён, либо покинет слой снега. В видимом диапазоне длин волн и при низком содержании примесей в снегу фотон может проходить большие расстояния сквозь лёд, не поглощаясь, и, следовательно, может многократно преломляться и отражаться внутри снежного покрова, так что очень велика вероятность, что фотон покинет слой снега. Это объясняет высокую отражательную способность чистого снега в видимом и УФ диапазоне длин волн (Wiscombe, Warren, 1980). Если снег содержит много примесей, вероятность того, что фотоны будут поглощены внутри снежной толщи, намного выше, и, следовательно, альбедо такого снега меньше. Естественно, для высокой отражательной способности требуется достаточно глубокий слой снега, чтобы фотоны могли свободно рассеиваться по его глубине. На практике это предположение справедливо для снега глубиной более 10 см.
В видимом и УФ диапазоне отражательная способность снега сравнительно мало зависит от размера и формы зёрен. Поглощение солнечного излучения льдом увеличивается в БИК-диапазоне, что уменьшает вероятность выхода фотонов за пределы снежной толщи и, следовательно, уменьшает отражательную способность снега. Эта вероятность в первую очередь зависит от расстояния, пройдённого фотоном внутри ледяных зёрен во время многократных преломлений и отражений. Если кристаллы в снежной толще крупные и объёмные, а не мелкие и плоские, то это расстояние больше, поэтому альбедо снега в БИК-диапазоне обычно сильно уменьшается с увеличением размера зёрен (рис. 1). Изменчивость альбедо в БИК-диапазоне солнечного спектра вносит основной вклад в изменчивость интегрального альбедо чистого снежного покрова. Доля солнечного излучения на уровне земной поверхности, приходящаяся на БИК-диапазон, весьма изменчива и зависит от толщины слоя атмосферы, проходимого солнечным излучением, высоты Солнца, облачности, влажности атмосферы и наличия примесей. По данным измерений, эта доля у поверхности Земли может составлять от 45–50 до 75% всей энергии солнечного излучения и сильно меняться даже в течение суток (Кондратьев, 1965; Матвеев, 1984). Такая высокая изменчивость спектрального состава солнечного излучения дополнительно влияет на высокую изменчивость альбедо снежного покрова и вносит значительную неопределённость при прогнозировании и модельных расчётах его точных величин.
Рис 1. Пример расчёта зависимости спектрального альбедо толстого (>10м) чистого слоя снега от размера частиц. Форма частиц – сферическая, зенитный угол Солнца – 60 градусов, солнечное излучение – прямое, плотность снега 200 кг/м3. Расчёт произведён с помощью SNICAR-AD v4 с оптическими константами по (Warren, Brandt, 2008). Размер частиц: 1 – 30 мкм, 2 – 100 мкм, 3 – 200 мкм, 4 – 500 мкм, 5 – 1000 мкм, 6 – 5000 мкм
Fig. 1. An example of calculating the dependence of the spectral albedo of a thick (>10 m) pure snow layer on particle size. The shape of the particles is spherical, solar-zenith angle is 60 degrees, solar radiation is direct, snow density is 200 kg/m3. The calculation was performed using SNICAR-AD v4 with optical constants according to (Warren, Brandt, 2008). Particle size: 1 – 30 microns, 2 – 100 microns, 3 – 200 microns, 4 – 500 microns, 5 – 1000 microns, 6 – 5000 microns
Благодаря различным механизмам метаморфизма, размер снежных зёрен и кристаллов, а также содержание примесей обычно увеличиваются с возрастом, поэтому альбедо снежного покрова, как правило, уменьшается со временем, пока поверхность не покрывается свежим снегом. В период таяния из-за быстрого изменения формы и размеров снежных зёрен по всему снежному покрову и из-за постепенного появления более старых слоёв снега, которые могут содержать высокие концентрации примесей и более крупные зёрна льда, альбедо снега изменяется особенно быстро. За несколько дней оно может упасть с 90 до 40–50%, что приведёт к резкому увеличению поглощения солнечной радиации и скорости таяния (Кузьмин, 1961; Warren, 1982). Однако альбедо не всегда уменьшается со временем. Когда снежный покров подвергается воздействию высоких температурных градиентов, его альбедо может оставаться постоянным в течение длительного времени, а иногда даже увеличиваться из-за перекристаллизации поверхностного снега или из-за образования инея на поверхности (Snow and Climate, 2008).
Правильное описание пространственно-временнóй изменчивости альбедо снежно-ледового покрова – важная и актуальная задача, решение которой может повысить точность расчётов теплового баланса поверхности в моделях природных систем и климата.
Цель работы – рассмотрение принципов и оценка качества различных параметризаций альбедо снежного покрова, используемых в современных моделях земных систем, в частности, в модели LSM SPONSOR, а также поиск возможных путей их совершенствования. Основное внимание предполагается уделить описанию альбедо снежного покрова в горных регионах как сравнительно меньше подверженных загрязнению из естественных и антропогенных источников.
ПАРАМЕТРИЗАЦИЯ АЛЬБЕДО СНЕГА В МОДЕЛЯХ ПРИРОДНЫХ СИСТЕМ
Модели переноса излучения в снежно-ледовой толще. Изменение коэффициента отражения (альбедо) в зависимости от размера зёрен и спектрального состава приходящей солнечной радиации имеет функциональную форму, которая не может быть выражена аналитически по всему солнечному спектру (см. рис. 1). Основная сложность заключается в том, что фотоны света, проходя через толщу снега, подвергаются многократному преломлению и рассеянию. Такой процесс описывается с помощью уравнения переноса излучения (Красс, Мерзликин, 1990; Chandrasekhar, 2016), однако его аналитическое решение в общем случае пока не найдено. Поэтому для параметризации альбедо и коэффициента поглощения используются методы численного физико-математического моделирования распространения излучения в неоднородной снежной толще.
В настоящее время разработано достаточно много таких моделей. Основные методы решения основаны на разделении приходящего излучения на несколько потоков в зависимости от полярных углов и решения уравнения для каждого из таких потоков. В самом простом случае считается поток излучения, рассеянного снегом от поверхности в верхнюю и нижнюю полусферу. Такой метод называется двухпотоковым, и он используется в большинстве известных моделей переноса излучения в снежной толще. Среди них один из наиболее известных – это семейство моделей SNICAR (Flanner et al., 2021), самой развитой из которых в настоящее время является SNICAR-AD v4 (Dang et al., 2019; Whicker et al., 2022). При сравнительно высокой точности алгоритма его применение может давать ошибки вычисленного альбедо порядка первых процентов.
С помощью моделей, подобных SNICAR (Flanner et al., 2021), можно оценить влияние на спектральное альбедо как свойств снега (размер и форма частиц снега, содержание разных видов примесей, пыли и сажи), так и параметров среды (спектрального состава радиации, доли рассеянного или прямого излучения, зенитного угла и т.п.). В отличие от более точных и сложных многопотоковых моделей (например, DISORT, Stamnes et al., 1988), расчёты альбедо с помощью модели SNICAR-ADv4 экономичны, а поэтому её включают в некоторые климатические модели (например, CESM (Danabasoglu et al., 2020)).
Входные параметры для таких моделей включают в себя, как минимум, размер частиц (а лучше спектр распределения размеров частиц), форму частиц, процентное содержание примесей и характеристики приходящего солнечного излучения, а в более общем случае гораздо больший набор параметров. Самым важным параметром в ближнем инфракрасном диапазоне (от 0.8 мкм) является размер зёрен, а в видимом и УФ диапазоне – наличие примесей.
Отдельно стоит упомянуть влияние формы частиц на спектральное альбедо снега. В моделях переноса излучения в снежной толще обычно используется так называемый эффективный размер частиц, а для частиц несферической формы в качестве размера чаще всего используется эффективный радиус:
(1)
где Vsnow – это объём частицы, а Ssnow – это средняя площадь частицы, усреднённая по всем направлениям. Влияние формы частиц было рассмотрено в работе (He et al., 2018) для нескольких форм частиц. Так, интегральное альбедо чистого снега, состоящего из частиц с эффективным радиусом в 1 мм, для сфероидов и для гексагональных призм (или снежинок Коха) в видимом диапазоне различалось на несколько процентов, что может давать существенную разницу в поглощении излучения и увеличивать неопределённость при расчётах альбедо.
Несмотря на успехи физического моделирования процессов переноса излучения в снежно-ледяной толще, применение разработанных моделей на практике имеет ограничения. Это связано с высокими требованиями таких моделей к качеству входной информации, прежде всего спектрального состава и доли прямой и рассеянной приходящей радиации, а также микроструктуры снежной толщи, которая может существенно изменяться с глубиной. Такие данные не предоставляются регулярной сетью метеонаблюдений и должны быть получены из других источников или вычислены с помощью модельных методов. Поэтому многие модели земных систем, включая большинство моделей климата, используют параметризации альбедо снежного покрова, позволяющие определить альбедо по данным о расчётной (или измеренной локально) солнечной радиации, данным о температуре, облачности и других свойствах атмосферы, а также о каких-либо известных свойствах снега, чаще всего его температуре, возрасте и/или плотности. Таких параметризаций разработано достаточно много, и они позволяют определить альбедо снежного покрова и его динамику с некоторой степенью точности, которую необходимо оценить на основании сравнения расчётных данных об альбедо с данными наблюдений.
В отличие от снега, описываемого теоретическими моделями типа SNICAR, в моделях реальных природных систем приходится учитывать, что снег находится в условиях взаимодействия с другими компонентами ландшафта, прежде всего с подстилающими почвогрунтами, рельефом и растительным покровом. В этой работе мы временно не будем касаться сложных процессов взаимодействия снежного покрова с растительностью, а рассмотрим особенности параметризации альбедо снежного покрова на открытой местности с локально слабо расчленённым рельефом. Особое внимание будет уделено применению таких параметризаций в модели LSM SPONSOR, поскольку одной из основных целей работы является усовершенствование параметризации альбедо снега именно для этой модели.
Хороший обзор параметризаций альбедо снежного покрова в других моделях природных систем дан в работе (Lee et al., 2021).
Модель SPONSOR. Численная модель тепловлагообмена на суше (Land-Surface Model, LSM) SPONSOR разработана в Институте географии РАН. Детальное описание и примеры работ по моделированию снежного покрова с помощью LSM SPONSOR приведены в работах (Шмакин и др., 2009; Турков, Сократов, 2016; Дроздов и др., 2023). Она участвовала во многих международных экспериментах по сравнению подобных моделей; очередной эксперимент, ESM-SnowMIP, завершился в 2021 г. (Krinner et al., 2018; Menard et al., 2021). Модель SPONSOR позволяет рассчитать все составляющие теплового и водного баланса на суше. Все переменные в модели рассчитываются на каждом шаге по времени, который может быть от нескольких минут до суток и зависит от поставленной задачи, но для адекватного воспроизведения суточного хода шаг должен составлять не более шести часов. При работе модели требуется на каждом шаге задавать значения нескольких метеорологических переменных (температуру и влажность воздуха, скорость ветра, осадки, поток приходящей коротковолновой и длинноволновой радиации и приземное атмосферное давление). Также необходимо задавать ландшафтные параметры, связанные с типом растительности или с типом почвы в каждой ячейке суши.
Модель снежного покрова включена в модель SPONSOR в качестве отдельного блока. Основной структурной единица модели снежного покрова является слой снега. Считается, что в общем случае на каждом шаге по времени при наличии твёрдых осадков формируется отдельный слой снега с определёнными начальными свойствами. В дальнейшем под воздействием различных процессов свойства слоя плавно или скачкообразно изменяются. При росте снежной толщи соседние слои одного типа, близкие по свойствам, могут объединяться. При вычислениях снежный покров рассматривается как многослойная среда, каждый слой которой характеризуется температурой, массой (водным эквивалентом), толщиной, плотностью, влажностью, фазовым состоянием содержащейся воды, теплоёмкостью, теплопроводностью и максимальной водоудерживающей способностью.
Модель снежного покрова включает в себя описание процессов, вносящих наибольший вклад в формирование теплофизических характеристик снега, важных для описания взаимодействия снежного покрова с атмосферой и почвой. К ним относятся: образование нового слоя снега; изменение плотности слоёв снега в результате вязкого и ветрового уплотнения; изменение температуры слоёв снега за счёт теплообмена с атмосферой и почвой, а также поглощения солнечной радиации и фазовых переходов воды в толще снега; испарение, в том числе метелевое; таяние, перенос талой воды и её вторичное замерзание; изменение влажности снега в результате таяния и просачивания талой воды в толщу, а также поглощения жидких осадков; изменение альбедо, теплопроводности и теплоёмкости снега, а также свойств снега за счёт смены типа слоёв.
Методы параметризации альбедо снега в моделях природных систем. При установлении сезонного снежного покрова его альбедо, как правило, не сразу достигает максимальных величин, но сначала наблюдается частичное покрытие территории снегом. Альбедо такой территории обычно вычисляется как средневзвешенная величина из альбедо покрытой снегом части площади и свободной от него. Кроме того, необходимо учитывать, что на альбедо тонкого снежного покрова оказывает влияние подстилающая поверхность почвы из-за некоторой прозрачности снега для солнечного излучения. Такая же ситуация наблюдается и при таянии снежного покрова. Средневзвешенная толщина снега, при которой он полностью покрывает поверхность, не является константой, но зависит от многих факторов. При моделировании снежного покрова альбедо поверхности, частично покрытой снегом, чаще всего вычисляется по формуле:
, (2)
где α – средневзвешенное альбедо поверхности, α0 – альбедо бесснежной поверхности, αsn – альбедо поверхности, полностью покрытой снегом, – доля покрытия поверхности снегом. Величина в свою очередь также не является константой, а определяется как функция, часто нелинейная, от некоторого минимального значения водного эквивалента или критической толщины снега, , начиная с которой поверхность считается полностью покрытой снегом. Очевидно, что эта величина сильно зависит от характера подстилающей поверхности и особенностей выпадения или таяния снежного покрова. Так, свежевыпавший снег создаёт сплошной снежный покров при относительно небольшой толщине или водном эквиваленте, в то время как в тающем старом снеге могут возникать проталины при большей средней толщине или водном эквиваленте. В модели SPONSOR сделана попытка учесть эти особенности, и в результате величина вычисляется по формуле:
, (3)
где – время существования верхнего слоя снега, сут, – толщина снежного покрова, м, = 0.025 м, ограничения на : .
В подавляющем большинстве схем параметризаций альбедо снежного покрова (Lee et al., 2021) принимается, что свежевыпавший снег имеет максимально возможное альбедо. Эта величина меняется в различных моделях в диапазоне 0.85–0.96 для интегрального по спектру солнечного излучения альбедо. Основной вклад в изменчивость альбедо свежего снега, кроме размера и формы выпадающих кристаллов и зёрен снега, вносят погодные условия во время снегопада. Значительное влияние оказывает сильный ветер, уплотняющий снег и способствующий фрагментации первоначальных кристаллических структур снега (снежинок, игольчатых кристаллов и т.п.), а также температурные условия, прежде всего повышение температуры воздуха выше температуры плавления льда (оттепель). В блоке расчёта характеристик снежного покрова в модели LSM SPONSOR мы учитываем влияние погодных условий на альбедо свежего снега, , следующим образом:
, (4)
где – плотность свежевыпавшего снега (кг/ м3), которая определяется согласно (Hedstrom, Pomeroy, 1998; Barlett, 2006):
(5)
где = 273.16 K, температура таяния, – температура приземного воздуха, K. Поправка на ветер, (согласно Vionnet et al., 2012):
, (6)
где – скорость ветра на уровне 10 м (м/с).
В некоторых схемах параметризаций, преимущественно используемых в климатических моделях с возможностью расчётов спектрального состава радиации, альбедо рассчитывается отдельно для видимой (плюс УФ) и БИК частей спектра. В таких моделях задаётся максимально возможное значение альбедо отдельно для видимой и БИК частей спектра (порядка 0.95 и 0.65 соответственно). Другой пороговой величиной, задаваемой явно или неявно (через достижимые пределы уравнений) в большинстве схем параметризации альбедо, является минимальное альбедо снега. В природных условиях минимальное альбедо чистого снега чаще всего наблюдается в условиях таяния и принимает значения в диапазоне от 0.35 до 0.55 (Кузьмин, 1957, 1961; Warren, 1982).
При отсутствии снегопадов альбедо поверхности снежного покрова, как правило, начинает уменьшаться в результате процессов метаморфизма и загрязнения. Для определения величины альбедо снега на каждом временнóм шаге в моделях используются диагностические или прогностические схемы. В прогностических схемах альбедо на каждом шаге по времени определяется через его значение на предыдущем шаге. При этом обычно принимается, что изменение происходит в соответствии с некоторой функцией, например, экспонентой. Так, например, в схеме, используемой в модели климата CLASS (Verseghy, 2012), альбедо на новом шаге по времени определяется так:
, (7)
где – альбедо снега на текущем шаге по времени, – альбедо снега на предыдущем шаге по времени, – шаг по времени, с, – базовое альбедо, равное 0.7 для сухого и 0.5 для тающего снега.
В диагностических схемах вычисления альбедо его величина определяется через значения некоторых известных характеристик снежного покрова, например, через его плотность, возраст и/или температуру. Так, в расчётной схеме, используемой в модели ISBA (Decharme et al., 2016), а также в модели CROCUS (Vionnet et al., 2012) альбедо верхнего слоя снега вычисляется через его возраст и плотность так:
(8)
(9)
(10)
, , (11)
где – альбедо для видимого и УФ диапазона, 0.3–0.8 мкм, – альбедо для БИК диапазона 0.8–1.5 мкм, – альбедо для БИК диапазона 1.5–2.8 мкм, – возраст снега, сут., = 60 сут., – атмосферное давление, гПа, = 870 гПа – базовое давление, – эффективный оптический диаметр кристаллов снега, м, вычисляемый по формуле:
, (12)
где – плотность снега, кг/м3, – максимальный диаметр зерна, принимаемый равным 0.0023 м, а = 1.6·10–4 м, = 1.1·10–13 м13·кг–4, = 0.5·10–4 м/сут – эмпирические коэффициенты. Последний член в формуле (8) предназначен для учёта изменения альбедо для старого и загрязнённого снега; через параметр Kh, связанный с атмосферным давлением делается попытка учёта уменьшения загрязнения снега и относительного увеличения доли видимой и УФ части спектра в высокогорных районах.
Ещё одним примером параметризации альбедо снежного покрова в зависимости от возраста снега и его температурного режимам может служить схема, предложенная в модели BATS (Dickinson et al., 1993). Здесь скорость изменения со временем альбедо снежного покрова при отсутствии новых снегопадов зависит, главным образом, от температуры снега через безразмерный параметр возраста снега, , который определяется прогностическим уравнением:
, (13)
где – эффективный возраст снега на шаге времени t, который зависит от значения этого параметра на предыдущем шаге по времени, , и вычисляется как:
, (14)
где – функция старения снега:
(15)
Здесь и учитывают зависимость альбедо от градиента температуры в снежной толще, приводящего к изменению микроструктуры снега, – учитывает изменение альбедо за счёт загрязнения снега:
(16)
(17)
, (18)
где = 273.16 K, температура таяния, – температура поверхности снега, – шаг по времени, с. В модели принимается, что новый снегопад с изменением водного эквивалента снежного покрова больше чем на 1 кг/м2 обнуляет , и расчёт старения начинается заново.
Величина альбедо снега в схеме BATS определяется для видимого () и БИК () диапазонов спектра коротковолновой радиации так:
(19)
(20)
Схема BATS позволяет рассчитать альбедо снега для двух диапазонов спектра коротковолновой радиации, поскольку изначально предполагалось использование этой схемы в модели общей циркуляции атмосферы NCAR, где используется спектральная схема переноса радиации с возможностью получить величины радиации в различных диапазонах.
Расчёт альбедо снежного покрова в модели LSM SPONSOR. В моделях тепловлагообмена атмосферы с поверхностью суши, таких как LSM SPONSOR, в качестве входных данных (форсинга) обычно используются результаты наблюдений, которые редко включают данные о спектральном составе солнечной радиации. Поэтому при создании модели LSM SPONSOR предполагался расчёт только интегрального альбедо для всего диапазона солнечного излучения. Первоначально в модели SPONSOR использовалась диагностическая схема вычисления альбедо снежного покрова в зависимости от возраста его верхнего слоя:
, (21)
где – возраст верхнего слоя снега, сут, – альбедо свежего снега, задаваемое для разных ландшафтов в диапазоне 0.82–0.95, Kd – безразмерный коэффициент, учитывающий состояние снежного покрова. Он равен 0.2 для свежего сухого снега, 0.25 для сухого снега с плотностью выше 350 кг/м3, а также для увлажнённого снега, 0.3 для снега грубозернистого и с прослойками льда, 0.35 для ледяных корок и сильно увлажнённого снега, 0.4 для снега под пологом растительности или для территорий с частичным покрытием снегом . Для снежной толщи, состоящей только из увлажнённых или насыщенных водой слоёв предполагается, что , где – альбедо тающего снега, задаваемого для разных ландшафтов в диапазоне 0.4–0.55. Верхний слой снега может образоваться и в результате снегопада, и показаться на поверхности из глубины в результате таяния верхних слоёв. В последнем случае возраст такого снега будет существенно больше, а сомножитель в формуле (21), характеризующий относительный возраст верхнего слоя снега, будет по значению близок к единице.
Новая схема параметризации альбедо снежного покрова в модели SPONSOR также является диагностической и предполагает работу с входными данными по солнечной радиации без деления на видимую и БИК части. Именно такие данные по радиации предоставляются обычно данными наблюдений, в частности теми, которые использовались в эксперименте ESM-SnowMIP. В новой расчётной схеме альбедо поверхности, частично покрытой снегом, вычисляется согласно формулам (2)–(3). Альбедо сплошного снежного покрова в новой схеме вычисляется по формуле:
. (22)
Здесь – минимально возможное альбедо сплошного снежного покрова, – альбедо свежего снега, которое вычисляется по формулам (4)–(6), а – это сумма диагностированных изменений, вносимых различными процессами и факторами в альбедо на данном шаге по времени:
(23)
Здесь отвечает за изменения альбедо в зависимости от средневзвешенного возраста и средневзвешенной по массе плотности верхнего слоя снега толщиной 0.05 м с учётом возможного включения нескольких слоёв, суммарно равных по толщине 0.05 м:
(24)
Безразмерный параметр плотности снега, :
, (25)
где – средневзвешенная плотность верхней части слоя снега, толщиной 0.05 м, кг/м3, – базовая плотность снега, равная 250 кг/м3.
Безразмерный параметр возраста снега, :
, (26)
где – средний возраст верхнего слоя снега толщиной 0.05 м, сут.
Безразмерный член учитывает влияние приземной температуры воздуха, Ta, K, на температуру поверхности и метаморфизм снега, особенно вблизи и выше температуры таяния :
(27)
Здесь – коэффициент, учитывающий ускоренный метаморфизм снега при больших значениях прямой солнечной радиации (Красс, Мерзликин, 1990):
, (28)
где – величина суммарной солнечной радиации, Вт/м2, – синус высоты Солнца.
Безразмерный член имеет целью учёт изменения альбедо за счёт фонового загрязнения и влияния на альбедо слоев снега с большим возрастом. Учёт этого фактора особенно важен в период снеготаяния, когда на поверхности оказываются слои снега, имеющие большой возраст , обычно сильно метаморфизованные и содержащие большое количество накопленных загрязнений:
, (29)
где сут, определяется по формуле (11) и имеет тот же физический смысл, а – поправка, учитывающая поступление фоновых загрязнений, величина которой определяется особенностями местоположения станции наблюдения, прежде всего наличием поблизости древесной растительности и/или антропогенных объектов, таких как шоссейные дороги и населённые пункты. Величина минимальна для высокогорных станций, удалённых от населённых пунктов и находящихся выше зоны леса вдали от скальных склонов (так, для полигонов Senator Beck и Weissfluhjoch величина равна 0.02) и максимальна для полигона Col de Port, расположенного в окружении лесной растительности вблизи автодороги, где = 0.07. Для полигона Swamp Angel, также окружённого древесной растительностью, но вдали от дорог и населённых пунктов = 0.04 (об экспериментальных полигонах см. раздел «Данные наблюдений за альбедо»).
Параметр учитывает влияние на альбедо подстилающего почвогрунта за счёт относительной прозрачности тонкого слоя снега (менее 0.15 м):
(30)
где – альбедо подстилающей снег бесснежной поверхности; – альбедо поверхности снега на предыдущем шаге по времени, – толщина снежного покрова, м. Величина поправки теоретически может быть отрицательной (то есть не уменьшать, а увеличивать альбедо), если подстилающая поверхность имеет собственное альбедо больше, чем альбедо снега (например, загрязнённый мокрый снег на леднике).
Наконец, член учитывает увеличение альбедо при небольшой высоте Солнца (< 30°) за счёт частичного зеркального отражения солнечных лучей, особенно прямой солнечной радиации (Warren, 1982):
. (31)
Здесь определяется по формуле (28) и имеет целью учесть увеличение доли прямой радиации в приходящем потоке солнечного излучения.
Данные наблюдений за альбедо. При валидации и верификации предложенных схем параметризации альбедо снежного покрова мы использовали многолетние данные наблюдений, предоставленные участникам проекта ESM-SnowMIP (Krinner et al., 2018). Поскольку в работе мы рассматриваем альбедо преимущественно чистого снега (с минимальным значением только фоновых загрязнений), то основное внимание уделялось описанию альбедо снежного покрова в горных регионах как относительно меньше подверженных загрязнению из естественных и антропогенных источников. Поэтому для валидации предложенных схем параметризации альбедо были выбраны четыре полигона эксперимента ESM-SnowMIP, расположенных в горных регионах (табл. 1). Два полигона, Col de Porte (Lejeune et al., 2019) и Weissfluhjoch (Wever et al., 2015), расположены в Альпах, а два других, Senator Beck и Swamp Angel (Landry et al., 2014), расположены в Скалистых горах, США, штат Колорадо. Станции наблюдения на полигонах Weissfluhjoch и Senator Beck расположены на плато с открытым горизонтом, лишённых древесной растительности и удалённых от скалистых склонов как возможных источников загрязнения. Полигон Swamp Angel расположен примерно в 2 км от полигона Senator Beck в широкой долине и окружён сравнительно редкой высокоствольной хвойной растительностью. Полигон Col de Porte расположен в окружении лесной растительности, его высота над уровнем моря наименьшая из представленных полигонов. Рядом с полигоном Col de Porte проходит автомобильная дорога, другие полигоны удалены как от автодорог, так и от значительных населённых пунктов, поэтому заметные величины фонового загрязнения характерны только для полигона Col de Porte, для остальных полигонов снег можно считать относительно чистым. Все полигоны характеризуются мощным снежным покровом (толщиной до 2.5–4 м) и расположены в достаточно низких широтах, поэтому характеризуются также значительными суммами солнечной радиации, особенно в весеннее время, и оттепелями, и, соответственно, интенсивным метаморфизмом снега, влияющим на его альбедо. Для всех полигонов имеются данные измерений для ежедневного полуденного альбедо поверхности, включая снежный покров. Для полигонов Col de Porte и Weissfluhjoch длина рядов данных наблюдений составляет 20 лет, для Senator Beck и Swamp Angel – по 10 лет, для всех с шагом по времени 1 час. Таким образом, ряды данных наблюдений на всех полигонах оказываются достаточно длинными для полноценной валидации схемы параметризации альбедо снежного покрова в максимально возможном диапазоне погодных условий, встречающихся в горных регионах, расположенных в различных природно-климатических зонах. Длина рядов данных наблюдений за альбедо для каждого полигона в дни со снежным покровом приведена в табл. 2. Также для выбранных полигонов имелся полный спектр метеонаблюдений, данные которых использовались как входные данные модели LSM SPONSOR (форсинг) при расчётах, в частности, характеристик снежного покрова.
Таблица 1. Полигоны эксперимента ESM-SnowMIP, данные с которых использованы для валидации схемы параметризации альбедо снежного покрова
Полигон | Широта | Долгота | Высота над ур. моря | Период наблюдений |
Col de Porte (France) | 45.30°N | 5.77°E | 1325 м | 1994–2014 |
Senator Beck (USA) | 37.91°N | 107.73°W | 3714 м | 2005–2015 |
Swamp Angel (USA) | 37.91°N | 107.71°W | 3371 м | 2005–2015 |
Weissfluhjoch (Swiss) | 46.83°N | 9.81°E | 2540 м | 1996–2016 |
Таблица 2. Сравнение данных наблюдений с результатами модельных расчётов по старой и новой схемам альбедо снежного покрова для четырёх полигонов проекта ESM-SnowMIP: основные статистические характеристики. Рядом с названиями полигонов – длина ряда ежедневных наблюдений за полуденным альбедо в дни со снежным покровом.
Среднее значение, MEAN | Стандартное отклонение, σ | Коэффициент вариации, Cv | Медиана, Me | Главная мода, Mo | Средняя абсолютная ошибка, MAE | Коэффициент корреляции, R | Коэффициент детерминации, R2 | Среднее смещение, BIAS | |
Weissfluhjoch (ряд 4387 значений) | |||||||||
Наблюдения | 0.78 | 0.09 | 12.02 | 0.81 | 0.84 | – | – | – | – |
Старая схема | 0.77 | 0.10 | 13.16 | 0.81 | 0.86 | 0.01 | 0.38 | 0.15 | –0.012 |
Новая схема | 0.78 | 0.10 | 12.26 | 0.81 | 0.86 | 0.00 | 0.81 | 0.65 | 0.001 |
Col-de-port (ряд 2526 значений) | |||||||||
Наблюдения | 0.68 | 0.11 | 15.87 | 0.69 | 0.64 | – | – | – | – |
Старая схема | 0.68 | 0.10 | 15.12 | 0.65 | 0.56 | 0.00 | 0.45 | 0.20 | –0.004 |
Новая схема | 0.68 | 0.11 | 15.28 | 0.69 | 0.70 | 0.00 | 0.83 | 0.69 | 0.005 |
Senator Beck (ряд 2327 значений) | |||||||||
Наблюдения | 0.78 | 0.11 | 13.67 | 0.80 | 0.79 | – | – | – | – |
Старая схема | 0.76 | 0.10 | 12.74 | 0.81 | 0.85 | 0.01 | 0.52 | 0.27 | –0.013 |
Новая схема | 0.78 | 0.10 | 12.12 | 0.80 | 0.80 | 0.01 | 0.78 | 0.61 | 0.006 |
Swamp Angel (ряд 1558 значений) | |||||||||
Наблюдения | 0.75 | 0.11 | 14.7 | 0.76 | 0.67 | – | – | – | – |
Старая схема | 0.73 | 0.11 | 14.44 | 0.75 | 0.85 | 0.02 | 0.47 | 0.22 | –0.021 |
Новая схема | 0.75 | 0.11 | 14.43 | 0.77 | 0.85 | 0.01 | 0.78 | 0.61 | 0.004 |
Результаты численных экспериментов. Для выбранных полигонов по предоставленным организаторами проекта ESM-SnowMIP данным метеонаблюдений были произведены расчёты характеристик снежного покрова, включая его альбедо. Серия экспериментов для каждого полигона включала два расчёта – со старой и новой схемами параметризации альбедо снежного покрова. Для возможности корректной оценки и сравнения качества расчёты для каждой схемы параметризации проводились с одинаковыми значениями всех параметров и коэффициентов для всех четырёх полигонов, за исключением параметра из уравнений (23 и 29), отвечающего за учёт поступления фоновых загрязнений, интенсивность которого, очевидно, различна для разных полигонов. Результаты сравнения расчётных величин альбедо по старой и новой схемам с данными наблюдений представлены в табл. 2, а также на рис. 2–4.
Рис. 2. Диаграммы рассеяния для сравнения данных наблюдений с модельными расч`тами альбедо снежного покрова по старой схеме (а, б, д, е) и по новой схеме (в, г, ж, з). Рис. а, в – для полигона Weissfluhjoch, б, г – для полигона Col de Porte, д, ж – для полигона Senator Beck, е, з – для полигона Swamp Angel. На каждой диаграмме приведены значения коэффициента детерминации R2 и среднего смещения (bias)
Fig. 2. Scatterplots for comparing observational data with model calculations of snow cover albedo using the old scheme (а, б, д, е) and the new scheme (в, г, ж, з). Figures а, в – for the Weissfluhjoch test site, б, г – for the Senator Beck test site, д, ж – for the Swamp Angel test site, е, з – for the Col de Porte test site. Each diagram shows the values of the coefficient of determination R2 and bias
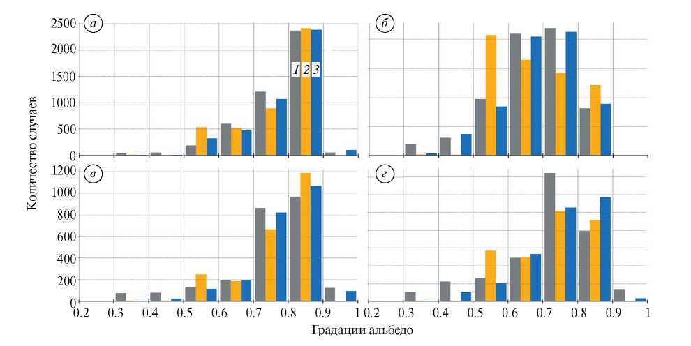
Рис. 3. Частотное распределение случаев попадания значений расчётного и наблюдаемого альбедо в различные градации (ось абсцисс разбита на градации) для полигона Weissfluhjoch (а), для полигона Col de Porte (б), для полигона Senator Beck (в) и для полигона Swamp Angel (г). 1 – столбики для данных наблюдений, 2 – столбики для модельных расчётов SPONSOR по старой схеме, 3 – столбики для модельных расчётов SPONSOR по новой схеме
Fig. 3. Frequency distribution of cases where the calculated and observed albedo values fall into different gradations (the x-axis is divided into gradations) for Weissfluhjoch test cite (а), for the Col de Porte test site (б), for the Senator Beck test site (в), for the Swamp Angel test site (г). 1 – bars for observational data, 2 – bars for SPONSOR model calculations according to the old scheme, 3 – bars for SPONSOR model calculations according to the new scheme
Рис. 4. Частотное распределение разности случаев попадания значений расчётного и наблюдаемого альбедо в различные градации (ось абсцисс разбита на градации) для полигона Weissfluhjoch (а), для полигона Col de Porte (б), для полигона Senator Beck (в) и для полигона Swamp Angel (г). Значения различий показаны цветными столбиками, процентные различия подписаны над столбиками. 1 – столбики для модельных расчётов SPONSOR по старой схеме, 2 – столбики для модельных расчётов SPONSOR по новой схеме
Fig. 4. Frequency distribution of the difference between cases where the calculated and observed albedo values fall into different gradations (the x-axis is divided into gradations) for Weissfluhjoch test cite (а), for the Col de Porte test site (б), for the Senator Beck test site (в), for the Swamp Angel test site (г). The differences are shown in colored bars; the percentage differences are written above the bars. 1 – bars for SPONSOR model calculations according to the old scheme, 2 – bars for SPONSOR model calculations according to the new scheme
Анализ табл. 2 показывает, что ряды модельного альбедо, рассчитанного по обеим схемам, имеют, в общем, сходные характеристики в целом для многолетнего ряда: средние значения отличаются от данных наблюдений не более чем на 0.02, а стандартные отклонения – менее чем на 0.01. Средние абсолютные ошибки и средние смещения (bias) также весьма малы и не превышают 0.01–0.02 по абсолютному значению. Это говорит о том, что и старая, и новая схемы расчёта альбедо дают в целом несмещённые оценки альбедо, хорошо совпадающие с данными наблюдений по средним многолетним значениям и дисперсиям. Обе схемы могут быть использованы, если в рамках решаемых задач требуются оценки только среднего сезонного или среднего многолетнего альбедо снежного покрова. Однако если в рамках проводимых исследований требуются правильные оценки динамики альбедо с более подробным временным разрешением, то старая схема расчёта альбедо не может дать результат хорошего качества. Если сравнить коэффициенты корреляции между расчётными и наблюдаемыми данными, то для старой схемы они составляют 0.38–0.52, что даёт коэффициенты детерминации не более 0.27. То есть старая схема объясняет не более 27% изменчивости альбедо, что неприемлемо для задач, где требуется адекватная оценка высокочастотной динамики изменения свойств снежного покрова. Напротив, если сравнить коэффициенты корреляции между наблюдаемыми данными и результатами расчётов по новой схеме, то здесь они составляют 0.78–0.83, что даёт коэффициенты детерминации 0.61–0.69, то есть новая схема объясняет большую часть изменчивости альбедо, хотя и не объясняет всю изменчивость величины.
Это хорошо видно на рис. 2, где представлены диаграммы рассеяния для сравнения данных наблюдений и расчётных данных. Можно отметить, что расчётные данные об альбедо по старой схеме (см. рис. 2, а, б, д, е) дают сильно искажённую картину изменения альбедо для всех четырёх полигонов. Для новой схемы расчёта альбедо (см. рис. 2, в, г, ж, з) картина распределения альбедо более адекватна, особенно для полигонов Col de Porte и Weissfluhjoch с длинными рядами наблюдений.
Можно также отметить, что разброс данных на диаграммах, относящихся к расчётам по новой схеме (см. рис. 2, в, г, ж, з), значительно возрастает для низких значений альбедо снежного покрова, которые характерны для старого и тающего снега; модельные расчёты в среднем завышают значения альбедо снега в этот период. Очевидно, что именно для такого снега, сильно метаморфизованного, влажного и загрязнённого, адекватное описание альбедо представляет наиболее сложную задачу, а ошибки в этот период дают наибольший вклад в суммарную неопределённость расчётного альбедо по предложенной схеме, описывающей преимущественно изменения альбедо чистого снега.
Для четырёх полигонов представлена диаграмма (см. рис. 3) частот распределения альбедо снега по частотным интервалам для данных наблюдений и обеих схем расчёта альбедо. Можно отметить, что расчётные значения по новой схеме и данные наблюдений демонстрируют, в общем, схожую картину частотного распределения значений: оба распределения одномодальные, с максимальными и минимальными значениями в одних и тех же градациях, абсолютные различия частот попадания альбедо в большинство градаций сравнительно невелики. В то же время для старой схемы расчёта альбедо наблюдаются значительные искажения частотного распределения, особенно на полигоне Col de Porte, где мода сильно смещена в область меньших значений, и для полигонов Senator Beck и Swamp Angel, где велики абсолютные различия частот в большинстве градаций, а также отмечается бимодальное распределение расчётных значений.
Эти выводы подтверждаются анализом (см. рис. 4), где представлены разности частот попадания значений альбедо в различные градации для данных наблюдений и для обеих расчётных схем. Данные рис. 4 подтверждают сделанные ранее выводы о том, что для новой расчётной схемы различия существенно меньше, чем для старой, как по абсолютным значениям, так и в процентном выражении, особенно для полигонов Col de Porte и Weissfluhjoch с длинными двадцатилетними рядами наблюдений. Максимальные отличия расчётных значений по новой схеме от наблюдаемых отмечаются для полигона Swamp Angel.
ОБСУЖДЕНИЕ РЕЗУЛЬТАТОВ И РЕКОМЕНДАЦИИ К БУДУЩИМ ПАРАМЕТРИЗАЦИЯМ
Несмотря на хорошую изученность физических процессов поглощения и отражения солнечного излучения для снежно-ледового покрова, параметризация альбедо и коэффициента поглощения в моделях природных систем остаётся достаточно сложной задачей. Альбедо снега зависит, прежде всего, от его микроструктуры – размеров и формы зёрен и кристаллов, слагающих верхнюю часть снежного покрова толщиной порядка 0.1–0.2 м. В свою очередь, процесс изменения микроструктуры снежного покрова весьма сложен и трудно формализуем, поскольку зависит от множества факторов, воздействующих на снежных покров, как погодных, так и ландшафтных, таких как рельеф, тип и физические свойства подстилающего почвогрунта, растительность и т.п. В результате модели, явно описывающие изменение микроструктуры снежной толщи, такие как SNOWPACK (Wever et al., 2015) или CROCUS (Vionnet et al., 2012) весьма сложны и сильно зависят от наблюдений in situ. Поэтому такие модели динамики снежного покрова не могут быть прямо использованы в моделях природных систем и климата, нуждающихся в корректном описании процессов в широком (до глобального) диапазоне природных условий. Кроме того, даже при известной микроструктуре снежной толщи её альбедо зависит ещё и от структуры приходящей солнечной радиации, особенно от доли излучения в БИК – диапазоне, которая может меняться от 45 до 75%. Эти же ограничения касаются и наиболее физически обоснованных моделей переноса излучения в снежной толще, таких как SNICAR, требовательных к качеству входной информации о снежном покрове и структуре приходящей солнечной радиации.
Поэтому при создании параметризаций альбедо для использования в моделях природных систем исследователям приходится прибегать к учёту косвенных зависимостей альбедо от сравнительно легко определяемых свойств снега, таких как его возраст, плотность или температура. Примеры таких параметризаций приведены выше, на таких же принципах основана и предложенная здесь параметризация альбедо для модели LSM SPONSOR.
Сравнение двух схем параметризации альбедо снега для модели LSM SPONSOR показывает, что для адекватного моделирования внутригодовой динамики альбедо снежного покрова недостаточно учитывать только его возрастные изменения, необходимо также привлекать данные об изменении его плотности и о температурном режиме. Чем больше процессов, влияющих на изменения свойств снежного покрова, прежде всего его микроструктуры, мы учитываем, тем большее соответствие динамики моделируемого и наблюдаемого альбедо можем получить. Новая параметризация альбедо снежного покрова, учитывающая большинство процессов, важных для метаморфизма снега, показывает значительно лучшее соответствие с данными наблюдений, особенно в высокочастотной (внутримесячной) динамике альбедо. Схема хорошо показала себя при расчёте альбедо горных территорий с относительно чистым снегом. Набор тестовых полигонов охватывает особенности условий формирования снега в горах, как в лесной зоне, так и в безлесной, поэтому схема может быть рекомендована для расчёта альбедо в широком диапазоне горных ландшафтов. Качество схемы подтверждает также тот факт, что расчёты производились с одинаковыми значениями всех параметров и коэффициентов для всех четырёх полигонов, за исключением параметра из уравнений (23 и 29), отвечающего за учёт поступления фоновых загрязнений.
Как видно из рис. 2, ошибки расчётного альбедо снежного покрова заметно возрастают для старого и тающего снега, модельные расчёты в среднем завышают значения альбедо снега в этот период, что связано, по-видимому, с недоучётом поступающих накопленных загрязнений и недостатками параметризации альбедо для сильно увлажнённого снега. Ещё одним источником ошибок является, очевидно, описание альбедо для суммарной солнечной радиации без деления на спектральные диапазоны, в то время как доказано, что в наибольшей степени изменчивость альбедо снега и льда связана с БИК диапазоном приходящего излучения Солнца. Наконец, несомненное влияние оказывают ошибки в расчётах модельных характеристик снежного покрова, участвующих в параметризации альбедо, прежде всего плотности, возраста и толщины снега. Все вместе, эти неточности увеличивают неопределённость при расчётах альбедо снежного покрова и указывают пути улучшения параметризации.
Дальнейшее развитие параметризации альбедо снежного покрова, не только для горных, но и для равнинных условий, может производиться по нескольким направлениям. Во-первых, внедрение более точной схемы расчёта изменения размеров зёрен и кристаллов снега в зависимости от внешних факторов, воздействующих на снежную толщу, прежде всего влияющих на формирование градиента температуры в толще, испарения и плавления зёрен снега, поглощение солнечной радиации. Во-вторых, необходимо улучшение параметризации альбедо влажного и тающего снега, поскольку именно для такого снега ошибки новой схемы особенно велики. В-третьих, при наличии в данных измерений только интегральных значений солнечной радиации необходима разработка подходов, позволяющих разделить спектр приходящей суммарной радиации на видимый и БИК диапазоны в зависимости от высоты Солнца и состояния атмосферы. Наконец, в-четвёртых, необходим более тщательный учёт объёмов и видов загрязнений, поступающих в снежную толщу и их последующую миграцию, накопление и вымывание.
ЗАКЛЮЧЕНИЕ
Корректная параметризация альбедо снежного покрова для использования в моделях природных систем и климата весьма важна для правильного описания радиационного и теплового баланса в регионах с многолетним и сезонным снежно-ледовым покровом. Мы рассмотрели физические принципы и основные методы параметризации альбедо снежного покрова в моделях природных систем, а также предложили собственную схему параметризации, внедрённую в настоящее время в модель LSM SPONSOR. Новая схема параметризации альбедо снега показала значительное увеличение качества расчётов альбедо снега при тестировании в составе модели LSM SPONSOR с использованием многолетних данных наблюдений. Данные наблюдений были получены для четырёх полигонов проекта ESM-SnowMIP, расположенных в горных регионах Европы и Северной Америки. Новая схема учитывает большинство процессов и факторов, важных для метаморфизма снега и изменения его стратификации и микроструктуры и, согласно статистическим оценкам, объясняет большую часть изменчивости альбедо снежного покрова. Дальнейшее развитие схемы должно включать учёт структуры приходящей солнечной радиации, прежде всего деление на видимый и БИК диапазоны, а также более тщательный учёт объёмов и видов загрязнений, поступающих в снежную толщу. Кроме того, необходимо улучшить параметризацию альбедо влажного и тающего снега. В целом, схема может быть рекомендована для расчёта альбедо в широком диапазоне горных ландшафтов с относительно небольшим потоком поступающих загрязнений.
Благодарности. Создание новой схемы параметризации альбедо снежного покрова и её включение в модель LSM SPONSOR выполнено в рамках Госзадания FMWS-2024-0004; тестирование новой схемы параметризации альбедо снежного покрова в составе модели LSM SPONSOR с использованием многолетних данных наблюдений для высокогорных полигонов проекта ESM-SnowMIP – при финансовой поддержке гранта РНФ № 23-17-00247.
Acknowledgments. The creation of a new parameterization scheme for snow albedo and its inclusion in the LSM SPONSOR was carried out within the framework of the State Assignment FMGE-2019-0004; testing of a new parameterization scheme for snow albedo as part of the LSM SPONSOR model using long-term observational data for high-mountain cites of the ESM-SnowMIP project was carried out with financial support from the Russian Science Foundation grant № 23-17-00247.
Об авторах
Д. В. Турков
Институт географии РАН
Email: drozdov.jeka@yandex.ru
Россия, Москва
Е. Д. Дроздов
Институт географии РАН; Московский государственный университет имени М.В. Ломоносова
Автор, ответственный за переписку.
Email: drozdov.jeka@yandex.ru
Россия, Москва; Москва
А. А. Ломакин
Национальный исследовательский университет «Высшая школа экономики»; Институт космических исследований РАН
Email: drozdov.jeka@yandex.ru
Россия, Москва; Москва
Список литературы
- Дроздов Е.Д., Турков Д.В., Торопов П.А., Артамонов А.Ю. Термический режим снежного покрова зимой в высокогорной части Эльбруса по натурным данным и результатам моделирования // Лёд и Снег. 2023. Т. 63. № 2. С. 225–242. https://doi.org/10.31857/S2076673423020059
- Кондратьев К.Я. Актинометрия. Л.: Гидрометеоиздат, 1965. 691 с.
- Котляков В.М. Криосфера и климат // Экология и жизнь. 2010. № 11. С. 51–59.
- Красс М.С., Мерзликин В.Г. Радиационная физика снега и льда. Л.: Гидрометеоиздат, 1990. 264 с.
- Кузьмин П.П. Физические свойства снежного покрова. Л.: Гидрометеоиздат, 1957. 179 с.
- Кузьмин П.П. Процесс таяния снежного покрова. Л.: Гидрометеоиздат, 1961. 344 с.
- Матвеев Л.Т. Курс общей метеорологии. Физика атмосферы. Л.: Гидрометеоиздат, 1984. 752 с.
- Снег: Справочник / Под ред. Д.М. Грея, Д.Х. Мэйла. Пер. с англ. под ред. В.М. Котлякова. Л.: Гидрометеоиздат, 1986. 751 с.
- Турков Д.В., Сократов В.С. Расчёт характеристик снежного покрова равнинных территорий с использованием модели локального тепловлагообмена SPONSOR и данных реанализа на примере Московской области // Лёд и Снег. 2016. Т. 56. № 3. С. 369–380. https://doi.org/10.15356/2076-6734-2016-3-369-380
- Шмакин А.Б., Турков Д.В., Михайлов А.Ю. Модель снежного покрова с учётом слоистой структуры и её сезонной эволюции // Криосфера Земли. 2009. Т. XIII (4). С. 69–79.
- Barlett P.A., MacKay M.D., Verseghy D.L. Modified snow algorithms in the Canadian land surface scheme: Model runs and sensitivity analysis at three boreal forest stands // Atmosphere-Ocean. 2006. 44. № 3. P. 207–222. https://doi.org/10.3137/ao.440301
- Chandrasekhar S. Radiative transfer. New York: Dover Publications, 2016. 393 p.
- Danabasoglu G., Lamarque J.F., Bacmeister J., Bailey D.A., DuVivier A.K., Edwards J., Emmons L.K., Fasullo J., Garcia R., Gettelman A., Hannay C., Holland M.M., Large W.G., Lauritzen P.H., Lawrence D.M., Lenaerts J.T.M., Lindsay K., Lipscomb W.H., Mills M.J., Neale R., Oleson K.W., Otto‐BliesnerB., Phillips A.S., Sacks W., Tilmes S., Van Kampenhout L., Vertenstein M., Bertini A., Dennis J., Deser C., Fischer C., Fox‐Kemper B., Kay J.E., Kinnison D., Kushner P.J., Larson V.E., Long M.C., Mickelson S., Moore J.K., Nienhouse E., Polvani L., Rasch P.J., Strand W.G. The Community Earth System Model Version 2 (CESM2) // Journ. Adv Model Earth System 2020. 12 (2). P. e2019MS001916. https:// doi.org/10.1029/2019MS001916
- Dang C., Zender C.S., Flanner M.G. Intercomparison and improvement of two-stream shortwave radiative transfer schemes in Earth system models for a unified treatment of cryospheric surfaces // The Cryosphere. 2019. V. 13. P. 2325–2343. https://doi.org/10.5194/tc-13-2325-2019
- Decharme B., Brun E., Boone A., Delire C., Le Moigne P., Morin S. Impacts of snow and organic soils parameterization on northern Eurasian soil temperature profiles simulated by the ISBA land surface model // The Cryosphere. 2016. V. 10. № 2. P. 853–877. https:// doi.org/10.5194/tc-10-853-2016
- Dickinson R., Henderson-Sellers A., Kennedy P. Biosphere-Atmosphere Transfer Scheme (BATS) Version le as Coupled to the NCAR Community Climate Model. 1993. 80 p. https://doi.org/10.5065/D67W6959
- Flanner M.G., Arnheim J.B., Cook J.M., Dang C., He C., Huang X., Singh D., Skiles S.M., Whicker C.A., Zender C.S. SNICAR-ADv3: a community tool for modeling spectral snow albedo // Geosci. Model Dev. 2021. V. 14. P. 7673–7704. https://doi.org/10.5194/gmd-14-7673-2021
- He C., Liou K.-N., Takano Y., Yang P., Qi L., Chen F. Impact of Grain Shape and Multiple Black Carbon Internal Mixing on Snow Albedo: Parameterization and Radiative Effect Analysis // Journ. of Geophysical Research: Atmospheres. 2018. V. 123. № 2. P. 1253–1268. https://doi.org/10.1002/2017JD027752
- Hedstrom N., Pomeroy J.W. Intercepted snow in boreal forest: measurement and modelling // Hydrol. Process. 1998. V. 12. № 11-12. P. 1611–1625. https://doi.org/10.1002/(SICI)1099-1085(199808/09)12:10/11<1611::AID-HYP684>3.0.CO;2-4
- Krinner G., Derksen C., Richard E. ESM-SnowMIP: assessing snow models and quantifying snow-related climate feedbacks // Geosci. Model Dev. 2018. V. 11. P. 5027–5049. https://doi.org/10.5194/gmd-11-5027-2018
- Landry C. C., Buck K.A., Raleigh M.S., Clark M.P. Mountain system monitoring at Senator Beck Basin, San Juan Mountains, Colorado: A new integrative data source to develop and evaluate models of snow and hydrologic processes // Water Resource Research 2014. V. 50. P. 1773–1788. https://doi.org/10.1002/2013WR013711
- Lee W.Y., Gim H.J., Park S.K. Parameterizations of Snow Cover, Snow Albedo and Snow Density in Land Surface Models: A Comparative Review // Asia-Pacific Journal of Atmospheric Science. 2023. V. 60. P. 185–210. https://doi.org/10.1007/s13143-023-00344-2
- Lejeune Y., Dumont M., Panel J.M., Lafaysse M., Lapalus P., Le Gac E., Lesaffre B., Morin S. 57 years (1960–2017) of snow and meteorological observations from a mid-altitude mountain site (Col de Porte, France, 1325 m alt.) // Earth System Science Data. 2019. V. 11. P. 71–88. https://doi.org/10.5194/essd-11-71-2019
- Menard C., Essery R., Turkov D. Scientific and human errors in a snow model intercomparison // Bulletin of the American Meteorological Society. 2021. V. 201. № 1. P. E61–E79. https://doi.org/10.1175/BAMS-D-19-0329.1
- Rowe P.M., Fergoda M., Neshyba S. Temperature‐Dependent Optical Properties of Liquid Water From 240 to 298 K // JGR Atmospheres. 2020. V. 125. № 17. P. e2020JD032624. https://doi.org/10.1029/2020JD032624
- Snow and Climate. Ed. by R.L. Armstrong, E. Brun. Cambridge, U.K. Cambridge Univ. Press, 2008. 222 p.
- Stamnes K., Tsay S.C., Wiscombe W., Jayaweera K. Numerically stable algorithm for discrete-ordinate-method radiative transfer in multiple scattering and emitting layered media // Applied Opt. 1988. V. 27. № 12. P. 2502. https://doi.org/10.1364/AO.27.002502
- Vavrus S. The role of terrestrial snow cover in the climate system // Climate Dynamics. 2007. V. 29. P. 73–88. https://doi.org/10.1007/s00382-007-0226-0
- Verseghy D. CLASS–The Canadian land surface scheme (version 3.6) // Environment Canada Science and Technology Branch Tech. Rep. 2012.
- Vionnet V., Brun E., Morin S., Boone A., Faroux S., Moigne P.L., Martin E., Willemet J.M. The detailed snowpack scheme Crocus and its implementation in SURFEX v7.2 // Geoscientific Model Development. 2012. V. 5. P. 773–791. https://doi.org/10.5194/gmd-5-773-2012
- Warren S.Q. Optical Properties of Snow // Reviews of Geophysics. 1982. V. 20. P. 67–89. https://doi.org/10.1029/RG020i001p00067
- Warren S.G., Brandt R.E. Optical constants of ice from the ultraviolet to the microwave: A revised compilation // Journal of Geophys. Research. 2008. V. 113. D14220 P. 2007JD009744. https://doi.org/10.1029/2007JD009744
- Wever N., Schmid L., Heilig A., Eisen O., Fierz C., Lehning M. Verification of the multi-layer SNOWPACK model with different water transport schemes // The Cryosphere. 2015. V 9. P. 2271–2293. https://doi.org/10.5194/tc-9-2271-2015
- Whicker C.A., Flanner M.G., Dang C., Zender C.S., Cook J.M., Gardner A.S. SNICAR-ADv4: a physically based radiative transfer model to represent the spectral albedo of glacier ice // The Cryosphere. 2022. V. 16. P. 1197–1220. https://doi.org/10.5194/tc-16-1197-2022
- Wiscombe W.J., Warren S.G. A model for the spectral albedo of snow. I: Pure snow // Journal of Atmosphere Science. 1980. V. 37. P. 2712–2733. https://doi.org/10.1175/1520-0469(1980)037<2712:AMFTSA>2.0.CO;2
Дополнительные файлы







